Abstract
In this paper, we describe the development of an efficient enzyme immobilization procedure based on the activation of epoxy carriers with glucosamine. This approach aims at both creating a hydrophilic microenvironment surrounding the biocatalyst and introducing a spacer bearing an aldehyde group for covalent attachment. First, the immobilization study was carried out using penicillin G acylase (PGA) from Escherichia coli as a model enzyme. PGA immobilized on glucosamine activated supports has been compared with enzyme derivatives obtained by direct immobilization on the same non-modified carriers, in the synthesis of different 3′-functionalized cephalosporins. The derivatives prepared by immobilization of PGA on the glucosamine-carriers performed better than those prepared using the unmodified carriers (i.e., 90% versus 79% cefazolin conversion). The same immobilization method has been then applied to the immobilization of two other hydrolases (neutral protease from Bacillus subtilis, PN, and bromelain from pineapple stem, BR) and one transferase (γ-glutamyl transpeptidase from Bacillus subtilis, GGT). Immobilized PN and BR have been exploited in the synthesis of modified nucleosides and in a bench-scale packed-bed reactor for the protein stabilization of a Sauvignon blanc wine, respectively. In addition, in these cases, the new enzyme derivatives provided improved results compared to those previously described.
1. Introduction
The biocatalytic use of enzymes provides the possibility to develop efficient processes with low environmental impact in several fields ranging from pharma to food [,,,,,,,,,,,,,,,]. Nowadays, covalent immobilization of enzymes [,,] is increasingly used to improve operational performances, to ensure the recovery and the reuse of the biocatalysts and to avoid contamination of the final product with residual proteins [,,].
In this context, the selection of the most appropriate immobilization method and carrier material is crucial when designing a biocatalytic process as it strongly depends on the type and conditions of the process as well as on the enzyme. For instance, a suitable carrier for enzyme immobilization aimed at the agro-food sector, in particular in the production of alcoholic beverages, should comply with the following prerequisites: (i) Food grade purity; (ii) completely inert in order that its leaving residues cannot affect the quality of the product; (iii) good mechanical, chemical, thermal, and biological stability during the whole process; (iv) robust to degradation by enzymes, solvents, pressure changes, or shearing forces []. Moreover, different carrier-related factors can affect the properties of immobilized enzyme preparations: (i) The microenvironment surrounding the immobilized enzyme, which is correlated with the nature of the carrier (hydrophilic vs. hydrophobic); (ii) the physical structure of the carrier (gel or macroporous); (iii) the functionalization of the carrier and (iv) the orientation of the immobilized enzyme.
In particular, the critical role of the microenvironment has been extensively investigated with regard to the enzyme penicillin G acylase (PGA, EC number 3.5.1.11) from Escherichia coli, one of the most studied enzymes for biocatalytic applications, largely used in pharma industries for the synthesis of β-lactam antibiotics [,,,]. Although PGA is mainly used as immobilized derivative, immobilization depresses its natural synthetic properties [,] regardless of the nature and the activation of the carrier used for its immobilization. It was demonstrated that hydrophobic carriers can exert a detrimental effect on the properties of the final derivative mainly due to the synergy of two factors: The orientation of the enzyme with the active site toward the carrier surface that hampers the accessibility of the substrates into the active site and the hydrophobicity of the carrier [,]. In fact, the synthetic activity of PGA is particularly depressed when acrylic epoxy carriers, characterized by a hydrophobic surface (Eupergit C or Sepabeads EC-EP) are used [,,,], while a weaker effect of the carrier on the properties of the enzyme is observed when more hydrophilic materials, like agarose beads, are used [,,]. Nevertheless, acrylic carriers are largely employed for industrial applications thanks to their optimal mechanical properties, the low cost, and the rapid and simple immobilization procedure.
Starting from these evidences, different strategies have been developed to mitigate the effect of the carrier nature on enzyme properties. A first approach is based on the modification of the microenvironment surrounding the active site of the previously immobilized enzyme, by quenching the oxiranes not involved in the binding with the protein by using different hydrophilic molecules such as amino acids, amino alcohols, or thiols [].
A different approach relies on the introduction of a spacer between the enzyme and the support by using a bifunctional reagent such as glutaraldehyde (GDH) [,]. Glutaraldehyde is a commonly applied compound for enzyme immobilization because it is inexpensive, easily available, easy to manipulate, and it can establish covalent bonds with most of the enzymes [,,,]. In the case of PGA, immobilization on glutaraldehyde-activated carriers has provided immobilized preparations with good catalytic properties, regardless of the nature of the carriers used, probably thanks to an easier diffusion of substrates and products due to the greater distance between the enzyme and the carrier surface [].
Nevertheless, despite its large use for enzyme immobilization, glutaraldehyde presents some drawbacks. The procedure starting from acrylic epoxy-carriers requires four steps (amination, treatment with glutaraldehyde, enzyme immobilization, and final reduction of the imines to stable C–N bonds) or more when starting from carriers presenting hydroxyl groups []. In addition, immobilization via glutaraldehyde activation often leads to a significant loss of enzyme activity, which can be probably ascribable to GDH small size allowing it to easily penetrate into the active site and react with catalytically important amino acids residues []. Furthermore, the main criticism in the application of GDH for enzyme immobilization concerns its leaching from the prepared biocatalysts; the toxic nature of GDH can in fact cause adverse effects on human health and aquatic ecosystems []. Despite in recent years, increasing attention has been paid to the search of novel linker molecules, alternative to glutaraldehyde [], no studies have yet been carried out applying glucosamine as linker. Thus, this paper is focused on the development of novel, non-toxic, and food-grade immobilized biocatalysts, based on the use of glucosamine as activation reagent alternative to glutaraldehyde. In fact, in a previous work, glucosamine was used for the post-immobilization modification of PGA immobilized on epoxy acrylic beads and it was demonstrated to be effective in the creation of a more hydrophilic microenvironment [].
We here describe a new activation protocol of industrial epoxy carriers (that have optimal mechanical properties for the use in industrial bioprocesses) for enzyme immobilization that allows the simultaneous hydrophilization of the carrier surface and the introduction of a spacer bearing a reactive aldehyde group (mimicking GDH). Conversely, if the enzyme is directly immobilized on epoxy-carrier, hydrophilization can only be achieved by post-immobilization treatment of the enzyme derivative [].
The proposed procedure is based on the reaction of the acrylic carrier epoxy groups with glucosamine that is then oxidized to obtain reactive aldehyde groups suitable to react with the amino groups of the enzymes. After immobilization, the reduction of imine bonds formed by reaction of lysine side chains with the aldehyde groups produces stable carbon nitrogen bonds (Scheme 1).

Scheme 1.
Activation of epoxy carriers with glucosamine followed by oxidation and immobilization of enzymes by interaction with amino groups. Experimental conditions: (a) Glucosamine 1–1.5 M, r.t., 24 h; (b) NaIO4, r.t., 1 h; (c) enzyme: PGA, PN, BR, GGT, pH 10, r.t., 3 h; (d) NaBH4, pH 10, 30 min.
