Abstract
We prepared and studied bent-core liquid crystalline (LC) compounds based on 1,3-disubstituted benzene in a central part and azo-linkage attached directly to this bent core. We designed three structures and checked their mesogenic properties, as well as photosensitivity. We found that two studied compounds revealed columnar LC mesophases, which we transformed to the isotropic phase under the illumination of UV light. We concluded that only one type of structural motif was not mesogenic. For LC compounds, we established phases and phase transition temperatures based on differential scanning calorimetry (DSC) measurements and observations in a polarizing microscope. To confirm phase identification, X-ray studies were performed and structural parameters describing the columnar phases supplied.
1. Introduction
Liquid crystals (LCs) as intermediates between crystals and isotropic liquids serve as an example of media with a big potential for application. Their ability to self-assemble, sensitivity to external stimuli and their electro-optical properties are attracting attention from various scientific fields [1,2,3,4]. To realize anisotropy in physical properties, the shape of molecules should be anisotropic as well. Bent-core structures represent a subclass of LCs in which a polar order can be realized without molecular chirality. Bent-core LCs were reported for the first time by Niory et al. [5], and from that time, a lot of compounds were synthesized and studied [6,7,8,9,10,11,12,13,14].
A variety of mesophases was found for bent-core molecules, including nematic, smectic and columnar phases. For tilted smectic SmCP phases, polar vectors of bent-core molecules can be oriented in a ferroelectric or antiferroelectric manner in the neighboring smectic layers, and the lower index F stands for ferro- and A for antiferroelectricity at P, which represents polarization. Additionally, a lower index A is standing beneath C if the molecules are tilted in a synclinic manner and S for anticlinic orientation of the tilt in the neighboring layers. We can distinguish four possibilities for SmCP structures: two racemic, SmCSPA or SmCAPF, and two homochiral, SmCAPA or SmCSPF, phases [6]. In most cases, the chirality of SmCP phases does not change under applied electric field, as molecules prefer to turn on the cone keeping the chirality sign. Nevertheless, for a sufficient electric field, the change of chirality and rotation along the long molecular axis can be observed [14].
For columnar phases, there are two basic structures arranged in a two-dimensional (2D) lattice [15,16]. Mostly, columnar phases are described as a ripple phase with the layers forming molecular blocks. Two basic forms of columnar phases can exist. A columnar phase designated as B1 has density modulation in the plane parallel to the polarization vector, P, and no electro-optic response or switching current was observed. In case of the density modulation plane perpendicular to the P vector, designation B1Rev was proposed for such a type of columnar mesophase. Additionally, columnar mesophases can exist in different variants: with tilted or nontilted molecules with respect to the layer normal. The electro-optical switching of the columnar B1Rev-type of phases can be complex, as not only a rotation around the tilt cone is allowed, as is typical for SmCP phases. A rotation around the long molecular axis can appear under an applied electric field, which changes the structural chirality.
The most-studied structures were based on a planar central unit such as 1,3-disubstituted benzene, and the length of arms, linkages and substitutions were modified [17,18,19,20,21,22,23,24,25,26,27,28,29,30,31]. When the Schiff base or esters as linkages were replaced by an azo group, photosensitive bent-core LCs were obtained, giving the possibility of photo-tuning the peculiar properties with a potential application in photonics [32,33]. The introduction of azo groups into the various parts of the bent molecular core supplies many photosensitive structures. Unfortunately, very often, the presence of azo linkage leads to the partial destabilization of mesogenic properties due to higher conformation rigidity of the azo-benzene side arms. In fact, the majority of published materials have the azo linkage incorporated in their side arms [17,18,19,20,21,22,23,24,25,26,27,28,29,30,31]. On the other hand, there are only a few examples of bent-core compounds with an azo group attached directly to the central benzene ring [34,35]. In this contribution, we tried to propose new bent-core molecular structures (Figure 1) with stable mesogenic properties and establish their photosensitivity.
Figure 1.
Chemical formulae of the studied compounds 8BVJH12, LJ10/10 and LJV10/10.
2. Experimental
2.1. Synthesis
The synthesis of new bent-shaped materials was carried out as indicated in Scheme 1. Diazotisation of 3-aminobenzoic acid (1) followed by azo-coupling yielded 3-((4′-hydroxyphenyl)diazenyl)benzoic acid (2) as the central photosensitive structure motif. The obtained acid 2 was then acylated by benzoyl chloride 3, prepared in advance by the reaction of corresponding alkoxybenzoic acid with thionyl chloride, giving acid 4 as the product. The second arm of the bent mesogenic core was connected to acid 4 via a N,N’-dicyclohexylcarbodiimide (DCC)-mediated reaction with phenols 5, 6 or 7 in the presence of 4-(N,N-dimethylamino)pyridine (DMAP) in dry CH2Cl2, giving the target materials.
Scheme 1.
Synthesis of target materials.
The synthesis of phenol 5 was described in Reference [36], and the chiral phenols 6 and 7 were synthesized according to the procedures reported in Reference [37]. For the numbering of atoms of the final materials in the NMR spectra, please refer to Figure S1 in the Supplemental Information File.
(E)-3-((4′-Hydroxyphenyl)diazenyl)benzoic acid (2)
3-Aminobenzoic acid (13.70 g, 0.10 mol) was dissolved in glacial acetic acid (100 mL), and conc. hydrochloric acid (20 mL) was added. The mixture was cooled to 0 °C, and fine-pulverized sodium nitrite (8.0 g, 0.11 mol) was added in small portions under vigorous stirring at 0 °C. The stirring continued for one hour. The excess of sodium nitrite was eliminated by the addition of urea. The solution of diazonium salt was added portion-wise to the solution of phenol (10.0 g, 0.11 mol) in aqueous sodium hydroxide (30 mL, 30%) and ice. The mixture was kept alkaline by the addition of solution of NaOH (ca. 150 mL in total of 50%). The temperature of the reaction mixture was kept under 10 °C by the addition of ice. On completion of the addition, the mixture was left to warm to ambient temperature and acidified with hydrochloric acid. The red, solid compound was filtered off and washed with ice-cold water, dried and crystallized from ethanol. Yield 23.2 g (96%) of red crystalline acid (2). 1H NMR (300 MHz, DMSO-d6): 8.33 (1H, s, H-2): 8.05 (2H, m, H-4, H-6), 7.84 (2H, d, H-2′, H-6′), 7.70 (1H, t, H-5), 7.00 (2H, d, H-3′, H-5′). 13C{1H} NMR (75 MHz, DMSO-d6): 167.6 (COO), 162.27 (C-4′), 152.76 (C-3), 145.74 (C-1′), 132.98 (C-1), 131.54 (C-6), 130.46 (C-5), 127.60 (C-4), 125.80 (C-2′, C-6′), 122.53 (C-2), 116.78 (C-3′, C-5′).
