Abstract
The Sonogashira cross-coupling reaction is the most frequently employed synthetic procedure for the preparation of arylated alkynes, which are important conjugated compounds with multiple applications. Despite of their rather high price, this reaction is usually catalyzed by palladium species, making the recovery and reuse of the catalyst an interesting topic, mainly for industrial purposes. Easy recycle can be achieved anchoring the palladium catalyst to a separable support. This review shows recent developments in the use of palladium species anchored to different solid supports as recoverable catalysts for Sonogashira cross-coupling reactions.
1. Introduction
The palladium-catalyzed Csp2-Csp coupling reaction between aryl or alkenyl halides or triflates and terminal alkynes is the most important method to prepare arylalkynes and conjugated enynes, which are precursors for natural products, pharmaceuticals, and molecular organic materials (Scheme 1) [1]. The pioneering works of Heck [2] and Cassar [3] in 1975, using phosphine-palladium catalysts at temperatures up to 100 °C, were improved in the same year by Sonogashira and Hagihara, reporting that the addition of a catalytic amount of copper(I) accelerates the reaction, thus enabling to achieve the alkynylation at room temperature [4]. Therefore, the Sonogashira–Hagihara protocol (more often simply known as Sonogashira reaction) became the most popular procedure for the alkynylation of aryl or alkenyl halides [1,5,6]. It is interesting to note that many of the recent developments about new catalytic systems able to carry out this reaction are intended to be “copper-free” processes, to avoid undesirable Glaser-type alkyne homocoupling [7] and to diminish environmental contamination, these processes however still being termed as “Sonogashira reactions”.
Scheme 1.
The general Sonogashira cross-coupling reaction.
From an economical, as well as an environmental, point of view, recovering and reusing the expensive palladium catalyst results particularly interesting. The obvious way of recovering the catalyst would be anchoring the catalytic species to a solid support, which would allow its easy separation after the reaction completion just by simple filtration, this topic being considered nowadays a fast-moving research field [8,9,10,11,12]. The present review shows recent developments in the Sonogashira reaction carried out by using solid-supported palladium catalysts and reported from 2012 till the beginning of 2018 [13]. The review has been divided considering the different types of supports for the palladium species. It is necessary to note that, although in many cases the real catalyst is unknown, palladium (0) nanoparticles (PdNPs) are generally considered to be the active catalytic species, most of the palladium complexes being just precursors.
2. Organic Polymer-Supported Palladium Catalysts
Organic polymers have been the oldest recoverable supports for palladium species acting as catalyst in Sonogashira reactions, and still many new palladium-containing organic polymers able to catalyze this cross-coupling reaction appear. It is interesting to note that almost all these new catalysts can perform the reaction in a copper-free fashion (Scheme 2).
Scheme 2.
A general copper-free Sonogashira cross-coupling reaction between an aryl halide and a terminal alkyne.
Polystyrene-divinylbenzene resin beads have been the most frequently employed organic supports for anchoring palladium complexes. Thus, PdNPs supported on a crosslinked polystyrene 1 (Figure 1) were used as catalyst in the copper-free Sonogashira coupling of phenylacetylene with aryl iodides, bromides and chlorides (Scheme 2), the addition of tetra-n-butylammonium bromide (TBAB) as nanoparticle stabilizer being necessary in the case of aryl chlorides [14]. The catalyst was recovered by filtration and reused up to five times in the model reaction between iodobenzene and phenylacetylene obtaining recycling yields ranging from 88% to 72%. Other case is the phenyldithiocarbazate Pd(II) complex 2 (Figure 1), which catalyzes the copper-free coupling of aryl iodides and bromides, in pyridine as base and at room temperature under neat conditions (Scheme 2) [15]. The supported catalyst has been reused up to five times in the reaction between iodobenzene and phenylacetylene almost keeping the same yield (from 99% to 95%). In addition, no additional solvent has been used when the 1,2,4-triazine-functionalized polystyrene resin-supported Pd(II) complex 3 (Figure 1) has been employed as catalyst using triethylamine or piperidine as base, the aryl chloride derivatives affording lower detected yields and almost no decreasing in the final yield being detected after reusing it five times [16]. In addition, the polystyrene-Pd(II)-furfural complex 4 (Figure 1) has presented catalytic activity in the C-C bond forming reactions, such as the Sonogashira coupling of aryl iodides, bromides and even chlorides with phenylacetylene, although chlorobenzene showed low conversion and activated aryl chlorides gave moderate yields working at higher temperatures in longer reaction times [17]. The recyclability of this catalyst was studied, but in a Suzuki cross-coupling reaction, keeping its reactivity after five runs.
Figure 1.
Polystyrene-supported palladium catalysts for the Sonogashira reaction. Conditions, substrate scope and yield range (Scheme 2).
Biphosphinite PCP-pincer palladium complex 5 (Figure 2), based on Merrifield resin, was prepared and characterized [18]. This supported species has been employed as catalyst in the cross-coupling of aryl iodides, bromides and chlorides with phenylacetylene, the addition TBAB additive being necessary in the case of aryl chlorides. The recyclability of the catalyst was not checked in the Sonogashira process but in a Heck reaction, showing the necessity of increasing the reaction time to achieve similar final yields after ten runs. In addition, a recent example of the use of a supported Pd-NHC complex as catalyst is the Merrifield resin-anchored species 6, obtained from the corresponding supported imidazolium chlorides by treatment with palladium(II) acetate (Figure 2) [19]. This catalyst has been used in the copper- and solvent-free coupling of different aryl bromides and two aryl chlorides with terminal acetylenes, these last halides affording low yields. The recyclability of the catalyst was assayed in the coupling of bromobenzene with phenylacetylene for five consecutive runs, observing a certain decrease in the final yield (from 95% to 75%). It is interesting to note that a related supported catalyst with a shorter spacer has also been prepared showing a lower performance, indicating the importance of achieving accessibility to active catalytic sites. Moreover, the aminocarbene palladium complex with polystyrene support 7 has been used as catalyst in the typical copper-cocatalyzed Sonogashira coupling of aryl iodides and bromides with monosubstituted alkynes (Figure 2) [20]. Recycling experiments were conducted, and it was possible to reuse the catalyst up to eight times, although considerable palladium leaching minimized by the addition of triphenylphosphine was observed.
Figure 2.
Polystyrene-supported palladium catalysts for the Sonogashira reaction. Conditions, substrate scope and yield range (Scheme 2).
The synthetic absorbent resin DIAION HP20 (a styrene-divinylbenzene copolymer) has been used to support palladium(II) acetate, using this material as catalyst for the coupling or aryl iodides and terminal alkynes employing sodium phosphate as base and isopropanol as solvent at 80 °C [21]. The use of a 10% of this Pd/HP20 catalyst, resulted more effective for the cross-coupling reaction than using 10% Pd/C, only ultratrace amounts of palladium leaching being detected. Similarly, the activity of Pd/C in the Sonogashira reaction has been compared with palladium catalysts immobilized on amphipathic monolithic polystyrene-divinylbenzene polymers bearing strong acidic cation exchange sulfonic acid moieties or basic anion exchange functions [22]. These anchored palladium species have been used as catalyst in the coupling or aryl iodides and terminal alkynes under the same conditions than above, performing better than Pd/C. No palladium leaching was observed.
The use of water as solvent adds an “environmentally-friendly” tag when a catalytic methodology is developed [23], and its combination with recoverable catalysts from polystyrene results particularly interesting for economic and industrial purposes. Thus, polystyrene-anchored Pd(II) pyridine complex 8 (Figure 3) has been used as catalyst in the copper-free coupling of aryl iodides, bromides and chlorides with some terminal alkynes, in water and at room temperature, the chloride derivatives affording just moderate yields. The catalyst was recovered by filtration and reused up to five times in the reaction between iodobenzene and phenylacetylene, showing only slight decrease in the detected final yield (from 98% to 93%) [24]. Water has also been used as solvent when the 4-amino-5-methyl-3-thio-1,2,4-triazole-functionalized polystyrene resin-anchored Pd(II) complex 9 has been the supported catalysts in the coupling of aryl iodides and bromides with terminal alkynes (Figure 3) [25]. The catalyst was recycled for five runs in the coupling between iodobenzene and phenylacetylene, observing a decrease in the final yield from 99% to 90%. In addition, the dithizone-functionalized supported Pd(II) complex 10 has proved effective as catalyst in the copper-free Sonogashira reaction between aryl iodides and bromides and terminal acetylenes, using piperidine as base in water as solvent at room temperature (Figure 3) [26]. The recycled catalyst was reused for five runs observing almost no loss of effectivity.
Figure 3.
Polystyrene-supported catalysts for the Sonogashira reaction in water. Conditions, substrate scope and yield range (Scheme 2).
The polystyrene-supported thiopseudourea Pd(II) complex 11 has also been applied as catalyst in the Sonogashira coupling between aryl iodides and terminal acetylenes, using triethylamine as base in water as solvent, although resulted unable to perform the reaction with aryl bromides (Figure 4) [27]. Another supported thiopseudourea Pd(II) species 12 has also been employed as catalysts in the cross-coupling of aryl iodides and bromides with terminal alkynes (Figure 4) [28]. The coupling of aryl iodides could be performed with triethylamine as base in water as solvent at room temperature with a catalyst loading of 0.5 mol%, whereas the use of aryl bromides required the use of tetramethylguanidine (TMG) as base in water at 70 °C with a catalyst loading of 1 mol%. After filtration, the catalyst was recovered and reused ten times, showing a certain decrease in the reactivity after the sixth run. Moreover, the tetrazole-supported complex 13 catalyzes the Sonogashira process of aryl iodides and bromides in water as solvent, using triethylamine as base and TBAB as additive, the catalyst being recovered and reused up to five times in the reaction between 4-methyliodobenzene and phenylacetylene with decreasing in the observed final yield from 94% to 89% (Figure 4) [29]. Furthermore, a poly(styrene-co-maleic anhydride) modified with 2-aminothiazole moieties has been reported for the immobilization of palladium(II) dichloride, the resulting material 14 being suitable as catalyst for the coupling of aryl iodides, bromides and chlorobenzene with terminal acetylenes, using pyridine as base and in the absence of solvent (Figure 4) [30]. The catalyst was recycled up to five times, showing almost no decreasing activity, as well as low palladium leaching.
Figure 4.
Polystyrene-and co-polymeric styrene-supported catalysts for the Sonogashira reaction in water. Conditions, substrate scope and yield range (Scheme 2).
Although less frequently, other organic polymers have recently been used as supports for palladium species destined to catalyze cross-coupling reactions such as the Sonogashira process. Thus, a Schiff-base-derived porous polydivinylbenzene (PDVB) has been used for the creation of the palladium complex 15, which has been used as catalyst in the coupling of aryl iodides and bromides with phenylacetylene [31] (Figure 5). It has been determined that Pd(II) species in 15 are stable and almost leaching-free, which is responsible for the recyclability, the catalyst being reused up to five times with a small decrease in the yield (from 96% to 92%). In addition, polyvinyl chloride (PVC)-supported palladium species have also been reported as catalyst in the Sonogashira reaction, as exemplified in the phenyldithiocarbazate-functionalized PVC resin-anchored Pd(II) complex 16, which catalyzes the coupling of aryl iodides, bromides and even chlorides with terminal alkynes under solvent-free conditions, the chlorides giving low to moderate yields [32] (Figure 5). Recycling of the catalyst after the coupling of iodobenzene and phenylacetylene (five times) showed only a slight decrease of the observed yield (from 98% to 93%). Similar solvent-free reaction conditions and aryl halides have been employed when the PVC resin-supported triazine Pd(II) complex 17 has been used as catalyst [33], the resulting yields being slightly better than in the former case showing similar recyclability. Moreover, PVC has been used for the supporting of PdNPs, and this material has been employed to catalyze the coupling of aryl iodides and phenylacetylene in water as solvent, although the presence of six equivalents of N-methyl-2-pyrrolidone (NMP) was required [34] (Figure 5). Five reaction cycles were carried out reusing the catalyst, the yield diminishing from 93% to 88% in the reaction between iodobenzene and phenylacetylene.
Figure 5.
Organic polymer-supported palladium catalysts for the Sonogashira reaction. Conditions, substrate scope and yield range (Scheme 2).
The radical polymerization of N-isopropylacrylamide (NIPAM) and potassium 4-acryloxyoyl)pyridine-2,6-dicarboxylate (PAP), crosslinked with N,N′-methylenediacrylamide, gave rise to a pH-responsive hydrogel (PNIPAM-co-PPAP) which has been used for the immobilization of palladium(II) (18) (Figure 6) [35], a material that catalyzed the cross-coupling reaction of aryl iodides and bromides with phenylacetylene in water as solvent. Its recyclability was being assayed in the coupling of iodobenzene and phenylacetylene, observing a decrease in the yield after six reaction cycles (from 91% to 85%), attributed to the aggregation of the formed PdNPs revealed by microscopy observations. Water has also been the employed solvent in the Sonogashira reaction when using as catalyst PdNPs immobilized on a melamine-based microporous network polymer [36]. Using this catalyst, differently substituted aryl iodides have been coupled to monoarylated acetylenes, the reaction being carried out using pyrrolidine as base, in water as solvent at 70 °C in 2 h. The recyclability was determined using the model coupling of iodobenzene and phenylacetylene, five consecutive runs being performed with very low decrease in the observed final yield (from 98% to 94%).
Figure 6.
Immobilized palladium on PNIPAM-co-PPAP hydrogel as catalyst in the Sonogashira cross-coupling reaction. Conditions, substrate scope and yield range (Scheme 2).
The treatment of commercially available polymethyl methacrylate (PMMA) microspheres with palladium(II) dichloride and formaldehyde generated supported Pd(0)-PMMA, which has been used as catalyst (0.5 mol%) for the copper-free Sonogashira reaction of aryl iodides, bromides and chlorides with terminal acetylenes, the aryl chlorides affording very low yields [37]. Triethylamine was used as base and water as solvent at 80 °C, the recovered catalyst having consistent performance for five cycles with very low palladium leaching rate. In addition, a porous organic polymer (POP) has been obtained by a copper-catalyzed click reaction between tetra(4-azidophenyl)methane and 1,4-diethynylbenzene (two equivalents), and the resulting material with high thermal stability and large surface area, has been employed for supporting PdNPs [38]. These anchored PdNPs catalyze the Sonogashira coupling (0.14 mol%) of aryl iodides and terminal alkynes, using sodium hydroxide as base and methanol at 80 °C as solvent. The recyclability of the catalyst was determined using the coupling of iodobenzene and phenylacetylene as model, a certain decrease in its performance being observed after five runs (from 99% to 72%). Moreover, PdNPs have been immobilized on preoxidated polyacrylonitrile fiber mats (prePAN), and this Pd-prePAN material has been employed (2 mol%) to catalyze the coupling of aryl iodides and phenylacetylene [39]. The coupling was carried out in the presence of potassium acetate as base in dimethyl sulfoxide (DMSO) as solvent at 110 °C, and the recyclability of the supported catalyst was assayed in a Heck coupling, revealing the remarkable stability of the fiber structure. Furthermore, CuPd bimetallic solvated metal atoms have been supported on a poly-4-vinylpyridine (PVP) resin, showing higher catalytic activity in the Sonogashira reaction between 4-iodotoluene and phenylacetylene, in the presence of TBAB as additive and in water as solvent at 95 °C, than the monometallic Cu and Pd systems as well as their physical mixture [40].
