Abstract
A simple and general approach to the synthesis (from commercial precursors) of eight out of nine possible (benzo[d]imidazol-2-yl)methanols fluorinated on the benzene ring is reported. Molecular and crystalline structures of most compounds were solved by X-ray diffraction analysis. This made it possible to reveal the influence of the number and arrangement of fluorine atoms in the benzene cycle on the formation of intermolecular hydrogen bonds. It was found that the more fluorine atoms are present in a compound, the higher the dimensionality of the H-bonded structure is. Moreover, the presence of fluorine atoms in the synthesized compounds leads to the emergence of C–F…π interactions affecting crystal packing. The synthesized fluorinated (benzo[d]imidazol-2-yl)methanols may serve as excellent bench compounds for the synthesis of a systematic series of fluorine-containing derivatives to study structure–property correlations in various fields of research from medicine to materials science.
1. Introduction
Benzimidazoles (1H-benzimidazole, 1H-benzo[d]-imidazole, or 1,3-benzodiazole) occupy an important place in the realm of medicinal chemistry and materials science [1,2,3,4]. In nature, the most prominent benzimidazole compound is N-ribosyldimethylbenzimidazole, serving as an axial ligand for cobalt in vitamin B12 [5]. Benzimidazole derivatives are structural isosteres of naturally occurring nucleotides [6], and this property allows them to interact easily with biopolymers of a living system. This motivates medicinal chemists across the world to synthesize a variety of benzimidazole derivatives and to screen them for various biological activities. Thorough optimization of benzimidazole-based structures has resulted in a large series of various marketed drugs. A far-from-complete list of benzimidazole-based drugs includes antitumor agents (bendamustine and pracinostat), proton pump inhibitors (pantoprazole, lansoprazole, and omeprazole), antiparasitic (albendazole and mebendazole) and antibacterial drugs (ridinilazole), and antihistamine (astemizole and bilastine), antiviral (enviradine, dibazol, and maribavir), and antihypertensive drugs (candesartan, telmisartan, azilsartan, and mibefradil) [7,8,9,10,11,12,13]. In addition, benzimidazole-containing pesticides and fungicides (carbendazim, benomyl, and thiabendazole) have low toxicity at low doses and have been widely used to combat destructive plant pathogens [14,15,16].
Benzimidazole derivatives are employed as organic catalysts; as ligands for palladium- and rhodium-catalyzed Heck, Suzuki, and reduction reactions and as chiral inductors in asymmetric synthesis [17,18]. They are also applied to the design of highly efficient organic light-emitting devices (OLEDs) [19], water-soluble dyes suitable for electrophotographic deposition [1], and fluorescent materials for medicine, environmental sciences, and chemical engineering [20]. They can also serve as inhibitors of corrosion of metals [21], as electrolytes for fuel cells [22], protective coatings for aerospace applications and fire services [23,24], and as extractants from aqueous media for uranium, thorium, and palladium [25].
Last but not least, benzimidazole-substituted organic paramagnets are actively used as spin carriers in the design of molecular magnets. A large body of work describes magnetostructural studies on benzimidazole-bearing stable nitroxides that are assembled crystallographically by benzimidazole hydrogen bonding. Here, the hydrogen bonds (H-bonds) play a crucial role by acting as crystallographic scaffolding and by assembling radical spin moments into lattices for intermolecular exchanges [26,27,28,29,30,31]. Benzimidazole-substituted nitronyl nitroxides also hold promise for designing extended exchange-coupled metal-radical networks as illustrated with one-dimensional (1D) and 2D manganese(II) compounds featuring magnetlike behavior with relatively high Curie temperatures (up to 50 K) in the case of the 2D systems [32,33,34,35,36,37,38]. Lanthanide complexes with chelating benzimidazole-substituted nitronyl nitroxides have proved to behave as single-molecule magnets, and the radical substituent plays a crucial role in adjusting magnetic relaxation [37,39]. Moreover, some of the complexes possess luminescence correlating with the sign of the lanthanide–radical exchange interaction (−4.05 < J < 6.1 K); this phenomenon shows promise for the development of novel multifunctional materials with magneto-optical properties [36].
This huge range of practical applications of benzimidazole is based on a sufficiently small number of starting compounds, and these are mainly 2-substituted or 1,2-disubstituted benzimidazole derivatives. (Benzo[d]imidazol-2-yl)methanols and their derivatives are undoubtedly among the basic starting precursors from which numerous functionalized benzimidazoles have been synthesized and then investigated. Practically significant materials prepared from (benzo[d]imidazol-2-yl)methanols include, for example, Co(II) cubane complexes behaving as single-molecule magnets with TB > 2 K (barriers Ueff/kB 21–27 K and relaxation times τ0 = 1.3 × 10−9 and 9.7 × 10−9 s) [40], a cobalt catalyst for water electro-oxidation at neutral pH (overpotential 390 mV and a turnover frequency 1.83 s−1) [41], red-emitting fluorophores (quantum yields ~0.96 and near-infrared dyes with absorption maxima near 950 nm [42], cytotoxic and apoptosis-inducing agents [43], and prominent derivatives with antimicrobial activity [44]. As one can see, (benzo[d]imidazol-2-yl)methanol itself and its derivatives are used in a wide variety of fields, and they are still key scaffolds in diverse studies and promising projects [45,46,47,48,49,50,51].
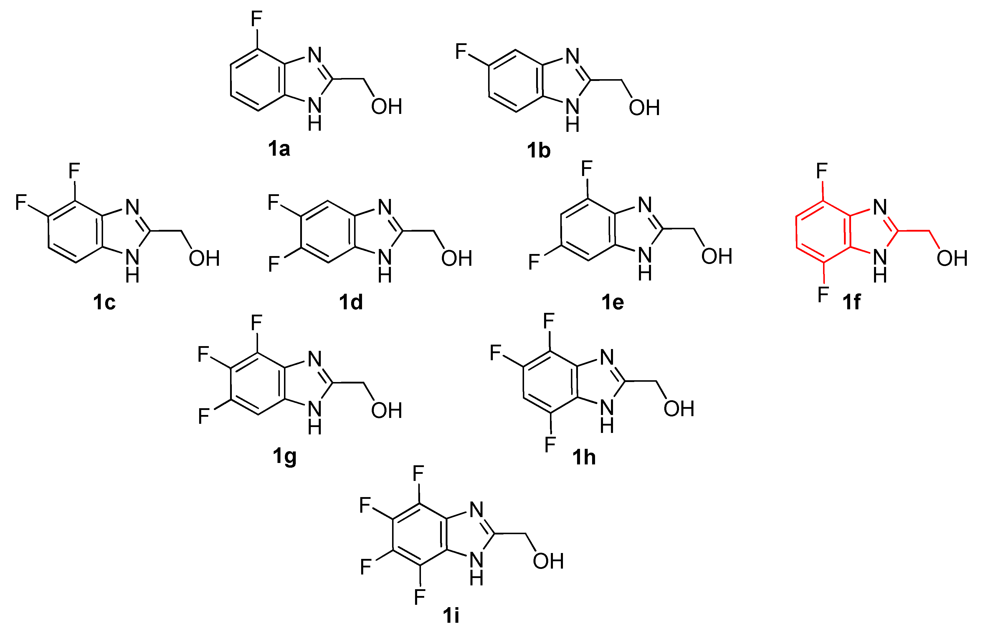
On the one hand, (benzo[d]imidazol-2-yl)methanols have gained so much attention as convenient and affordable starting compounds for the synthesis of substances with useful properties, and on the other hand, fluoro-organic derivatives play an exceptional role in the development of new drugs and the creation of materials with desired qualities [52]. Therefore, we decided to develop and describe in detail the methods for the synthesis of eight out of nine possible fluorinated (benzo[d]imidazol-2-yl)methanols (Figure 1a–i). We believe that the availability of different fluorinated and polyfluorinated (benzo[d]imidazol-2-yl)methanols as well as their precursors (fluorinated nitroanilines and o-phenylenediamines) will be helpful for researchers in various fields because it will allow investigators to obtain a comprehensive series of different fluorine-containing derivatives according to the general schemes.