(E)-3-((4′-[(4′’-(Decyloxy)benzoyl)oxy]phenyl)diazenyl)benzoic acid (4a):
4-(Decyloxy)benzoyl chloride, prepared by heating 4-(decyloxy)benzoic acid (7.0 g, 25.14 mmol) and thionyl chloride (10 mL) in toluene (70 mL) for 3 h and subsequent evaporation to dryness, was dissolved in dry tetrahydrofuran (THF) (50 mL) and added dropwise with stirring at room temperature to the solution of acid 3 (6.0 g, 24.77 mmol) in dry pyridine (30 mL). The reaction mixture was stirred overnight and then heated to 60–80 °C for 2 h. After cooling, it was poured into the mixture of ice and conc. hydrochloric acid (40 mL), and the separated solid compound was filtered off, washed with water and dried under reduced pressure. The crude product was macerated several times with hot ethanol (the acid 4a has very low solubility in this solvent), filtered and dried. Yield 8.09 g (65%). 1H NMR (300 MHz, CDCl3): 8.72 (1H, s H-2), 8.20–8.30 (2H, m, H-4, H-6), 8.12 (2H, d, H-2′’, H-6′’), 8.04 (2H, H-2′, H-6′), 7.75 (1H, t, H-5), 7.39 (2H, d, H-3′, H-5′), 6.98 (2H, d, H-3′’, H-5′’), 4.05 (2H, t, CH2O), 1.20–2.00 (16H, m, CH2), 0.90 (3H, t, CH3). 13C{1H} NMR (75 MHz, CDCl3): 165.0 (COO), 163.50 (COO), 161.94 (C-4′’), 154.0 (C-3), 153.0 (C-1′), 150.10 (C-4′), 134.10 (C-6), 132.65 (C-2′’, C-6′’), 130.30 (C-1), 130.10 (C-4), 128.50 (C-5), 125.40 (C-2), 124.72 (C-2′, C-6′), 122.92 (C-3′, C-5′), 121.26 (C-1′’), 114.6 (C-3′’, C-5′’), 68.62 (CH2O), 31.92 (CH2CH2CH3), 28.47–29.65 ((CH2)6, CH2CH2O), 25.99 (CH2CH2CH2O), 22.69 (CH2CH3), 14.2 (CH2CH3).
(E)-3-((4′-[(4′’-(Dodecyloxy)benzoyl)oxy]phenyl)diazenyl)benzoic acid (4b):
Same as in the case of 4a, 4-(dodecyloxy)benzoic acid (12.30 g, 40.14 mmol) was transformed to 4-(dodecyloxy)benzoyl chloride using thionyl chloride (15 mL) in toluene (100 mL), dissolved in dry THF (50 mL) and added to the solution of acid 3 (9.70 g, 40.04 mmol) in dry pyridine (50 mL). The reaction mixture was stirred overnight and then heated to 60–80 °C for 2 h. Yield 14.27 g (67%). 1H NMR (300 MHz, CDCl3): 8.72 (1H, s H-2), 8.20–8.30 (2H, m, H-4, H-6), 8.12 (2H, d, H-2′’, H-6′’), 8.04 (2H, H-2′, H-6′), 7.75 (1H, t, H-5), 7.39 (2H, d, H-3′, H-5′), 6.98 (2H, d, H-3′’, H-5′’), 4.05 (2H, t, CH2O), 1.20–2.00 (20H, m, CH2), 0.90 (3H, t, CH3). 13C{1H} NMR (75 MHz, CDCl3): 165.0 (COO), 163.50 (COO), 161.94 (C-4′’), 154.0 (C-3), 153.0 (C-1′), 150.10 (C-4′), 134.10 (C-6), 132.65 (C-2′’, C-6′’), 130.30 (C-1), 130.10 (C-4), 128.50 (C-5), 125.40 (C-2), 124.72 (C-2′, C-6′), 122.92 (C-3′, C-5′), 121.26 (C-1′’), 114.6 (C-3′’, C-5′’), 68.62 (CH2O), 31.92 (CH2CH2CH3), 28.47–29.65 ((CH2)6, CH2CH2O), 25.99 (CH2CH2CH2O), 22.69 (CH2CH3), 14.2 (CH2CH3).