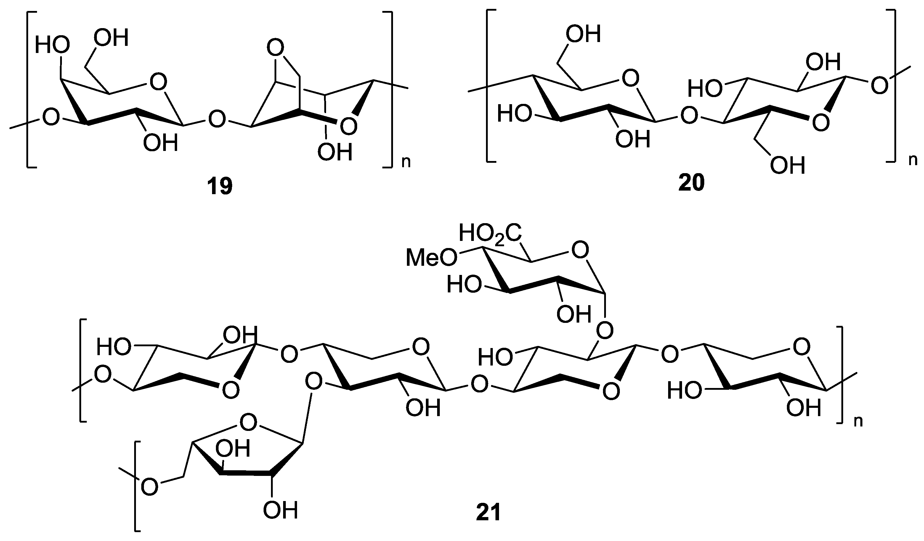
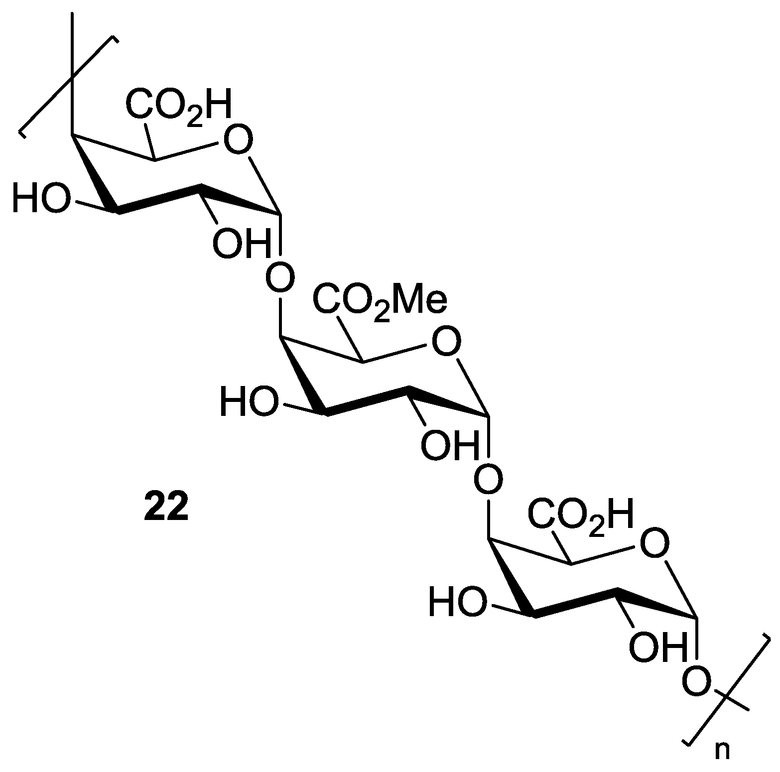
Naturally occurring organic polymers are usually biodegradable solids, cheap, available and abundant, being a good alternative to unnatural organic polymeric materials for the immobilization of palladium species destined to catalytic purposes [41,42]. Thus, several polysaccharides have been employed for supporting PdNPs, the resulting materials being used as recoverable catalysts in Sonogashira reactions. This is the case of agarose (19) (Figure 7), which has been functionalized with phosphinite groups for the stabilization of palladium/copper bimetallic nanoparticles [43]. The resulting PdCu@Phos. Agarose can catalyze the coupling of aryl iodides and bromides, bearing electron-donating and withdrawing groups, with terminal acetylenes, using triethylendiamine (DABCO) as base and dimethylacetamide (DMA) as solvent at 30–50 °C. This Pd/Cu supported catalyst has been reused three times with low metal leaching. In addition, unfunctionalized agarose has also been used to support PdNPs, catalyzing the cross-coupling of aryl iodides, bromides and chlorides with phenylacetylene in good yields, using potassium acetate as base and polyethylene glycol (PEG) as solvent at 90 °C [44]. Recycling experiments were conducted on a Heck reaction in five runs, observing a sharp decrease in the activity after the fourth.
Figure 7.
Polysaccharides used for supporting PdNPs catalyzing the Sonogashira cross-coupling reaction.
Cellulose (20) (Figure 7) has also been functionalized with ethylenediamine, the resulting material (EDAC) being used to support PdNPs, suitable to heterogeneously catalyze the Sonogashira reaction [45]. Thus, this PdNPs@EDAC can cross-couple aryl iodides and bromides with phenylacetylene in water at 100 °C, the presence of copper(I) iodide as cocatalyst being necessary. Its recyclability was checked in four consecutive couplings of iodobenzene and phenylacetylene, observing a very low decrease of the final yield (from 98% to 95%). In addition, PdNPs have also being immobilized on xylan-type hemicellulose 21 (Figure 7), a waste product from biorefineries and pulp and paper industries, catalyzing (1 mol%) the cross-coupling of iodides and bromides with terminal alkynes [46]. The process has been carried out using triethylamine as base, in acetonitrile as solvent at 90 °C and the catalyst was reused six times in the reaction between 4-iodoanisole and phenylacetylene, affording yields from 96% to 87%.
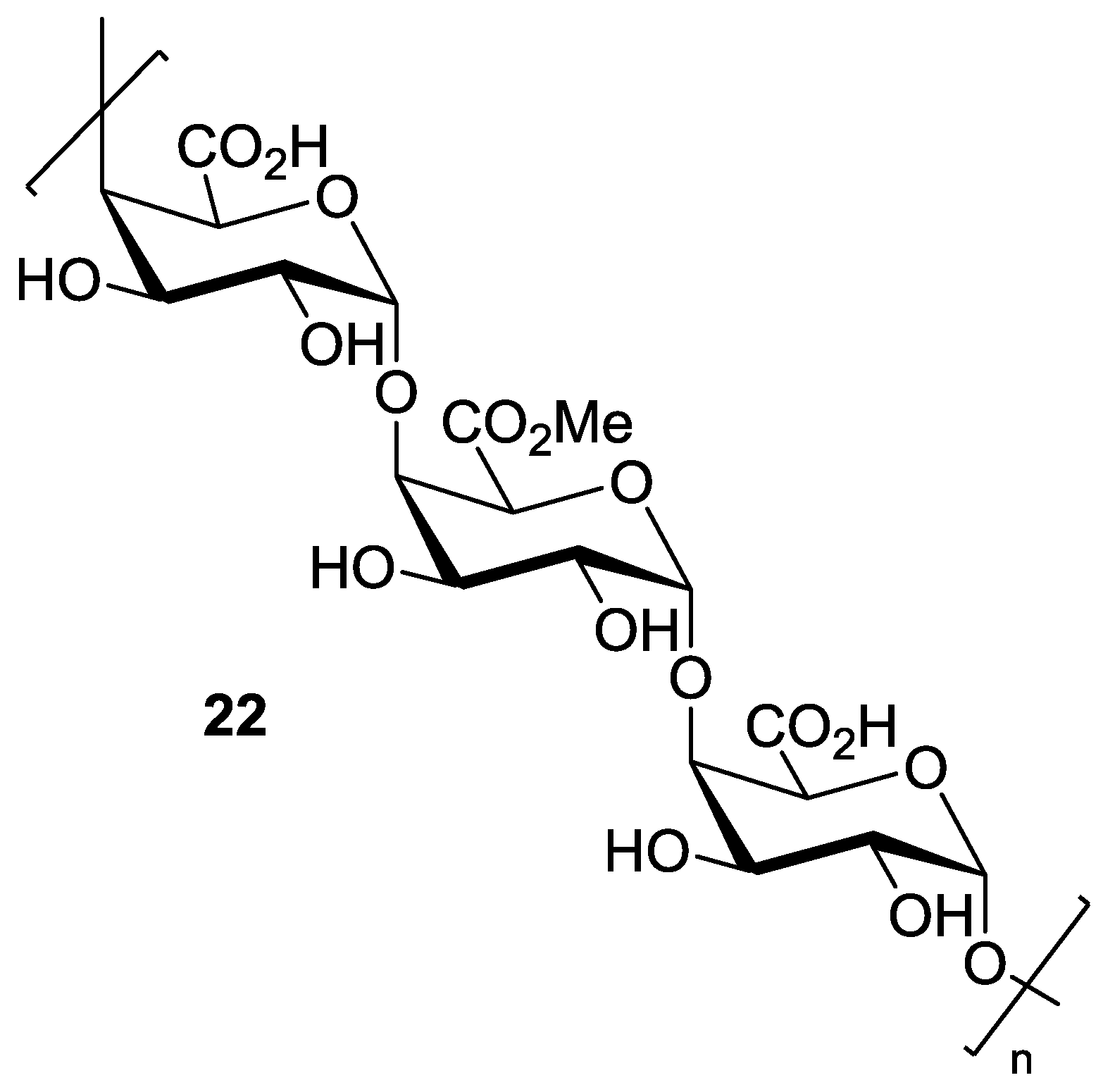
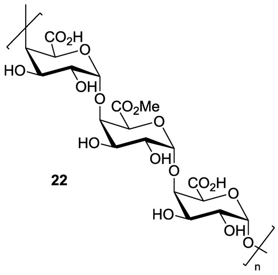
Pectin (22) (Figure 8) has also been used for supporting PdNPs [47]. The immobilized palladium catalyzes the Sonogashira reaction of aryl iodides, bromides and chlorides with phenylacetylene, the process taking place using potassium acetate as base in N,N-dimethylformamide (DMF) as solvent at 100 °C. The reaction of iodobenzene and phenylacetylene was used as model for recycling experiments, observing a certain decrease in the catalytic activity after three runs. Moreover, PdNPs embedded in chitosan microspheres differently modified, catalyze the coupling of aryl iodides and bromides with terminal alkynes, the reaction being carried out in ethanol/water as solvent mixture [48]. No palladium leaching was observed when recycling experiments were conducted, the catalyst keeping totally its reactivity after six runs.
Figure 8.
The polysaccharide pectin used for supporting PdNPs and catalyze the Sonogashira cross-coupling reaction.
Other biopolymers have also been used recently for the immobilization of palladium species. Thus, wool has been used to incorporate palladium(II) acetate into its structure, forming a supported complex able to catalyze the cross-coupling reaction of pyrimidin-2-yl 4-tolylsulfonates with terminal alkynes, as shown in Scheme 3 [49]. The addition of a copper(I) cocatalyst such as copper(I) thiophenecarboxylate (CuTC) is necessary, as well as the presence of a diphosphine such as 1,3-bis(diphenylphosphino)propane (dppp). Recycling experiments were conducted, but using a Suzuki coupling, observing a low decrease in the activity after ten runs and not significant palladium leaching. Moreover, even DNA has been used recently as a biopolymeric support for PdNPs, able to catalyze (0.5 mol%) the Sonogashira reaction between aryl iodides and aromatic and aliphatic terminal acetylenes [50]. The reaction is carried out in methanol as solvent at 65 °C, using cesium carbonate as base. After recovering the catalyst by centrifugation, recycling experiments carried out in the coupling of iodobenzene and phenylacetylene shown that the supported PdNPs could be reused up to five times with some decrease in the performance in the fifth run, minor inactive palladium leaching being observed.
Scheme 3.
Coupling of pyrimidin-2-yl tosylates with terminal alkynes catalyzed by wool-Pd(OAc)2.
3. Carbon-Based Material-Supported Palladium Catalysts
The Sonogashira coupling between terminal alkynes and aromatic halides has been studied using different palladium species, mainly PdNPs, immobilized on carbonaceous materials such as carbon nanotubes, graphene-derived materials [51] and carbon itself. In general, good activity and recyclability have been observed when employing supported PdNPs, especially when activated electrophiles, such as aryl iodides and bromides are coupled with aromatic terminal alkynes. For instance, PdNPs supported in mesoporous carbon afforded good yields (90–100%) in the Sonogashira coupling of aryl iodides and bromides with arylacetylenes using water as solvent at 60 °C [52]. Although the catalytic system has shown good recyclability with aryl iodides (up to five runs), no reactivity has been detected with aryl chlorides. In addition, the reaction conditions involve the use of copper as cocatalysts and triphenylphosphine as ligand, which reduce the interest of this catalytic system. Moreover, PdNPs supported on other carbon-derived materials, such as partially reduced graphene oxide (PdNPs@PRGO, 23) [53], reduced graphene oxide (PdNPs@RGO, 24) [54], graphene oxide (PdNPs@GO, 25) [54,55], and nanoporous carbon hollow tubes (PdNPs@CHT, 26) [56] have generally shown good activity in the Sonogashira reaction of aryl halides (Figure 9).
Figure 9.
PdNPs supported on carbonaceous catalyzing the Sonogashira coupling. Conditions, substrate scope and yield range (Scheme 2).
Usually, these supported catalyst are easily deactivated after several reaction cycles [54]. Regardless of the carbon-derived material employed as support, the stability and catalytic activity of supported PdNPs in the Sonogashira coupling can be improved following different strategies. One of them consists in the formation of an alloy with another metal, such as Au [57], Ni [58], Co [59,60,61], and Cu [62,63,64]. Thus, palladium-based alloys display promising catalytic activity in the Sonogashira cross-coupling reaction, as this approach usually slows down the undesired nanoparticle aggregation without altering the initial shape of the PdNPs. In this way, it has been demonstrated a higher catalytic activity of PdAuNPs compared to PdNPs, both supported on carbon, in the Sonogashira coupling between phenyl iodide and phenylacetylene after recycling (Scheme 4) [57]. In this case, the gold acts as stabilizing agent for the Pd(0) species, allowing the conservation of the PdNP morphology [bimodal distribution containing small NPs (10–15 nm) along with aggregated particles (100 nm)] and thus the catalytic activity of the system, which shows good functional group tolerance and excellent reactivity for aliphatic acetylenes.
Scheme 4.
Sonogashira coupling of phenylacetylene with phenyl iodide catalyzed by PdAuNPs@C compared to PdNPs@C.