Figure 1.
Synthesized in this work (black) and still challenging (red) (benzo[d]imidazol-2-yl)methanols fluorinated on the benzene ring, 1a–1i.
In addition, we showed that according to X-ray diffraction analysis, the number and arrangement of fluorine atoms in (benzo[d]imidazol-2-yl)methanols sufficiently influence on their crystal packing. It was found that the more fluorine atoms are present in a compound, the higher the dimensionality of the H-bonded structure is. Moreover, the presence of fluorine atoms in the synthesized compounds leads to the emergence of C–F…π interactions affecting the crystal packing.
2. Results and Discussion
The chemical transformations leading to the target fluorinated and polyfluorinated (benzo[d]imidazol-2-yl)methanols are shown in Scheme 1. Commercially available fluorinated anilines 2d,e,g and nitrobenzenes 5b,c,i were used as starting substrates. Anilines 2d,e,g were acylated to obtain corresponding acetanilides 3, which were then nitrated by means of a mixture of HNO3 (70%) with conc. H2SO4 (1:1) to prepare nitroacetanilides 4d,e,g. Boiling of these nitroacetamides in conc. HCl led to nitroanilines 6d,e,g with good yields (80–90%). The range of the nitroanilines thus obtained was expanded via the aminodefluorination reaction of fluorinated nitrobenzenes 5b,c,i with aqueous ammonia in EtOH. The reaction gave rise to nitro anilines 6b,c,i, which, just as 6d,e,g and commercially available 6a, were reduced to corresponding o-phenylenediamines 7a–e,g,i by the action of SnCl2 in HCl.
Scheme 1.
Synthesis of fluorinated (benzo[d]imidazol-2-yl)methanols 1a–e and 1g–i.
A special synthetic route was employed to prepare trifluoro-o-phenylenediamine 7h; the route is based on a reduction in corresponding 4,5,7-trifluoro-2,1,3-benzothiadiazole 9, which was synthesized by transformation of tetrafluoroaniline 8 into corresponding Ar–N=S=NSiMe3 with its subsequent fluoride-induced nucleophilic ortho-cyclization [53]. Finally, the interaction of fluorinated o-phenylenediamines 7a–e and 7g–i with glycolic acid in hydrochloric acid led to target benzo[d]imidazol-2-yl)methanols 1a–e,g–i with good yields (70–85%). All fluorinated benzimidazoles 1 as well as their precursors were fully characterized by spectral methods (Experimental section and Supplementary Materials).
As for difluorobenzimidazole 1f, within the framework of this work, we failed to design a route for its preparation. The only thing we can say is that this route cannot be based on the use of known 6-nitro-2,5-difluoroaniline or 1,4-difluoro-2,3-dinitrobenzene because these compounds form only in trace amounts during the nitration of 2,5-difluoroacetanilide or 1,4-difluoro-2-nitrobenzene, respectively [54,55].
Well-shaped crystals of compounds 1b–e, 1g, and 1i were obtained upon crystallization from acetonitrile or a mixture of acetonitrile with toluene. As to compound 1h, upon crystallization from various mixtures of solvents, it gave strongly supersaturated solutions with subsequent avalanche-like formation of fine-needle crystals in the form of intergrown hedgehogs.
Molecular and crystal structures of benzimidazoles 1b–e, 1g, and 1i were solved by single-crystal X-ray diffraction. The X-ray crystallographic analyses revealed that 1b and 1e crystallize in triclinic P–1 space groups, 1c and 1g both crystallize in the monoclinic C2/c space group, whereas 1d in the P21/c space group, and 1i in the tetragonal P41212 space group. ORTEP diagrams of dimer H-bonded structures drawn with 50% ellipsoid probability and numbering schemes for these compounds are depicted in Figure 2 below. The diagrams confirm the expected substitution patterns for the synthesized fluorinated benzimidazole series.

Figure 2.
Fragments of crystal structure showing H-bonded dimers of benzimidazoles 1b–e, 1g, and 1i. H-bonds N1–H…O9 and O9–H…N3 are indicated by red dashed lines.
In the investigated benzimidazoles, aromatic nuclei are perfectly planar, and the bond lengths and bond angles are very close to or the same as statistical means [56]. Torsion angles between the aromatic cycle and hydroxymethyl group are in the broad range from 8.12° to 84.45°. These conformation differences are due to dissimilarities in the binding of the molecules through intermolecular H-bonds N–H…O, O–H…N, and C–H…F (Table 1).
Table 1.
Geometric parameters of H-bonds for 1b–e, 1g, and 1i.
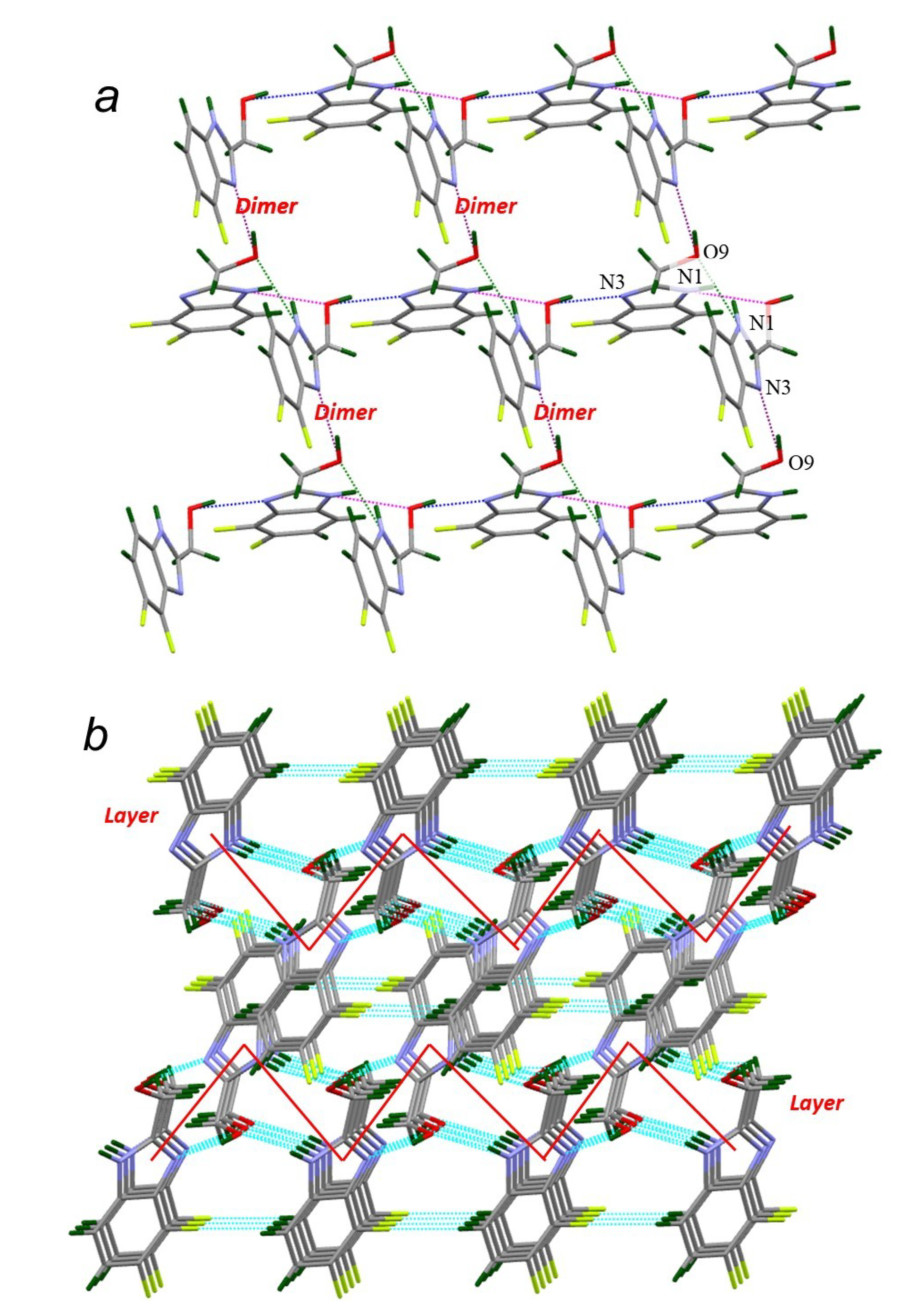
To visualize how molecules 1b–e, 1g, and 1i are assembled into corresponding crystal structures through H-bonds and short intermolecular contacts, it is reasonable first to choose low-dimensional substructures, for example dimers presented in Figure 2, and then to perform their supramolecular assembly. In 1b, the propagation of dimers {1b…1b} via a pair of intermolecular H-bonds N1–H…O9 generates parallel chains running along the [100] direction (Figure 3a). As illustrated in Figure 3b, the final structure is formed due to the binding of chains via H-bonds of type C8–H…F1′ and π–π interactions giving rise to short intermolecular contacts C7′…C7′ (3.384 Å). Difluorobenzimidazole 1e is isostructural to monofluoro-derivative 1b; in its solid state, dimers {1e…1e} are linked into chains via H-bonds of two types: N1–H…O9 and C8–H…F2 (Supplementary Materials). The latter set the orientation of molecules 1e in the chains and prevent the disordering observed in compound 1b. The final supramolecular assembly of chains, as in 1b, is realized via intermolecular H-bonds C8–H…F1′ and π–π interactions (Supplementary Materials).