4′-(Octyloxy)-biphenyl-4-yl (E)-4-((3-[(4′-([4′’-(dodecyloxy)benzoyl]oxy)phenyl)diazenyl]benzoyl)oxy)-3-methoxybenzoate (8BVJH12)
DCC (1.31 g, 6.16 mmol) was added to the mixture of acid 4b (3.20 g, 6.03 mmol), phenol 5 (2.70 g, 6.03 mmol) and DMAP (0.75 g, 5.95 mmol) in dry CH2Cl2 (50 mL) at 5 °C. Reaction mixture was let to warm to ambient temperature and stirred under anhydrous conditions for 6 h. The resulting mixture was filtered and the filter cake washed with CH2Cl2. The filtrate was washed with diluted HCl (1:15, 20 mL), water and dried over MgSO4. Crude product was crystallized from an ethanol/dioxane mixture and further purified by column chromatography on silica using dichloromethane–acetone (98:2) as an eluent. Yield 4.05 g (71%). 1H NMR (300 MHz, CDCl3): 8.78 (1H, s between -N and –COO), 8.20–8.35 (2H, m, para to –COO and-N), 8.18 (2H, d, meta to azo-), 8.05 (2H, d ortho to -N), 7.94 (1H, dd, para to –OCH3), 7.88 (1H, d, ortho to –OCH3), 7.70 (1H, t, meta to –COO, central ring), 7.52–7,60 (4H, m, ortho to -Ar), 7.40 (2H, d, ortho to COO–), 7.35 (1H, d, meta to –OCH3), 7.28 (2H, d, ortho to COO– biphenyl), 6.93–7.12 (4H, m, 2 × ortho to OCH2), 4.02 (4H, m CH2OAr), 3.95 (3H, s, OCH3), 1.83 m(4H, 2 × CH2CH2O), 1.2–1.8 (28H, m CH2), 0.9 (6H, m 2 × CH3). 13C{1H} NMR (75 MHz, CDCl3): 164.90 (COO), 163.99 (COO), 163.96 (COO), 163.0 (C-4′’), 159.04 (ArC-OCH2), 153.8 (C-3), 152.8 (C-1′), 151.68 (C–OCH3), 150.17 (C-4′), 150.03 (biphenylC-OOC), 144.60 (ArC-OOC vanil), 139.1 (biphenyl C-1), 132.9 (biphenyl C-1′), 132.64 (C-2′’, C-6′’), 130.34 (C-1), 130.14 (C-4), 129.81 (C-5), 128.61 (ArCCOO - vanil), 128.37 (biphenyl C-2, C-6), 128.03 (biphenyl C-2′, C-6′), 125.20 (C-6), 124.80 (C-2), 123.64 (C-5-vanil), 124.62 (C-2′, C-6′), 123.40 (C-6 vanil), 122.90 (C-3′, C-5′), 122.10 (biphenyl C-3′, C-5′), 121.30 (C-1′’), 115.0 (biphenyl C-3′, C-5′), 114.60 (C-3′’, C-5′’), 114.22 (C-2 vanil), 68.62 (CH2O), 68.30 (CH2O), 31.92 (CH2CH2CH3), 31.53 (CH2CH2CH3), 28.37–29.78 (8 × CH2, 2 × CH2CH2O), 25.99 (CH2CH2CH2O), 25.76 (CH2CH2CH2O), 22.71 (CH2CH3), 22.63 (CH2CH3), 14.2 (CH2CH3),14.09 (CH2CH3). Elemental analysis: for C60H68N2O9 (961.21): calcd. C 74.97, H 7.13, N 2.91, found C 74.83, H 7.22 N 2.86%.
(S)-4-(([1-(Decyloxy)-1-oxopropan-2-yl]oxy)carbonyl)phenyl (E)-3′-((4′’-[(4′’’-(decyloxy)benzoyl)oxy]phenyl)diazenyl)benzoate (LJV10/10)
This compound was synthesised by the same procedure as described for 8BVJH12. Starting from acid 4a (2.0 g, 3.98 mmol) and chiral phenol 6 (1.40 g, 4.0) in dry CH2Cl2 (50 mL) and in the presence of DCC (1.10 g, 4.05 mmol) and DMAP (0.50 g, 3.97 mmol). Chromatography on silica using dichloromethane–acetone (97:3) as the eluent. Yield 2.75 g (83%). 1H NMR (CDCl3): 8.74 (1H, t, J = 1.8, H-2′), 8.31 (1H, d, J = 7.6. H-6′), 8.12–8.26 (5H, m, H-3, H-5, H-2′’’, H-6′’’, H-4′). 8.06 (2H, d, J = 8.2, H-2′’, H-6′’), 7.70 (1H, t, J = 7.9, H-5′), 7.33–7.45 (4H, m, H-2, H-6, H-3′’, H-5′’), 6.99 (2H, d, J = 8.8, H-3′’’, H-5′’’), 5.34 (1H, q, J = 7.0, CH), 4.11–4.26 (2H, m, COOCH2), 4.05 (2H, t, J = 6.5, CH2OAr), 1.75–1.92 (2H, m, CH2CH2O), 1.58–1.71 (5H, m, CH2CH2O, CH3CH), 1.15–1.56 (28H, m, 14 × CH2), 0.82–0.95 (6 H, m, 2 × CH2CH3). 13C{1H} NMR (75 MHz, CDCl3): 170.79 (CHCOO), 165.13 (COO), 164.58 (COO’), 164.05 (COO’’’), 163.72 (C-4′’’), 154.75 (C-1), 153.63 (C-4′’), 152.61 (C-3′), 149.88 (C-1′’), 132.37 (C-2′’’, C-6′’’), 132.22 (C-6′), 131.55 (C-3, C-5), 130.21 (C-1′), 129.52 (C-5′), 127.79 (C-4′), 127.26 (C-4), 124.64 (C-2′), 124.37 (C-3′’, C-5′’), 122.59 (C-2′’, C-6′’), 121.79 (C-2, C-6), 121.04 (C-1′’’), 114.36 (C-3′’’, C-5′’’), 69.32 (CH), 68.35 (CH2OAr), 65.58 (COOCH2), 31.87 (CH2CH2CH3), 29.40–29.54 (m, (CH2)3), 29.34 (CH2(CH2)3O), 29.29 (CH2(CH2)3O), 29.16 (CH2CH2O), 29.06 (CH2(CH2)2CH3), 28.47 (CH2CH2O), 25.95 (CH2(CH2)2O), 25.75 (CH2(CH2)2O), 22.67 (2 × CH2CH3), 17.12 (CH*CH3), 14.11 (2 × CH2CH3). Elemental analysis: for C52H62N2O9 (835.05): calcd. C 71.92, H 7.48, N 3.35, found C 71.81, H 7.49, N 3.33%.