This study was first carried out using PGA as model enzyme for optimization of the immobilization process. The immobilized preparations, prepared with the new procedure, were assayed in the synthesis of different 3′-functionalized cephalosporins and compared with enzyme derivatives obtained by direct immobilization on the same non-modified carriers with epoxy activation.
The same immobilization procedure was then used for the immobilization of two other proteases (neutral protease from Bacillus subtilis and bromelain from pineapple stem) and one transferase (γ-glutamyl transpeptidase from Bacillus subtilis). Protease N (PN, EC number 3.4.24.28) is one of the most active casein-hydrolyzing enzymes reported to date. Similarly to PGA, it has both peptidasic and esterasic activities and this latter activity was exploited to selectively convert polyesters of nucleosides into the corresponding nucleosides bearing free hydroxyl group in C-5′ position [,,].
Conversely, bromelain (BR, EC number 3.4.22.32) from pineapple stem was selected as reference protease for food application [,,] and once immobilized through the novel procedure, it was used in a bench-scale packed-bed reactor (PBR) for the protein stabilization of a Sauvignon blanc white wine.
γ-Glutamyl transpeptidase (GGT, EC number 2.3.2.2) is a heterodimeric enzyme involved in glutathione metabolism. The exploitation of soluble GGT for the synthesis of γ-glutamyl derivatives with flavor-enhancing properties, commonly referred as kokumi, is well documented in the literature [] but few examples of the application of immobilized GGT are reported.
2. Results and Discussion
2.1. Immobilization of PGA
In this work, using PGA as a model enzyme, several carriers with different characteristics have been compared and different immobilization conditions were tested in order to optimize the process. In particular, two series of organic polymers were used. Eupergit C and Eupergit C250L are epoxy-activated acrylic beads, that differ in the content of oxirane groups (>600 µmol/g and >250 µmol/g, respectively) and in their pore diameter (mesopores of 10–20 nm and macropores of 100 nm, respectively). Whereas, Sepabeads EC-EP and Relizyme EP403 are epoxy-activated rigid methacrylic polymer beads that differ in porosity, as well: 10–20 nm (100 µmol/g of oxirane groups) and 40–60 nm (40 µmol/g of oxirane groups), respectively. The surface of the carriers has been coated with different concentrations of glucosamine (0.25 M–1.5 M) by reaction of amino groups of the modifier with the epoxy groups on the carrier (Scheme 1). Afterwards, reactive aldehyde groups were introduced by oxidation of the glucosamine-coated carrier with periodate. Particularly, when 1 M glucosamine was used for carrier derivatization 87% of periodate (348 µmol/g carrier) was consumed during the functionalization of the carrier with aldehyde groups.
All the carriers functionalized with 1 M glucosamine gave similar results and the activity recovered after complete immobilization of the protein was between 23% and 36% of the starting activity (Table 1). In particular, Eupergit C and Sepabeads EC-EP provided higher recovered activity compared with the larger pore carriers (Eupergit C250L and Relizyme EP403/S).

Table 1.
Immobilization on epoxy-carriers coated with glucosamine.
As previously described, when PGA was immobilized on unmodified epoxy acrylic carriers, the highest activity recovery (%) was obtained by using the carrier with the largest pore size []. However, as reported in Table 1, when the immobilization was achieved via activation with glucosamine the differences in terms of activity recovery (%) between the supports having different pore size were flattened. Probably, the high concentration of glucosamine used (1 M) allows a similar functionalization for all the carries considered, regardless of the pore size.
In addition, Figure 1 shows that, the activity recovered after immobilization on Eupergit C and Relizyme EP403/S increased as the concentration of glucosamine used for the modification of the carrier surface increased. In the case of Eupergit C the best results were obtained by using 1 M glucosamine. The same trend was observed for the immobilization on Relizyme EP403/S (Figure 1) but, in this case, the highest recovered activity was obtained by increasing the glucosamine concentration to 1.5 M (36% of recovered activity after immobilization, Table 1).

Figure 1.
Immobilization of PGA on Eupergit C and Relizyme EP403/S activated with glucosamine at different concentrations.
The enzymatic synthesis of different cephalosporins was carried out for comparing the different derivatives obtained by immobilization of PGA on the non-modified epoxy carriers and the glucosamine-coated counterparts. In the latter, the best glucosamine activation of the supports in terms of activity recovery of the biocatalysts (Table 1 and Figure 1) was used: Glucosamine 1 M for Eupergit and glucosamine 1.5 M for Relizyme EP403/S.
In the acylation of the β-lactam nuclei with ester 1 (Scheme 2), although the differences among the catalytic performances of the immobilized biocatalysts were not pronounced because of the high hydrolytic activity of PGA towards the acylation products [], all the glucosamine-derivatives provided higher conversions (%) than the corresponding epoxy-derivatives under the same reaction conditions (Table 2). In particular, the Eupergit C-glucosamine derivative showed percentages of conversion of 1a and 1b (77% and 78%, respectively) similar to those previously obtained by using the glyoxyl-agarose derivative [,].

Scheme 2.
β-Lactam nuclei used in the acylation reaction with ester 1.

Table 2.
Enzymatic synthesis of Cefonicid, Cefamandole and Cefazolin by acylation with esters 1 and 2 (Scheme 2) catalyzed by different PGA-derivatives.
Conversely, the differences observed among the different PGA preparations were clearly highlighted in the synthesis of cefazolin 2a (Scheme 2). In this kinetically controlled reaction, the acylation product is not hydrolyzed by PGA and, consequently, its concentration remains constant after reaching the maximum conversion. For this reason, the percentage of conversion achieved is (negatively) influenced exclusively by the hydrolysis of the acylating ester. The synthesis of products 1b and 2a has been also carried out using the native enzyme. In both cases, conversions (75% and 87%, respectively) comparable with those achieved with the glucosamine derivatives were obtained.
These results demonstrate that glucosamine is an effective hydrophilic reagent for simultaneously increasing the distance between the enzyme and the carrier surface and achieving a high hydrophilization of the carrier itself, eliminating, thus, the influence exerted by the carrier on the synthetic properties of PGA. The results reported in Table 2, showed that the immobilization of the enzyme plays a key role in determining the performance of this process. In fact, all the derivatives prepared by immobilization of PGA on the glucosamine-carriers performed better than the corresponding derivatives prepared with the non-modified epoxy-carrier, reaching conversions similar to those reported with the glyoxyl-agarose or glutaraldehyde derivatives [,,]. In this context, the use of glucosamine for derivatization of the oxirane groups of the carrier could be a suitable alternative to the use of glyoxyl or glutaraldehyde activated carriers.
The stability of PGA immobilized on Relizyme EP403/S activated with 0.5 and 1.5 M glucosamine was evaluated under harsh reaction conditions (10 mM phosphate buffer pH 6.5, 40% methanol, room temperature). Both immobilized preparations retained more than 75% of initial activity after 24 h of incubation, with a stability trend similar to that of the soluble enzyme (Figure S1, Supplementary Materials).