Figure 3.
H-bonded chains in the structure of 1b (a) and the binding of the chains via C–H…F and π–π interactions (b).
In 1c, 1d, and 1g containing two or three adjacent fluorine atoms on the benzene ring, the binding of dimeric synthons via N–H…O and O–H…N hydrogen bonds causes the formation of layers. The compounds 1c and 1g are highly isostructural; they both contain a fluorine atom at position 4, also participating in the crosslinking of molecules into layers (Figure 4a). Then, the layers are combined similarly through intermolecular CCH2–H…F hydrogen bonding and π–π stacking interactions into the final structure (Figure 4b and Supplementary Materials). As for compound 1d, in its crystals, the supramolecular self-organization of layers is implemented through interlayer short contacts between atoms F2 and C5 (Figure 5).
Figure 4.
The H-bonded layer in the structure of 1c (a) and assembling of the layers via CCH2–H…F and π–π interactions (b).
Figure 5.
Assembling of layers via C5…F2 interactions in the structure of 1d.
A further increase in the number of fluorine atoms on the benzene ring gives rise to additional intermolecular interactions, and the tetrafluoro-derivative prefers to bind into a framework (Figure 6). Thus, it is noteworthy that the compounds containing one fluorine atom or not containing neighboring fluorine atoms (1b and 1e) form hydrogen-bonded chains. Compounds 1c, 1d, and 1g, in which benzimidazoles bear two or three adjacent fluorine atoms, form a layered polymeric structure in the solid phase, whereas tetrafluoro-derivative 1i upon crystallization yields a framework.
Figure 6.
Fragments of the hydrogen-bonded framework in the crystal of compound 1i.
In addition to the preceding discussion of how fluorinated (benzo[d]imidazol-2-yl)methanols are bound through H-bonds, their forced mutual orientation is also of interest. Benzimidazole moieties of neighboring molecules are arranged into slipped-parallel stacks with head-to-tail or head-to-head orientations. The distances between planes of aromatic rings are in the range 3.25 to 3.60 Å, and the intercentroid distances (Cg…Cg) are 3.44 to 3.98 Å; both are characteristic of π–stacking interactions (Figure 7a). In addition to the π–π interactions, nonvalent contacts between the F atoms and π-systems of neighboring molecules (C–F…π interactions, Figure 7b) are present in all the compounds except for 1d in which H…π interactions take place. Atom-to-plane distances F…Cg and H…Cg are 3.25–3.89 and 2.70–2.97 Å, respectively. The energy of these interactions is an order of magnitude or more inferior to the energy of classic H-bonds [57,58]; however, the finding that they take place suggests that they also affect the packing of the fluorinated (benzo[d]imidazol-2-yl)methanols. This observation is worth noting because it indicates that interactions of the C–F…π type are capable of exerting some influence even on such structures rigidly cross-linked by H-bonds.
Figure 7.
Fragments of crystal structures of 1e (a) and 1g (b) exemplifying π–π stacking and C–F…π interactions, respectively.
3. Conclusions
In organic chemistry and interdisciplinary research, the identification of correlations between the structure and properties of compounds is of great importance. Given that fluoro-organic derivatives play an important role in the development of new drugs and in the creation of materials with unique properties, basic fluorinated derivatives including heterocyclic compounds are in high demand. The fluorinated (benzo[d]imidazol-2-yl)methanols and their key precursors described in this paper can serve as compounds at the bench that will help to obtain a wide variety of products in the fields of medicinal chemistry and materials science. In particular, in our further studies, the synthesized compounds will be utilized for the preparation of benzimidazolyl-substituted nitronyl nitroxide radicals and magnetically active 2D complexes of Mn(II) with these radicals. We hope that a comparative study of magnetic properties of these manganese–nitroxide complexes will enable us to find a way to increase the temperature of transition of the complexes into a magnetically ordered state and will be valuable for further research on the cooperative valence tautomerism phenomenon [32,33,59].
In addition to the synthetic potential of the obtained series of fluorinated (benzo[d]imidazol-2-yl)methanols, interesting results were obtained in their X-ray structural analysis. It turned out that weak H-bonds C–H…F can actively intervene into the interaction of such strong donors and acceptors of H-bonds as the imidazole moiety and hydroxyl group, thus radically changing the nature of the binding of molecules and causing an increase in the resulting structures’ dimensionality. Moreover, the presence of fluorine atoms in the synthesized compounds leads to the emergence of other competing and concerted weak intermolecular interactions, like C–F…π [58,60,61], which to some extent affect the crystal packing too. It is obvious that such interactions can also exist in crystals of derivatives of the synthesized benzimidazoles and thereby affect their properties. Furthermore, it is expected that such derivatives carrying different fluorinated benzimidazole moieties will interact differently with biological molecules and biological targets.
