Eco-Friendly Synthesis of Zn-Doped CuO Nanoparticles Using Aloysia citrodora Extract for Highly Efficient Fenton-like Dye Degradation
Abstract
1. Introduction
2. Results and Discussion
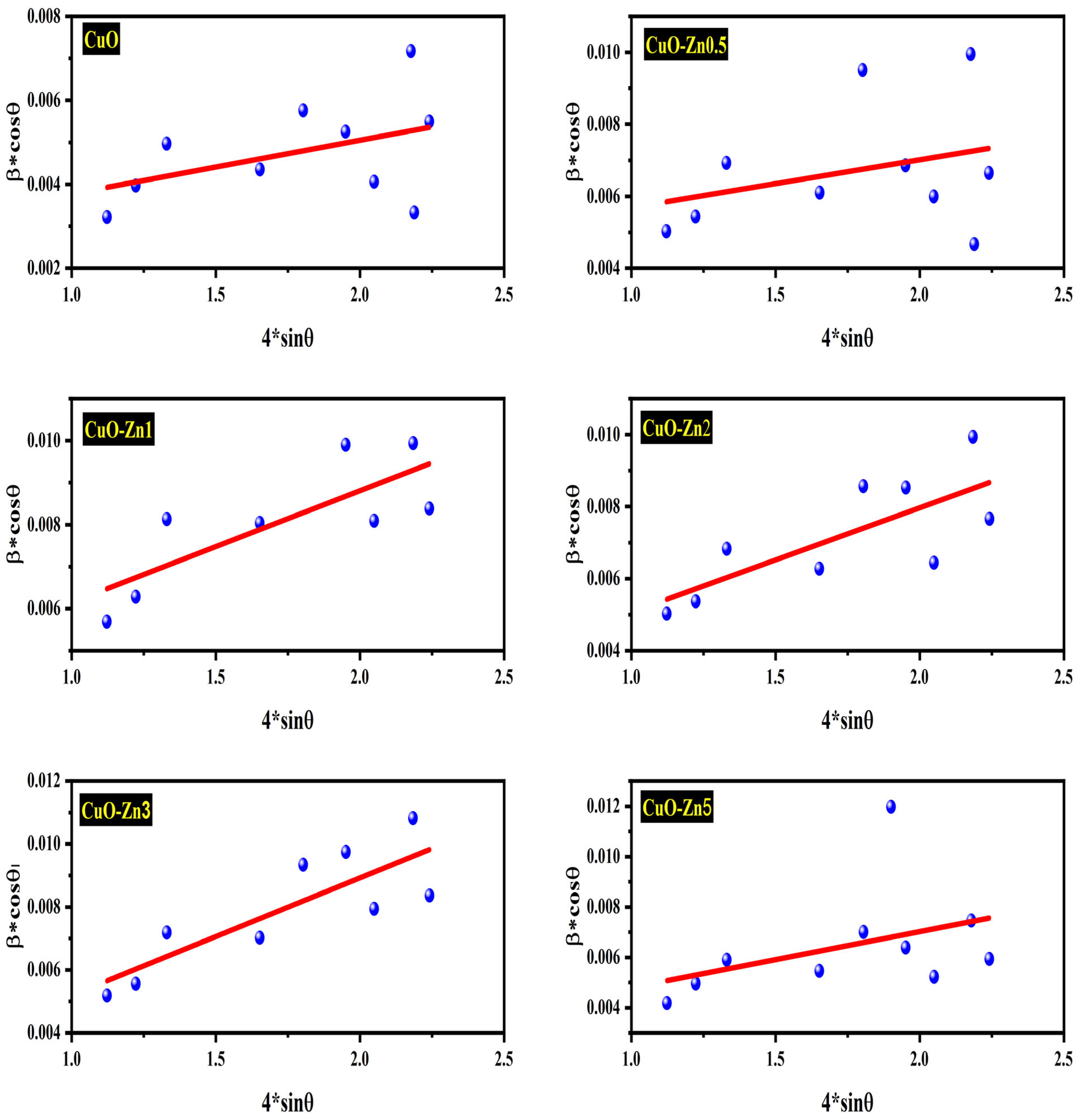
2.1. XRD Pattern Interpretation
2.2. Raman Spectroscopy Analysis
2.3. Fourier Transform Infrared (FTIR) Spectroscopy Analysis
2.4. Morphological and Compositional Analysis (SEM-EDX)
2.4.1. SEM Results
2.4.2. EDX Results
2.5. Catalytic Degradation of Rhodamine B
2.5.1. Effect of Zn Doping Amount on Rhodamine B Removal
2.5.2. Effect of pH
2.5.3. Effect of Catalyst Dosage
2.5.4. Effect of H2O2 Amount
2.5.5. Effect of Initial Rhodamine B Concentration
2.5.6. Effect of Scavengers
2.5.7. Suggested Heterogeneous Fenton-like Reaction Mechanism
2.5.8. Reusability of Catalyst
2.5.9. Comparative Study
| Catalyst | Synthesis Method | Degradation Process | Time (min) | Catalyst Loading | H2O2 Concentration | Degradation Efficiency (%) | Ref. |
|---|---|---|---|---|---|---|---|
| CuO NPs | Green synthesis (S. Tenacissima L.) | Heterogeneous Fenton-like | 60 | 0.2 g/L | NR | 99.88% (Tartrazine) 99.97% (Nile Blue) | [42] |
| CuO NPs | Green synthesis (Cimin grape) | Heterogeneous Fenton-like | 120 | 25 mg/mL | 0.8 µg/mL | 97.8% (Methylene Blue) | [76] |
| ZnO–Co3O4–CuO | Mechano-chemical (grinding) | Fenton-like | 60 | 5 g/L | 175 µL/50 mL | MO, MB, RhB 100% | [77] |
| Mn-doped CuO | Co-precipitation | Heterogeneous Fenton-like | 90 | 1 g/L | 60 mmol/L | 81% (Ciprofloxacin) | [41] |
| Zn-doped CuO | Green synthesis (Aloysia citrodora) | Heterogeneous Fenton-like (dark) | 30 | 0.6 g/L | 25 µL | ~99.97% Rhodamine B | This work |
3. Materials and Method
3.1. Chemicals and Reagents
3.2. Synthesis of Pure CuO and Zn-Doped CuO
3.3. Characterization
3.4. Degradation of Rhodamine B by Pure and Zn-Doped CuO
4. Conclusions
Author Contributions
Funding
Data Availability Statement
Conflicts of Interest
References
- Jebali, M.; Gómez-Merino, A.I.; Colangelo, G. Influence of the Lemon (Citrus limon L.) Juice Amount on the Green Synthesis of CuO Nanoparticles: Characterization, Stability and Thermal Conductivity. Ceram. Int. 2025, 51, 72–84. [Google Scholar] [CrossRef]
- Redjili, S.; Ghodbane, H.; Tahraoui, H.; Abdelouahed, L.; Chebli, D.; Ola, M.S.; Assadi, A.A.; Kebir, M.; Zhang, J.; Amrane, A.; et al. Green Innovation: Multifunctional Zinc Oxide Nanoparticles Synthesized Using Quercus Robur for Photocatalytic Performance, Environmental, and Antimicrobial Applications. Catalysts 2025, 15, 256. [Google Scholar] [CrossRef]