(S)-4-((4′-[((1-[decyloxy]-1-oxopropan-2-yl)oxy)carbonyl]phenoxy)carbonyl)phenyl (E)-3′’-((4′’’-[(4′’’’-(decyloxy)benzoyl)oxy]phenyl)diazenyl)benzoate (LJ10/10)
This compound was synthesised by the same procedure as described for 8BVJH12, by reaction of acid 4a (3.0 g, 5.97 mmol) with chiral phenol 7 (2.81 g, 5.97) in dry CH2Cl2 (50 mL) in the presence of DCC (1.33 g, 6.25 mmol) and DMAP (0.72 g, 5.72 mmol). Chromatography was performed on silica using dichloromethane–acetone (98:2) as the eluent. Yield 3.93 g (69%). 1H NMR (CDCl3) 8.75 (1 H, t, J = 1.8, H-2′’), 8.32 (3 H, m, J = 8.2, H-3, H-5, H-6′’), 8.13–8.26 (5 H, m, H-3′, H-5′, H-2′’’’, H-6′’’’, H-4′’), 8.06 (2 H, d, J = 8.8, H-2′’’, H-6′’’), 7.71 (1 H, t, J = 7.9, H-5′’), 7.45 (2 H, d, J = 8.8, H-2′, H-6′), 7.41 (2 H, d, J = 8.8, H-3′’’, H-5′’’), 7.34 (2 H, d, J = 8.2, H-2, H-6), 6.99 (2 H, d, J = 8.8, H-3′’’’, H-5′’’’), 5.34 (1 H, q, J = 7.0, CH), 4.11–4.26 (2 H, m, COOCH2), 4.05 (2 H, t, J = 6.7, CH2OAr), 1.76–1.90 (2 H, m, CH2CH2O), 1.57–1.72 (5 H, m, CH2CH2O, CH3CH), 1.15–1.57 (28 H, m, 14 × CH2), 0.83–0.94 (6 H, m, 2 × CH2CH3). 13C{1H} NMR (75 MHz, CDCl3): 170.77 (CHCOO), 165.11 (COO’), 164.54 (COO’’), 164.01 (COO’’’’), 163.76 (COO), 163.72 (C-4′’’’), 155.22 (C-1′), 154.75 (C-1), 153.64 (C-4′’’), 152.61 (C-3′’), 149.85 (C-1′’’), 132.36 (C-2′’’’, C-6′’’’), 132.22 (C-6′’), 131.97 (C-3, C-5), 131.51 (C-3′, C-5′), 130.09 (C-1′’), 129.57 (C-5′’), 127.90 (C-4′’), 127.17 (C-4′), 126.74 (C-3′’), 124.64 (C-2′’), 124.37 (C-3′’’, C-5′’’), 122.59 (C-2′’’, C-6′’’), 122.11 (C-2′, C-6′), 121.78 (C-2, C-6), 121.01 (C-1′’’’), 114.34 (C-3′’’’, C-5′’’’), 69.30 (CH), 68.34 (CH2OAr), 65.55 (COOCH2), 31.86 (CH2CH2CH3), 29.40–29.56 (m, (CH2)3), 29.33 (CH2(CH2)3O), 29.28 (CH2(CH2)3O), 29.14 (CH2CH2O), 29.05 (CH2(CH2)2CH3), 28.45 (CH2CH2O), 25.94 (CH2(CH2)2O), 25.74 (CH2(CH2)2O), 22.65 (2 × CH2CH3), 17.10 (CH*CH3), 14.10 (2 × CH2CH3). Elemental analysis: for C57H66N2O11 (955.16): calcd. C 71.68, H 6.97, N 2.93, found C 71.60, H 6.88, 2.87%.
2.2. Methods and Equipment
All starting materials, reagents and solvents were purchased from Sigma-Aldrich (Merck), Acros Organics or Lach:Ner (Czech republic). All solvents used for the synthesis were “p.a.” grade. Structures of intermediates and final products were confirmed by 1H NMR spectroscopy, and the Varian Gemini 300 HC instrument was applied. Deuterio-chloroform was used as the solvent, signals of the solvent served as the internal standard and J values were given in Hz. Elemental analyses were carried out on a Perkin Elmer 2400 instrument. Purity of all final compounds was confirmed by HPLC analysis (Tessek C18 25 × 4.5 RP column) and found >99.8%. Column chromatography was carried out using Merck Kieselgel 60 (60–100 m). UV-Vis spectra were recorded using a Shimadzu UV-2600 spectrophotometer in quartz cuvettes of optical length 1 cm in spectroscopy-grade dichloromethane at typical concentration of 10 mg/L.
Kinetics of the thermal Z-E isomerization were investigated using 1H-NMR spectroscopy, starting from a photostationary state, achieved by irradiation of the 20-mg/mL solution in octadeuteriotoluene in a flame-sealed NMR tube with a low-pressure mercury lamp (8-W sterilAir BLB-8, 366 nm) equipped with a band-pass filter.
The acquired time-dependencies of Z-isomer concentration were fitted to the equation:
and are concentrations of the Z-isomer at the time = 0 and at the time respectively, represented by the intensities of well-separated proton signals of the Z-isomer in the aromatic region of the spectra (see Figure S2 in the Supplementary Information File for details); k is the first-order rate constant of the thermal Z-E relaxation. The equation corresponds to the linearized form of a rate equation. The reported rate constants average the values obtained from several measurements at a stabilized temperature. Activation parameters were obtained from Arrhenius plot of the rate constant measured at different temperatures in the span from 30 °C to 80 °C.
All studied compounds were measured by differential scanning calorimetry (DSC), and a calorimeter Pyris Diamond Perkin Elmer was applied. The samples for DSC were weighted, with masses 2–4 mg, and hermetically closed in aluminium pans. The cooling and heating rates 10 K/min were applied during DSC measurements, and the nitrogen atmosphere applied as a medium during measurements. The calorimeter was calibrated on the extrapolated onset temperatures and enthalpy changes of melting points of water, indium and zinc. For the textural observations, we utilized cells of 5-m thickness, which we made from glasses with ITO transparent electrodes (5 × 5 mm2) separated by mylar sheets. The cells were filled with studied compounds by capillarity in the isotropic phase (Iso). The polarizing optical microscopic (POM) observations were done under a microscope Nikon Eclipse equipped by a temperature chamber. The hot-stage Linkam was applied for the samples heating/cooling or temperature stabilization with the accuracy of 0.1 °C.