In addition, recycling of PGA immobilized on Relizyme EP403/S-glucosamine 1.5 M was performed by evaluating over time the conversion (%) of Cefazolin (2a) in phosphate buffer 25 mM, pH 6.5 and 4 °C (Figure S2, Supplementary Materials). After each reaction cycle (360 min), the reaction mixture was filtered under reduced pressure and the immobilized biocatalyst was re-used for the following reaction runs. The immobilized PGA was successfully re-used for five cycles allowing about 90% conversion of 2a after each cycle. This result suggests that Relizyme EP403/S-glucosamine-PGA could be re-used for additional reactions.
2.2. Immobilization of Protease N on Sepabeads EC-EP Glucosamine
In a previous work, protease N (PN) was immobilized on different carriers (hydrophobic or hydrophilic matrixes) by the use of different immobilization methods. The immobilization through the covalent attachment on agarose (hydrophilic carrier) with various activations (including GDH), led to active and stable biocatalysts that retained between 20% and 30% of the starting activity. Instead, when a hydrophobic epoxy-carrier (Eupergit C or Sepabeads EC-EP) was used, the resulting biocatalyst was unstable since most of the protein, not being covalently bound to the carrier, was partly adsorbed in its monomeric or dimeric form and partly released after immobilization [].
In this context, the best conditions for PGA immobilization on the glucosamine coated carriers were applied also for the immobilization of PN. This enzyme gave a good result upon immobilization on Sepabeads EC-EP-glucosamine 1 M, in fact 89% of protein was immobilized (20% of activity recovery, 1.05 IU/g), whereas when unmodified epoxy carriers were used (Eupergit C or Sepabeads EC-EP) the immobilized protein was about 60%.
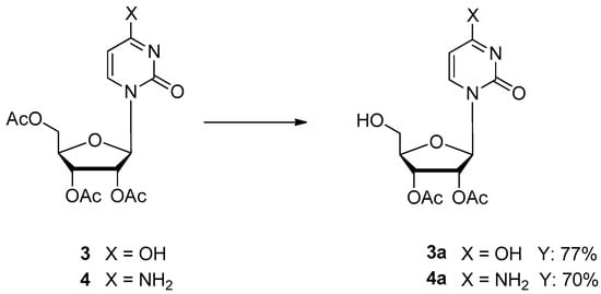
The PN-Sepabeads EC-EP-glucosamine derivative was used as biocatalyst in the hydrolysis of the peracetylated nucleosides 3 and 4 (Scheme 3). The behavior of this biocatalyst was compared with that of the enzyme derivatives previously published in the same reaction conditions.

Scheme 3.
Enzymatic hydrolysis of substrates 3-4 catalyzed by protease N immobilized on Sepabeads EC-EP coated with glucosamine.
In the hydrolysis of substrate 3, the PN-Sepabeads EC-EP-glucosamine derivative afforded 3a in about 77% yield in 24 h similarly to what previously observed with PN immobilized on agarose activated with GDH (69%).
In the enzymatic hydrolysis of peracetylated cytidine 4, 5′-monodeprotected compound (4a) was achieved in 70% yield in 24 h. The catalytic performance of PN-Sepabeads EC-EP-glucosamine biocatalyst was improved compared to that obtained by the immobilized protease on agarose-GDH previously described (54% in 216 h respectively under the same experimental conditions).
2.3. Immobilization of Bromelain (BR) on Relizyme EP403/S-Glucosamine
The optimized immobilization procedure was also applied to bromelain from pineapple stem with the aim to obtain a food-safe biocatalyst. Relizyme EP403/S, activated with either 1.5 M glucosamine or glutaraldehyde, was used as carrier. This choice was made to address the need of immobilized bromelain to act on large macromolecules, such as wine proteins, that need to penetrate into the support pores. Relizyme EP403/S with a pore diameter of 40–60 nm appeared the most suitable support to favor substrates diffusion. Moreover, Relizyme carriers fulfil many of the requirements for food applications. They are in fact highly stable, both physically and chemically, and, remarkably all the substances used in their manufacture are selected among those reported in the European Resolution ResAP (2004) 3 Version 3–28 January 2009, which is related to the resins that can be used in the processing of foodstuffs.
Although the percentage of immobilized protein was higher with the glutaraldehyde, rather than the glucosamine-activated carrier (90% and 50%, respectively), the activity recovery (%) on glucosamine-activated Relizyme EP403/S was two-fold that obtained on the same carrier activated with glutaraldehyde (8.5% and 3.3% corresponding to 2.5 IU/g and 1 IU/g, respectively). The activity recovery (%) obtained with bromelain was generally lower than that obtained with the other proteases considered in this paper. This result was ascribed to the synergy of two main factors: The poor stability of bromelain under the immobilization conditions (Figure S3, Supplementary Materials) and an autoproteolysis phenomena, that likely occurs at higher rates at neutral/alkaline pHs rather than acid ones [] that results in the binding on the carrier of high number of inactive protein molecules.
Haze formation in white wine is a complex phenomenon, which is due to the presence of specific proteins deriving from grape (pathogen related-proteins, i.e., thaumatin-like proteins and chitinases) []. In this study, bromelain from pineapple stem has been applied for achieving the hydrolysis of proteins responsible for haze formation in a Sauvignon blanc wine. To investigate the efficiency of immobilized bromelain in the hydrolysis of proteins responsible for the formation of haze in a Sauvignon blanc wine, a continuous treatment was carried out in a full-bed reactor (PBR), containing bromelain immobilized on Relizyme EP403/S-GDH or Relizyme EP403/S-glucosamine, by recycling the biocatalyst in the PBR system for five steps. As reported in Table 3, the haze potential of Sauvignon blanc remarkably decreased up to the fourth passage in both PBRs, thus achieving a reduction of approximately 10% and 54% (for BR-Relizyme EP403/S-glutaraldehyde and BR-Relizyme EP403/S-glucosamine, respectively) compared to the untreated wine. The further passage in the same PBR did not noticeably reduce the wine haze potential. Overall, the treatment carried out in PBR containing BR-Relizyme EP403/S glucosamine was the most efficient in breaking down the proteins responsible for haze formation, thus limiting wine tendency to form turbidity. These observations are consistent with the findings reported in other studies, in which the haze potential of an instable white wine remarkably decreased up to the fourth passage (−72%) in a PBR containing bromelain immobilized on chitosan beads, with no further reduction after the last passage [].

Table 3.
Haze potential of Sauvignon blanc wine treated for five passages in the same packed-bed reactor containing bromelain immobilized on Relizyme EP403/S-GDH or Relizyme EP403/S-glucosamine at 20 °C.
