Efficient Broadband Truncated-Pyramid-Based Metamaterial Absorber in the Visible and Near-Infrared Regions
Abstract
1. Introduction
2. Structure Design and Methods
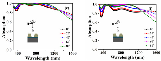
3. Results and Discussion
4. Conclusions
Supplementary Materials
Author Contributions
Funding
Conflicts of Interest
References
- Landy, N.I.; Sajuyigbe, S.; Mock, J.J.; Smith, D.R.; Padilla, W.J. Perfect Metamaterial Absorber. Phys. Rev. Lett. 2008, 100, 207402. [Google Scholar] [CrossRef] [PubMed]
- Cong, L.; Tan, S.; Yahiaoui, R.; Yan, F.; Zhang, W.; Singh, R. Experimental demonstration of ultrasensitive sensing with terahertz metamaterial absorbers: A comparison with the metasurfaces. Appl. Phys. Lett. 2015, 106, 031107. [Google Scholar] [CrossRef]
- Singh, R.; Cao, W.; Al-Naib, I.; Cong, L.; Withayachumnankul, W.; Zhang, W. Ultrasensitive terahertz sensing with high-Q Fano resonances in metasurfaces. Appl. Phys. Lett. 2014, 105, 171101. [Google Scholar] [CrossRef]
- Ghobadi, A.; Hajian, H.; Rashed, A.R.; Butun, B.; Ozbay, E. Tuning the metal filling fraction in metal-insulator-metal ultra-broadband perfect absorbers to maximize the absorption bandwidth. Photon- Res. 2018, 6, 168–176. [Google Scholar] [CrossRef]
- Chen, Y.; Dai, J.; Yan, M.; Qiu, M. Metal-insulator-metal plasmonic absorbers: Influence of lattice. Opt. Express 2014, 22, 30807–30814. [Google Scholar] [CrossRef]
- Dang, P.T.; Nguyen, T.K.; Le, K.Q. Revisited design optimization of metallic gratings for plasmonic light-trapping enhancement in thin organic solar cells. Opt. Commun. 2017, 382, 241–245. [Google Scholar] [CrossRef]
- Nguyen, T.K.; Dang, P.T.; Le, K.Q. Numerical design of thin perovskite solar cell with fiber array-based anti-reflection front electrode for light-trapping enhancement. J. Opt. 2016, 18, 125901. [Google Scholar] [CrossRef]
- Costanzo, S.; Venneri, F. Polarization-Insensitive Fractal Metamaterial Surface for Energy Harvesting in IoT Applications. Electronics 2020, 9, 959. [Google Scholar] [CrossRef]
- Alam, A.; Islam, S.S.; Islam, H.; Almutairi, A.F.; Islam, M.T. Polarization-Independent Ultra-Wideband Metamaterial Absorber for Solar Harvesting at Infrared Regime. Materials 2020, 13, 2560. [Google Scholar] [CrossRef]
- Safaei, A.; Chandra, S.; Leuenberger, M.N.; Chanda, D. Wide Angle Dynamically Tunable Enhanced Infrared Absorption on Large-Area Nanopatterned Graphene. ACS Nano 2018, 13, 421–428. [Google Scholar] [CrossRef]
- Thongrattanasiri, S.; Koppens, F.H.L.; De Abajo, F.J.G. Complete Optical Absorption in Periodically Patterned Graphene. Phys. Rev. Lett. 2012, 108, 047401. [Google Scholar] [CrossRef] [PubMed]
- Nguyen, T.K.; Dang, P.T.; Park, I.; Le, K.Q. Broadband THz radiation through tapered semiconductor gratings on high-index substrate. J. Opt. Soc. Am. B 2017, 34, 583. [Google Scholar] [CrossRef]
- Cleary, J.W.; Leedy, K.D.; Nader, N.; Soref, R. Tunable short- to mid-infrared perfectly absorbing thin films utilizing conductive zinc oxide on metal. Opt. Mater. Express 2015, 5, 1898–1909. [Google Scholar] [CrossRef]
- Zhao, Y.; Huang, Q.; Cai, H.; Lin, X.; Lu, Y. A broadband and switchable VO2-based perfect absorber at the THz frequency. Opt. Commun. 2018, 426, 443–449. [Google Scholar] [CrossRef]
- Badsha, A.; Jun, Y.C.; Hwnagbo, C.K. Admittance matching analysis of perfect absorption in unpatterned thin films. Opt. Commun. 2014, 332, 206–213. [Google Scholar] [CrossRef]
- Yang, Y.; Kelley, K.P.; Sachet, E.; Campione, S.; Luk, T.S.; Maria, J.-P.; Sinclair, M.B.; Brener, I. Femtosecond optical polarization switching using a cadmium oxide-based perfect absorber. Nat. Photonics 2017, 11, 390–395. [Google Scholar] [CrossRef]