3. Results and Discussion
3.1. Mesomorphic Properties
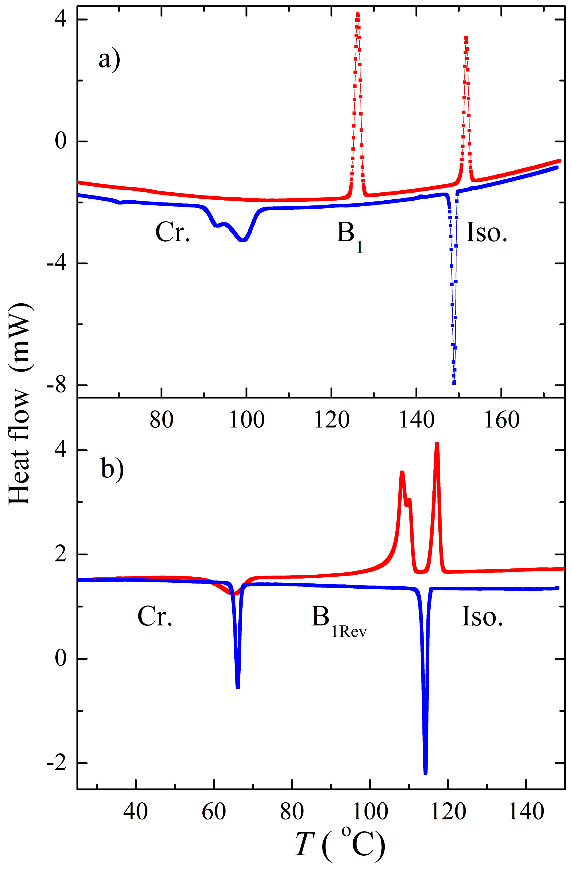
For all studied compounds, we measured the differential scanning calorimetry (DSC). We observed textures under a polarizing microscope and established the phase-transition temperatures. Exact onset values of the transition temperatures calculated from DSC thermographs are summarized in Table 1. At the phase-transition temperatures, there are the corresponding enthalpy changes, presented in kJ/mol, taken from the second runs of DSC at a rate of 10K/min. It is necessary to point out that the crystallization temperature Tcr depends on the cooling speed, and the value presented in Table 1 is related to the declared rate only. In Figure 2, the DSC curves are shown for mesogenic 8BVJH12 and LJ10/10. Sharp DSC peaks are reproducible and confirm the good quality of prepared compounds. Only the crystallization process is not exactly defined, and for LJ10/10, we did not detect a complete crystallization process, and an additional crystallization peak was found during subsequent heating as an opposite peak at the heating thermograph (Figure 2b). The texture observation evidenced the presence of a columnar phase for 8BVJH12 and LJ10/10. Unfortunately, compound LJV10/10 with a hockey stick profile is not mesogenic. The planar texture for 8BVJH12 in the B1 phase is presented in Figure 3. In the columnar B1 phase, the observed mosaic domains do not change in the applied electric field. On the contrary, the planar texture of LJ10/10 can be irreversibly modified by the external electric field. As is demonstrated in Figure 4, the texture changed its color under the electric field and kept its character after switching off the applied field. For LJ10/10, we identified the observed columnar mesophase with the B1rev phase. The textures observed on the sample with one free surface for LJ10/10 revealed specific features, evidencing a modulated character of the observed mesophase (see Figure 5). Compound LJV10/10 is not mesogenic and shows only direct transformation from the crystal to the isotropic phase and vice versa; for POM photos and DSC thermographs, see Supplementary File Figures S3 and S4.
Table 1.
The phase transition temperatures from the isotropic (Iso) phase to a mesophase, Tiso, and the crystallization temperatures, Tcr, in °C. Corresponding enthalpies, H, are in the parentheses in kJ/mol. All values were taken at the second cooling runs, at the rate 10 K/min. Melting points, m.p., were taken at the second heating run.
Figure 2.
Differential scanning calorimetry (DSC) thermographs for compounds (a) 8BVJH12 and (b) LJ10/10. The second heating is presented in red color and the second cooling in blue color. Phases are indicated.
Figure 3.
Planar texture for 8BVJH12 in the B1 phase at T = 130 °C. The width of the figure corresponds to about 250 m.
Figure 4.
Planar texture of LJ10/10 in the B1Rev phase at T = 100 °C: (a) before and (b) after the application of the electric field of about 20 V/m. The width of each figure corresponds to about 300 m.
Figure 5.
Texture of the sample with one free surface for LJ10/10 in the B1rev phase at T = 100 °C. The width of the photo is about 150 m.
3.2. X-ray Measurements
X-ray studies (XRD) were performed to confirm phase identification and establish the structural parameters of the studied columnar mesophases. Both types of columnar phases can be distinguished by their XRD patterns. For 8BVJH12, a small-angle range of a diffractogram (Figure 6) can be indexed assuming a centered rectangular unit cell, which is characteristic for the B1 phase. The parameters a and b of a crystallographic unit cell were calculated from diffractograms taken in various temperatures and are presented in Table 2. For LJ10/10, the XRD pattern is much richer (Figure 7) and can be indexed assuming an oblique primitive unit cell, characteristic for the B1Rev type of mesophases, with the lattice parameters a = 69.4 Å, b = 49.0 Å, and corresponding angle γ = 98.2 degrees (at T = 110 °C). For both columnar mesophases, there is a broad diffused signal in the high-angle range of the patterns (for 8BVJH12, it is demonstrated in Figure 6). Such a broad signal clearly represents an intermolecular distance 4.5 Å and evidences a liquid-like molecular order within the columns. Such an intermolecular distance is typical for bent-core compounds and proves the close packing of molecules in the mesophase.
Figure 6.
The X-ray intensity profile versus the scattering angle for 8BVJH12 at T = 130 °C, and the corresponding 2D pattern in the inset is at the same temperature.
Table 2.
Parameters of the centered rectangular unit cell in the B1 phase detected by X-ray diffraction (XRD) for 8BVJH12.
Figure 7.
X-ray diffraction (XRD) intensity profile in the small-angle region for LJ10/10 at temperature T = 110 °C. In the inset, the 2D pattern is shown for a partially oriented sample at the same temperature.