A new and efficient catalyst based on PdCo alloy nanoparticles (2–3 nm) supported on polypropylenimine dendrimers grown on graphene nanosheets (PdCoNPs@PPIG, 27) has shown to be very effective in the room-temperature Sonogashira coupling of aryl iodides, bromides, and chlorides with aromatic and aliphatic terminal alkynes under ultrasonic Cu-free and neat conditions [59] (Scheme 5). Regarding recyclability, only a minor decrease of the reaction yield was observed after six reaction cycles for the coupling between phenyl iodide and phenylacetylene (99% to 93%). Interestingly, even deactivated aryl chlorides, such as 4-chlorotoluene showed good reactivity with phenylacetylene under the optimized reaction conditions.
Scheme 5.
Sonogashira coupling catalyzed by PdCoNPs@PPIG (27).
PdCu alloy nanoparticles supported on graphene-derived materials have been efficiently used in the Sonogashira coupling of aryl halides with aliphatic and aromatic terminal alkynes [62,63,64]. Particularly interesting has resulted the use of PdCuFeNPs supported on reduced graphene oxide (PdCuFeNPs@RGO), which has shown higher efficiency than the corresponding PdCuNPs@RGO analogue in the Sonogashira coupling of a wide range of aryl halides with phenylacetylene, using potassium hydroxide as base and cetyltrimethylammonium bromide as additive in water as solvent [63]. Both catalytic systems presented good recyclability (up to five cycles) in the coupling between bromobenzene and phenylacetylene. The addition of non-precious metals such as Cu and Fe to the Pd reduces the amount of the expensive metal of the alloy and improves the catalytic activity due to a synergistic effect of Cu and Fe, accelerating the reductive elimination step of the catalytic cycle.
Multi-walled carbon nanotubes (MWCNTs) have been covalently functionalized with adequate ligands to prepare the corresponding palladium species, which have been employed to catalyze the Sonogashira reaction (Figure 10). Thus, the imine-derived catalysts Pd(II)Schiff base@MWCNTs (28) [65] and Pd(0)IminoPy@MWCNTs (29) [66] can catalyze the coupling of aryl iodides and aryl iodides and bromides, respectively. Pd(II)Schiff base@MWCNTs (28) is active using water as solvent or even under neat conditions, affording the corresponding cross-coupling products with good to excellent yields, especially under aqueous conditions. Moreover, MWCNTs has been functionalized with the drug pramipexole and used for the supporting of PdNPs [67]. The resulting material Pd(0)Pramipexole@MWCNTs (30) has been employed to catalyze the coupling of aryl iodides, bromides and chlorides with phenylacetylene, the catalyst being recovered after centrifugation and reused five times keeping its activity.

Figure 10.
Palladium species on functionalized multi-walled carbon nanotubes as catalysts for the Sonogashira reaction. Conditions, substrate scope and yield range (Scheme 2).
Graphene oxide (GO) has also been functionalized to support palladium species destined to catalyze the Sonogashira reaction (Figure 11). Thus, a NHC palladium(II) complex has been anchored to silica-bounded GO to give material 31 employed to catalyze the coupling of aryl iodides with phenylacetylene [68], showing recyclability during four reaction cycles (first cycle: 70; fourth cycle: 64%) in the cross-coupling between 2-iodothiophene and phenyl acetylene. In addition, a palladium(II) tetrasulfophthalocyanine immobilized on keratin protein grafted GO nanosheets 32, catalyzed the coupling of aryl iodides, bromides and chlorides with phenylacetylene, aryl chlorides affording rather low yields [69]. The recyclability of the system was not demonstrated in a Sonogashira process. These two catalysts required the use of copper(I)-cocatalysis using water as solvent.
Figure 11.
Palladium species immobilized on functionalized graphene oxide as catalysts for the Sonogashira reaction. Conditions, substrate scope and yield range (Scheme 2).
4. Functionalized Silica-Supported Palladium Catalysts
The use of silica as a support for PdNPs has several advantages compared to other type of inorganics, since silica materials of several types, i.e., amorphous or mesoporous, are cheap and readily accessible, have good porosity, large surface area and chemical and mechanical stability. In addition, different functional groups can be anchored to the silica surface to effectively immobilize and stabilize PdNPs. This can minimize possible metal leaching and allows the easy recovery and reuse of the catalyst, therefore playing a central role in C–C coupling reactions, generally under phosphine and copper-free heterogeneous conditions [70,71].
Conveniently functionalized silica particles have been prepared by grafting methods, serving as support to immobilized palladium catalysts. Thus, amine-silica NPs (NH2-SiO2) have been used to immobilized highly branched polyethylenimine capped and stabilized PdNPs (PEI-PdNPs). This Pd/NH2-SiO2 (33) (Figure 12) was used as an efficient catalyst in the phosphine and copper-free Sonogashira coupling reaction, among other C-C coupling processes, using ethylene glycol as solvent. Good yields were obtained in the reaction between phenylacetylene and aryl iodides or bromobenzene. The catalyst was recovered by centrifugation and reused for three times with some decrease in the yields being observed (from 98% in the first to 80% in the third run) [72]. In addition, the use of acetylacetonate (acac) silica supported particles (SiO2-acacPdNPs) 34 (Figure 12) allowed to perform the coupling reactions between aryl iodides, bromides and even chlorides with phenylacetylene in refluxing water as solvent, under copper-free conditions [73]. Aryl halides containing electron-withdrawing substituents gave better results than those bearing electron-donating groups, ortho substitution in the aromatic ring leading to lower yields with longer reaction times. The immobilized catalyst was easily recovered by filtration and used in five consecutive runs without loss of activity. Moreover, nanosilica particles with a 3,5-bis-(2-benzothiazolyl)pyridine linker coordinating the metal 35 (Figure 12), catalyzed the copper-free Sonogashira reaction between aromatic halides and phenylacetylene under aqueous conditions, affording good yields. As expected, less reactive aryl chlorides gave lower yields than iodides or bromides [74]. These results were compared with the non-supported homogeneous catalyst, and although the last was more active, it could not be recovered, catalyst 35 being reused five times with only a slight decrease on the activity.
Figure 12.
Silica-supported palladium catalysts for the Sonogashira reaction. Conditions, substrate scope and yield range (Scheme 2).
PdNPs were immobilized on silica containing a propylamine-cyanuric linker (SiO2-pA-Cyan) that serve to anchor different metal species. Hence, cysteine reacted with this type of functionalized silica providing catalyst 36 (Figure 13). Using this catalyst, the reaction between several aromatic halides, including chlorides, was performed under copper-free aqueous conditions, leading to good yields. The catalyst was recovered by filtration and reused at least five times achieving similar yields and evidencing the linkage between the thiol groups with the palladium atom [75]. N-Heterocyclic carbene palladium complexes can be also supported on SiO2-pA-Cyan. The achieved catalyst 37 showed its efficiency in Suzuki and Sonogashira coupling reactions (Figure 13). In this case, aryl chlorides were not suitable, but good yields were obtained in the reaction between aromatic iodide and bromide derivatives and phenylacetylene. The recovery and reusability of the catalyst was demonstrated by using it in five runs without detrimental in the obtained results [76].
Figure 13.
Silica bonded propylamine cyanuric palladium catalysts for the Sonogashira reaction. Conditions, substrate scope and yield range (Scheme 2).
The silica surface can be modified by grafting polymeric chains, combining the compatibility of the interfacial polymer with the organic solvents and the high mechanical stability of the silica (Figure 14). Thus, poly(vinylpyridine)-grafted silica containing PdNPs (38) was prepared, showing its catalytic activity in the copper-free Sonogashira cross coupling reaction between electron-rich, electron-neutral and electro-poor aryl iodides and bromides with phenylacetylene, providing the expected products in moderate to good yields [77]. When aryl chlorides were used as substrates, the addition of a catalytic amount of TBAB (0.01 mol%) was required. This catalyst was recovered by filtration and reused in six consecutive runs with only a slight decrease on the activity, ICP-AES analysis of the recovered catalyst showing a negligible leaching of the metal. In addition, the use of polyvinylpyrrolidine-silica hybrid as support for PdNPs 39 were used as catalyst in the reaction between aromatic iodides and bromides, leading to the corresponding products in good yields (Figure 14) [78]. The use of aryl chlorides containing electron-donor groups as substituents needed the presence of TBAB (5 mol%) affording the expected products in low yields. Better results were achieved when electron-poor aryl chlorides were used as substrate under similar reaction conditions. After the reaction, the supported catalyst was recovered by filtration and reused up to six times without changes in the obtained results. Moreover, PdNPs immobilized in polymeric N-heterocyclic carbene grafted-silica 40 exhibited an excellent activity in Sonogashira coupling processes [79]. Aryl iodides, bromides and chlorides, as well as heterocyclic halides coupled with phenylacetylene afforded the corresponding products, the presence of TBAB (0.01 mol%) being required when using aromatic chlorides. Although the recyclability of the catalyst was not checked in the Sonogashira reaction, it was investigated in a Heck reaction, being possible its reuse at least 12 times. The true heterogeneity of the catalyst was demonstrated by inductively coupled plasma (ICP) analysis and hot filtration test.
Figure 14.
Immobilized PdNPs on polymer-grafted silica as catalysts in the Sonogashira cross-coupling reaction. Conditions, substrate scope and yield range (Scheme 2).
Dendrimeric chains have been used to host metal NPs, driving to high stability by encapsulation, thus avoiding their agglomeration. The dendrimer periphery structure can be tailored to affect the solubility of the hybrid system. Thus, silica NPs from rice husks ashes have been employed as solid support to anchor poly(amidoamine) dendrimeric branches, leading to a material that was employed to encapsulate PdNPs. The obtained catalyst 41 was tested in the coupling reaction between aromatic halides, including chlorides and heterocyclic bromides, and several acetylenic substrates, using water as solvent [80] (Figure 14). The reaction yield and time resulted affected by electronic and steric effects on the aromatic rings and by the presence of chlorides as substrates. The recovery of the catalyst was performed by centrifugation and was reused in six consecutive runs without deterioration of the catalytic activity. Hot filtration test and ICP of the recovered catalyst showed only a slight leaching of palladium, confirming the heterogeneity of the catalyst.
Several types of mesoporous silica NPs have been studied as support for PdNPs. These materials have large surface areas and void volume and differ on their symmetry (for instance, MCM-41 and SBA-15 are hexagonal while MCM-48 or SBA-16 are cubic), and porosity, all having high stability, chemical inertness and accessibility for further functionalization. These features make them good candidates to serve as support for metal species (Figure 15). Thus, the incorporation of a carbene ligand to mesoporous silica MCM-41 led to catalyst 42 suitable to catalyze the coupling of aryl iodides and bromides with phenylacetylene in piperidine as solvent [81]. Addition of ethyl acetate to the reaction mixture and filtration of the catalyst allowed its recovery and reuse for five runs with only a slight decrease on the achieved yields, the heterogeneity of the catalyst being demonstrated by ICP analysis of the reused catalysts and by a hot filtration test. Similar results were obtained using mesoporous pyridyl functionalized MCM-48 43 under almost identical reaction conditions [82]. In this case, the recovery of the catalyst by filtration and reusing (up to five times), evidenced a lost in the catalyst activity in the last run due to leaching of the palladium. The hot filtration test indicates that the reaction follows a heterogeneous pathway. Moreover, SBA-15 with pendent 3-mercaptopropyl groups 44 was prepared and used as catalyst under similar reaction conditions, giving the expected products in excellent yields (Figure 15) [83]. A slight decrease of the activity of the catalysts was observed after its recovery and reuse in six consecutive runs. Finally, when 1,2-diaminocyclohexane silica mesoporous SBA-16 45 was used as support, the reaction also admitted the use of aryl chlorides as substrates, although yields ranged from 68% to 72% in this case (Figure 15) [84]. The catalyst was reused up to five times with only a slight decrease in the achieved yields being observed and attributed to some palladium leaching.
Figure 15.
Mesoporous silica-supported palladium catalyst used in the Sonogashira cross-coupling reaction. Conditions, substrate scope and yield range (Scheme 2).
Other palladium ligands have been supported on mesoporous silica, as shown in Figure 16. Thus, ethylendiaminetetraacetic acid (EDTA) has been anchored to SBA-15 and complexed with palladium to afford catalyst 46, which was used in the coupling reaction of several aromatic halides, including chlorides, under copper and phosphine-free conditions [85]. The obtained final yields were excellent when electron-withdrawing substituents were bonded to the aryl moiety. The catalyst reusability was not shown for the Sonogashira coupling, although the recovered catalyst after filtration was reused in a Suzuki coupling reaction. Only a slight decrease in the yields after the fourth cycle was observed. In addition, 2,4,6,triallyloxy-1,3,5-triazine (TAT) was covalently attached to mesoporous silica SBA-15 leading to catalyst 47, which was used in the Sonogashira reaction [86]. The reaction between different aryl iodides with several substituted acetylene derivatives proceeded in high yields, evidencing the tolerance of the catalyst towards the presence of a wide range of functional groups. Although the reaction with aromatic acetylenes did not require the presence of copper salts, 5 mol% of CuI was necessary for the progress of the reaction with aliphatic alkynes. The reusability of the catalyst up to five times was studied in a Heck reaction. Moreover, the radical oligomerization of a bisvinylthiazolium salt in the presence of mercapto-functionalized mesoporous silica SBA15 gave a material that was able to immobilize palladium atoms. The generated supported catalyst 48 was used in the Sonogashira coupling of several phenylacetylene derivatives with different aromatic iodides in a reusable acetonitrile/water azeotrope as reaction medium [87]. The reaction was carried out using N-methylpiperazine as a base or PS-supported piperazine, affording the expected products in similar yields, although longer reaction times were required when the heterogeneous base was used. The use of the supported base allowed the recovery of the catalyst/base system by filtration, which was reused in up to five consecutive runs without detriment of the achieved results. However, when the soluble base was used, reusing was only possible for a second run. A hot filtration test and a mercury test was performed showing that the process take place mainly through the formation of PdNPs. Furthermore, 2-D-hexagonal mesoporous silica (PMO) bearing a phloroglucinol-diimine moiety was used to immobilize palladium species, and the obtained catalyst 49 was used in the Sonogashira reaction (Figure 16) [88]. Thus, coupling of phenylacetylene with aromatic iodides were performed using water as reaction media, while the use of aromatic bromides needed the use of DMF as solvent. The catalyst was recovered and reused, observing a decrease in the yield from 90% to 75% after the fourth cycle.
Figure 16.
Mesoporous silica-supported catalysts used for the Sonogashira reaction. Conditions, substrate scope and yield range (Scheme 2).
The use of sol-gel co-condensation protocols have shown as another way to immobilize palladium metal in a silica matrix. Thus, two different silylated Pd-NHC complexes, having either a bidentate acetylacetonate ligand or a monoligation through a 3-chloropyridyl moiety, were immobilized on hybrid silica by applying a sol-gel process affording catalysts 50 [89]. The reaction between phenylacetylene and 4-bromoacetophenone was carried out using a 0.2 mol% of each one of the catalysts in the presence of tetrabutylammonium acetate in DMF as solvent at 120 °C (Scheme 6). The final alkyne coupling product was formed in ca. 90% yield in just 1 h, the reaction being faster when using the monoligated catalyst. The catalysts were recovered by centrifugation and reused after five reaction runs with a decrease of the achieved yields, no formation of NPs being observed. The hot filtration test suggested a homogeneous reaction pathway, in which the silica material acted as a reservoir of the palladium species that reacted in the solution.
Scheme 6.