4. Experimental Section
4.1. General Methods
All solvents were purified by standard procedures. Chemicals were obtained from commercial sources (Merck KGaA, Darmstadt, Germany) and were used without further purification. 1H, 13C, and 19F NMR spectra were recorded on Bruker spectrometers (Bruker Corporation, Billerica, Massachusetts, USA) Avance-300 (300.13, 282.37, and 75.47 MHz for 1H, 19F, and 13C, respectively), Avance-400 (400.13 and 100.61 MHz for 1H and 13C, respectively), DRX-500 and Avance III 500 (500.13 MHz for 1H and 125.76 MHz for 13C), and Avance-600 (151 MHz for 13C). Deuterochloroform (CDCl3), acetone-d6, and dimethylsulfoxide-d6 served as solvents, with residual CHCl3 (δH = 7.26) or CDCl3 (δC = 77.16 ppm), residual acetone (δH = 2.05 ppm) or acetone-d6 (δC = 29.8 and 206.3 ppm), and residual dimethylsulfoxide (δH = 2.50 ppm) or dimethylsulfoxide-d6 (δC = 39.5 ppm) being internal standards. For 19F spectra, C6F6 (δ 19F = −162.9 ppm with respect to CFCl3) was used as an external reference. 13C NMR spectra were registered with C–H spin decoupling. Masses of molecular ions were determined by high-resolution mass spectrometry (HRMS) on a DFS Thermo Scientific instrument at an ionization energy of 70 eV (Thermo Fisher Scientific, Waltham, MA, USA) and by means of Agilent 7200 Accurate Mass Q-TOF GC/MS at an ionization energy of 70 eV (Agilent, Santa Clara, CA, USA). Melting points were registered on a Mettler-Toledo FP900 Thermosystem apparatus (Mettler-Toledo, Greifensee, Switzerland). IR spectra were recorded on a Bruker Vector-22 spectrometer for samples pelleted with KBr (0.25%). UV/Vis spectra were acquired by means of a Cary 5000 instrument (Agilent).
4.2. Interaction of o-Phenylenediamines with Glycolic Acid: The General Procedure
Each o-phenylenediamine 7a–e or 7g–i (10.0 mmol) was added to an aqueous 4N HCl solution (20 mL) containing glycolic acid (10.0 mmol). Then, the reaction mixture was refluxed for 8 h, cooled to 0 °C, and alkalized with a ~40% NaOH aqueous solution up to pH ≈ 8. The precipitate was filtered off and washed with ice-cold water to obtain corresponding (benzo[d]imidazol-2-yl)methanols 1a–e and 1g–i [62].
4.2.1. (4-Fluorobenzo[d]imidazol-2-yl)methanol (1a)
Light brown solid; yield 0.23 g (83%), m.p.: 185–186 °C (decomp). IR (KBr), ν/cm−1: 507, 580, 590, 640, 659, 705, 782, 833, 977, 1012, 1052, 1066, 1099, 1141, 1187, 1220, 1267, 1305, 1367, 1421, 1442, 1531, 1552, 1621, 1660, 27442, 2811, 2850, 3099, 3166. UV (EtOH), λmax/nm (lg ε): 204 (4.10), 243 (3.30). 1H NMR (300 MHz, DMSO-d6), J/Hz: δ = 4.68 (s, 2 H, H2a), 6.91 (ddd, J = 11.1, J = 8.0, J = 0.6, 1 H, H5), 7.10 (dt, J = 4.9, 2J = 8.0, 1 H, H6), 7.29 (d, J = 7.9, 1 H, H7).19F NMR (282 MHz, DMSO-d6, C6F6), J/Hz: δ = 35.08 (dd, J = 11.1, J = 4.9, 1 F, F4). 13C NMR (126 MHz, DMSO-d6), J/Hz: δ = 57.60 (s, C2a), 106.4 (d, J = 17.3, C5), 108.9 (s, C7), 121.9 (d, J = 7.1, C6), 130.1 (d, J = 16.1, C3a), 139.1 (s, C7a), 152.3 (d, J = 248, C4), 156.2 (s, C2). HRMS (ESI-TOF) calcd. for C8H7FN2O [M]+: 166.0537, found: 166.0536.
4.2.2. (5-Fluorobenzo[d]imidazol-2-yl)methanol (1b)
Cream solid; yield 1.42 g (86%); m.p.: 182–183 °C [44]. IR (KBr), ν/cm−1: 806, 829, 858, 954, 1041, 1108, 1139, 1214, 1249, 1307, 1349, 1446, 1490, 1545, 1600, 1633, 2640, 2789, 2933, 3052, 3115. UV (EtOH), λmax/nm (lg ε): 203 (5.46), 244 (4.79), 279 (4.86), 284 (4.81). 1H NMR (300 MHz, DMSO-d6), J/Hz: δ = 4.66 (s, 2 H, H2a), 6.97 (ddd, 1 H, JHH = 2.4, J = 8.7, JHF = 9.6, H6), 7.25 (dd, 1 H, JHH = 2.4, JHF = 9.6, H4), 7.46 (dd, 1 H, JHH = 5.0, JHF = 8.7, H7). 19F NMR (282 MHz, DMSO-d6), J/Hz: δ = 42.84 (br. s, 1 F, F5). 13C NMR (126 MHz, DMSO-d6), J/Hz: δ = 57.6 (s, C2a), 100.9 (s, C4), 109.2 (d, J = 25.3, C6), 115.3 (s, C7), 135.0 (s, C7a), 139.1 (s, C3a), 156.7 (s, C2), 158.2 (d, J = 233.7, C5). HRMS (ESI-TOF) calcd. for C8H7FN2O [M]+: 166.0537, found: 166.0537.
4.2.3. (4,5-Difluorobenzo[d]imidazol-2-yl)methanol (1c)
Cream solid; yield 1.58 g, (62%), m.p.: 215.9 °C (decomp). IR (KBr), ν/cm−1: 756, 789, 1018, 1058, 1078, 1151, 1230, 1269, 1319, 1429, 1462, 1513, 1544, 1610, 2829, 3143. UV (EtOH), λmax/nm (lg ε): 202 (5.05), 244 (4.28), 273 (4.08). 1H NMR (300 MHz, DMSO-d6), J/Hz: δ = 4.68 (br. s, 2 H, H2a), 7.16 (m, 1 H, H6), 7.25 (m, 1 H, H7). 19F NMR (282 MHz, DMSO-d6), J/Hz: δ = 6.98 (dd, 1 F, JFF = 21.6, JHF = 7.1, F4), 12.34 (br. dd, 1 F, JFF = 21.6, JHF = 11, F5). 13C NMR (126 MHz, DMSO-d6), J/Hz: δ = 57.5 (s, C2a), 108.0 (s, C7), 110.6 (d, J = 21.2, C6), 131.2 (s, C7a), 134.4 (s, C3a), 143.7 (dd, J = 250.4, J = 15.5, C4), 146.0 (dd, J = 233.1, J = 10.0, C5), 157.8 (s, C2). HRMS (ESI-TOF) calcd. for C8H6F2N2O [M]+: 184.0443, found: 184.0442.
4.2.4. (5,6-Difluorobenzo[d]imidazol-2-yl)methanol (1d)
Cream solid; yield 1.44 g (78%); m.p.: 197–199 °C (lit. mp: 198–201 °C [49]). IR (KBr), ν/cm−1: 856, 887, 1039, 1134, 1214, 1284, 1348, 1444, 1475, 1542, 1606, 1641, 2806, 3045, 3101. UV (EtOH), λmax/nm (lg ε): 202 (5.27), 243 (4.70), 278 (4.85), 283 (4.86). 1H NMR (300 MHz, acetone-d6), J/Hz: δ = 4.84 (s, 2 H, H2a), 7.42 (d, 1 H, J = 9.0, H4 or 7), 7.45 (d, 1 H, J = 9.0, H4 or 7). 19F NMR (282 MHz, acetone-d6), J/Hz: δ = 18.12 (d, J = 9.0, 1 F, F5 or 6), 18.14 (d, J = 9.0, 1 F, F5 or 6). 13C NMR (126 MHz, acetone-d6), J/Hz: δ = 58.9 (s, C2a), 103.3 (m, C4, 7) 135.1 (s, C3a,7a), 148.1 (dd, J = 239, J = 17, C5,6), 158.0 (s, C2). HRMS (ESI-TOF), m/z [M + H]+ calcd for C8H6F2N2O: 185.0521; found: 185.0522.