The effect of the two treatments on the phenolic and chromatic indexes of the Sauvignon blanc wine was evaluated by analyzing the UV-visible spectra of the untreated and treated wine (Figure 2). In both PBRs, an absorbance reduction was registered at 280, 320 nm (corresponding to total phenols and cinnamic acids, respectively) and 420 nm (yellow color of white wine) and it did not remarkably change when the number of passages increased. Comparing the two samples, it appeared evident that the treatment carried out in the PBR containing BR-Relizyme EP403/S glutaraldehyde greatly affected the phenolic and chromatic properties of the white wine. In particular, the absorbance reduction was about 5-fold higher (at 280 nm corresponding to total phenols), 4-fold higher (at 320 nm corresponding to cinnamic acids) and 8-fold higher (at 420 nm corresponding to the yellow color of white wine) with respect to the treatment conducted in the PBR containing BR-Relizyme EP403/S glucosamine. This effect can likely be ascribed to an effective hydrophilization of the carrier achieved by reacting it with glucosamine: In fact, the more hydrophilic support has fewer interactions with the compounds related to the phenolic and chromatic indexes. Otherwise, the activation of Relizyme EP403/S by using glutaraldehyde has given to the carrier greater hydrophobic properties, thus probably enhancing the interactions with the hydrophobic benzenoid rings of phenolic compounds, which resulted in a remarkable reduction of wine phenolic and chromatic properties.

Figure 2.
Ultraviolet (UV)-Visible spectra of Sauvignon blanc untreated wine and enzymatically treated in packed bed reactor (five passages) containing bromelain immobilized on Relizyme EP403/S-GDH (a) or on Relizyme EP403/S-glucosamine (b). Table in the insert represent the absorbance reduction (%) of wine samples at three wavelengths (280, 320, and 420 nm).
In light of these results, the biocatalyst obtained immobilizing bromelain on Relizyme EP403/S-glucosamine and applied in a PBR, for the continuous treatment of an unstable white wine, appeared the most efficient in terms of haze potential reduction, without affecting the phenolic and chromatic indexes of the treated wine.
2.4. Immobilization γ-glutamyl Transpeptidase (GGT) on Relizyme EP403/S-Glucosamine
Finally, the new immobilization process was applied to the immobilization of GGT. First, GGT was immobilized on non-activated Relizyme EP403/S and Relizyme EP403/S activated with GDH. Although the percentage of immobilized protein was higher with the glutaraldehyde rather than the non-activated carrier (80% and 50%, respectively), the biocatalyst activity immobilized on non-activated Relizyme EP403/S was two-fold that obtained on the same carrier (2 IU/g and 1 IU/g corresponding to 9% and 19.5% of activity recovery, respectively). Then, GGT was immobilized on Relizyme EP403/S activated with 1.5 M glucosamine. In this case, 86% of the enzyme was immobilized on the carrier with an activity recovery of 34% corresponding to 5.7 IU/g.
3. Materials and Methods
PGA from E. coli as well as penicillin G potassium salt (PGK), the β-lactam nuclei, the analytical standards of Cefonid 1a, Cefamandole 1b and Cefazolin 2a were kindly provided by ACS Dobfar SpA (Tribiano, Milano, Italy). PGA concentration was 100 mg/mL with a specific activity towards PGK of 14 IU/mg.
Protease N from B. subtilis PRD0950504N was a gift from Amano Enzyme (Chipping Norton, UK). Specific activity of protease N on Nα-benzoyl-L-arginine ethyl ester hydrochloride (BAEE) was 0.5 IU/mg. Bromelain from pineapple stem, L-glutamic acid γ-(4-nitroanilide) (GpNA), glycylglycine (Gly-Gly), Nα-benzoyl-L-arginine ethyl ester hydrochloride (BAEE), Bradford reagent, glucosamine, bovine serum albumin (BSA) were purchased from Sigma-Aldrich (Milano, Italy). The synthetic substrate Bz-Phe-Val-Arg-pNA, used to test bromelain activity was from Bachem (Weil am Rhein, Germany). Specific activity of bromelain on Bz-Phe-Val-Arg-pNA was 0.6 IU/mg. BsGGT from B. subtilis was produced in recombinant form following an established protocol []. The specific activity of BsGGT was 11 IU/mg.
Eupergit® C (average pore diameter 10–20 nm) and Eupergit® C250L (average pore diameter 100 nm) were kindly donated from Rohmpharma Rohm GmbH (Darmstadt, Germany). Sepabeads®EC-EP (average pore diameter: 10–20 nm) and Relizyme EP/403S (average pore diameter: 40–60 nm) were a gift from Resindion (Binasco, Milano, Italy). HPLC analyses were run with a L-7100 HPLC (Merck Hitachi, Tokyo, Japan) equipped with Merck Hitachi D-7000 HPLC Multi HSM Manager, a L-7400 detector, an L-7300 oven and a C18 column (Kromasil, 250 mm × 4.6 mm, 5 µm particles). The pH during the enzymatic reactions was kept constant by automatic titration by using a pH-stat 718 Stat Tritino (Metrohm, Herisau, Switzerland). Peracetylated nucleosides 3 and 4 were synthesized using previously reported methods [].
3.1. Enzyme Immobilization
Enzyme immobilization on different carriers was accomplished by applying the following immobilization procedures (see below), the enzymatic activity was monitored during the immobilization by enzymatic standard assays and the amount of immobilized enzyme was assessed by measuring the enzyme concentration before and after immobilization (Bradford method).
Enzyme loading: 200 IU (14 mg) of PGA, 5 IU (10 mg) of PN, 30 IU (50 mg) of BR and 11 IU (1 mg) of GGT were loaded for 1 g of carrier.
3.1.1. Immobilization of PGA on Epoxy Acrylic Carriers
The epoxy-activated acrylic resins were used according to the supplier indications. Immobilization was carried out at high phosphate concentration (1–1.5 M) at pH 8.0 for 24 h at room temperature as previously described [,].
3.1.2. Activation of Epoxy Carriers with Glucosamine
Epoxy activated carrier (1 g) was suspended in a 1–1.5 M solution of glucosamine (12.8 mL). The pH of the resulting solution was adjusted to 10 by adding diluted NaOH and the suspension was kept under mechanical stirring at room temperature for 24 h, then the activated carrier was washed with deionized water. The resultant resin was oxidized with a 15 mM solution of NaIO4 (27 mL per gram of resin, which corresponds to 400 µmol of NaIO4 per g of resin) for 1 h at room temperature. The oxidation degree of the carrier was evaluated by using standard spectrophotometric periodate test on the supernatant []. Briefly, 25 µL of sample withdrawn at the beginning and during the oxidation with periodate were added to a solution 1:1 v/v 10% potassium iodide and saturated bicarbonate (2 mL) and their absorbance was measured at 419 nm. The activated carrier was then washed with deionized water and used immediately for immobilization or stored at 4 °C.