Silica-supported Pd-NHC complexes used as catalysts used in a Sonogashira reaction.
Sol-gel entrapped SiliaCat, an organoceramic matrix with high catalyst loading and surface area, containing PdNPs (0.1 mol%) has shown to promote the copper-free Sonogashira reaction between phenylacetylene and aryl iodides, using potassium carbonate as base in refluxing ethanol or methanol, achieving, after 0.5 h to 3 h, the corresponding products in quantitative yields [90]. When o-iodomethylbenzene was used as substrates under similar reaction conditions, only a 77% yield was obtained. In the reaction of 4-bromonitrobenzene with phenylacetylene, the catalyst amount was increased to 1 mol% to achieve the coupling product in quantitative yield in the presence of triethylamine under refluxing aqueous DMF. The reaction could be performed in water and using potassium carbonate as a base in the presence of tetrabutylammonium bromide as phase transfer agent. However, the obtained yields for the coupling of aryl bromides and phenylacetylene were quite disappointing under the last conditions. The use of microwave irradiation in methanol as solvent allowed obtaining the reaction products in higher yields with small catalyst loading (0.1 mol%). Under these conditions, the catalyst was recovered by filtration and reused for five times with retention of the catalyst activity. In addition, the SiliaCat bearing diphenylphosphine (DPP) moieties as ligands, was used to immobilize palladium and the material was assayed as catalyst in continuous-flow Sonogashira reaction process between 3-iodo-N-Boc(aza)indoles and tolylacetylene (Scheme 7) [91]. Full conversion was reached in just 2 min at 60 °C in DMF as solvent. The reaction was also carried out under batch conditions required longer reaction times (h versus min). The reusability of the catalyst was studied washing the sealed cartridge containing the catalyst with DMF, which gave a clean reactor that was reused up to eight times, observing only a small decrease in the yields after the eighth run.
Scheme 7.
Sonogashira coupling of 3-iodo-N-Boc(aza)indoles and tolylacetylene under continuous-flow conditions.
5. Magnetic Material-Supported Palladium Catalysts
Magnetic materials have an extra advantage to any other support when recovery is intended. Thus, they can be easily separated from the reaction medium just by using a magnet (the so-called magnetic purification or magnetic decantation), avoiding the tedious recovery of catalyst from colloidal mixtures by filtration and/or centrifugation strategies, typically used for other heterogeneous supports. In this field, magnetite, an iron(II) and (III) oxide in a cubic inverse spinel structure, is the most used support [9], although other related materials employed recently will also be presented. There are different methodologies to incorporate palladium species, to the support, such as impregnation, coating, grafting, and coating–grafting. Each preparation methodologies have advantages and disadvantages, which should be considered when a catalyst is prepared.
The impregnation method is the most straightforward, simple, and inexpensive protocol to incorporate the catalytic metal species to the support and involves the evaporation or precipitation of the metal precursor contained in a solution, followed by an ulterior drying step. The particle distribution and morphology are governed by different factors, including support porosity, pH, viscosity of solution, drying rates. The impregnation of palladium on magnetite was introduced for the Sonogashira coupling reaction using 2-iodoaniline derivatives and substituted aromatic and aliphatic 1-alkynes [92]. Recently, a similar catalyst has been used in a tandem Sonogashira reaction cyclization process of o-iodoanilines and terminal alkynes to give the corresponding indole derivatives at high temperatures, the presence of Cu(I) cocatalyst being crucial [93] (Scheme 8). However, the yield was lower when 2-bromoaniline was used. The impregnated palladium on magnetite was recovered by magnetic decantation and reused ten times without any detrimental effect. In fact, the TEM images of fresh and recycled catalyst, as well as size distribution, were practically identical. The applicability was highlighted by performing an example of gram-scale reaction.
Scheme 8.
Tandem Sonogashira-cyclization process catalyzed by impregnated palladium on magnetite.
Instead of magnetite, a zinc ferrite ZnFe2O4, the place of Fe(II) atoms in the inverse spinel being occupied by the Zn(II) atoms] has been recently used as support for the impregnation of palladium species. Thus, the Sonogashira reaction between iodoarenes and phenylacetylene was performed in refluxing ethanol as solvent, affording the corresponding products with good results (eight examples, 82–90% yield) [94]. The catalyst was separated of the reaction medium by a magnet and reused at least for three cycles. The ICP analysis of reaction medium showed some palladium leaching.
The magnetic supports have been coated by other materials to avoid the aggregation of magnetic nanoparticles to the cluster and to protect them from abrasion and degradation under harsh conditions. Thus, magnetite has been coated with the polysaccharide agarose, and PdNPs has been deposited on this surface. The Sonogashira reaction with phenylacetylene was performed in polyethylene glycol-200 at 130 °C, giving moderate to good results (13 examples, 53–95% yield) even in the case of using brominated or chlorinated arenes, the reaction with chloroarenes needing harsher reaction conditions and longer reaction times [95]. However, no data from the possibility of catalyst recycling was given. In addition, magnetite has also been coated with graphene oxide, the final treatment with N-hydroxysuccinimide and diethylenetriamine favoring the incorporation of the PdNPs. The Sonogashira coupling reaction with 0.5 mol% of the aforementioned catalyst in DMSO at 120 °C gave the expected product with excellent results for iodoarenes and moderated ones for bromoarenes (16 examples 32–100% yield) [96]. The catalyst could be re-used up to six cycles, but a slight decrease of activity after each cycle was observed.
The grafting process of palladium species, using tailored ligands which can bind effectively to the magnetite surface, has been used in the context of the Sonogashira reaction. The presence of organic ligands prevents sinterization processes as well as the degradation of the PdNPs. Thus, different trioxysilane derivatives have been introduced recently as linkers (Figure 17). The catalyst 51 has been used in the Sonogashira process between haloarenes and phenylacetylene, giving the expected disubstituted alkynes with moderate to excellent results [97]. The reaction allowed using not only iodides and bromides but also chlorides, with only a small decrease in the yield and increase in the reaction time. The catalyst was recycled up to seven times with only a marginal decrease in the final yield, showing the high stability of the catalyst. A similar catalyst preparation was followed for the generation of 52, and, although the results seemed to be similar to those obtained formerly, the lack in the quantification of the amount of palladium, as well as the recyclability, makes these results not comparable [98].
Figure 17.
Magnetite grafted palladium catalysts for the Sonogashira reaction. Conditions, substrate scope and yield range (Scheme 2).
A β-cyclodextrin-palladium catalyst 53 (Figure 17) has also been used in the Sonogashira reaction with arylacetylenes. The reaction was successfully performed for either iodoarenes or bromoarenes, obtaining similar results [99]. The recyclability of the catalyst was not assayed in a Sonogashira but in a Suzuki reaction. In addition, not only processes of silanization have been used to prepare grafted-palladium catalysts, but also phosphorylation processes, as shown in the case of catalyst 54 (Figure 17). This catalyst has been used with different iodo- and bromoarenes and aromatic and aliphatic acetylene derivatives to give the expected products in excellent yields and short reaction times. The catalyst could be recycled up to seven times with a slightly decrease in the final results [100].
The formation of coated-grafted palladium catalysts is the most difficult and expensive approach when immobilizing palladium catalysts over magnetite, but it is frequently the preferred method since it combines the advantage of previous ones, such is the stability of the material and the fine-tuning of the catalyst by the presence of the ligand. The standard protocol involves the sonication of NPs of Fe3O4 and coating with a thin layer of silica, using tetraalkoxysilanes via a sol-gel process. The ligand is anchored by refluxing the corresponding triethoxysilane derivative and the coated nanoparticle in toluene. The final treatment with a source of palladium, usually a salt of palladium (II), gave the pre-catalyst. This pre-catalyst is reduced either previously to reaction or in situ to generate the corresponding PdNPs surrounded by heteroatoms of the ligand (Figure 18). In this way, the phosphane-catalyst 55 was prepared, the presence of PdNPs being determined by X-ray photoelectron spectroscopy (XPS) at the end of the reaction. The Sonogashira coupling reaction of several iodo- or bromoarenes with terminal alkynes proceeded completely and generated the expected products in good to excellent yields, the results with hindered 2-substituted arenes being noticeably lower. The reaction failed when chloroarenes were used as starting reagents, recovering the starting materials unchanged. The ICP analysis of reaction media showed only a 0.2% of palladium leaching, which is in concordance with the reuse of catalyst up to eight-times without depletion [101].
Figure 18.
Magnetite-Silica coated-grafted palladium catalysts for the Sonogashira reaction. Conditions, substrate scope and yield range (Scheme 2).
Not only phosphines have been used as linker-ligands, but also nitrogen containing ligands, such as 2-tetrazole-aniline derivative in catalyst 56. The Sonogashira coupling reaction of several iodo-, bromo- and chloroarenes with terminal alkynes gave the expected products with the yield being directly related with the halogen in the initial arene, iodoarenes giving the best results and chloroarenes the worst. The catalytic system could be recycled by magnetic decantation and reused up to six-times without detrimental effect on the yield [102]. Moreover, the heterogeneous imine-palladium catalyst 57 has also been tested in the Sonogashira coupling reaction of halogenated arenes and phenylacetylene and, as in a previous case, the results depended on the halogen, the best results being obtained for the iodinated derivatives. The reaction was also performed with aliphatic alkynes, but the reaction time had to be increased, compared to when phenylacetylene was employed [103]. No recycling experiments were conducted with this catalyst.
A bisindole-palladium catalyst 58 has been used as catalyst in the Sonogashira reaction, the reaction affording good results for structurally diverse haloarenes and terminal alkynes, including heteroaromatic systems. As in previous cases, the best results were obtained for iodinated derivatives while the worse was obtained for chlorinated ones. The heterogeneity of the process was proved by the Hg (0) test, as well as by the hot-filtration reaction. The catalyst was isolated by magnetic decantation and re-used up to seven folds with only a marginal decrease in the results. This fact is in concordance with the leaching of only 1% of palladium, according to ICP analyses of the crude solution [104]. Furthermore, aryl halides and phenylacetylene were submitted to the Sonogashira reaction catalyzed by the salen-material 59 (Figure 18). As expected, the reaction with haloarenes bearing electron donating groups went to completion in longer reaction times that those with electron-withdrawing ones. The catalyst was recycled and reused six times with a small decrease in the yield. In fact, the ICP analysis of crude solution showed only a 0.4% of palladium leaching, which increased up to 4.9% after sixth cycle [105].
There are other types of protecting shells different from silica (Figure 19). Thus, in the catalyst 60, over the typical magnetite-silica core–shell composite, another organic shell was obtained by polymerization of (3-methacryloxypropyl)trimethoxysilane. This organic surface was modified by a subsequent polymerization of glycidyl methacrylate. The reaction of the obtained epoxide-composite with polyethylenimime gave the composite, which after addition of palladium source and reduction permitted the preparation of catalyst 60 [106]. This supported palladium species was successfully used in the Sonogashira reaction, being recycled and reused up to eight times with only a marginal decrease in the yield.
Figure 19.
Magnetite coated-grafted palladium catalysts for the Sonogashira reaction. Conditions, substrate scope and yield range (Scheme 2).
Instead of silica, titania can be used as final shell. Thus, the preparation of catalyst 61 (Figure 19) was similar to the above presented but changing tetraalkoxysilanes by titanium tetraalkoxydes. The efficiency of this composite-catalyst was examined in the Sonogashira reaction, and the process worked efficiently for iodoarenes, even for the related bromo- and chloroarenes, although in these cases longer reactions times were needed to reach similar yields. The composite 61 could be reused five times with a marginal decrease in the yield. The hot filtration test showed the heterogeneity of the process [107].
Not only magnetite could be the core of the composite material, but also maghemite (γ-Fe2O3) with a similar spinel structure (Figure 20). Thus, the pyridine maghemite coated-grafted catalyst 62 has been successfully used in the classical Sonogashira reaction with phenylacetylene, the use of chloroarenes needing longer reaction times and reaching lower yields that the related iodoarenes [108]. In addition, another possibility is the stabilization of the palladium by carbine-phospane ligands, as in the case of supported catalyst 63, which allowed to perform the cross-coupling reaction using water as solvent and very low catalyst loading [109]. The Sonogashira reaction was carried out with different haloarenes, including iodo, bromo and chloro derivatives. However, as in previous cases, the use of chloro derivatives implied longer reactions times and lower yields. The catalyst could be isolated by magnetic decantation and reused up to ten times with a minimum decrease in the yield. Furthermore, the maghemite composite supported catalyst 64 has only been used for the Sonogashira reaction between iodobenzene and phenylacetylene (Figure 20), although its preparation represents a new variant since the linkage between the palladium-containing organic tail and the solid surface was due to the formation of multiple hydrogen bonding in the dendritic unit [110]. This new system opens the door for the design of other type of catalysts.

Figure 20.
Maghemite coated-grafted palladium catalysts for the Sonogashira reaction. Conditions, substrate scope and yield range (Scheme 2).
An alternative way to build up a magnetically recoverable material is to anchor, not only the catalytic metallic species, but also NPs, to any support (Figure 21). This strategy has been used starting from potato starch, its reaction with a core–shell composite of magnetite-silica modified surface silanol groups as chloride giving the magnetic recoverable material. The final adsorption of palladium salt and in situ reduction by the support lead the catalyst 65, which was used to catalyze the Sonogashira coupling. The reaction worked well for both electron-rich and electron-poor haloarenes and phenylacetylene, obtaining the expected 1,2-diarylethyne products in high yields [111]. As in previous cases, the best results in terms of reaction time and yields were obtained when iodoarenes were used, and the worst when the relate chloroarenes were employed. The catalyst could be recycled and reused up to five folds, but an increase of the reaction time was needed, to maintain the initial yields. However, different techniques, including TEM image and FT-IR, did not show any change of the reused catalyst.
Figure 21.
Magnetic decorated palladium catalysts for the Sonogashira reaction. Conditions, substrate scope and yield range (Scheme 2).
The last recent example of this section used a copper ferrite spinel as magnetic part. This spinel was linked to a silica surface through an aminopropylsilaneoxy linker, and over this material PdNPs were deposited to obtain material 66. The catalyzed Sonogashira reaction was carried out using different functionalized iodo- and bromoarenes [112], the presence of electron-withdrawing groups at the p-position of the haloarene enhancing the chemical yield. It should be pointed out that the magnetic decantation of the catalyst and its reuse had a negative impact on the final yield, as it was explained by the high palladium leaching (6%), according to AAS analysis of the crude solution.
6. Hybrid Material-Supported Palladium Catalysts
The typical reduction of palladium salts in the presence of different hybrid materials has been employed for the preparation of heterogeneous catalysts. The generated PdNPs immobilized in these materials catalyzed the copper-free Sonogashira reaction (Scheme 9), allowing to increase the catalytic activity of the palladium and to reduce the amount of metal required for the process. In this context, PdNPs were prepared in a calcium-cholate hydrogel (PdNPs@Ca-Ch, 67), the growth and stabilization of the PdNPs being assisted by the hydrogel matrix. This PdNPs/Ca-Ch hybrid xerogel catalyzed the copper-free Sonogashira reaction between iodoarenes and phenylacetylene, using pyrrolidine as base in water as solvent [113]. Unfortunately, this hybrid xerogel resulted degraded under the reaction conditions, making it impossible to recycle. In addition, PdNPs have been supported on a TiO2-cellulose composite (PdNPs@TiO2-Cell, 68), proving to be an effective catalyst to perform the coupling of aryl bromides with terminal alkynes (Scheme 9) [114], although its recyclability was not demonstrated in a Sonogashira coupling. Moreover, PdCu bimetallic NPs have been supported on a polymeric vinylimidazole ligand modified magnesium oxide, and this material (PdCu@MgO) exhibits high catalytic activity in the Sonogashira coupling reaction of aryl iodides, bromides and chlorides with low Pd loading (0.05–0.2 mol%). This catalyst is recovered and recycled for eleven consecutive runs preserving its catalytic activity in the model reaction of iodobenzene with phenylacetylene for at least eight cycles [115].