- Rensberg, J.; Zhou, Y.; Richter, S.; Wan, C.; Zhang, S.; Schöppe, P.; Schmidt-Grund, R.; Ramanathan, S.; Capasso, F.; Kats, M.A.; et al. Epsilon-Near-Zero Substrate Engineering for Ultrathin-Film Perfect Absorbers. Phys. Rev. Appl. 2017, 8, 014009. [Google Scholar] [CrossRef]
- Tuan, T.S.; Hoa, N.T.Q.; Tran, S.T.; Nguyen, T.Q.H. Numerical Study of an Efficient Broadband Metamaterial Absorber in Visible Light Region. IEEE Photon- J. 2019, 11, 1–10. [Google Scholar] [CrossRef]
- Lei, L.; Li, S.; Huang, H.; Tao, K.; Xu, P. Ultra-broadband absorber from visible to near-infrared using plasmonic metamaterial. Opt. Express 2018, 26, 5686–5693. [Google Scholar] [CrossRef]
- Mo, L.; Yang, L.; Nadzeyka, A.; Bauerdick, S.; He, S. Enhanced broadband absorption in gold by plasmonic tapered coaxial holes. Opt. Express 2014, 22, 32233–32244. [Google Scholar] [CrossRef]
- Ghobadi, A.; Hajian, H.; Gokbayrak, M.; Dereshgi, S.A.; Toprak, A.; Butun, B.; Ozbay, E. Visible light nearly perfect absorber: An optimum unit cell arrangement for near absolute polarization insensitivity. Opt. Express 2017, 25, 27624. [Google Scholar] [CrossRef] [PubMed]
- Sood, D.; Tripathi, C.C. A wideband ultrathin low profile metamaterial microwave absorber. Microw. Opt. Technol. Lett. 2015, 57, 2723–2728. [Google Scholar] [CrossRef]
- Hoa, N.T.Q.; Lam, P.H.; Tung, P.D. Wide-angle and polarization-independent broadband microwave metamaterial absorber. Microw. Opt. Technol. Lett. 2017, 59, 1157–1161. [Google Scholar] [CrossRef]
- Luo, M.; Shen, S.; Zhou, L.; Wu, S.; Zhou, Y.; Chen, L. Broadband, wide-angle, and polarization-independent metamaterial absorber for the visible regime. Opt. Express 2017, 25, 16715–16724. [Google Scholar] [CrossRef] [PubMed]
- Dang, P.T.; Le, K.Q.; Lee, J.-H.; Nguyen, T.K. A Designed Broadband Absorber Based on ENZ Mode Incorporating Plasmonic Metasurfaces. Micromachines 2019, 10, 673. [Google Scholar] [CrossRef]
- Dang, P.T.; Nguyen, T.K.; Le, K.Q.; Pham, T.T. Epsilon-near-zero enhanced plasmonic Brewster transmission through subwavelength tapered metallic gratings. J. Korean Phys. Soc. 2018, 72, 38–44. [Google Scholar] [CrossRef]
- Zhou, L.; Tan, Y.; Ji, D.; Zhu, B.; Zhang, P.; Xu, J.; Gan, Q.; Yu, Z.; Zhu, J. Self-assembly of highly efficient, broadband plasmonic absorbers for solar steam generation. Sci. Adv. 2016, 2, e1501227. [Google Scholar] [CrossRef]
- Zhou, L.; Li, Z.; Zhang, J.; Li, D.; Liu, D.; Li, Y.; Wang, X. Thin layer broadband porous chromium black absorber fabricated through wet-etching process. RSC Adv. 2019, 9, 14649–14656. [Google Scholar] [CrossRef]
- Garoli, D.; Calandrini, E.; Giovannini, G.; Hubarevich, A.; Caligiuri, V.; De Angelis, F.; Hubarevich, A. Nanoporous gold metamaterials for high sensitivity plasmonic sensing. Nanoscale Horizons 2019, 4, 1153–1157. [Google Scholar] [CrossRef]
- Garoli, D.; Calandrini, E.; Bozzola, A.; Ortolani, M.; Cattarin, S.; Barison, S.; Toma, A.; De Angelis, F. Boosting infrared energy transfer in 3D nanoporous gold antennas. Nanoscale 2017, 9, 915–922. [Google Scholar] [CrossRef]
- Aydin, K.; Ferry, V.E.; Briggs, R.M.; Atwater, H.A. Broadband polarization-independent resonant light absorption using ultrathin plasmonic super absorbers. Nat. Commun. 2011, 2, 517. [Google Scholar] [CrossRef] [PubMed]
- Zhou, L.; Zhou, Y.; Zhu, Y.-F.; Dong, X.-X.; Gao, B.-L.; Wang, Y.-Z.; Shen, S. Broadband bidirectional visible light absorber with wide angular tolerance. J. Mater. Chem. C 2016, 4, 391–397. [Google Scholar] [CrossRef]
- Chen, R.; Grzegorczyk, T.M.; Wu, B.-I.; Pacheco, J.; Kong, J.A. Robust method to retrieve the constitutive effective parameters of metamaterials. Phys. Rev. E 2004, 70, 016608. [Google Scholar] [CrossRef] [PubMed]
- ArrayExpress—A database of functional genomics experiments. Available online: http://www.ebi.ac.uk/arrayexpress/ (accessed on 12 November 2012).