- Chelghoum, H.; Nasrallah, N.; Tahraoui, H.; Seleiman, M.F.; Bouhenna, M.M.; Belmeskine, H.; Zamouche, M.; Djema, S.; Zhang, J.; Mendil, A.; et al. Eco-Friendly Synthesis of ZnO Nanoparticles for Quinoline Dye Photodegradation and Antibacterial Applications Using Advanced Machine Learning Models. Catalysts 2024, 14, 831. [Google Scholar] [CrossRef]
- Grigore, M.E.; Biscu, E.R.; Holban, A.M.; Gestal, M.C.; Grumezescu, A.M. Methods of Synthesis, Properties and Biomedical Applications of CuO Nanoparticles. Pharmaceuticals 2016, 9, 75. [Google Scholar] [CrossRef]
- Ogwuegbu, M.C.; Olatunde, O.C.; Pfukwa, T.M.; Mthiyane, D.M.N.; Fawole, O.A.; Onwudiwe, D.C. Green-Synthesis of CuO and Ce-Doped CuO Nanoparticles Using Aqueous Extract of Yam Peel and Their Antimicrobial Properties. Hybrid Adv. 2024, 7, 100335. [Google Scholar] [CrossRef]
- El-Trass, A.; ElShamy, H.; El-Mehasseb, I.; El-Kemary, M. CuO Nanoparticles: Synthesis, Characterization, Optical Properties and Interaction with Amino Acids. Appl. Surf. Sci. 2012, 258, 2997–3001. [Google Scholar] [CrossRef]
- Hendraningrat, L.; Torsæter, O. Metal Oxide-Based Nanoparticles: Revealing Their Potential to Enhance Oil Recovery in Different Wettability Systems. Appl. Nanosci. 2015, 5, 181–199. [Google Scholar] [CrossRef]
- Ren, H.; Miao, Z.; Wang, J.; Jin, L.; Li, F.; Wu, P. Lignin Carbon Dots: Synthesis from Alkali Lignin, Sensing Mechanism for Fe3+, Performance Evaluation, and Azo Dye Composite Test Paper for Dual-Mode Detection. Biomass Bioenergy 2026, 212, 109293. [Google Scholar] [CrossRef]
- Haseki, S.; Kucukcobanoglu, Y.; Ayisigi, M.; Oztekin, T.; Aktas, L.Y. Influence of Synthesis Method on Physiochemical Properties and Antibacterial Activity of Green Synthesized CuO Nanoparticles from Laurus nobilis L. Leaf Extracts. Plant Nano Biol. 2025, 11, 100128. [Google Scholar] [CrossRef]
- Nie, Y.; Li, D.; Peng, Y.; Wang, S.; Hu, S.; Liu, M.; Ding, J.; Zhou, W. Metal Organic Framework Coated MnO2 Nanosheets Delivering Doxorubicin and Self-Activated DNAzyme for Chemo-Gene Combinatorial Treatment of Cancer. Int. J. Pharm. 2020, 585, 119513. [Google Scholar] [CrossRef]
- Duan, X.; Yan, S.; Li, Y.; Fang, S.; Tie, X.; Wang, H.; Liu, J.; Zou, C.; Wang, T.; Feng, W. Preparation of Chromium-Doped ZIFs-8/ZnCo-LDH Composite as a Acid-Base Bifunctional Catalyst for Biodiesel Production. Renew. Energy 2025, 238, 121940. [Google Scholar] [CrossRef]
- Guo, Y.; Wu, S.; La, P.; Zhou, D.; Ji, Z.; Wang, X. 3D-Printing Advanced ZIF-67@aluminum Phosphate/Al2O3 Ceramic Catalyst by Aluminum Phosphate-Assisted Surface Bonding. Mater. Sci. Addit. Manuf. 2025, 4, 025220037. [Google Scholar] [CrossRef]