Scheme 9.
PdNPs supported on hybrid materials employed in the copper-free Sonogashira reaction. Conditions, substrate scope and yield range.
Cyclodextrins (CDs) can act as transfer shuttles to promote biphasic processes due to their hydrophilic exterior and hydrophobic interior cavities, being suitable to immobilize PdNPs. Thus, a hybrid system based on covalent conjugation of tosylated cyclodextrin to thiosemicarbazide-functionalized halloysite nanotubes (PdNPs@CD-T-HNTs, 69) demonstrated to be effective in the coupling of several terminal acetylenes and halobenzenes (Scheme 9). The study confirmed a synergistic effect between HNTs and CD, being recycled up to 13 cycles with just a slight loss of activity [116]. A hybrid material has also been prepared using cyclodextrins and carbon nanotubes (CNTs) (PdNPs@CD-CNT), and has been used in the coupling of phenylacetylene and iodobenzene with high activity (93% yield of diphenylacetylene), the catalyst being recycled six times with only a slight loss of activity [117].
The use of covalent organic frameworks (COFs) [118] and metal–organic frameworks (MOFs) [119,120] as supports of NPs has also been considered due to their good properties in terms of stability, recyclability, high surface area and high pore volume. Thus, highly dispersed PdNPs have been immobilized into the covalent organic framework TpPa-1 by a simple solution infiltration method followed by NaBH4 reduction, providing the heterogeneous catalyst PdNPs@TpPa-1 (70). This hybrid material resulted active as catalyst in the Sonogashira coupling between aryl halides and alkynes (Scheme 9), recycling of the catalyst showing a loss of a 25% of yield after the fourth cycle [121]. In the case of MOFs, MIL-101 and MCoS-1 have been employed to stabilize PdNPs. Thus, the hybrid materials PdNPs@MIL-101 (71) and PdNPs@MCoS-1 (72) have been easily obtained by a simple impregnation method, being active catalyzing the copper-free Sonogashira reaction. Heterogeneous catalyst 71 was effective in the coupling of terminal alkynes with bromoarenes and bromoheteroarenes [122], whereas catalyst 72 was assayed in iodo-, bromo-, and chloroarenes (Scheme 9) [123]. Both MOF-based catalysts were reused in up to five cycles (ca. 6% yield drop for 71 and ca. 4% yield drop for 72).
1,3-Bis(4-carboxyphenyl)imidazolium chloride has been employed as a linker in the preparation of a MOF in combination with zinc nitrate, being subsequently altered to create NHC-palladium(II) complexes. This modified MOF showed a high density and uniform distribution of the active sites and catalyzed the Sonogashira reaction between aryl iodides, bromides or chlorides and arylacetylenes, using potassium carbonate as base and DMF as solvent at 100 °C, retaining its catalytic activity for at least four cycles without losing its structural integrity [124]. Similarly, dicarboxylic acid palladium complex 73 (Figure 22) has been assembled with zinc nitrate forming a mesoporous palladium(II) coordination polymer Pd(II)-CP. This protocol allowed the immobilization of palladium bis(phosphane) complexes, being a structural part of a MOF. This prepared Pd(II)-CP proved to be active as catalyst, in combination with CuI, for the Sonogashira coupling of iodobenzene and phenylacetylene in a 55% yield after 24 h [125]. This heterogeneous catalyst resulted stable enough to be reused more than four times with neither palladium nor zinc leaching.
Figure 22.
Palladium(II) complex 73 employed as linker in the preparation of a MOF.
7. Inorganic Material-Supported Palladium Catalysts
Non-functionalized purely inorganic materials have been used for the immobilization of palladium species, and some of the most studied are zeolites. These materials have been disclosed as excellent supports for palladium catalysts, mainly PdNPs, able to perform different coupling reactions, the Sonogashira coupling being among them. Therefore, examples dealing with the use of such supports for the immobilization of PdNPs and their use in Sonogashira couplings have been reported in the last years. Thus, the use of the natural-occurring, inexpensive and readily available zeolite clinoptiolite as support of PdNPs has been described. The catalyst [Pd(0)@AT-Nano CP, 74] was prepared in a straightforward manner from the so-called nanozeolite clinoptiolite (Nano CP) after activation and dealumination with H2SO4 (AT-Nano CP), and subsequent treatment with K2PdCl4 and reduction with hydrazine [126]. After characterization of the heterogeneous catalyst, confirming the presence of PdNPs (<10 nm) in the mesoporous inorganic structure, the copper-free Sonogashira coupling was tested in water as solvent at 60 °C. The reaction of aryl iodides, bromides and chlorides with terminal alkynes afforded the corresponding coupling products with good to excellent yields using 0.06 mol% of Pd(0), regardless the nature of the aryl halide and the terminal alkyne employed. It is worth mentioning that the heterogeneity was demonstrated since no leaching of PdNPs was observed. Additionally, the Pd(0)@AT-Nano CP catalyst could be reused up to eight times without detriment in yields and with only a slight increase in reaction time when the model reaction between iodobenzene and phenylacetylene was carried out.
Another recent example of a zeolite as inorganic palladium support is the use of the commercially available ion exchange NaY zeolite, which was treated with [Pd(NH3)4]Cl2 and, after several thermal treatments under oxidative (O2) and reductive (H2) atmospheres, afforded the Pd(0)-loaded NaY zeolite (Pd-NaY, 75) [127]. Under optimized conditions, azaindoles and pyrrolo-quinolines were obtained through a tandem Sonogashira coupling-cyclization reaction (Scheme 10). For such purpose, iodo-N-substituted aminopyridines and aminoquinolines were employed as starting materials, obtaining the corresponding products in yields ranging from moderate to high. When the recyclability of the catalyst was essayed, a significant drop in the yield (from 71% to 62%) along with an important increase of the reaction time (from 6 to 16 h) was observed after the third cycle.
Scheme 10.
Pd(0)-NaY (75)-catalyzed synthesis of heterocycles through tandem a Sonogashira-cyclization reaction.
Another family of silicates extensively used for the immobilization of metal catalysts are the readily available montmorillonites (MMT), and recently Na+-Montmorillonite (Na-MMT) has been the starting point for supporting PdNPs and Pd/Cu nanoalloys. Thus, after the activation of Na-MMT with H2SO4 generating nanopores in the structure, PdNPs were located after treatment of the MMT with a palladium(II) source and further reduction. Once the PdNPs@MMT catalyst (76) was fully characterized, the copper-free Sonogashira reaction between different aryl iodides and alkyl and arylacetylenes was assayed, obtaining excellent yields in all cases (Figure 23) [128]. These good results were maintained for three cycles after the recovery of the catalyst. In another example, palladium(II) and different metal salts [Cu(II), Fe(II), and Ni(II)] were co-precipitated on the MMT surface, giving rise to the corresponding PdNPs/MetalNPs@MMT catalysts after sonication and reduction. Under optimized reaction conditions, these catalysts were employed in the Sonogashira reaction, the best results being achieved when PdNPs/CuNPs@MMT (77) was the catalyst employed (Figure 23) [129]. Thus, the reaction with unactivated and activated aryl iodides with alkyl and arylacetylenes produced the corresponding products with yields ranging from moderate to high, respectively. It is remarkable that the reaction using PdNPs@MMT or CuNPs@MMT independently barely worked, suggesting a synergistic effect of both metals.
Figure 23.
Montmorillonite-immobilized PdNPs as catalysts for the Sonogashira reaction. Conditions, substrate scope and yield range (Scheme 2).
Unfunctionalized inorganic silicon-based materials can also act as support for PdNPs, which has been shown recently by the use of a pH-responsive mesoporous silica nanocomposite [130]. This kind of silica can be highly dispersed in an organic phase by adjusting pH (9–10) hence preserving the benefits of homogeneous catalysts. Thus, this support was embedded with PdNPs and tested in the Sonogashira reaction (catalyst 78) using triethylamine as base in a Et2O/H2O (1/1, v/v) solvent mixture, with a 1 mol% Pd loading at room temperature. Under these conditions, aryl iodides gave rise to the coupling products in high yields, the corresponding aryl bromides producing moderate yields at best. Interestingly, the catalyst was easily recovered just adjusting pH to 3–4, the heterogeneous species remaining in the aqueous phase under these acidic conditions and the products being easily extracted from the ethereal layer. Once the pH was readjusted to basic conditions (9–10), the catalysts reverted to the organic phase keeping the catalytic efficiency almost unaltered for five cycles.
More recently, silicon carbide has been described in the literature for immobilizing PdNPs [131]. The application of such heterogeneous catalyst 79 in the Sonogashira coupling with phenylacetylene was tested using both, activated and unactivated aryl iodides and bromides, obtaining excellent and moderate conversions, respectively, when the reaction was performed under UV-irradiation (400–800 nm). The reaction seemingly follows a photocatalytic pathway, since the reaction conversion drops dramatically in the dark. A possible electron-transfer from the semiconductor support to PdNPs has been suggested, hence increasing their activity when irradiated with the appropriate wavelength. This catalyst proven to be recyclable up to five cycles with slight decrease in activity (99% to 89%), probably due to some Pd leaching observed analyzing the metal content after the last run.
Another kind of inorganic supports frequently found in heterogenous catalysis for the immobilization of metal NPs are metal oxides. Thus, readily available titania (TiO2), which is very stable and active as photocatalyst, was used as support for PdNPs creating material 80 and enhancing their performance as catalysts in the Sonogashira coupling when irradiated with 465 nm LED [132] (Figure 24). High yields were obtained using aryl iodides and terminal alkynes, although the catalyst reusability test revealed a slight drop in the yield in the second cycle and no conversion in the third cycle. Possible catalyst poisoning by accumulation of stilbene sub-product formation has been suggested as the main reason for such behavior. However, the PdNPs@TiO2 (80) catalyst was regenerated with a photo-treatment using the radical photo-initiator Irgacure® 2959 and UV light, restoring most of the catalyst performance. In addition, zinc oxide (ZnO), also readily available and with similar properties than TiO2, was used as support for PdNPs. The formed Pd(0)@ZnO (81) catalyzed the Sonogashira coupling in the presence of catalytic amounts of CuI under aqueous conditions (Figure 24) [133]. Activated and unactivated aryl iodides and activated aryl bromides and chlorides were coupled with phenylacetylene, obtaining high to excellent yields. The catalyst was recycled up to five runs without any decrease in yields.
Figure 24.
Titania and zinc oxide-immobilized PdNPs as catalysts for the Sonogashira reaction. Conditions, substrate scope and yield range (Scheme 2).
Metal hydroxides can be also employed for supporting metal catalysts. Thus, PdNPs were immobilized on Al(OH)3 by mixing the Pd(II) precursor with Al(OiPr)3, obtaining the corresponding PdNPs@Al(OH)3 (82) after the corresponding treatment [134]. This catalyst resulted very active in the copper-free Sonogashira reaction of aryl and heteroaryl bromides and chlorides with aryl and heteroarylacetylenes, obtaining higher yields when the aryl bromides were employed (Figure 25). Surprisingly, a better catalytic performance was observed when the in situ catalyst preparation method was employed than when PdNPs were supported on preformed Al(OH)3. The catalyst was recycled up to six times without any loss in activity, being the leached palladium negligible after the last cycle. Another natural occurring hydroxide, the hydroxyapatite [Ca5(PO4)3(OH); HAP] was prepared by a precipitation and calcination procedure. Different HAPs were prepared under various pH conditions and the PdNPs were supported on them, catalyst PdNPs@HAP-12 (83) (pH maintained to 12 in the HAP preparation) proving to perform the best for the Sonogashira coupling between activated and unactivated aryl and heteroaryl iodides and bromides and terminal acetylenes (Figure 25) [135]. Recyclability experiments demonstrated that the catalytic activity was maintained for four cycles, observing almost no leaching of Pd (0).
Figure 25.
PdNPs supported on metal hydroxides as catalysts for Sonogashira couplings. Conditions, substrate scope and yield range (Scheme 2).
Although uncommon, PdNPs can also be supported on other native metals. This is the case of a nano-Pd/Cu catalytic system, which was evaluated in Sonogashira couplings of aryl iodides and bromides with terminal alkynes, obtaining moderate to high yields using triethylamine as base and solvent [136]. It was also observed the presence of certain amounts of PdO, which apparently favors the catalyst activity. The catalyst was recycled up to two runs adding triphenylphosphine in each cycle to enhance the stability of palladium species and prevent deactivation. However, almost no conversion was observed after the third cycle due to a significant palladium leaching and changes in catalyst morphology.
8. Selection of The Most Synthetically Useful Catalysts
From a critical point of view, among all the array of presented catalysts, only some of them can really be considered as promising for general synthetic purposes. Thus, catalysts that have only been assayed in the cross-coupling of the “easy” aryl iodides and terminal acetylenes results nowadays of limited general synthetic usefulness, although conceptually interesting in some cases. However, those being able to catalyze the reaction using aryl bromides and chlorides result more active and, in principle, with a more general applicability, particularly if this is demonstrated carrying out a good amount of reactions with these substrates. Moreover, as the recyclability of the catalyst is a crucial subject when dealing with solid-supported catalytic systems, a significative number of reaction cycles using the recovered catalyst should be presented when considering its potential usefulness.
With all these strict considerations in mind, Table 1 compiles a selection of the catalysts which can be considered synthetically most relevant, ordered by the material used as support. Only catalysts fulfilling all the following requirements are included: (a) can catalyze the coupling of aryl bromides and/or chlorides and terminal acetylenes; (b) have been employed in, at least, 10 reactions involving these halides; and (c) have been reused in, at least, five reaction cycles.
Table 1.
Selected supported catalysts working with aryl bromides and/or chlorides in the Sonogashira reaction. Only catalysts used in 10 or more reactions involving aryl bromides and chlorides and employed in five or more reaction cycles are included.
In Table 1, it can be observed that very active catalysts can be obtained with palladium species anchored to all kind of supports. The higher number of catalysts fulfilling the above-mentioned requirements is situated in the organic–polymer supported section. The use of these supports has a longer history within the study of immobilized catalytic species, therefore the appearance of many developments is logical. However, it is interesting to note that the recyclability of those systems, even the bests, still results not particularly remarkable. A good number of interesting catalysts have been found when using magnetic materials as support, particularly when recyclability of the system is considered. In addition, some particularly active supported catalysts can also be found when using functionalized silica as supporting material, but still very few catalysts overcome the selection when carbon-based, hybrid or purely inorganic materials are used as supports, something which can be attributed to the novelty of their use as immobilization materials.