3.1.3. General procedure for Enzyme Immobilization on Glucosamine Activated Carriers
The activated carrier (1 g) was suspended in 50 mM carbonate buffer (12.8 mL) (supplemented with 100 mM phenylacetic acid in the case of PGA and 10 mM DTT in the case of BR) at pH 10. The appropriate amount of enzyme was then added and maintained under stirring for 3 h at room temperature (4 °C in the case of BR). The chemical reduction of Schiff bases was achieved by adding to the mixture 14 mg of NaBH4 (1 mg/mL) over 30 min. At the end of the process, the immobilized enzyme preparation was washed with distilled water.
3.1.4. Immobilization on Glutaraldehyde-Activated Resin
Activation of epoxy-carriers with glutaraldehyde as well as immobilization on the activated carrier were performed as previously reported [].
3.2. Enzyme Activity Assay
3.2.1. PGA Activity Assay
The hydrolytic activity of PGA was assayed using penicillin G potassium salt (PGK) as substrate as previously reported []. One IU corresponds with the amount of enzyme that liberates one µmol of phenylacetic acid per minute from PGK.
3.2.2. Protease N Activity Assay
The hydrolytic activity of protease N was assayed using Nα-benzoyl-L-arginine ethyl ester hydrochloride (BAEE) as substrate as previously reported []. One IU corresponds with the amount of enzyme that converts 1 µmoL of Nα-benzoyl-L-arginine ethyl ester hydrochloride (BAEE) into BAA per minute.
3.2.3. Bromelain Activity Assay
Bromelain activity was evaluated in model wine (0.03 M tartaric acid/sodium tartrate solution pH 3.2, containing 12% v/v of ethanol) using the synthetic substrate Bz-Phe-Val-Arg-p-nitroanilide (250 µM) []. The activity assay was conducted by monitoring the absorbance variation versus time at 410 nm (ε = 8.48 mM−1 cm−1 for p-nitroanilide). One IU corresponds to the amount of enzyme that releases 1 µmoL of p-nitroanilide per minute from Bz-Phe-Val-Arg-p-nitroanilide.
3.2.4. γ-Glutamyl Transpeptidase Activity Assay
The standard assay (2 mL) was performed at room temperature in 0.1 M Tris HCl pH 8.5 containing 1 mM GpNA, 100 mM Gly-Gly and an appropriate amount of enzyme. The reaction was followed spectrophotometrically by measuring the formation of 4-nitroaniline at 410 nm (ε = 8.3 mM−1 cm−1 for p-nitroaniline) in kinetic mode []. One IU of GGT is defined as the amount of enzyme that liberates 1 µmole of 4-nitroaniline per minute from GpNA in the presence of the acceptor Gly-Gly.
3.3. Enzymatic Reactions
3.3.1. Enzymatic Reactions Catalyzed by PGA
The synthesis of the different cephalosporins was carried out according to the literature []. Briefly, a solution of β-lactam nucleus (50 mM) and acylating ester (150 mM) was prepared in phosphate buffer 25 mM (pH 6.5). The reaction was started by the addition of the enzyme (50 UPGK) and maintained at 4 °C for 6 h. For product 2a (cefazolin), the reaction was started at pH 7.5 to ensure the complete solubilization of the nucleus and then maintained at pH 6.5 by automatic titration. Conversion of each β-lactam nucleus into the corresponding cephalosporin was measured by HPLC analysis (λ = 274 nm; mobile phase: 20% CH3CN, 80% 10 mM phosphate buffer pH 3.2; flow rate: 1 mL·min−1). Conversion (%) was calculated as follows: [Acylation product peak area/(acylation product peak area + β-lactam nucleus peak area)] × 100.
3.3.2. Enzymatic Reaction Catalyzed by Protease N
A solution of a peracetylated nucleoside (10 mM) in acetonitrile 10% (v/v) was added to a solution of 25 mM potassium phosphate buffer pH 7 (5 mL). Then, the immobilized protease N was added (6 IU). The suspension was maintained under mechanical stirring at room temperature until the maximum hydrolysis of the substrate was achieved. During the reaction, the pH was kept constant by automatic titration. Samples of the reaction mixture were analyzed at different times by HPLC by the method previously reported [].
Products 3a and 4a were identified by HPLC by comparison with analytical standards previously fully characterized by 1H and COSY NMR [,,].
3.4. Enzymatic Reactions Catalyzed by Immobilized Bromelain
3.4.1. Wine Treatment in Packed-Bad Reactor
The efficiency of bromelain, immobilized on the two different carriers (BR-Relizyme EP403/S-GDH and BR-Relizyme EP403/S-glucosamine) in the hydrolysis of proteins responsible for haze formation in white wine was assayed in real matrix. A Sauvignon blanc wine (200 mL) was treated in a bench-scale PBR (20 °C), consisting of an unbreakable glass tube with internal volume of 1.2 cm3 (9.5 cm in length with a 0.4 cm inner diameter), packed with 0.5 g (dry weight) of biocatalyst and connected to a peristaltic pump (Minipuls 3.Gilson, Milan, Italy), which was used for feeding the wine in the column at flow rate of 1 mL min−1.
Treatment was carried out in triplicate in three different PBRs in order to obtain three independent replicates for each sample. Then, treated wine was analyzed to determine the hazing potential and the phenolic composition.
3.4.2. Heat Test
Heat test was carried out on untreated wine and on wine samples treated in PBR, containing BR-Relizyme EP403/S-GDH or BR-Relizyme EP403/S-glucosamine derivatives. The haze potential of white wine, corresponding to the tendency to form turbidity, was determined by heat test: Wine samples were incubated at 80 °C for 6 h and then kept at 4 °C for 16 h []. After equilibration at room temperature (approximately 25 °C), turbidity [expressed in nephelometric turbidity units (NTU)] was measured using an HD 25.2 turbidimeter (Delta Hom). Haze potential was calculated as the difference in the wine turbidity after and before the heat test (ΔNTU) and the percentage of haze potential reduction by immobilized bromelain was calculated referring to the IU contained in the PBR.
3.4.3. Effect on Phenolic and Chromatic Indexes of White Wine
UV-Visible spectra of Sauvignon blanc wine samples (unprocessed and enzymatically treated in PBR) were recorded with a Shimadzu UV 2450 spectrophotometer (Shimadzu, Milan, Italy), using 2-mm- path-length UV cuvettes (Eppendorf). Samples were scanned from 230 to 460 nm at ~1 nm intervals and water was used for the reference scan.
3.5. General Procedure for Stability Assays
Following a general procedure, the enzyme (soluble or immobilized) was added to a buffer solution at the desired conditions (5 mL) and kept under mechanical stirring. At different times, samples were withdrawn and the residual enzymatic activity was monitored by a standard activity assay.
3.6. Enzyme Recycling
Recycling of PGA immobilized on Relizyme EP403/S-glucosamine 1.5 M was performed by evaluating the conversion (%) of Cefazolin (2a), in the same conditions described in Section 3.3.1. At the end of each cycle, the mixture was filtered under reduced pressure and the immobilized biocatalyst was washed with distilled water and re-used for the following reaction.