4.2.5. (4,6-Difluorobenzo[d]imidazol-2-yl)methanol (1e)
Dark solid; yield 1.14 g (62%); m.p.: 192–193 °C. IR (KBr), ν/cm−1: 835, 862, 982, 1010, 1041, 1085, 1120, 1216, 1249, 1361, 1429, 1444, 1506, 1545, 1606, 1645, 2827, 3120. UV (EtOH), λmax/nm (lg ε): 206 (5.32), 242 (4.72), 267 (4.62), 271 (4.62), 275 (4.63). 1H NMR (300 MHz, DMSO-d6), J/Hz: δ = 4.83 (s, 2 H, H2a), 7.27 (td, 1 H, JHF = 10.6, JHH = 2.2, H5), 7.34 (dd, 1 H, JHF = 8.4, JHH = 2.2, H7). 19F NMR (282 MHz, DMSO-d6), J/Hz: δ = 39.90 (dd 1 F, JFH = 10.6, JFF = 3.5, F4), 49.69 (br. s, 1 F, F6). 13C NMR (126 MHz, DMSO-d6), J/Hz: δ = 56.1 (s, C2a), 96.4 (dd, J = 27.3, J = 4.6, C7), 99.3 (dd, J = 29.8, J = 21.3, C5), 121.5 (d, J = 16.5, C3a), 135.3 (dd, J = 15.6, J = 9.0, C7a), 149.8 (dd, J = 251.0, J = 15.2, C4), 156.7 (d, J = 1.2, C2), 158.5 (dd, J = 240.0, J = 10.8, C6). HRMS (ESI-TOF), m/z [M]+ calcd for C8H6F2N2O: 184.0443; found: 184.0441.
4.2.6. (4,5,6-Trifluorobenzo[d]imidazol-2-yl)methanol (1g)
Cream solid; yield 1.58 g (78%); m.p.: 198–201 °C. IR (KBr), ν/cm−1: 823, 852, 962, 1033, 1048, 1081, 1120, 1234, 1253, 1365, 1433, 1448, 1516, 1535, 1616, 1643, 2836, 3153. UV (EtOH), λmax/nm (lg ε): 211 (4.96), 238 (4.61), 273 (4.73), 278 (4.54), 283 (4.33). 1H NMR (300 MHz, DMSO-d6), J/Hz: δ = 4.67 (s, 2 H, H2a), 7.35 (ddd, 1 H, JHF = 10.2, JHF = 6.3, JHF = 1.7, H7), 8.2 (br. s, 1H, NH). 19F NMR (282 MHz, DMSO-d6,), J/Hz: δ = −6.94 (br. td, 1 F, 2JFF = 21, JHF = 6.5, F5), 12.60 (br. d, 1 F, JFF = 21, F4), 21.34 (dd, 1 F, J = 21, J = 10.2, F6). 13C NMR (126 MHz, DMSO-d6), J/Hz: δ = 57.6 (s, C2a), 96.1 (dd, J = 22.0, J = 3.0, C7), 126.9 (d, J = 11.3, C3a), 131.6 (dd, J = 13.0, J = 9.7, C7a), 134.2 (ddd, J = 237.0, J = 17.8, J = 13.2, C4), 139.2 (ddd, J = 252.0, J = 12.0, J = 4.9, C5), 145.6 (dd, J = 238.0, J = 12.0, C6), 158.3 (s, C2). HRMS (ESI-TOF) calcd. for C8H5F3N2O [M]+: 202.1335, found: 202.1334.
4.2.7. (4,5,7-Trifluorobenzo[d]imidazol-2-yl)methanol (1h)
Cream solid; yield 0.48 g (96%); m.p.: 196–197 °C (decomp). IR (KBr), ν/cm−1: 507, 580, 590, 640, 659, 705, 782, 833, 977, 1012, 1052, 1066, 1099, 1141, 1187, 1220, 1267, 1305, 1367, 1421, 1442, 1531, 1552, 1621, 1660, 27442, 2811, 2850, 3099, 3166. UV (EtOH), λmax/nm (lg ε): 204 (5.12), 243 (4.13). 1H NMR (300 MHz, DMSO-d6), J/Hz: δ = 4.69 (s, 2 H, H2a), 5.81 (br. s, OH), 7.25 (ddd, 1 H, JHF = 12, JHF = 10, JHF = 5.7, H6). 19F NMR (282 MHz, DMSO-d6, C6F6), J/Hz: δ = 5.38 (br. dt, 1 F, 2JFF = ~20, JFH = ~4.3, F4), 18.45 (br. s, 1 F, F5). 33.49 (br. dd, 1 F, JFF = ~20.0, JFH = ~10, F7).13C NMR (126 MHz, DMSO-d6), J/Hz: δ = 57.4 (s, C2a), 97.9 (t, 2J = 24.5, C6), 125.2 (br. s, C7a), 129.9 (br. s, C3a), 135.3 (br. d, J = 244, C4), 143.8 (dt, J = 236.2, 2J = 11.6, C5), 145.1 (br. d, J = 264 C7), 157.8 (s, C2). HRMS (ESI-TOF) calcd. for C8H5F3N2O [M]+: 202,1334, found: 202.1334.
4.2.8. (4,5,6,7-Tetrafluorobenzo[d]imidazol-2-yl)methanol (1i)
Cream solid; yield 2.11 g (96%); m.p.: 186–187 °C. 777, 785, 1023, 1064, 1078, 1152, 1247, 1264, 1338, 1414, 1465, 1544, 1556, 1623, 2837, 3167. UV (EtOH), λmax/nm (lg ε): 205 (5.12), 234 (4.63), 274 (3.88). 311 (3.45). 1H NMR (300 MHz, DMSO-d6), J/Hz: δ = 4.67 (s, 2 H, H2a), 5.99 (br. s, 2 H, HNH,OH). 19F NMR (282 MHz, DMSO-d6), J/Hz: δ = −6.68 (m, 2 F, F5,6), 5.65 (m, 2 F, F4,7). 13C NMR (126 MHz, DMSO-d6), J/Hz: δ = 57.7 (s, C2a), 125.2 (d, J = 8.6, C3a or 7a), 125.3 (d, J = 9.3, C3a or 7a), 134.4–134.2 (m, C5, 6), 136.5–136.2 (m, C4, 7), 159.5 (s, C2). HRMS (ESI-TOF) calcd. for C8H4F4N2O [M]+: 220.1239, found: 220.1239.
4.3. Single-Crystal X-ray Diffraction Analyses
These analyses of 1b–1e, 1g, and 1i were performed on a Bruker Kappa Apex II CCD diffractometer using φ,ω-scans of narrow (0.5°) frames with Mo Kα radiation (λ = 0.71073 Å) and a graphite monochromator. The structures were solved by direct methods in the SHELX-97 software [63] and were refined by the full-matrix least-squares method against all F2 in anisotropic approximation using SHELXL-2014/7 [64]. Absorption corrections were applied via the empirical multiscan method by means of the SADABS software [65]. The hydrogen atoms’ positions, except for H atoms in NH and OH groups, were calculated with the riding model. Nitrogen-bound and oxygen-bound H atoms were located on a difference Fourier map and refined freely. The resultant crystal structures were analyzed for short contacts between nonbonded atoms using PLATON [66,67] and MERCURY [68]. General crystallographic data for these compounds are summarized in Table 2.