- Rakić, A.D.; Djurišić, A.B.; Elazar, J.M.; Majewski, M.L. Optical properties of metallic films for vertical-cavity optoelectronic devices. Appl. Opt. 1998, 37, 5271–5283. [Google Scholar] [CrossRef] [PubMed]
- Pfluger, J.; Fink, J.; Weber, W.; Bohnen, K.P.; Crecelius, G. Dielectric properties of TiCx, TiNx, VCx, and VNx from 1.5 to 40 eV determined by electron-energy-loss spectroscopy. Phys. Rev. B 1984, 30, 1155–1163. [Google Scholar] [CrossRef]
- Ding, F.; Jin, Y.; Li, B.; Cheng, H.; Mo, L.; He, S. Ultrabroadband strong light absorption based on thin multilayered metamaterials. Laser Photon- Rev. 2014, 8, 946–953. [Google Scholar] [CrossRef]
- Zhang, C.; Huang, C.; Pu, M.; Song, J.; Zhao, Z.; Wu, X.; Luo, X. Dual-band wide-angle metamaterial perfect absorber based on the combination of localized surface plasmon resonance and Helmholtz resonance. Sci. Rep. 2017, 7, 5652. [Google Scholar] [CrossRef]
- Lodewijks, K.; Ryken, J.; Van Roy, W.; Borghs, G.; Lagae, L.; Van Dorpe, P. Tuning the Fano Resonance Between Localized and Propagating Surface Plasmon Resonances for Refractive Index Sensing Applications. Plasmonics 2013, 8, 1379–1385. [Google Scholar] [CrossRef]
- Shen, H.; Maes, B. Combined plasmonic gratings in organic solar cells. Opt. Express 2011, 19, A1202–A1210. [Google Scholar] [CrossRef]
- Lu, L.; Luo, Z.; Xu, T.; Yu, L. Cooperative Plasmonic Effect of Ag and Au Nanoparticles on Enhancing Performance of Polymer Solar Cells. Nano Lett. 2012, 13, 59–64. [Google Scholar] [CrossRef]
- Wang, K.; Mittleman, D.M. Dispersion of Surface Plasmon Polaritons on Metal Wires in the Terahertz Frequency Range. Phys. Rev. Lett. 2006, 96, 157401. [Google Scholar] [CrossRef] [PubMed]










© 2020 by the authors. Licensee MDPI, Basel, Switzerland. This article is an open access article distributed under the terms and conditions of the Creative Commons Attribution (CC BY) license (http://creativecommons.org/licenses/by/4.0/).
Share and Cite
Dang, P.T.; Vu, T.V.; Kim, J.; Park, J.; Nguyen, V.-C.; Vo, D.D.; Nguyen, T.K.; Le, K.Q.; Lee, J.-H. Efficient Broadband Truncated-Pyramid-Based Metamaterial Absorber in the Visible and Near-Infrared Regions. Crystals 2020, 10, 784. https://doi.org/10.3390/cryst10090784
Dang PT, Vu TV, Kim J, Park J, Nguyen V-C, Vo DD, Nguyen TK, Le KQ, Lee J-H. Efficient Broadband Truncated-Pyramid-Based Metamaterial Absorber in the Visible and Near-Infrared Regions. Crystals. 2020; 10(9):784. https://doi.org/10.3390/cryst10090784
Chicago/Turabian StyleDang, Phuc Toan, Tuan V. Vu, Jongyoon Kim, Jimin Park, Van-Chuc Nguyen, Dat D. Vo, Truong Khang Nguyen, Khai Q. Le, and Ji-Hoon Lee. 2020. "Efficient Broadband Truncated-Pyramid-Based Metamaterial Absorber in the Visible and Near-Infrared Regions" Crystals 10, no. 9: 784. https://doi.org/10.3390/cryst10090784
APA StyleDang, P. T., Vu, T. V., Kim, J., Park, J., Nguyen, V.-C., Vo, D. D., Nguyen, T. K., Le, K. Q., & Lee, J.-H. (2020). Efficient Broadband Truncated-Pyramid-Based Metamaterial Absorber in the Visible and Near-Infrared Regions. Crystals, 10(9), 784. https://doi.org/10.3390/cryst10090784