3.3. Photosensitivity
All studied compounds contain the same chromophore unit, namely 3-((4′-hydroxyphenyl)diazenyl)benzoic acid (compound 2 in Scheme 1), serving as a central bent unit of the mesogenic core. The close proximity of the photoisomerizable azo moiety to the center of the mesogenic core implies the vast changes in the molecular structure upon photoisomerization between a rather flat E-isomer and a distorted Z-isomer (Figure 8). We tested the effect of UV illumination (366 nm) on the sample during observation under the polarized optical microscope in order to study the impact of photoisomerization on the mesomorphic behavior. We can conclude that studied materials are very sensitive towards UV-light. At temperatures 10K below Tiso, we observed that, upon illumination, both compounds, 8BVJH12 and LJ10/10, underwent the phase transition to an isotropic liquid as a consequence of the photogeneration of the Z-isomer (Figure 8). As we illuminated liquid crystalline compounds in the commercial glass cells, we were not able to quantify the illumination, as it was partially absorbed in a glass. Nevertheless, we confirmed that the distorted shape of the Z-isomer disrupted the mesophase. In the Supplementary File, we present a video with a textural change of LJ10/10 under illumination observed under POM. Surprisingly, the photoinduced change is stable compared to other simple azobenzene photochromic units [38]. In fact, we did not observe the regeneration of the mesophase, even after several hours in the darkness, where only the thermal Z-E isomerization is active, regenerating the initial thermodynamically more stable E-isomer. To recover the mesophase, it was necessary to heat the sample over an initial Tiso (before illumination) and cool it down to the mesophase. There are at least two reasons why the initial mesophase is not recovered after some time: (a) there is a high content of photogenerated Z-isomer of high kinetic stabilization, and/or (b) even though the photogenerated Z-isomer fully relaxes to an E-isomer after some time, the orientation of the mesophase cannot be restored due to the high viscosity. Nevertheless, from the point of view of the stability of photoinduced changes, these materials seem to be good candidates for optical data storage.
Figure 8.
Changes of the molecular shape upon E-Z isomerization.
To investigate the isomerisation processes in detail, we utilized 1H-NMR spectroscopy, which allowed the determination of the contents of the E- and Z-isomers after illumination by UV light. Additionally, we can observe the concentration of isomers at a given temperature in time to determine the rate constants and activation parameters of the thermal Z-E isomerization [38]. The measured contents of the UV-generated Z-isomer for 8BVJH12 as the representative compound were as high as ca. 95%, and the photostationary state was reached in less than 5 min, even though the illumination wavelength (366 nm) was off the absorption maximum (Figure 9). Upon longer illumination (1 h and more) of the deuterochloroform solution of 8BVJH12, HPLC analysis revealed a slight decomposition of this material (Figure S5 in the Supplementary Information File). However, the decomposition was probably mediated by this photolabile solvent itself, since it was not observed if the octadeuteriotoluene was used as the solvent.
Figure 9.
UV-Vis absorption spectra of 8BVJH12 solution 10 mg/L in dichloromethane before and after illumination with UV light and marked illumination wavelength 366 nm (dashed line).
We evaluated the relative concentrations of the isomers by using 1H-NMR measurements. The first-order rate constants determined from the decay of the Z-isomer signals in the 1H-NMR spectrum at several temperatures revealed that recovery of the E-isomer is a slow process. For 80 °C, the determined rate constant was 7.73 × 10−4 s−1, which gave the half-life of the Z-isomer ca. 15 min. We suggest that the reason for the above-mentioned stability of the isotropic phase after illumination is not fully related to the long-time stability of the Z-isomer but, also, to the inability to of the regenerated E-isomers to self-assemble due to high viscosity. From the Arrhenius plot, we determined that the Z-isomer is kinetically stabilized by the activation energy barrier of 106.5 kJ/mol, which is in the typical range for azo compounds. However, the stability of the Z-isomer is surprisingly high (rate constant 2.63 × 10−6 s−1 at 30 °C) for such a simple photosensitive unit. Especially when we compare this value with materials based on the isomeric 4-((4′-hydroxyphenyl)diazenyl)benzoic acid presented in Reference [38], where the rate constant was found 1.21 × 10−5 s−1 at 30 °C. In Figure 10, we demonstrate the effect of electron distribution on the kinetic stability of both isomers. The full conjugation through the structure of 4-((4′-hydroxyphenyl)diazenyl)benzoic acid leads to the formation of partial charges in the molecule and weakening of the N=N double bond, which facilitates the thermal Z-E isomerization [39]. Such extended conjugation is impossible in the structure of 3-((4′-hydroxyphenyl)diazenyl)benzoic acid, where the carboxylic group is located meta-position with respect to the azo moiety. Therefore, the kinetic stabilization of the Z-isomer of this structural motif is higher.
Figure 10.
Conjugation possibilities of (a) 4-((4′-hydroxyphenyl)diazenyl)benzoic acid derivatives and (b) 3-((4′-hydroxyphenyl)diazenyl)benzoic acid derivatives.
4. Conclusions
We prepared new photosensitive bent-core liquid crystalline materials with the azo linkage attached directly to the central aromatic ring and described their mesogenic and photosensitive properties. Utilized 3-((4′-hydroxyphenyl)diazenyl)benzoic acid was verified as a structural motif suitable for the induction of mesophases. Two materials with six aromatic rings revealed columnar mesophases, and their characteristics were described using POM, DSC and x-ray measurements. The mesophases showed high photosensitivity towards UV light triggered by an isothermal phase transition to the isotropic liquid, which is thermally stable. The isomerization study revealed extremely efficient photogeneration of the Z-isomer, which is highly abundant in the photostationary state and which has high kinetic stability. Such materials can serve as photosensitive dopants in the development of LC-based photoactive materials for light signal manipulation or data storage devices.
Supplementary Materials
The following are available online at https://www.mdpi.com/2073-4352/10/11/1030/s1, Supplemental data information includes NMR spectra for LJ10/10, DSC plot and photo for LJV10/10, which is not mesogenic (ESI.pdf). Video presents LJ10/10 under illumination with light at 360 nm, at temperature T = 105 °C (LJ10_illumination360nm.mp4).