Table 2.
X-ray diffraction data for compounds 1b–e, 1g, and 1i.
CCDC 2016713–2016718 contain the supplementary crystallographic data for benzimidazoles 1b–e, 1g, and 1i, respectively. These data can be obtained free of charge via http://www.ccdc.cam.ac.uk/cgi-bin/catreq.cgi or from the Cambridge Crystallographic Data Centre, 12 Union Road, Cambridge CB2 1EZ, UK; Fax: (+44)-1223-336-033 or by e-mail: deposit@ccdc.cam.ac.uk.
Supplementary Materials
The following is available online at https://www.mdpi.com/2073-4352/10/9/786/s1. The list of prepared acetanilides 3; nitroacetanilides 4, nitroanilines 5 and 6, and o-phenylenediamines 7; NMR spectra; fragments of crystal structures of 1b, 1c, 1d, 1e, 1g, and 1i.
Author Contributions
Conceptualization, E.T. and D.L.; methodology, V.R. and G.S.; investigation, V.R., G.S., J.L., I.B. and A.M.; writing—original draft preparation, E.T. and D.L.; supervision, E.T. and G.S.; project administration, E.T.; funding acquisition, E.T. and D.L. All authors have read and agreed to the published version of the manuscript.
Funding
This research was funded by the Ministry of Science and Higher Education of the Russian Federation (the Affiliate Program of Hubert Curien–A.N. Kolmogorov, identifier RFMEFI61619 × 0116).
Acknowledgments
The authors would like to acknowledge the Multi-Access Chemical Research Center SB RAS for spectral and analytical measurements.
Conflicts of Interest
The authors declare no conflict of interest.
References
- Marinescu, M. Chemistry and Applications of Benzimidazole and Its Derivatives; IntechOpen: London, UK, 2019. [Google Scholar]
- Vestergaard, A.A. Benzimidazole: Preparation and Applications; Nova Science Publishers: Hauppauge, NY, USA, 2020. [Google Scholar]
- Selivanova, G.A.; Tretyakov, E.V. Fluorinated benzimidazoles for medicinal chemistry and new materials. Russ. Chem. Bull. 2020, 69, 838–858. [Google Scholar] [CrossRef]
- Rajasekhar, S.; Maiti, B.; Balamurali, M.M.; Chanda, K. Synthesis and medicinal applications of benzimidazoles: An overview. Curr. Org. Synth. 2017, 14, 40–60. [Google Scholar] [CrossRef]
- Barker, H.A.; Smyth, R.D.; Weissbach, H.; Toohey, J.I.; Ladd, J.N.; Volcani, B.E. Isolation and properties of crystalline cobamide coenzymes containing benzimidazole or 5,6-dimethylbenzimidazole. J. Biol. Chem. 1960, 235, 480–488. [Google Scholar]
- Arjmand, F.; Mohani, B.; Ahmad, S. Synthesis, antibacterial, antifungal activity and interaction of CT-DNA with a new benzimidazole derived Cu(II) complex. Eur. J. Med. Chem. 2005, 40, 1103–1110. [Google Scholar] [CrossRef]
- Bansal, Y.; Silakari, O. The therapeutic journey of benzimidazoles: A review. Bioorg. Med. Chem. 2012, 20, 6208–6236. [Google Scholar] [CrossRef]
- Moniruzzaman, R.S.; Mahmud, T. Quantum chemical and pharmacokinetic studies of some proton pump inhibitor drugs. Am. J. Biomed. Sci. Res. 2019, 2, 259–264. [Google Scholar]
- Njar, V.C.; Brodie, A.M. Discovery and development of Galeterone (TOK-001 or VN/124-1) for the treatment of all stages of prostate cancer. J. Med. Chem. 2015, 58, 2077–2087. [Google Scholar] [CrossRef]
- Tahlan, S.; Kumar, S.; Ramasamy, K.; Lim, S.M.; Shah, S.A.A.; Mani, V.; Pathania, R.; Narasimhan, B. Design, synthesis and biological profile of heterocyclic benzimidazole analogues as prospective antimicrobial and antiproliferative agents. BMC Chem. 2019, 13, 50–64. [Google Scholar] [CrossRef] [PubMed]
- Scholten, W.K.; Christensen, A.E.; Olesen, A.E.; Drewes, A.M. Quantifying the adequacy of opioid analgesic consumption globally: An updated method and early findings. Am. J. Public Health 2019, 109, 52–57. [Google Scholar] [CrossRef]
- Salahuddin; Shaharyar, M.; Mazumder, A. Benzimidazoles: A biologically active compounds. Arab. J. Chem. 2017, 10, S157–S173. [Google Scholar] [CrossRef]
- Han, X.-F.; He, X.; Wang, M.; Xu, D.; Hao, L.-P.; Liang, A.-H.; Zhang, J.; Zhou, Z.-M. Discovery of novel, potent and low-toxicity angiotensin II receptor type 1 (AT1) blockers: Design, synthesis and biological evaluation of 6-substituted aminocarbonyl benzimidazoles with a chiral center. Eur. J. Med. Chem. 2015, 103, 473–487. [Google Scholar] [CrossRef] [PubMed]
- Wang, X.; Chen, Y.-F.; Yan, W.; Cao, L.-L.; Ye, Y.-H. Synthesis and biological evaluation of benzimidazole phenylhydrazone derivatives as antifungal agents against phytopathogenic fungi. Molecules 2016, 21, 1574. [Google Scholar] [CrossRef] [PubMed]
- Gupta, R.C. Toxicity of Fungicides. In Veterinary Toxicology, 3rd ed.; Academic Press: Cambridge, MA, USA, 2018; pp. 569–580. [Google Scholar]
- Ermler, S.; Scholze, M.; Kortenkamp, A. Seven benzimidazole pesticides combined at sub-threshold levels induce micronuclei in vitro. Mutagenesis 2013, 28, 417–426. [Google Scholar] [CrossRef] [PubMed]
- Said, N.R.; Mustakim, M.A.; Sani, M.M.M.; Baharin, S.N.A. Heck reaction using palladium-benzimidazole catalyst: Synthesis, characterisation and catalytic activity. IOP Conf. Ser. Mater. Sci. Eng. 2018, 458, 012019. [Google Scholar] [CrossRef]
- Günnaz, S.; Gökçe, A.G.; Türkmen, H. Synthesis of bimetallic complexes bridged by 2,6-bis(benzimidazol-2-yl)pyridine derivatives and their catalytic properties in transfer hydrogenation. Dalton Trans. 2018, 47, 17317–17328. [Google Scholar] [CrossRef]
- Zhao, Y.; Chao, W.; Qiu, P.; Li, X.; Wang, Q.; Chen, J.; Ma, D. New benzimidazole-based bipolar hosts: Highly efficient phosphorescent and thermally activated delayed fluorescent organic light-emitting diodes employing the same device structure. ACS Appl. Mater. Interfaces 2016, 8, 2635–2643. [Google Scholar] [CrossRef]