4. Conclusions
In this work, a new protocol based on the activation of epoxy acrylic carriers with glucosamine for enzyme immobilization was described. The herein proposed immobilization process permits to create a more hydrophilic microenvironment and the simultaneous functionalization of support surface with a spacer bearing aldehyde group. The immobilization of different enzymes, useful both in food or pharmaceutical processes (penicillin G acylase, protease N, bromelain, and γ-glutamyl transpeptidase), was carried out. The biocatalysts immobilized on the glucosamine-activated carriers showed better properties than those prepared using the corresponding non-modified epoxy carriers allowing to obtain catalytic behaviors similar to those achieved by using GDH activation or hydrophilic carriers (i.e., agarose beads). In conclusion, this strategy could be a useful immobilization procedure to improve the catalytic properties of immobilized enzymes.
Supplementary Materials
The following are available online at https://www.mdpi.com/2073-4344/9/10/843/s1, Figure S1: Stability of soluble and immobilized PGA, Figure S2: Synthesis of Cefazolin (2a) catalyzed by recycled PGA immobilized on Relizyme EP403/S-glucosamine, Figure S3: Stability of soluble bromelain at pH 10 and 4 °C.
Author Contributions
I.S. participated in the immobilization of PGA, enzymatic synthesis of cephalosporins, and preparation of the manuscript; I.B. participated in the immobilization of BR, application of immobilized-BR in continuous PBR, and preparation of the manuscript; M.S.R. participated immobilization of GGT; C.C. participated in the preparation of the enzyme γ-glutamyl transpeptidase; M.P. participated in the preparation and revision of the manuscript; M.E. coordinated the study for the protein stabilization of Sauvignon blanc and participated in the revision of the manuscript; M.T. coordinated the immobilization study and participated in the preparation and revision of the manuscript; C.L. participated in the immobilization of BR and in the application of immobilized-BR in continuous PBR; T.B. participated in the immobilization of PN, enzymatic hydrolysis of peracetylated nucleosides, preparation, and revision of the manuscript. All co-authors participated equally and substantially to the paper.
Funding
This work was partially supported by Fondazione Cariplo grant n 2016-0741.
Acknowledgments
The authors wish to thank M. Bruni for her technical assistance and Resindion S.r.l. (Binasco, Italy) for the supply of SepabeadsTM EC-EP and Relizyme EP403/S.
Conflicts of Interest
The authors declare no conflict of interest.
References
- Wells, A.S.; Finch, G.L.; Michels, P.C.; Wong, J.W. Use of enzymes in the manufacture of Active Pharmaceutical Ingredients—A science and safety-based approach to ensure patient safety and drug quality. Org. Process Res. Dev. 2012, 16, 1986–1993. [Google Scholar] [CrossRef]
- Tao, J.; Xu, J.-H. Biocatalysis in development of green pharmaceutical processes. Curr. Opin. Chem. Biol. 2009, 13, 43–50. [Google Scholar] [CrossRef] [PubMed]
- Woodley, J.M. New opportunities for biocatalysis: Making pharmaceutical processes greener. Trends Biotechnol. 2008, 26, 321–327. [Google Scholar] [CrossRef] [PubMed]
- Shanmugam, K.T.; Ingram, L.O. Engineering biocatalysts for production of commodity chemicals. J. Mol. Microbiol. Biotechnol. 2008, 15, 8–15. [Google Scholar] [CrossRef] [PubMed]
- Patel, R.N. Synthesis of chiral pharmaceutical intermediates by biocatalysis. Coord. Chem. Rev. 2008, 252, 659–701. [Google Scholar] [CrossRef]
- Chen, Z.; Liu, J.; Tao, J. Biocatalysis for green chemistry and drug development. Prog. Chem. 2007, 19, 1919–1927. [Google Scholar]
- Pollard, D.J.; Woodley, J.M. Biocatalysis for pharmaceutical intermediates: The future is now. Trends Biotechnol. 2007, 25, 66–73. [Google Scholar] [CrossRef] [PubMed]
- Akoh, C.C.; Chang, S.-W.; Lee, G.-C.; Shaw, J.-F. Biocatalysis for the production of industrial products and functional foods from rice and other agricultural produce. J. Agric. Food Chem. 2008, 56, 10445–10451. [Google Scholar] [CrossRef]
- Aravindan, R.; Anbumathi, P.; Viruthagiri, T. Lipase applications in food industry. Indian J. Biotechnol. 2007, 6, 141–158. [Google Scholar]
- Longo, M.A.; Sanromán, M.A. Production of food aroma compounds: Microbial and enzymatic methodologies. Food Technol. Biotechnol. 2006, 44, 335–353. [Google Scholar]
- Greiner, R.; Konietzny, U. Phytase for food application. Food Technol. Biotechnol. 2006, 44, 125–140. [Google Scholar]
- Torres-Salas, P.; Pedrali, A.; Bavaro, T.; Ambrosini, S.; Marrubini, G.; Pappalardo, V.M.; Massolini, G.; Terreni, M.; Ubiali, D. Preparation of PUFA concentrates as acylglycerols via enzymatic hydrolysis of hempseed oil (Cannabis sativa L.) in a homogeneous low-water medium: PUFA-based glyceride concentrates from hempseed oil. Eur. J. Lipid Sci. Technol. 2014, 116, 1496–1504. [Google Scholar] [CrossRef]
- Bavaro, T.; Filice, M.; Temporini, C.; Tengattini, S.; Serra, I.; Morelli, C.F.; Massolini, G.; Terreni, M. Chemoenzymatic synthesis of neoglycoproteins driven by the assessment of protein surface reactivity. RSC Adv. 2014, 4, 56455–56465. [Google Scholar] [CrossRef]
- Sandoval, M.; Hoyos, P.; Cortés, A.; Bavaro, T.; Terreni, M.; Hernáiz, M.J. Development of regioselective deacylation of peracetylated β-d-monosaccharides using lipase from Pseudomonas stutzeri under sustainable conditions. RSC Adv. 2014, 4, 55495–55502. [Google Scholar] [CrossRef]
- Bavaro, T.; Torres-Salas, P.; Antonioli, N.; Morelli, C.F.; Speranza, G.; Terreni, M. Regioselective deacetylation of disaccharides via immobilized Aspergillus niger esterase(s)-catalyzed hydrolysis in aqueous and non-aqueous media. ChemCatChem 2013, 5, 2925–2931. [Google Scholar] [CrossRef]