Author Contributions
Conceptualization, V.N., M.C. and V.H.; materials synthesis: M.C.; investigation: V.N., M.C. and D.P.; writing—original draft preparation, V.N., M.C. and D.P.; writing—review and editing, V.N. and M.C. All authors have read and agreed to the published version of the manuscript.
Funding
This work was supported by the Czech Science Foundation (project 19-03564S) and Operational Programme Research, Development and Education financed by the European Structural and Investment Funds and the Czech Ministry of Education, Youth and Sports (project No. SOLID21-CZ.02.1.01/0.0/0.0/16_019/0000760) and project LTC19051 - MEYS.
Conflicts of Interest
The authors declare no conflict of interest.
References
- Bisoyi, H.K.; Li, Q. Light-Driven Liquid Crystalline Materials: From Photo-Induced Phase Transitions and Property Modulations to Applications. Chem. Rev. 2016, 116, 15089–15166. [Google Scholar] [CrossRef] [PubMed]
- Wang, L.; Li, Q. Photochromism into nanosystems: Towards lighting up the future nanoworld. Chem. Soc. Rev. 2018, 47, 1044–1097. [Google Scholar] [CrossRef] [PubMed]
- Bandara, H.M.D.; Burdette, S.C. Photoisomerization in different classes of azobenzene. Chem. Soc. Rev. 2012, 41, 1809–1825. [Google Scholar] [CrossRef] [PubMed]
- Bisoyi, H.K.; Bunning, T.J.; Li, Q. Stimuli-Driven Control of the Helical Axis of Self-Organized Soft Helical Superstructures. Adv. Mater. 2018, 30, e1706512. [Google Scholar] [CrossRef] [PubMed]
- Niori, T.; Sekine, T.; Watanabe, J.; Furukawa, T.; Takezoe, H. Distinct ferroelectric smectic liquid crystals consisting of banana shaped achiral molecules. J. Mater. Chem. 1996, 6, 1231–1233. [Google Scholar] [CrossRef]
- Link, D.R.; Natale, G.; Shao, R.; MacLennan, J.E.; Clark, N.A.; Körblova, E.; Walba, D.M. Spontaneous Formation of Macroscopic Chiral Domains in a Fluid Smectic Phase of Achiral Molecules. Science 1997, 278, 1924–1927. [Google Scholar] [CrossRef]
- Takezoe, H.; Takanishi, Y. Bent-Core Liquid Crystals: Their Mysterious and Attractive World. Jpn. J. Appl. Phys. 2006, 45, 597–625. [Google Scholar] [CrossRef]
- Gimeno, N.; Ros, M.B. Handbook of Liquid Crystals; Goodby, J.W., Collings, P.J., Kato, T., Tschierske, C., Gleeson, H.F., Raynes, P., Eds.; Wiley-VCH: Weinheim, Germany, 2014; Volume 4, pp. 603–679. [Google Scholar]
- Kato, T.; Uchida, J.; Ichikawa, T.; Sakamoto, T. Functional Liquid Crystals towards the Next Generation of Materials. Angew. Chem. Int. Ed. 2018, 57, 4355–4371. [Google Scholar] [CrossRef]
- Weissflog, W.; Murthy, H.S.; Diele, S.; Pelzl, G. Relationships between molecular structure and physical properties in bent-core mesogens. Philos. Trans. R. Soc. A Math. Phys. Eng. Sci. 2006, 364, 2657–2679. [Google Scholar] [CrossRef]
- Reddy, R.A.; Tschierske, C. Bent-core liquid crystals: Polar order, superstructural chirality and spontaneous desymmetrisation in soft matter systems. J. Mater. Chem. 2006, 16, 907–961. [Google Scholar] [CrossRef]
- Kohout, M.; Svoboda, J.; Novotná, V.; Glogarová, M.; Pociecha, D. Non-symmetrical bent-shaped liquid crystals with five ester groups. Liq. Cryst. 2010, 37, 987–996. [Google Scholar] [CrossRef]
- Kohout, M.; Kozmík, V.; Slabochová, M.; Tůma, J.; Svoboda, J.; Novotná, V.; Pociecha, D. Bent-shaped liquid crystals based on 4-substituted 3-hydroxybenzoic acid central core. Liq. Cryst. 2014, 42, 87–103. [Google Scholar] [CrossRef]
- Novotná, V.; Hamplová, V.; Kašpar, M.; Glogarová, M.; Pociecha, D. Switching of transformation from racemic to homochiral state in new liquid crystalline monomers with bent-core molecule. Liq. Cryst. 2005, 32, 1115–1123. [Google Scholar] [CrossRef]
- Szydlowska, J.; Mieczkowski, J.; Matraszek, J.; Bruce, D.W.; Gorecka, E.; Pociecha, D.; Guillon, D. Bent-core liquid crystals forming two- and three-dimensional modulated structures. Phys. Rev. E 2003, 67, 031702. [Google Scholar] [CrossRef]
- Gorecka, E.; Vaupotič, N.; Pociecha, D.; Čepič, M.; Mieczkowski, J. Switching Mechanism in Polar Columnar Mesophases Made of Bent-Core Molecules. Chem. Phys. Chem. 2005, 6, 1087–1093. [Google Scholar] [CrossRef] [PubMed]
- Alaasar, M.; Prehm, M.; Tschierske, C. Influence of halogen substituent on the mesomorphic properties of five-ring banana-shaped molecules with azobenzene wings. Liq. Cryst. 2013, 40, 656–668. [Google Scholar] [CrossRef]
- Alaasar, M.; Prehm, M.; Nagaraj, M.; Vij, J.K.; Tschierske, C. A Liquid Crystalline Phase with Uniform Tilt, Local Polar Order and Capability of Symmetry Breaking. Adv. Mater. 2013, 25, 2186–2191. [Google Scholar] [CrossRef] [PubMed]
- Alaasar, M.; Prehm, M.; Tschierske, C. Helical Nano-crystallite (HNC) Phases: Chirality Synchronization of Achiral Bent-Core Mesogens in a New Type of Dark Conglomerates. Chem. A Eur. J. 2016, 22, 6583–6597. [Google Scholar] [CrossRef]