- Annu; Ali, A.; Ahmed, S. Green Synthesis of Metal, Metal Oxide Nanoparticles, and Their Various Applications. In Handbook of Ecomaterials; Martínez, L.M.T., Kharissova, O.V., Kharisov, B.I., Eds.; Springer International Publishing: Cham, Switzerland, 2018; pp. 1–45. [Google Scholar]
- Wu, J.; Yue, X.; Wang, T.; Zhang, Y.; Jin, Y.; Li, G. A Cost-Effective and Sensitive Voltammetric Sensor for Determination of Baicalein in Herbal Medicine Based on Shuttle-Shape α-Fe2O3 Nanoparticle Decorated Multi-Walled Carbon Nanotubes. Colloids Surf. A Physicochem. Eng. Asp. 2025, 717, 136850. [Google Scholar] [CrossRef]
- Li, T.; Xiao, L.; Ling, H.; Yang, Y.; Zhong, S. Preparation of Artificial Substrate Binding Sites of Nanozyme with “Modular Structure” Strategy Used for the Construction of Visual Sensing Analysis Platform for Levodopa. Microchem. J. 2025, 212, 113292. [Google Scholar] [CrossRef]
- Yan, H.; Tian, B.; Liao, A.; Sun, W.; Tu, H.; Tian, Y.; Yang, Z.; Kandegama, W.M.W.W.; Guo, S.; Wu, J. Breaking the Selectivity Dilemma: A 114-Fold Bee-Safe AIE Nanoinsecticide via Spontaneous Non-Covalent Orchestration. Chem. Eng. J. 2026, 529, 172939. [Google Scholar] [CrossRef]
- Harizi, I.; Aldahri, T.; Chebli, D.; Tahraoui, H.; Bouguettoucha, A.; Rohani, S.; Zhang, J.; Amrane, A. Gaussian Process Regression with Levy Flight Optimization: Advanced AR66 Adsorption Studies. Chem. Eng. Res. Des. 2024, 207, 192–208. [Google Scholar] [CrossRef]
- Tahraoui, H.; Belhadj, A.-E.; Amrane, A.; Toumi, S.; Jaouadi, B.; Zhang, J. Maximizing Diclofenac Bioremoval Efficiency Using Chlorella Vulgaris Strain H1 and Chlorella Sorokiniana Strain H2: Unveiling the Impact of Acetic Acid on Microalgae. J. Taiwan. Inst. Chem. Eng. 2024, 165, 105783. [Google Scholar] [CrossRef]
- Kebir, M.; Bouallouche, R.; Nasrallah, N.; Tahraoui, H.; Elboughdiri, N.; Ait Merzeg, F.; Dergal, F.; Amirouche, S.; Assadi, A.A.; Amrane, A. Sustainable Photodegradation of Amoxicillin in Wastewater with a Nickel Aluminate and ZnO Heterosystem Oxides: Experimental and Gaussian Process Regression Modeling Studies. Catalysts 2024, 14, 875. [Google Scholar] [CrossRef]
- Toumi, S.; Lekmine, S.; Touzout, N.; Moussa, H.; Elboughdiri, N.; Boudraa, R.; Benslama, O.; Kebir, M.; Danish, S.; Zhang, J. Harnessing Deep Learning for Real-Time Water Quality Assessment: A Sustainable Solution. Water 2024, 16, 3380. [Google Scholar] [CrossRef]
- Chavali, M.S.; Nikolova, M.P. Metal Oxide Nanoparticles and Their Applications in Nanotechnology. SN Appl. Sci. 2019, 1, 607. [Google Scholar] [CrossRef]
- Oruç, Ç.; Altındal, A. Structural and Dielectric Properties of CuO Nanoparticles. Ceram. Int. 2017, 43, 10708–10714. [Google Scholar] [CrossRef]