- Bavaro, T.; Torres-Salas, P.; Ubiali, D.; Terreni, M. Regioselective enzymatic hydrolysis of hexa-O-acetyl-lactal in a green non-aqueous medium. RSC Adv. 2013, 3, 7355–7359. [Google Scholar] [CrossRef]
- Kallenberg, A.I.; van Rantwijk, F.; Sheldon, R.A. Immobilization of penicillin G acylase: The key to optimum performance. Adv. Synth. Catal. 2005, 347, 905–926. [Google Scholar] [CrossRef]
- Calleri, E.; Cattaneo, G.; Rabuffetti, M.; Serra, I.; Bavaro, T.; Massolini, G.; Speranza, G.; Ubiali, D. Flow-synthesis of nucleosides catalyzed by an immobilized purine nucleoside phosphorylase from Aeromonas hydrophila: Integrated systems of reaction control and product purification. Adv. Synth. Catal. 2015, 357, 2520–2528. [Google Scholar] [CrossRef]
- Bavaro, T.; Filice, M.; Bonomi, P.; Abu alassal, Q.; Speranza, G.; Guisán, J.M.; Terreni, M. Regioselective deprotection of peracetylated disaccharides at the primary position catalyzed by immobilized acetyl xylan esterase from Bacillus pumilus. Eur. J. Org. Chem. 2011, 2011, 6181–6185. [Google Scholar] [CrossRef]
- Cantone, S.; Ferrario, V.; Corici, L.; Ebert, C.; Fattor, D.; Spizzo, P.; Gardossi, L. Efficient immobilisation of industrial biocatalysts: Criteria and constraints for the selection of organic polymeric carriers and immobilisation methods. Chem. Soc. Rev. 2013, 42, 6262–6272. [Google Scholar] [CrossRef]
- DiCosimo, R.; McAuliffe, J.; Poulose, A.J.; Bohlmann, G. Industrial use of immobilized enzymes. Chem. Soc. Rev. 2013, 42, 6437–6474. [Google Scholar] [CrossRef] [PubMed]
- Rodrigues, R.C.; Ortiz, C.; Berenguer-Murcia, Á.; Torres, R.; Fernández-Lafuente, R. Modifying enzyme activity and selectivity by immobilization. Chem. Soc. Rev. 2013, 42, 6290–6307. [Google Scholar] [CrossRef] [PubMed]
- Kourkoutas, Y.; Bekatorou, A.; Banat, I.M.; Marchant, R.; Koutinas, A.A. Immobilization technologies and support materials suitable in alcohol beverages production: A review. Food Microbiol. 2004, 21, 377–397. [Google Scholar] [CrossRef]
- Terreni, M.; Tchamkam, J.G.; Sarnataro, U.; Rocchietti, S.; Fernández-Lafuente, R.; Guisán, J.M. Influence of substrate structure on PGA-catalyzed acylations. Evaluation of different approaches for the enzymatic synthesis of Cefonicid. Adv. Synth. Catal. 2005, 347, 121–128. [Google Scholar] [CrossRef]
- Giesecke, U.E. An Enzymatic Process for Preparing β-Lactams. EP Patent 1394262A1, 3 March 2004. [Google Scholar]
- Wegman, M.A.; Janssen, M.H.A.; van Rantwijk, F.; Sheldon, R.A. Towards biocatalytic synthesis of β-lactam antibiotics. Adv. Synth. Catal. 2001, 343, 559–576. [Google Scholar] [CrossRef]
- Estruch, I.; Tagliani, A.R.; Guisán, J.M.; Fernández-Lafuente, R.; Alcántara, A.R.; Toma, L.; Terreni, M. Immobilization of the acylase from Escherichia coli on glyoxyl-agarose gives efficient catalyst for the synthesis of cephalosporins. Enzym. Microb. Technol. 2008, 42, 121–129. [Google Scholar] [CrossRef] [PubMed]
- Terreni, M.; Ubiali, D.; Bavaro, T.; Pregnolato, M.; Fernández-Lafuente, R.; Guisán, J.M. Enzymatic synthesis of cephalosporins. The immobilized acylase from Arthrobacter viscosus: A new useful biocatalyst. Appl. Microbiol. Biotechnol. 2007, 77, 579–587. [Google Scholar] [CrossRef] [PubMed]
- Temporini, C.; Bonomi, P.; Serra, I.; Tagliani, A.; Bavaro, T.; Ubiali, D.; Massolini, G.; Terreni, M. Characterization and study of the orientation of immobilized enzymes by tryptic digestion and HPLC-MS: Design of an efficient catalyst for the synthesis of cephalosporins. Biomacromolecules 2010, 11, 1623–1632. [Google Scholar] [CrossRef] [PubMed]
- Serra, I.; Ubiali, D.; Cecchini, D.A.; Calleri, E.; Albertini, A.M.; Terreni, M.; Temporini, C. Assessment of immobilized PGA orientation via the LC-MS analysis of tryptic digests of the wild type and its 3K-PGA mutant assists in the rational design of a high-performance biocatalyst. Anal. Bioanal. Chem. 2013, 405, 745–753. [Google Scholar] [CrossRef]
- Petenzi, M.; Bavaro, T.; Cornaggia, C.; Ubiali, D.; Pregnolato, M.; Pasini, D. Synthesis, post-modification and characterization of linear polystyrene-based supports for interaction with immobilized biocatalysts. Polym. Int. 2012, 61, 1611–1618. [Google Scholar] [CrossRef]
- Bonomi, P.; Bavaro, T.; Serra, I.; Tagliani, A.; Terreni, M.; Ubiali, D. Modulation of the microenvironment surrounding the active site of penicillin G acylase immobilized on acrylic carriers improves the enzymatic synthesis of cephalosporins. Molecules 2013, 18, 14349–14365. [Google Scholar] [CrossRef] [PubMed]
- Barbosa, O.; Torres, R.; Ortiz, C.; Berenguer-Murcia, Á.; Rodrigues, R.C.; Fernandez-Lafuente, R. Heterofunctional supports in enzyme immobilization: From traditional immobilization protocols to opportunities in tuning enzyme properties. Biomacromolecules 2013, 14, 2433–2462. [Google Scholar] [CrossRef] [PubMed]
- Migneault, I.; Dartiguenave, C.; Bertrand, M.J.; Waldron, K.C. Glutaraldehyde: Behavior in aqueous solution, reaction with proteins, and application to enzyme crosslinking. Biotechniques 2004, 37, 790–802. [Google Scholar] [CrossRef] [PubMed]
- Barbosa, O.; Ortiz, C.; Berenguer-Murcia, Á.; Torres, R.; Rodrigues, R.C.; Fernandez-Lafuente, R. Glutaraldehyde in bio-catalysts design: A useful crosslinker and a versatile tool in enzyme immobilization. RSC Adv. 2014, 4, 1583–1600. [Google Scholar] [CrossRef]
- Bolivar, J.M.; Mateo, C.; Godoy, C.; Pessela, B.C.C.; Rodrigues, D.S.; Giordano, R.L.C.; Fernandez-Lafuente, R.; Guisán, J.M. The co-operative effect of physical and covalent protein adsorption on heterofunctional supports. Process Biochem. 2009, 44, 757–763. [Google Scholar] [CrossRef]