9. Conclusions
This review presents how palladium species supported on many different materials have been successfully described as catalysts for the Sonogashira reaction in the last years. Two types of palladium catalysts have been reported independently of the support, palladium nanoparticles immobilized on the support and palladium complexes linked to the support, although, in this last case, the complex is usually just a precursor of the palladium nanoparticles. It is interesting to note that the Sonogashira cross-coupling reaction with these supported catalysts is frequently performed under convenient copper-free conditions. In addition, the development of procedures based on the use of aqueous or neat water as solvent has also been carried out. However, many of these catalytic systems still lack a broad applicability and are effective only for the coupling of the “easy” aryl iodides, being employed only in a model reaction. The general use of aryl chlorides as coupling partners remains an insufficiently solved matter. No doubt that the search of more effective supported catalytic systems, suitable to perform the coupling on a broad array of substrates, under mild and environmentally friendly reaction conditions and allowing its reuse in many cycles without deterioration will continue in the next years.
Author Contributions
R.C. and I.M.P. conceived, searched the reported papers and wrote the paper; D.A.A., A.B., C.G., G.G. and D.J.R. searched the reported papers and wrote the paper.
Acknowledgments
We thank the financial support from the Spanish Ministerio de Economía, Industria y Competitividad (CTQ2015-66624-P) and the University of Alicante (UAUSTI16-03, AUSTI16-10, VIGROB-173, and VIGROB-285).
Conflicts of Interest
The authors declare no conflicts of interest.
References
- Chinchilla, R.; Nájera, C. The Sonogashira reaction: A booming methodology in synthetic organic chemistry. Chem. Rev. 2007, 107, 874–922. [Google Scholar] [CrossRef] [PubMed]
- Dieck, H.A.; Heck, F.R. Palladium catalyzed synthesis of aryl, heterocyclic, and vinylic acetylene derivatives. J. Organomet. Chem. 1975, 93, 259–263. [Google Scholar] [CrossRef]
- Cassar, L. Synthesis of aryl- and vinyl-substituted acetylene derivatives by the use of nickel and palladium complexes. J. Organomet. Chem. 1975, 93, 253–257. [Google Scholar] [CrossRef]
- Sonogashira, K.; Tohda, Y.; Hagihara, N. Convenient synthesis of acetylenes. Catalytic substitutions of acetylenic hydrogen with bromo alkenes, iodo arenes, and bromopyridines. Tetrahedron Lett. 1975, 16, 4467–4470. [Google Scholar] [CrossRef]
- Doucet, H.; Hierso, J.-C. Palladium-based catalytic systems for the synthesis of conjugated enynes by Sonogashira reactions and related alkynylations. Angew. Chem. Int. Ed. 2007, 46, 834–871. [Google Scholar] [CrossRef] [PubMed]
- Chinchilla, R.; Nájera, C. Chemicals from Alkynes with Palladium Catalysts. Chem. Rev. 2014, 114, 1783–1826. [Google Scholar] [CrossRef] [PubMed]
- Evano, G.; Blanchard, N.; Toumi, M. Copper-mediated coupling reactions and their applications in natural products and designed biomolecules synthesis. Chem. Rev. 2008, 108, 3054–3131. [Google Scholar] [CrossRef] [PubMed]
- Santoro, S.; Kozhushkov, S.I.; Ackermann, L.; Vaccaro, L. Heterogeneous catalytic approaches in C-H activation reactions. Green Chem. 2016, 18, 3471–3493. [Google Scholar] [CrossRef]
- Baeza, A.; Guillena, G.; Ramón, D.J. Magnetite and metal-impregnated magnetite catalysts in organic synthesis: A very old concept with new promising perspectives. ChemCatChem 2016, 8, 49–67. [Google Scholar] [CrossRef]
- Szollosi, G. Asymmetric one-pot reactions using heterogeneous chemical catalysis: Recent steps towards sustainable processes. Catal. Sci. Technol. 2018, 8, 389–422. [Google Scholar] [CrossRef]
- Nasrollahzadeh, M.; Atarod, M.; Alizadeh, M.; Hatamifard, A.; Sajadi, S.M. Recent advances in the application of heterogeneous nanocatalysts for Sonogashira coupling reactions. Curr. Org. Chem. 2017, 21, 708–749. [Google Scholar] [CrossRef]
- Huebner, S.; de Vries, J.G.; Farina, V. Why does industry not use immobilized transition metal complexes as catalysts? Adv. Synth. Catal. 2016, 358, 3–25. [Google Scholar] [CrossRef]
- Chinchilla, R.; Nájera, C. Recent advances in Sonogashira reactions. Chem. Soc. Rev. 2011, 40, 5084–5121. [Google Scholar] [CrossRef] [PubMed]
- Tamami, B.; Nowroozi Dodeji, F.; Ghasemi, S. Palladium nanoparticles supported on modified polystyrene resin as a polymeric catalyst for Sonogashira-Hagihara coupling reactions. Turk. J. Chem. 2015, 39, 880–885. [Google Scholar] [CrossRef]
- Bakherad, M.; Keivanloo, A.; Samangooei, S. Solvent-free Heck and copper-free Sonogashira cross-coupling reactions catalyzed by a polystyrene-anchored Pd(II) phenyldithiocarbazate complex. Tetrahedron Lett. 2012, 53, 5773–5776. [Google Scholar] [CrossRef]
- Bakherad, M.; Bahramian, B.; Jajarmi, S. A novel 1,2,4-triazine-functionalized polystyrene resin-supported Pd(II) complex: A copper- and solvent-free highly efficient catalyst for Sonogashira coupling reactions. J. Organomet. Chem. 2014, 749, 405–409. [Google Scholar] [CrossRef]
- Islam, S.M.; Salam, N.; Mondal, P.; Roy, A.S. Highly efficient recyclable polymer anchored palladium catalyst for CC and CN coupling reactions. J. Mol. Catal. A Chem. 2013, 366, 321–332. [Google Scholar] [CrossRef]
- Tamami, B.; Nezhad, M.M.; Ghasemi, S.; Farjadian, F. PCP-pincer palladium nanoparticles supported on modified Merrifield resin: A novel and efficient heterogeneous catalyst for carbon-carbon cross-coupling reactions. J. Organomet. Chem. 2013, 743, 10–16. [Google Scholar] [CrossRef]
- Jadhav, S.N.; Kumbhar, A.S.; Mali, S.S.; Hong, C.K.; Salunkhe, R.S. A Merrifield resin supported Pd-NHC complex with a spacer(Pd-NHC@SP-PS) for the Sonogashira coupling reaction under copper- and solvent-free conditions. New J. Chem. 2015, 39, 2333–2341. [Google Scholar] [CrossRef]
- Mikhaylov, V.N.; Sorokoumov, V.N.; Korvinson, K.A.; Novikov, A.S.; Balova, I.A. Synthesis and simple immobilization of palladium(II) acyclic diaminocarbene complexes on polystyrene support as efficient catalysts for Sonogashira and Suzuki-Miyaura cross-coupling. Organometallics 2016, 35, 1684–1697. [Google Scholar] [CrossRef]
- Monguchi, Y.; Sakai, K.; Endo, K.; Fujita, Y.; Niimura, M.; Yoshimura, M.; Mizusaki, T.; Sawama, Y.; Sajiki, H. Carbon-carbon bond formation by ligand-free cross-coupling reaction using palladium catalyst supported on synthetic adsorbent. ChemCatChem 2012, 4, 546–558. [Google Scholar] [CrossRef]
- Monguchi, Y.; Wakayama, F.; Ueda, S.; Ito, R.; Takada, H.; Inoue, H.; Nakamura, A.; Sawama, Y.; Sajiki, H. Amphipathic monolith-supported palladium catalysts for chemoselective hydrogenation and cross-coupling reactions. RSC Adv. 2017, 7, 1833–1840. [Google Scholar] [CrossRef]
- Kitanosono, T.; Masuda, K.; Xu, P.; Kobayashi, S. Catalytic organic reactions in water toward sustainable society. Chem. Rev. 2018, 118, 679–746. [Google Scholar] [CrossRef] [PubMed]
- Bakherad, M.; Amin, A.H.; Gholipoor, F. Synthesis and characterization of the 2-methylaminopyridine-functionalized polystyrene resin-supported Pd(II) catalyst for the Mizoroki-Heck and Sonogashira reactions in water. J. Chin. Chem. Soc. 2014, 61, 279–284. [Google Scholar] [CrossRef]
- Bakherad, M.; Keivanloo, A.; Bahramian, B.; Jajarmi, S. Suzuki, Heck, and copper-free Sonogashira reactions catalyzed by 4-amino-5-methyl-3-thio-1,2,4-triazole-functionalized polystyrene resin-supported Pd(II) under aerobic conditions in water. J. Organomet. Chem. 2013, 724, 206–212. [Google Scholar] [CrossRef]
- Bakherad, M.; Jajarmi, S. A dithizone-functionalized polystyrene resin-supported Pd(II) complex as an effective catalyst for Suzuki, Heck, and copper-free Sonogashira reactions under aerobic conditions in water. J. Mol. Catal. A Chem. 2013, 370, 152–159. [Google Scholar] [CrossRef]
- Keesara, S.; Parvathaneni, S.; Dussa, G.; Mandapati, M.R. Polystyrene supported thiopseudourea Pd(II) complex: Applications for Sonogashira, Suzuki-Miyaura, Heck, Hiyama and Larock heteroannulation reactions. J. Organomet. Chem. 2014, 765, 31–38. [Google Scholar] [CrossRef]
- Thogiti, S.; Parvathaneni, S.P.; Keesara, S. Polymer anchored 3-benzoyl-1-(1-benzylpiperidin-4-yl)-2-thiopseudourea-Pd(II) complex: An efficient catalyst for the copper and solvent free Sonogashira cross-coupling reaction. J. Organomet. Chem. 2016, 822, 165–172. [Google Scholar] [CrossRef]
- Nasrollahzadeh, M.; Khalaj, M.; Ehsani, A. A heterogeneous and reusable nanopolymer-supported palladium catalyst for the copper- and phosphine-free Sonogashira coupling reaction under aerobic conditions in water. Tetrahedron Lett. 2014, 55, 5298–5301. [Google Scholar] [CrossRef]
- Heravi, M.M.; Hashemi, E.; Beheshtiha, Y.S.; Ahmadi, S.; Hosseinnejad, T. PdCl2 on modified poly(styrene-co-maleic anhydride): A highly active and recyclable catalyst for the Suzuki-Miyaura and Sonogashira reactions. J. Mol. Catal. A Chem. 2014, 394, 74–82. [Google Scholar] [CrossRef]
- Sun, Q.; Zhu, L.F.; Sun, Z.H.; Meng, X.J.; Xiao, F.-S. Porous polymer supported palladium catalyst for cross coupling reactions with high activity and recyclability. Sci. China Chem. 2012, 55, 2095–2103. [Google Scholar] [CrossRef]
- Bakherad, M.; Keivanloo, A.; Samangooei, S.; Omidian, M. A phenyldithiocarbazate-functionalized polyvinyl chloride resin-supported Pd(II) complex as an effective catalyst for solvent- and copper-free Sonogashira reactions under aerobic conditions. J. Organomet. Chem. 2013, 740, 78–82. [Google Scholar] [CrossRef]
- Bakherad, M.; Keivanloo, A.; Hadi, A.; Siavoshi, M. Copper-free Sonogashira coupling reaction catalyzed by PVC-supported triazine palladium(II) complex under aerobic conditions. Asian J. Org. Chem. 2014, 3, 1189–1192. [Google Scholar] [CrossRef]
- Samarasimhareddy, B.M.; Prabhu, G.; Sureshbabu, V.V. A simple and greener approach for the synthesis of PVC supported Pd (0): Application to Heck and Sonogashira reactions in water. Tetrahedron Lett. 2014, 55, 2256–2260. [Google Scholar] [CrossRef][Green Version]
- Yang, J.; Zhang, X.; Yu, W.; Liu, W.; Bian, F. Chelidamic acid functionalized stimuli-responsive hydrogel supported-palladium catalyst for copper-free Sonogashira reaction in aqueous media. React. Funct. Polym. 2013, 73, 710–718. [Google Scholar] [CrossRef]
- Shunmughanathan, M.; Puthiaraj, P.; Pitchumani, K. Melamine-based microporous network polymer supported palladium nanoparticles: A stable and efficient catalyst for the Sonogashira coupling reaction in water. ChemCatChem 2015, 7, 666–673. [Google Scholar] [CrossRef]
- Yi, W.-B.; Shi, X.-L.; Cai, C.; Zhang, W. Polymer-supported Pd(0) catalyst for copper- and ligand-free Sonogashira reactions in aqueous media. Green Process. Synth. 2012, 1, 175–180. [Google Scholar] [CrossRef]
- Ren, X.; Kong, S.; Shu, Q.; Shu, M. Palladium nanoparticles supported on a porous organic polymer: An efficient catalyst for Suzuki-Miyaura and Sonogashira coupling reactions. Chin. J. Chem. 2016, 34, 373–380. [Google Scholar] [CrossRef]
- Shao, L.; Qi, C. Supported palladium nanoparticles on preoxidated polyacrylonitrile fiber mat for coupling reactions. Fibers Polym. 2014, 15, 2233–2237. [Google Scholar] [CrossRef]
- Evangelisti, C.; Balerna, A.; Psaro, R.; Fusini, G.; Carpita, A.; Benfatto, M. Characterization of a poly-4-vinylpyridine-supported CuPd bimetallic catalyst for Sonogashira coupling reactions. ChemPhysChem 2017, 18, 1921–1928. [Google Scholar] [CrossRef] [PubMed]
- Ghaderi, A.; Gholinejad, M.; Firouzabadi, H. Palladium deposited on naturally occurring supports as a powerful catalyst for carbon-carbon bond formation reactions. Curr. Org. Chem. 2016, 20, 327–348. [Google Scholar] [CrossRef]
- Kumbhar, A.; Salunkhe, R. Recent advances in biopolymer supported palladium in organic synthesis. Curr. Org. Chem. 2015, 19, 2075–2121. [Google Scholar] [CrossRef]
- Gholinejad, M.; Jeddi, N.; Pullithadathil, B. Agarose functionalized phosphorus ligand for stabilization of small-sized palladium and copper nanoparticles: Efficient heterogeneous catalyst for Sonogashira reaction. Tetrahedron 2016, 72, 2491–2500. [Google Scholar] [CrossRef]