- Alaasar, M.; Prehm, M.; May, K.; Eremin, A.; Tschierske, C. 4-Cyanoresorcinol-Based Bent-Core Mesogens with Azobenzene Wings: Emergence of Sterically Stabilized Polar Order in Liquid Crystalline Phases. Adv. Funct. Mater. 2013, 24, 1703–1717. [Google Scholar] [CrossRef]
- Alaasar, M.; Prehm, M.; Tschierske, C. New azobenzene containing bent-core liquid crystals based on disubstituted resorcinol. Liq. Cryst. 2013, 41, 126–136. [Google Scholar] [CrossRef]
- Alaasar, M.; Prehm, M.; Tschierske, C. A new room temperature dark conglomerate mesophase formed by bent-core molecules combining 4-iodoresorcinol with azobenzene units. Chem. Commun. 2013, 49, 11062–11064. [Google Scholar] [CrossRef] [PubMed]
- Alaasar, M. Azobenzene-containing bent-core liquid crystals: An overview. Liq. Cryst. 2016, 43, 2208–2243. [Google Scholar] [CrossRef]
- Jing, H.; Xu, M.; Xiang, Y.; Wang, E.; Liu, D.; Poryvai, A.; Kohout, M.; Éber, N.; Buka, Á. Light Tunable Gratings Based on Flexoelectric Effect in Photoresponsive Bent-Core Nematics. Adv. Opt. Mater. 2019, 7, 1801790. [Google Scholar] [CrossRef]
- Nagaveni, N.; Raghuvanshi, P.; Roy, A.; Prasad, V. Azo-functionalised achiral bent-core liquid crystalline materials: Effect of presence of –N=N– linkage at different locations in the molecular architecture. Liq. Cryst. 2013, 40, 1238–1254. [Google Scholar] [CrossRef]
- Nagaveni, N.G.; Roy, A.; Prasad, V. Achiral bent-core azo compounds: Effect of different types of linkage groups and their direction of linking on liquid crystalline properties. J. Mater. Chem. 2012, 22, 8948–8959. [Google Scholar] [CrossRef]
- Srinivasan, M.V.; Kannan, P.; Roy, A. Investigations on photo and electrically switchable asymmetric bent-core liquid crystals. J. Mater. Sci. 2012, 48, 2433–2446. [Google Scholar] [CrossRef]
- Alaasar, M.; Prehm, M.; Brautzsch, M.; Tschierske, C. Dark conglomerate phases of azobenzene derived bent-core mesogens—Relationships between the molecular structure and mirror symmetry breaking in soft matter. Soft Matter 2014, 10, 7285–7296. [Google Scholar] [CrossRef]
- Alaasar, M.; Prehm, M.; Brautzsch, M.; Tschierske, C. 4-Methylresorcinol based bent-core liquid crystals with azobenzene wings—A new class of compounds with dark conglomerate phases. J. Mater. Chem. C 2014, 2, 5487–5501. [Google Scholar] [CrossRef]
- Šmahel, M.; Poryvai, A.; Xiang, Y.; Pociecha, D.; Troha, T.; Novotná, V.; Svoboda, J.; Kohout, M. Photosensitive bent-core nematic liquid crystals with various linking units in the side arms: Structure-properties relationships. J. Mol. Liq. 2020, 306, 112743. [Google Scholar] [CrossRef]
- Nagaveni, N.G.; Prasad, V.; Roy, A. Azo functionalised achiral bent-core liquid crystals: Observation of photo-induced effects in B7 and B2 mesophases. Liq. Cryst. 2013, 40, 1405–1416. [Google Scholar] [CrossRef]
- Lazarev, G.; Chen, P.-J.; Strauss, J.; Fontaine, N.; Forbes, A. Beyond the display: Phase-only liquid crystal on Silicon devices and their applications in photonics. Opt. Express 2019, 27, 16206–16249. [Google Scholar] [CrossRef] [PubMed]
- Huang, Y.; Hsiang, E.-L.; Deng, M.-Y.; Wu, S.-T. Mini-LED, Micro-LED and OLED displays: Present status and future perspectives. Light. Sci. Appl. 2020, 9, 1–16. [Google Scholar] [CrossRef]
- Monika, M.; Prasad, V.; Nagaveni, N. Hockey stick-shaped azo compounds: Effect of linkage groups and their direction of linking on mesomorphic properties. Liq. Cryst. 2015, 42, 1490–1505. [Google Scholar] [CrossRef]
- Prasad, V.; Gowdru, N.N.; Manjunath, M. Thermally stable azo-substituted bent-core nematogens: Observation of chiral domains in the nematic mesophases composed of smectic nano clusters. Liq. Cryst. 2017, 45, 666–679. [Google Scholar] [CrossRef]
- Kašpar, M.; Hamplová, V.; Novotná, V.; Glogarová, M.; Vaněk, P. New banana-type liquid crystal with a methoxy group substituted near the central ring. J. Mater. Chem. 2002, 12, 2221–2224. [Google Scholar] [CrossRef]
- Novotná, V.; Hamplová, V.; Kaspar, M.; Glogarová, M. New chlorine-substituted ferroelectric liquid crystals with four aromatic rings in the mesogenic core. Liq. Cryst. 2002, 29, 1435–1439. [Google Scholar] [CrossRef]
- Cigl, M.; Bubnov, A.; Kašpar, M.; Hampl, F.; Hamplová, V.; Pacherová, O.; Svoboda, J. Photosensitive chiral self-assembling materials: Significant effects of small lateral substituents. J. Mater. Chem. C 2016, 4, 5326–5333. [Google Scholar] [CrossRef]
- Rau, H.; Dürr, H.; Bouas-Laurent, H. (Eds.) Photochromism Molecules and Systems; Chapter 4: Azo Compounds; Elsevier B.V.: Amsterdam, The Netherlands, 2003; pp. 165–192. [Google Scholar]
Publisher’s Note: MDPI stays neutral with regard to jurisdictional claims in published maps and institutional affiliations. |
© 2020 by the authors. Licensee MDPI, Basel, Switzerland. This article is an open access article distributed under the terms and conditions of the Creative Commons Attribution (CC BY) license (http://creativecommons.org/licenses/by/4.0/).