- Horak, E.; Kassal, P.; Steinberg, M. Benzimidazole as a structural unit in fluorescent chemical sensors: The hidden properties of a multifunctional heterocyclic scaffold. Supramol. Chem. 2017, 30, 838–857. [Google Scholar] [CrossRef]
- Eldebss, T.M.A.; Farag, A.M.; Shamy, A.Y.M. Synthesis of some benzimidazole-based heterocycles and their application as copper corrosion inhibitors. J. Heterocycl. Chem. 2019, 56, 371–390. [Google Scholar] [CrossRef]
- Yuan, S.; Guo, X.; Aili, D.; Pan, C.; Li, Q.; Fang, J. Poly(imide benzimidazole)s for high temperature polymer electrolyte membrane fuel cells. J. Membr. Sci. 2014, 454, 351–358. [Google Scholar] [CrossRef]
- Igbal, H.M.S.; Bhowmik, S.; Benedictus, R. Performance evaluation of polybenzimidazole coating for aerospace application. Prog. Org. Coat. 2017, 105, 190–199. [Google Scholar] [CrossRef]
- Mandal, S.; Song, G. Characterizing thermal protective fabrics of firefighters’ clothing in hot surface contact. J. Ind. Text. 2016, 47, 622–639. [Google Scholar] [CrossRef]
- Veeraragavan, V.; Kumar, C.R.; Suresh, A.; Jayalakshmi, S.; Mudali, K.M.; Sivaraman, N. Evaluation of polybenzimidazole-based polymers for the removal of uranium, thorium and palladium from aqueous medium. R. Soc. Open Sci. 2018, 5, 171701. [Google Scholar]
- Lahti, P.M. Structure-property relationships for metal-free organic magnetic materials. Adv. Phys. Org. Chem. 2011, 45, 93–169. [Google Scholar]
- Adriano, C.; Freitas, R.S.; Paduan-Filho, A.; Pagliuso, P.G.; Oliveira, N.F.; Lahti, P.M. Magnetic phase diagram of the organic antiferromagnet F4BImNN. Polyhedron 2017, 136, 2–4. [Google Scholar] [CrossRef]
- Lescop, C.; Luneau, D.; Bussiere, G.; Triest, M.; Reber, C. Ligand-Centered Near-Infrared Luminescence from Lanthanide Complexes with Chelating Nitronyl Nitroxide Free Radicals. Inorg. Chem. 2000, 39, 3740–3741. [Google Scholar] [CrossRef]
- Seber, G.; Freitas, R.S.; Mague, J.T.; Paduan-Filho, A.; Gratens, X.; Bindilatti, V.; Oliveira, N.F.; Yoshioka, N.; Lahti, P.M. Magnetic tuning of all-organic binary alloys between two stable radicals. J. Am. Chem. Soc. 2012, 134, 3825–3833. [Google Scholar] [CrossRef] [PubMed]
- Sugano, T.; Blundell, S.J.; Lancaster, T.; Pratt, F.L.; Mori, H. Magnetic order in the purely organic quasi-one-dimensional ferromagnet 2-benzimidazolyl nitronyl nitroxide. Phys. Rev. B 2010, 82, 180401. [Google Scholar] [CrossRef]
- Naoki, Y.; Munetoshi, I.; Yuichiro, M.; Takanari, K.; Hidenari, I.; Shigeru, O. Unusually large magnetic interactions observed in hydrogen-bonded nitronyl nitroxides. Chem. Lett. 1997, 26, 251–252. [Google Scholar]
- Luneau, D. Coordination chemistry of nitronyl nitroxide radicals has memory. Eur. J. Inorg. Chem. 2020, 7, 597–604. [Google Scholar] [CrossRef]
- Luneau, D.; Borta, A.; Chumakov, Y.; Jacquot, J.-F.; Jeanneau, E.; Lescop, C.; Rey, P. Molecular magnets based on two-dimensional Mn(II)-nitronyl nitroxide frameworks in layered structures. Inorg. Chim. Acta 2008, 361, 3669–3676. [Google Scholar] [CrossRef]
- Luneau, D.; Rey, P. Magnetism of metal-nitroxide compounds involving bis-chelating imidazole and benzimidazole substituted nitronyl nitroxide free radicals. Coord. Chem. Rev. 2005, 249, 2591–2611. [Google Scholar] [CrossRef]
- Lescop, C.; Bussiere, G.; Beaulac, R.; Belisle, H.; Belorizky, E.; Rey, P.; Reber, C.; Luneau, D. Magnetic and optical properties of nitroxide radicals and their lanthanide complex. J. Phys. Chem. Solids 2004, 65, 773–779. [Google Scholar] [CrossRef]
- Lescop, C.; Luneau, D.; Rey, P.; Bussiere, G.; Reber, C. Synthesis, structures, and magnetic properties of a series of lanthanum(III) and gadolinium(III) complexes with chelating benzimidazole-substituted nitronyl nitroxide free radicals. Evidence for antiferromagnetic Gd(III)-radical interactions. Inorg. Chem. 2002, 41, 3375–3384. [Google Scholar] [CrossRef] [PubMed]
- Fegy, K.; Luneau, D.; Belorizky, E.; Novac, M.; Tholence, J.L.; Paulsen, C.; Ohm, T.; Rey, P. 1D Manganese(II) Derivatives of an Imidazole-Substituted Nitronyl Nitroxide. An Approach toward Molecular Magnetic Materials of High Dimensionality. Inorg. Chem. 1998, 37, 4524–4532. [Google Scholar] [CrossRef] [PubMed]
- Fegy, K.; Luneau, D.; Ohm, T.; Paulsen, C.; Rey, P. Two-dimensional nitroxide-based molecular magnetic materials. Angew. Chem. Int. Ed. 1998, 37, 1270–1273. [Google Scholar] [CrossRef]
- Hu, P.; Zhu, M.; Mei, X.; Tian, H.; Ma, Y.; Li, L.; Liao, D. Single-molecule magnets based on rare earth complexes with chelating benzimidazole-substituted nitronyl nitroxide radicals. Dalton Trans. 2012, 41, 14651–14656. [Google Scholar] [CrossRef]
- Ma, X.-F.; Wang, Z.; Chen, X.-L.; Kurmoo, M.; Zeng, M.-H. Ligand effect on the single-molecule magnetism of tetranuclear Co(II) cubane. Inorg. Chem. 2017, 56, 15178–15186. [Google Scholar] [CrossRef]
- Chen, B.-T.; Morlanes, N.; Adogla, E.; Takanabe, K.; Rodionov, V.O. An efficient and stable hydrophobic molecular cobalt catalyst for water electro-oxidation at neutral pH. ACS Catal. 2016, 6, 4647–4652. [Google Scholar] [CrossRef]
- Patalag, L.J.; Jones, P.G.; Werz, D.B. BOIMPYs: Rapid access to a family of red-emissive fluorophores and NIR dyes. Angew. Chem. Int. Ed. 2016, 55, 13340–13344. [Google Scholar] [CrossRef]
- Sharma, P.; Srinivasa Reddy, T.; Thummuri, D.; Senwar, K.R.; Kumar, N.P.; Naidu, V.G.M.; Bhargava, S.K.; Shankaraiah, N. Synthesis and biological evaluation of new benzimidazole-thiazolidinedione hybrids as potential cytotoxic and apoptosis inducing agents. Eur. J. Med. Chem. 2016, 124, 608–621. [Google Scholar] [CrossRef]
- Alasmary, F.A.S.; Snelling, A.M.; Zain, M.E.; Alafeefy, A.M.; Awaad, A.S.; Karodia, N. Synthesis and evaluation of selected benzimidazole derivatives as potential antimicrobial agents. Molecules 2015, 20, 15206–15223. [Google Scholar] [CrossRef] [PubMed]