- Firouzabadi, H.; Iranpoor, N.; Kazemi, F.; Gholinejad, M. Palladium nano-particles supported on agarose as efficient catalyst and bioorganic ligand for C-C bond formation via solventless Mizoroki-Heck reaction and Sonogashira-Hagihara reaction in polyethylene glycol (PEG 400). J. Mol. Catal. A Chem. 2012, 357, 154–161. [Google Scholar] [CrossRef]
- Keshipour, S.; Shojaei, S.; Shaabani, A. Palladium nano-particles supported on ethylenediamine-functionalized cellulose as a novel and efficient catalyst for the Heck and Sonogashira couplings in water. Cellulose 2013, 20, 973–980. [Google Scholar] [CrossRef]
- Chen, W.; Zhong, L.-X.; Peng, X.-W.; Wang, K.; Chen, Z.-F.; Sun, R.-C. Xylan-type hemicellulose supported palladium nanoparticles: A highly efficient and reusable catalyst for the carbon-carbon coupling reactions. Catal. Sci. Technol. 2014, 4, 1426–1435. [Google Scholar] [CrossRef]
- Khazaei, A.; Rahmati, S.; Saednia, S. An efficient ligand- and copper-free Sonogashira reaction catalyzed by palladium nanoparticles supported on pectin. Catal. Commun. 2013, 37, 9–13. [Google Scholar] [CrossRef]
- Frindy, S.; Primo, A.; Lahcini, M.; Bousmina, M.; Garcia, H.; El Kadib, A. Pd embedded in chitosan microspheres as tunable soft-materials for Sonogashira cross-coupling in water-ethanol mixture. Green Chem. 2015, 17, 1893–1898. [Google Scholar] [CrossRef]
- Yang, Q.-L.; Quan, Z.-J.; Du, B.-X.; Wu, S.; Zhang, Y.-P.; Li, P.-D.; Wang, M.-M.; Lei, Z.-Q.; Wang, X.-C. C-C/C-N cross-coupling reactions of aryl sulfonates catalyzed by an eco-friendly and reusable heterogeneous catalyst: Wool-Pd complex. RSC Adv. 2015, 5, 59770–59779. [Google Scholar] [CrossRef]
- Camacho, A.S.; Martin-Garcia, I.; Contreras-Celedon, C.; Chacon-Garcia, L.; Alonso, F. DNA-supported palladium nanoparticles as a reusable catalyst for the copper- and ligand-free Sonogashira reaction. Catal. Sci. Technol. 2017, 7, 2262–2273. [Google Scholar] [CrossRef]
- Nasrollahzadeh, M.; Issaabadi, Z.; Tohidi, M.M.; Mohammad Sajadi, S. Recent progress in application of graphene supported metal nanoparticles in C-C and C-X coupling reactions. Chem. Rec. 2017, 18, 165–229. [Google Scholar] [CrossRef] [PubMed]
- Wang, P.; Wang, G.-Y.; Qiao, W.-L.; Feng, Y.-S. Mesoporous carbon supporting Pd(0) as a highly efficient and stable catalyst for Sonogashira reaction in aqueous media. Catal. Lett. 2016, 146, 1792–1799. [Google Scholar] [CrossRef]
- Moussa, S.; Siamaki, A.R.; Gupton, B.F.; El-Shall, M.S. Pd-partially reduced graphene oxide catalysts (Pd/PRGO): Laser synthesis of Pd nanoparticles supported on PRGO nanosheets for carbon-carbon cross coupling reactions. ACS Catal. 2012, 2, 145–154. [Google Scholar] [CrossRef]
- Kim, B.-H.; Lee, S.-H.; Han, S.-W.; Ahn, S.; Noh, J.; Park, J.B. Anatomy of high recyclability of graphene oxide based palladium nanocomposites in the Sonogashira reaction: On the nature of the catalyst deactivation. Mater. Express 2016, 6, 61–68. [Google Scholar] [CrossRef]
- Nakhate, A.V.; Yadav, G.D. Palladium nanoparticles supported carbon based graphene oxide monolith as catalyst for Sonogashira coupling and hydrogenation of nitrobenzene and alkenes. ChemistrySelect 2016, 1, 3954–3965. [Google Scholar] [CrossRef]
- Modak, A.; Bhaumik, A. Surface-exposed Pd nanoparticles supported over nanoporous carbon hollow tubes as an efficient heterogeneous catalyst for the C-C bond formation and hydrogenation reactions. J. Mol. Catal. A Chem. 2016, 425, 147–156. [Google Scholar] [CrossRef]
- Rossy, C.; Majimel, J.; Fouquet, E.; Delacote, C.; Boujtita, M.; Labrugere, C.; Treguer-Delapierre, M.; Felpin, F.-X. Stabilisation of carbon-supported palladium nanoparticles through the formation of an alloy with gold: Application to the Sonogashira reaction. Chem. Eur. J. 2013, 19, 14024–14029. [Google Scholar] [CrossRef] [PubMed]
- Ohtaka, A.; Sansano, J.M.; Nájera, C.; Miguel-García, I.; Berenguer-Murcia, A.; Cazorla-Amorós, D. Palladium and bimetallic palladium-nickel nanoparticles supported on multiwalled carbon nanotubes: Application to carbon-carbon bond-forming reactions in water. ChemCatChem 2015, 7, 1841–1847. [Google Scholar] [CrossRef]
- Shaabani, A.; Mahyari, M. PdCo bimetallic nanoparticles supported on PPI-grafted graphene as an efficient catalyst for Sonogashira reactions. J. Mater. Chem. A 2013, 1, 9303–9311. [Google Scholar] [CrossRef]
- Feng, Y.-S.; Lin, X.-Y.; Hao, J.; Xu, H.-J. Pd-Co bimetallic nanoparticles supported on graphene as a highly active catalyst for Suzuki-Miyaura and Sonogashira cross-coupling reactions. Tetrahedron 2014, 70, 5249–5253. [Google Scholar] [CrossRef]
- Dabiri, M.; Vajargahy, M.P. PdCo bimetallic nanoparticles supported on three-dimensional graphene as a highly active catalyst for Sonogashira cross-coupling reaction. Appl. Organomet. Chem. 2017, 31, e3594. [Google Scholar] [CrossRef]
- Diyarbakir, S.; Can, H.; Metin, O. Reduced graphene oxide-supported CuPd alloy nanoparticles as efficient catalysts for the Sonogashira cross-coupling reactions. ACS Appl. Mater. Interfaces 2015, 7, 3199–3206. [Google Scholar] [CrossRef] [PubMed]
- Hoseini, S.J.; Aramesh, N.; Bahrami, M. Effect of addition of iron on morphology and catalytic activity of PdCu nanoalloy thin film as catalyst in Sonogashira coupling reaction. Appl. Organomet. Chem. 2017, 31, e3675. [Google Scholar] [CrossRef]
- Gholinejad, M.; Ahmadi, J.; Nájera, C.; Seyedhamzeh, M.; Zareh, F.; Kompany-Zareh, M. Graphene quantum dot modified Fe3O4 nanoparticles stabilize PdCu nanoparticles for enhanced catalytic activity in the Sonogashira reaction. ChemCatChem 2017, 9, 1442–1449. [Google Scholar] [CrossRef]
- Navidi, M.; Rezaei, N.; Movassagh, B. Palladium(II)-Schiff base complex supported on multi-walled carbon nanotubes: A heterogeneous and reusable catalyst in the Suzuki-Miyaura and copper-free Sonogashira-Hagihara reactions. J. Organomet. Chem. 2013, 743, 63–69. [Google Scholar] [CrossRef]
- Adib, M.; Karimi-Nami, R.; Veisi, H. Palladium NPs supported on novel imino-pyridine-functionalized MWCNTs: Efficient and highly reusable catalysts for the Suzuki-Miyaura and Sonogashira coupling reactions. New J. Chem. 2016, 40, 4945–4951. [Google Scholar] [CrossRef]
- Abbasi, S.; Hekmati, M. Functionalization of multi-walled carbon nanotubes with pramipexole for immobilization of palladium nanoparticles and investigation of catalytic activity in the Sonogashira coupling reaction. Appl. Organomet. Chem. 2017, 31, e3600. [Google Scholar] [CrossRef]
- Kim, S.; Cho, H.-J.; Shin, D.-S.; Lee, S.-M. Recyclable and eco-friendly Pd-complexed graphene oxide/N-heterocyclic carbene catalyst for various coupling reactions in aqueous phase. Tetrahedron Lett. 2017, 58, 2421–2425. [Google Scholar] [CrossRef]
- Hezarkhani, Z.; Shaabani, A. Palladium(II) tetrasulfophthalocyanine covalently immobilized on keratin protein grafted graphene oxide nanosheets as a new high-performance catalyst for C-C coupling reactions. RSC Adv. 2016, 6, 98956–98967. [Google Scholar] [CrossRef]
- Opanasenko, M.; Štěpnička, P.; Čejka, J. Heterogeneous Pd catalysts supported on silica matrices. RSC Adv. 2014, 4, 65137–65162. [Google Scholar] [CrossRef]
- Veerakumar, P.; Thanasekaran, P.; Lu, K.-L.; Liu, S.-B.; Rajagopal, S. Functionalized silica matrices and palladium: A versatile heterogeneous catalyst for Suzuki, Heck, and Sonogashira reactions. ACS Sustain. Chem. Eng. 2017, 5, 6357–6376. [Google Scholar] [CrossRef]
- Veerakumar, P.; Velayudham, M.; Lu, K.-L.; Rajagopal, S. Silica-supported PEI capped nanopalladium as potential catalyst in Suzuki, Heck and Sonogashira coupling reactions. Appl. Catal. A 2013, 455, 247–260. [Google Scholar] [CrossRef]
- Hajipour, A.R.; Shirdashtzade, Z.; Azizi, G. Copper- and phosphine-free Sonogashira coupling reaction catalyzed by silica-(acac)-supported palladium nanoparticles in water. Appl. Organomet. Chem. 2014, 28, 696–698. [Google Scholar] [CrossRef]
- Dehbanipour, Z.; Moghadam, M.; Tangestaninejad, S.; Mirkhani, V.; Mohammadpoor-Baltork, I. Nano-silica supported palladium catalyst: Synthesis, characterization and application of its activity in Sonogashira cross-coupling reactions. J. Organomet. Chem. 2017, 853, 5–12. [Google Scholar] [CrossRef]
- Ghiaci, M.; Zarghani, M.; Moeinpour, F.; Khojastehnezhad, A. Preparation, characterization and application of silica-supported palladium complex as a new and heterogeneous catalyst for Suzuki and Sonogashira reactions. Appl. Organomet. Chem. 2014, 28, 589–594. [Google Scholar] [CrossRef]
- Ghiaci, M.; Zarghani, M.; Khojastehnezhad, A.; Moeinpour, F. Preparation, characterization and first application of silica supported palladium-N-heterocyclic carbene as a heterogeneous catalyst for C-C coupling reactions. RSC Adv. 2014, 4, 15496–15501. [Google Scholar] [CrossRef]
- Farjadian, F.; Tamami, B. Poly(vinylpyridine)-grafted silica containing palladium or nickel nanoparticles as heterogeneous catalysts for the Sonogashira coupling reaction. ChemPlusChem 2014, 79, 1767–1773. [Google Scholar] [CrossRef]
- Tamami, R.; Farjadian, F.; Ghasemi, S.; Allahyari, H.; Mirzadeh, M. Palladium nanoparticles supported on poly(N-vinylpyrrolidone)-grafted silica as an efficient catalyst for copper-free Sonogashira and Suzuki cross-coupling reactions. J. Braz. Chem. Soc. 2015, 26, 1591–1598. [Google Scholar] [CrossRef]
- Tamami, B.; Farjadian, F.; Ghasemi, S.; Allahyari, H. Synthesis and applications of polymeric N-heterocyclic carbene palladium complex-grafted silica as a novel recyclable nano-catalyst for Heck and Sonogashira coupling reactions. New J. Chem. 2013, 37, 2011–2018. [Google Scholar] [CrossRef]
- Esmaeilpour, M.; Sardarian, A.; Javidi, J. Dendrimer-encapsulated Pd(0) nanoparticles immobilized on nanosilica as a highly active and recyclable catalyst for the copper- and phosphine-free Sonogashira-Hagihara coupling reactions in water. Catal. Sci. Technol. 2016, 6, 4005–4019. [Google Scholar] [CrossRef]
- Sarkar, S.M.; Yusoff, M.M.; Rahman, M.L. Mesoporous silica MCM-41 supported N-heterocyclic carbene-Pd complex for Heck and Sonogashira coupling reactions. J. Chin. Chem. Soc. 2015, 62, 33–40. [Google Scholar] [CrossRef]
- Sarkar, S.M.; Rahman, M.L.; Yusoff, M.M. Pyridinyl functionalized MCM-48 supported highly active heterogeneous palladium catalyst for cross-coupling reactions. RSC Adv. 2015, 5, 19630–19637. [Google Scholar] [CrossRef]
- Sarkar, S.M.; Rahman, M.L.; Yusoff, M.M. Highly active thiol-functionalized SBA-15 supported palladium catalyst for Sonogashira and Suzuki-Miyaura cross-coupling reactions. RSC Adv. 2015, 5, 1295–1300. [Google Scholar] [CrossRef]
- Sarkar, S.M.; Rahman, M.L.; Yusoff, M.M. Heck, Suzuki and Sonogashira cross-coupling reactions using ppm level of SBA-16 supported Pd-complex. New J. Chem. 2015, 39, 3564–3570. [Google Scholar] [CrossRef]
- Sharma, P.; Singh, A.P. Phosphine free SBA-15-EDTA-Pd highly active recyclable catalyst: Synthesis characterization and application for Suzuki and Sonogashira reaction. Catal. Sci. Technol. 2014, 4, 2978–2989. [Google Scholar] [CrossRef]
- Singh, C.; Jawade, K.; Sharma, P.; Singh, A.P.; Kumar, P. Carbon-carbon bond forming reactions: Application of covalently anchored 2,4,6-triallyloxy-1,3,5-triazine (TAT) Pd(II) complex over modified surface of SBA-15 to Heck, Suzuki, Sonogashira and Hiyama cross coupling reactions. Catal. Commun. 2015, 69, 11–15. [Google Scholar] [CrossRef]
- Kozell, V.; McLaughlin, M.; Strappaveccia, G.; Santoro, S.; Bivona, L.A.; Aprile, C.; Gruttadauria, M.; Vaccaro, L. Sustainable approach to waste-minimized Sonogashira cross-coupling reaction based on recoverable/reusable heterogeneous catalytic/base system and acetonitrile azeotrope. ACS Sustain. Chem. Eng. 2016, 4, 7209–7216. [Google Scholar] [CrossRef]
- Modak, A.; Mondal, J.; Bhaumik, A. Pd-grafted periodic mesoporous organosilica: An efficient heterogeneous catalyst for Hiyama and Sonogashira couplings, and cyanation reactions. Green Chem. 2012, 14, 2840–2855. [Google Scholar] [CrossRef]
- Borja, G.; Monge-Marcet, A.; Pleixats, R.; Parella, T.; Cattoen, X.; Wong, C.M.M. Recyclable hybrid silica-based catalysts derived from Pd-NHC complexes for Suzuki, Heck and Sonogashira reactions. Eur. J. Org. Chem. 2012, 2012, 3625–3635. [Google Scholar] [CrossRef]
- Ciriminna, R.; Pandarus, V.; Gingras, G.; Beland, F.; Demma, C.P.; Pagliaro, M. Heterogeneous Sonogashira coupling over nanostructured SiliaCat Pd(0). ACS Sustain. Chem. Eng. 2013, 1, 57–61. [Google Scholar] [CrossRef]