- Adriano, W.S.; Filho, E.H.C.; Silva, J.A.; Giordano, R.L.C.; Gonçalves, L.R.B. Stabilization of penicillin G acylase by immobilization on glutaraldehyde-activated chitosan. Braz. J. Chem. Eng. 2005, 22, 529–538. [Google Scholar] [CrossRef]
- Mateo, C.; Palomo, J.M.; van Langen, L.M.; van Rantwijk, F.; Sheldon, R.A. A new, mild cross-linking methodology to prepare cross-linked enzyme aggregates. Biotechnol. Bioeng. 2004, 86, 273–276. [Google Scholar] [CrossRef]
- Arsenault, A.; Cabana, H.; Jones, J.P. Laccase-based CLEAs: Chitosan as a novel cross-linking agent. Enzym. Res. 2011, 2011, 376015. [Google Scholar] [CrossRef]
- Sojitra, U.V.; Nadar, S.S.; Rathod, V.K. Immobilization of pectinase onto chitosan magnetic nanoparticles by macromolecular cross-linker. Carbohydr. Polym. 2017, 157, 677–685. [Google Scholar] [CrossRef]
- Panero, J.; Trelles, J.; Rodano, V.; Montserrat, J.M.; Iglesias, L.E.; Lewkowicz, E.S.; Iribarren, A.M. Microbial hydrolysis of acetylated nucleosides. Biotechnol. Lett. 2006, 28, 1077–1081. [Google Scholar] [CrossRef]
- Bavaro, T.; Cattaneo, G.; Serra, I.; Benucci, I.; Pregnolato, M.; Terreni, M. Immobilization of neutral protease from Bacillus subtilis for regioselective hydrolysis of acetylated nucleosides: Application to Capecitabine synthesis. Molecules 2016, 21, 1621. [Google Scholar] [CrossRef] [PubMed]
- Bavaro, T.; Rocchietti, S.; Ubiali, D.; Filice, M.; Terreni, M.; Pregnolato, M. A versatile synthesis of 5′-functionalized nucleosides through regioselective enzymatic hydrolysis of their peracetylated precursors. Eur. J. Org. Chem. 2009, 2009, 1967–1975. [Google Scholar] [CrossRef]
- Benucci, I.; Lombardelli, C.; Liburdi, K.; Acciaro, G.; Zappino, M.; Esti, M. Immobilised native plant cysteine proteases: Packed-bed reactor for white wine protein stabilisation. J. Food Sci. Technol. 2016, 53, 1130–1139. [Google Scholar] [CrossRef] [PubMed]
- Jin, F.; Toda, K. Preparation of immobilized papain covalently bound on natural cellulose for treatment of beer. Biotechnol. Lett. 1988, 10, 221–223. [Google Scholar] [CrossRef]
- Cappannella, E.; Benucci, I.; Lombardelli, C.; Liburdi, K.; Bavaro, T.; Esti, M. Immobilized lysozyme for the continuous lysis of lactic bacteria in wine: Bench-scale fluidized-bed reactor study. Food Chem. 2016, 210, 49–55. [Google Scholar] [CrossRef] [PubMed]
- Speranza, G.; Morelli, C.F. γ-Glutamyl transpeptidase-catalyzed synthesis of naturally occurring flavor enhancers. J. Mol. Catal. B Enzym. 2012, 84, 65–71. [Google Scholar] [CrossRef]
- Scaramozzino, F.; Estruch, I.; Rossolillo, P.; Terreni, M.; Albertini, A.M. Improvement of catalytic properties of Escherichia coli penicillin G acylase immobilized on glyoxyl agarose by addition of a six-amino-acid tag. Appl. Environ. Microbiol. 2005, 71, 8937–8940. [Google Scholar] [CrossRef]
- Benucci, I.; Esti, M.; Liburdi, K.; Garzillo Anna, M.V. Pineapple stem bromelain immobilized on different supports: Catalytic properties in model wine. Biotechnol. Prog. 2012, 28, 1472–1477. [Google Scholar]
- Marangon, M.; Vincenzi, S.; Lucchetta, M.; Curioni, A. Heating and reduction affect the reaction with tannins of wine protein fractions differing in hydrophobicity. Anal. Chim. Acta 2010, 660, 110–118. [Google Scholar] [CrossRef]
- Benucci, I.; Lombardelli, C.; Cacciotti, I.; Liburdi, K.; Nanni, F.; Esti, M. Chitosan beads from microbial and animal sources as enzyme supports for wine application. Food Hydrocoll. 2016, 61, 191–200. [Google Scholar] [CrossRef]
- Morelli, C.F.; Calvio, C.; Biagiotti, M.; Speranza, G. pH-Dependent hydrolase, glutaminase, transpeptidase and autotranspeptidase activities of Bacillus subtilis γ-glutamyltransferase. FEBS J. 2014, 281, 232–245. [Google Scholar] [CrossRef] [PubMed]
- Guisán, J.M. Aldehyde-agarose gels as activated supports for immobilization-stabilization of enzymes. Enzym. Microb. Technol. 1988, 10, 375–382. [Google Scholar] [CrossRef]
- Serra, I.; Cecchini, D.A.; Ubiali, D.; Manazza, E.M.; Albertini, A.M.; Terreni, M. Coupling of site-directed mutagenesis and immobilization for the rational design of more efficient biocatalysts: The case of immobilized 3G3K PGA from E. coli. Eur. J. Org. Chem. 2009, 2009, 1384–1389. [Google Scholar] [CrossRef]
- Hale, L.P.; Greer, P.K.; Trinh, C.T.; James, C.L. Proteinase activity and stability of natural bromelain preparations. Int. Immunopharmacol. 2005, 5, 783–793. [Google Scholar] [CrossRef] [PubMed]
- Tate, S.S.; Meister, A. γ-Glutamyl transpeptidase from kidney. Methods Enzymol. 1985, 113, 400–419. [Google Scholar] [PubMed]
- Bavaro, T.; Ubiali, D.; Brocca, S.; Rocchietti, S.; Nieto, I.; Pregnolato, M.; Lotti, M.; Terreni, M. Recombinant lipase from Candida rugosa for regioselective hydrolysis of peracetylated nucleosides. A comparison with commercial non-recombinant lipases. Biocatal. Biotransform. 2010, 28, 108–116. [Google Scholar] [CrossRef]
- Pregnolato, M.; Terreni, M.; Ubiali, D.; Bavaro, T. 2′,3′-Di-O-acyl-5-Fluoronucleosides. EP Patent 2176278A2, 21 April 2010. [Google Scholar]
- Vincenzi, S.; Marangon, M.; Tolin, S.; Curioni, A. Protein evolution during the early stages of white winemaking and its relations with wine stability: Protein evolution in white wine during winemaking. Aust. J. Grape Wine Res. 2011, 17, 20–27. [Google Scholar] [CrossRef]
© 2019 by the authors. Licensee MDPI, Basel, Switzerland. This article is an open access article distributed under the terms and conditions of the Creative Commons Attribution (CC BY) license (http://creativecommons.org/licenses/by/4.0/).