- Shang, Y.; Hao, Q.; Jiang, K.; He, M.; Wang, J. Discovery of heterocyclic carbohydrazide derivatives as novel selective fatty acid amide hydrolase inhibitors: Design, synthesis and anti-neuroinflammatory evaluation. Bioorg. Med. Chem. Lett. 2020, 30, 127118. [Google Scholar] [CrossRef] [PubMed]
- Ryabukhin, D.S.; Turdakov, A.N.; Soldatova, N.S.; Kompanets, M.O.; Ivanov, A.Y.; Boyarskaya, I.A.; Vasilyev, A.V. Reactions of 2-carbonyl- and 2-hydroxy(or methoxy)alkyl-substituted benzimidazoles with arenes in the superacid CF3SO3H. NMR and DFT studies of dicationic electrophilic species. Beilstein J. Org. Chem. 2019, 15, 1962–1973. [Google Scholar] [CrossRef] [PubMed]
- Patalag, L.J.; Loch, M.; Jones, P.G.; Werz, D.B. Exploring the π-system of the (aza-)BOIMPY scaffold: Electron-rich pyrrole moieties working in concert with electron-depleted meso-positions. J. Org. Chem. 2019, 84, 7804–7814. [Google Scholar] [CrossRef] [PubMed]
- Wang, S.; Guan, L.; Zang, J.; Xing, K.; Zhang, J.; Liu, D.; Zhao, L. Structure-based design of novel benzimidazole derivatives as Pin1 inhibitors. Molecules 2019, 24, 1198. [Google Scholar] [CrossRef]
- Qin, H.; Miao, Y.; Xu, J.; Bi, Q.; Qu, W.; Liu, W.; Feng, F.; Sun, H. A facile and efficient [4+2] annulation reaction of sulfur ylides: Access to N-fused benzimidazoles. Org. Chem. Front. 2019, 6, 205–208. [Google Scholar] [CrossRef]
- Zheng, H.-L.; Chen, X.-L.; Li, T.; Yin, Z.; Zhang, Y.; Kurmoo, M.; Zeng, M.-H. Manipulating clusters by use of competing N,O-chelating ligands: A combined crystallographic, mass spectrometric, and DFT study. Chem. Eur. J. 2018, 24, 7906–7912. [Google Scholar] [CrossRef]
- Wang, W.; Xu, D.; Sun, Q.; Sun, W. Efficient aliphatic C-H bond oxidation catalyzed by manganese complexes with hydrogen peroxide. Chem. Asian J. 2018, 13, 2458–2464. [Google Scholar] [CrossRef]
- Politanskaya, L.; Selivanova, G.A.; Panteleeva, E.V.; Tretyakov, E.V.; Platonov, V.E.; Nikul’Shin, P.V.; Vinogradov, A.S.; Zonov, Y.V.; Karpov, V.M.; Mezhenkova, T.V.; et al. Organofluorine chemistry: Promising growth areas and challenges. Russ. Chem. Rev. 2019, 88, 425–569. [Google Scholar] [CrossRef]
- Makarov, A.G.; Selikhova, N.Y.; Makarov, A.Y.; Malkov, V.S.; Bagryanskaya, I.Y.; Gatilov, Y.V.; Knyazev, A.S.; Slizhov, Y.G.; Zibarev, A.V. New fluorinated 1,2-diaminoarenes, quinoxalines, 2,1,3-arenothia(selena)diazoles and related Compd. J. Fluor. Chem. 2014, 165, 123–131. [Google Scholar] [CrossRef]
- Finger, G.C.; Reed, F.H.; Burness, D.M.; Fort, D.M.; Blough, R.R. Aromatic fluorine compounds. II. 1,2,4,5-Tetrafluorobenzene and related compounds. J. Am. Chem. Soc. 1951, 73, 145–149. [Google Scholar] [CrossRef]
- Campbell, J.E.; Hewitt, M.C.; Jones, P.; Xie, L. Heteroaryl Compounds and Methods of Use Thereof. U.S. Patent No. WO 2011/150156 A2, 1 December 2011. [Google Scholar]
- Allen, F.H.; Kennard, O.; Watson, D.G.; Brammer, L.; Orpen, A.G.; Taylor, R. Tables of bond lengths determined by X-ray and neutron diffraction. Part 1. Bond lengths in organic compounds. J. Chem. Soc. Perkin Trans. II 1987, S1–S19. [Google Scholar] [CrossRef]
- DcOria, E.; Novoa, J.J. On the hydrogen bond nature of the C–H···F interactions in molecular crystals. An exhaustive investigation combining a crystallographic database search and ab initio theoretical calculations. Cryst. Eng. Comm. 2008, 10, 423–436. [Google Scholar]
- Rybalova, T.V.; Bagryanskaya, I.Y. C.-F…π, F…H., and F…F intermolecular interactions and F-aggregation: Role in crystal engineering of fluoroorganic compounds. J. Struct. Chem. 2009, 50, 741–753. [Google Scholar] [CrossRef]
- Lannes, A.; Suffren, Y.; Tommasino, J.B.; Chiriac, R.; Toche, F.; Khrouz, L.; Molton, F.; Duboc, C.; Kieffer, I.; Hazemann, J.-L.; et al. Room temperature magnetic switchability assisted by hysteretic valence tautomerism in a layered two-dimensional manganese-radical coordination framework. J. Am. Chem. Soc. 2016, 138, 16493–16501. [Google Scholar] [CrossRef] [PubMed]
- Prasanna, M.D.; Guru Row, T.N. C–halogen···π interactions and their influence on molecular conformation and crystal packing: A database study. Cryst. Eng. 2000, 3, 135–154. [Google Scholar] [CrossRef]
- Lorenzo, S.; Lewis, G.R.; Dance, I. Supramolecular potentials and embraces for fluorous aromatic molecules. New J. Chem. 2000, 24, 295–304. [Google Scholar] [CrossRef]
- Ooi, H.C.; Suschitzky, H. Practicable syntheses of 2-hydroxymethyl-substituted benzimidazoles and 2-formylbenzimidazole. J. Chem. Soc. Perkin Trans. 1 1982, 12, 2871–2875. [Google Scholar] [CrossRef]
- Sheldrick, G.M. SHELX-97. Programs for Crystal Structure Analysis (Release 97-2); University of Göttingen: Göttingen, Germany, 1998. [Google Scholar]
- Sheldrick, G.M. Crystal structure refinement with SHELXL. Acta Cryst. Sect. C Struct. Chem. 2015, 71, 3–8. [Google Scholar] [CrossRef]
- SADABS, v. 2008-1; Bruker AXS: Madison, WI, USA, 2008.
- Spek, A.L. PLATON. In A Multipurpose Crystallographic Tool; Utrecht University: Utrecht, The Netherlands, 2003. [Google Scholar]
- Spek, A. Single-crystal structure validation with the program PLATON. J. Appl. Crystallogr. 2003, 36, 7–13. [Google Scholar] [CrossRef]
- Macrae, C.F.; Edgington, P.R.; McCabe, P.; Pidcock, E.; Shields, G.P.; Taylor, R.; Towler, M.; van de Streek, J. Mercury: Visualization and analysis of crystal structures. J. Appl. Crystallogr. 2006, 39, 453–457. [Google Scholar] [CrossRef]
© 2020 by the authors. Licensee MDPI, Basel, Switzerland. This article is an open access article distributed under the terms and conditions of the Creative Commons Attribution (CC BY) license (http://creativecommons.org/licenses/by/4.0/).