- D’Attoma, J.; Cozien, G.; Brun, P.L.; Robin, Y.; Bostyn, S.; Buron, F.; Routier, S. Fast functionalization of (7-aza)indoles using continuous flow processes. ChemistrySelect 2016, 1, 338–342. [Google Scholar] [CrossRef]
- Cano, R.; Yus, M.; Ramón, D.J. Impregnated copper or palladium-copper on magnetite as catalysts for the domino and stepwise Sonogashira-cyclization processes: A straightforward synthesis of benzo[b]furans and indoles. Tetrahedron 2012, 68, 1393–1400. [Google Scholar] [CrossRef]
- Kwon, J.; Chung, J.; Byun, S.; Kim, B.M. Efficient synthesis of indole derivatives via tandem cyclization catalyzed by magnetically recoverable palladium/magnetite (Pd-Fe3O4) nanocrystals. Asian J. Org. Chem. 2016, 5, 470–476. [Google Scholar] [CrossRef]
- Singh, A.S.; Shendage, S.S.; Nagarkar, J.M. Palladium supported on zinc ferrite: An efficient catalyst for ligand free C-C and C-O cross coupling reactions. Tetrahedron Lett. 2013, 54, 6319–6323. [Google Scholar] [CrossRef]
- Firouzabadi, H.; Iranpoor, N.; Gholinejad, M.; Akbari, S.; Jeddi, N. Palladium nanoparticles supported on agarose-functionalized magnetic nanoparticles of Fe3O4 as a recyclable catalyst for C-C bond formation via Suzuki-Miyaura, Heck-Mizoroki and Sonogashira-Hagihara coupling reactions. RSC Adv. 2014, 4, 17060–17070. [Google Scholar] [CrossRef]
- Kim, M.; Kang, H.; Park, K.H. Pd nanoparticles supported on Fe3O4@amine-functionalized graphene composite and catalytic performance in Sonogashira cross-coupling reactions. Catal. Commun. 2015, 72, 150–155. [Google Scholar] [CrossRef]
- Veisi, H.; Sedrpoushan, A.; Maleki, B.; Hekmati, M.; Heidari, M.; Hemmati, S. Palladium immobilized on amidoxime-functionalized magnetic Fe3O4 nanoparticles: A highly stable and efficient magnetically recoverable nanocatalyst for sonogashira coupling reaction. Appl. Organomet. Chem. 2015, 29, 834–839. [Google Scholar] [CrossRef]
- Adib, M.; Yasaei, Z.; Karimi-Nami, R.; Khakyzadeh, V.; Veisi, H. Facile preparation of highly stable and active hybrid palladium nanoparticles: Effectual, reusable and heterogeneous catalyst for coupling reactions. Appl. Organomet. Chem. 2016, 30, 748–752. [Google Scholar] [CrossRef]
- Salemi, H.; Kaboudin, B.; Kazemi, F.; Yokomatsu, T. Highly water-dispersible magnetite nanoparticle supported-palladium-β-cyclodextrin as an efficient catalyst for Suzuki-Miyaura and Sonogashira coupling reactions. RSC Adv. 2016, 6, 52656–52664. [Google Scholar] [CrossRef]
- Aghayee, M.; Zolfigol, M.A.; Keypour, H.; Yarie, M.; Mohammadi, L. Synthesis and characterization of a novel magnetic nano-palladium Schiff base complex: Application in cross-coupling reactions. Appl. Organomet. Chem. 2016, 30, 612–618. [Google Scholar] [CrossRef]
- Li, P.; Wang, L.; Zhang, L.; Wang, G.-W. Magnetic nanoparticles-supported palladium: A highly efficient and reusable catalyst for the Suzuki, Sonogashira, and Heck reactions. Adv. Synth. Catal. 2012, 354, 1307–1318. [Google Scholar] [CrossRef]
- Elhampour, A.; Nemati, F.; Nahzomi, H.T.; Mohagheghi, V. Magnetic nanoparticle-supported tetrazole-functionalized palladium catalyst: Synthesis, DFT study and application for Sonogashira and Heck cross-coupling reactions. Res. Chem. Intermed. 2017, 43, 6737–6761. [Google Scholar] [CrossRef]
- Firuzabadi, F.D.; Asadi, Z.; Panahi, F. Immobilized NNN Pd-complex on magnetic nanoparticles: Efficient and reusable catalyst for Heck and Sonogashira coupling reactions. RSC Adv. 2016, 6, 101061–101070. [Google Scholar] [CrossRef]
- Gholinejad, M.; Neshat, A.; Zareh, F.; Najera, C.; Razeghi, M.; Khoshnood, A. Palladium supported on bis(indolyl)methane functionalized magnetite nanoparticles as an efficient catalyst for copper-free Sonogashira-Hagihara reaction. Appl. Catal. A 2016, 525, 31–40. [Google Scholar] [CrossRef]
- Esmaeilpour, M.; Sardarian, A.R.; Javidi, J. Synthesis and characterization of Schiff base complex of Pd(II) supported on superparamagnetic Fe3O4@SiO2 nanoparticles and its application as an efficient copper- and phosphine ligand-free recyclable catalyst for Sonogashira-Hagihara coupling reactions. J. Organomet. Chem. 2014, 749, 233–240. [Google Scholar] [CrossRef]
- Li, W.; Jia, X.; Zhang, B.; Tian, L.; Li, X.; Zhang, H.; Zhang, Q. Fabrication of PEI grafted Fe3O4/SiO2/P(GMA-co-EGDMA) nanoparticle anchored palladium nanocatalyst and its application in Sonogashira cross-coupling reactions. New J. Chem. 2015, 39, 2925–2934. [Google Scholar] [CrossRef]
- Elhampour, A.; Nemati, F. Palladium nanoparticles supported on modified hollow-Fe3O4@TiO2: Catalytic activity in Heck and Sonogashira cross coupling reactions. Org. Prep. Proced. Int. 2017, 49, 443–458. [Google Scholar] [CrossRef]
- Sobhani, S.; Zeraatkar, Z.; Zarifi, F. Pd complex of an NNN pincer ligand supported on γ-Fe2O3@SiO2 magnetic nanoparticles: A new catalyst for Heck, Suzuki and Sonogashira coupling reactions. New J. Chem. 2015, 39, 7076–7085. [Google Scholar] [CrossRef]
- Bahadorikhalili, S.; Ma’mani, L.; Mahdavi, H.; Shafiee, A. Palladium catalyst supported on PEGylated imidazolium based phosphinite ionic liquid-modified magnetic silica core-shell nanoparticles: A worthy and highly water-dispersible catalyst for organic reactions in water. RSC Adv. 2015, 5, 71297–71305. [Google Scholar] [CrossRef]
- Deraedt, C.; Wang, D.; Salmon, L.; Etienne, L.; Labrugere, C.; Ruiz, J.; Astruc, D. Robust, efficient, and recyclable catalysts from the impregnation of preformed dendrimers containing palladium nanoparticles on a magnetic support. ChemCatChem 2015, 7, 303–308. [Google Scholar] [CrossRef]
- Tukhani, M.; Panahi, F.; Khalafi-Nezhad, A. Supported palladium on magnetic nanoparticles-starch substrate (Pd-MNPSS): Highly efficient magnetic reusable catalyst for C-C coupling reactions in water. ACS Sustain. Chem. Eng. 2018, 6, 1456–1467. [Google Scholar] [CrossRef]
- Gholinejad, M.; Ahmadi, J. Assemblies of copper ferrite and palladium nanoparticles on silica microparticles as a magnetically recoverable catalyst for Sonogashira reaction under mild conditions. ChemPlusChem 2015, 80, 973–979. [Google Scholar] [CrossRef]
- Maity, M.; Maitra, U. An easily prepared palladium-hydrogel nanocomposite catalyst for C-C coupling reactions. J. Mater. Chem. A 2014, 2, 18952–18958. [Google Scholar] [CrossRef]
- Jadhav, S.; Jagdale, A.; Kamble, S.; Kumbhar, A.; Salunkhe, R. Palladium nanoparticles supported on a titanium dioxide cellulose composite (PdNPs@TiO2-Cell) for ligand-free carbon-carbon cross coupling reactions. RSC Adv. 2016, 6, 3406–3420. [Google Scholar] [CrossRef]
- Gholinejad, M.; Bahrami, M.; Nájera, C.; Pullithadathil, B. Magnesium oxide supported bimetallic Pd/Cu nanoparticles as an efficient catalyst for Sonogashira reaction. J. Catal. 2018. Ahead of Print. [Google Scholar] [CrossRef]
- Sadjadi, S. Palladium nanoparticles immobilized on cyclodextrin-decorated halloysite nanotubes as Efficient heterogeneous catalyst for promoting copper- and ligand-free Sonogashira reaction in water-ethanol mixture. Appl. Organomet. Chem. 2018, 32, e4211. [Google Scholar] [CrossRef]
- Sadjadi, S.; Heravi, M.M.; Raja, M. Combination of carbon nanotube and cyclodextrin nanosponge chemistry to develop a heterogeneous Pd-based catalyst for ligand and copper free C-C coupling reactions. Carbohydr. Polym. 2018, 185, 48–55. [Google Scholar] [CrossRef] [PubMed]
- Zhang, Y.; Ying, J.Y. Main-chain organic frameworks with advanced catalytic functionalities. ACS Catal. 2015, 5, 2681–2691. [Google Scholar] [CrossRef]
- Dhakshinamoorthy, A.; García, H. Catalysis by metal nanoparticles embedded on metal-organic frameworks. Chem. Soc. Rev. 2012, 41, 5262–5284. [Google Scholar] [CrossRef] [PubMed]
- Aijaz, A.; Xu, Q. Catalysis with metal nanoparticles immobilized within the pores of metal-organic frameworks. J. Phys. Chem. Lett. 2014, 5, 1400–1411. [Google Scholar] [CrossRef] [PubMed]
- Pachfule, P.; Panda, M.K.; Kandambeth, S.; Shivaprasad, S.M.; Diaz, D.D.; Banerjee, R. Multifunctional and robust covalent organic framework-nanoparticle hybrids. J. Mater. Chem. A 2014, 2, 7944–7952. [Google Scholar] [CrossRef]
- Annapurna, M.; Parsharamulu, T.; Vishnuvardhan Reddy, P.; Suresh, M.; Likhar, P.R.; Lakshmi Kantam, M. Nano palladium supported on high-surface-area metal-organic framework MIL-101: An efficient catalyst for Sonogashira coupling of aryl and heteroaryl bromides with alkynes. Appl. Organomet. Chem. 2015, 29, 234–239. [Google Scholar] [CrossRef]
- Roy, A.S.; Mondal, J.; Banerjee, B.; Mondal, P.; Bhaumik, A.; Islam, S.M. Pd-grafted porous metal-organic framework material as an efficient and reusable heterogeneous catalyst for C-C coupling reactions in water. Appl. Catal. A 2014, 469, 320–327. [Google Scholar] [CrossRef]
- Ezugwu, C.I.; Mousavi, B.; Asraf, M.A.; Luo, Z.; Verpoort, F. Post-synthetic modified MOF for Sonogashira cross-coupling and Knoevenagel condensation reactions. J. Catal. 2016, 344, 445–454. [Google Scholar] [CrossRef]
- Zhang, S.; Liu, Q.; Shen, M.; Hu, B.; Chen, Q.; Li, H.; Amoureux, J.-P. A facile route for preparing a mesoporous palladium coordination polymer as a recyclable heterogeneous catalyst. Dalton Trans. 2012, 41, 4692–4698. [Google Scholar] [CrossRef] [PubMed]
- Baghbanian, S.M.; Yadollahy, H.; Tajbakhsh, M.; Farhang, M.; Biparva, P. Palladium nanoparticles supported on natural nanozeolite clinoptilolite as a catalyst for ligand and copper-free C-C and C-O cross coupling reactions in aqueous medium. RSC Adv. 2014, 4, 62532–62543. [Google Scholar] [CrossRef]
- Yum, E.K.; Hong, K.B. Synthesis of pyrrolo-heterocycles via Pd-loaded zeolite catalyzed annulation of o-haloaromatic amine with terminal alkynes. Tetrahedron 2017, 73, 6581–6586. [Google Scholar] [CrossRef]
- Borah, B.J.; Dutta, D.K. In situ stabilization of Pd0-nanoparticles into the nanopores of modified Montmorillonite: Efficient heterogeneous catalysts for Heck and Sonogashira coupling reactions. J. Mol. Catal. A Chem. 2013, 366, 202–209. [Google Scholar] [CrossRef]
- Xu, W.; Sun, H.; Yu, B.; Zhang, G.; Zhang, W.; Gao, Z. Sonogashira couplings on the surface of montmorillonite-supported Pd/Cu nanoalloys. ACS Appl. Mater. Interfaces 2014, 6, 20261–20268. [Google Scholar] [CrossRef] [PubMed]
- Zhao, X.; Liu, X.; Zhu, Y.; Lu, M. Palladium nanoparticles embedded in improved mesoporous silica: A pH-triggered phase transfer catalyst for Sonogashira reaction. Appl. Organomet. Chem. 2015, 29, 674–677. [Google Scholar] [CrossRef]
- Wang, B.; Guo, X.; Jin, G.; Guo, X. Visible-light-enhanced photocatalytic Sonogashira reaction over silicon carbide supported Pd nanoparticles. Catal. Commun. 2017, 98, 81–84. [Google Scholar] [CrossRef]
- Elhage, A.; Lanterna, A.E.; Scaiano, J.C. Light-induced Sonogashira C-C coupling under mild conditions using supported palladium nanoparticles. ACS Sustain. Chem. Eng. 2018, 6, 1717–1722. [Google Scholar] [CrossRef]
- Hosseini-Sarvari, M.; Razmi, Z.; Doroodmand, M.M. Palladium supported on zinc oxide nanoparticles. Synthesis, characterization, and application as heterogeneous catalyst for Mizoroki-Heck and Sonogashira reactions under ligand-free and air atmosphere conditions. Appl. Catal. A 2014, 475, 477–486. [Google Scholar] [CrossRef]
- Li, X.; Gong, X.; Li, Z.; Chang, H.; Gao, W.; Wei, W. Ligand- and copper-free Sonogashira and Heck couplings of (Het)aryl chlorides and bromides catalyzed by palladium nanoparticles supported on in situ generated Al(OH)3. RSC Adv. 2017, 7, 2475–2479. [Google Scholar] [CrossRef]
- Bilakanti, V.; Boosa, V.; Velisoju, V.K.; Gutta, N.; Medak, S.; Akula, V. Role of surface basic sites in Sonogashira coupling reaction over Ca5(PO4)3OH supported Pd catalyst: Investigation by diffuse reflectance infrared Fourier transform spectroscopy. J. Phys. Chem. C 2017, 121, 22191–22198. [Google Scholar] [CrossRef]
- Korzec, M.; Bartczak, P.; Niemczyk, A.; Szade, J.; Kapkowski, M.; Zenderowska, P.; Balin, K.; Lelatko, J.; Polanski, J. Bimetallic nano-Pd/PdO/Cu system as a highly effective catalyst for the Sonogashira reaction. J. Catal. 2014, 313, 1–8. [Google Scholar] [CrossRef]
© 2018 by the authors. Licensee MDPI, Basel, Switzerland. This article is an open access article distributed under the terms and conditions of the Creative Commons Attribution (CC BY) license (http://creativecommons.org/licenses/by/4.0/).




