- Mai, X.T.; Duong, T.M.; Nguyen, D.N.; To, T.H.; Luc, H.H.; Tran, P.D.; Le, L.T. Sol–Gel Synthesis of CuO Nanoparticles and Its Use as Catalyst for Electrochemical CO2 Reduction. Energy Technol. 2025, 13, 2401486. [Google Scholar] [CrossRef]
- Rehman, H.; Ali, Z.; Qadir, A.; H. Farooq, M.; Shuaib, A.; Zahra, A.; Shahzady, T.; Hussain, H. Synthesis of CuO-NPS by Simple Wet Chemical Method Using Various Dicarboxylic Acid Salts as Precursors: Spectral Characterization and in-Vitro Biological Evaluation. Bull. Chem. Soc. Ethiop. 2020, 34, 323–334. [Google Scholar] [CrossRef]
- Nahar, B.; Chaity, S.B.; Gafur, M.A.; Hossain, M.Z. Synthesis of Spherical Copper Oxide Nanoparticles by Chemical Precipitation Method and Investigation of Their Photocatalytic and Antibacterial Activities. J. Nanomater. 2023, 2023, 2892081. [Google Scholar] [CrossRef]
- Dahonog, L.A.; Vega, M.S.D.D.; Balela, M.D.L. pH-Dependent Synthesis of Copper Oxide Phases by Polyol Method. J. Phys.: Conf. Ser. 2019, 1191, 012043. [Google Scholar] [CrossRef]
- Radulescu, D.-M.; Surdu, V.-A.; Ficai, A.; Ficai, D.; Grumezescu, A.-M.; Andronescu, E. Green Synthesis of Metal and Metal Oxide Nanoparticles: A Review of the Principles and Biomedical Applications. Int. J. Mol. Sci. 2023, 24, 15397. [Google Scholar] [CrossRef]
- Jawad, K.H.; Hasoon, B.A.; Ismail, R.A.; Shaker, S.S. Preparation of Copper Oxide Nanosheets by Pulsed Laser Ablation in Liquid for Anticancer, Antioxidant, and Antibacterial Activities. J. Indian Chem. Soc. 2022, 99, 100773. [Google Scholar] [CrossRef]
- Enad, A.M.; Rzaij, J.M. Investigate the Structural, Morphological, and Topographical Characteristics of CuO Thin Films Utilizing a Pulsed Laser Deposition Method. J. Theor. Appl. Phys. 2024, 18, si-AICIS23.03. [Google Scholar] [CrossRef]
- Rajamohan, R.; Lee, Y.R. Microwave-Assisted Synthesis of Copper Oxide Nanoparticles by Apple Peel Extract and Efficient Catalytic Reduction on Methylene Blue and Crystal Violet. J. Mol. Struct. 2023, 1276, 134803. [Google Scholar] [CrossRef]
- Boudraa, R.; Djermoune, A.; Touati-Talantikite, D.; Blkacemi, H.; Madi, K.; Bouallouche, R.; Ait Merzeg, F.; Kebir, M.; Fadhillah, F.; Ali, F.A.A.; et al. Green-Synthesized Ag/Ag3O4/CuO from Inula Viscosa Coupled with Peroxydisulfate for Safranin O Degradation: Modeling and Optimization Using DT_LSBOOST and Dragonfly Algorithm. Appl. Water Sci. 2025, 15, 318. [Google Scholar] [CrossRef]
- Boudraa, R.; Djermoune, A.; Balit, S.; Madi, K.; Touati-Talantikite, D.; Bouallouche, R.; Bachari, K.; Bellardita, M.; Kebir, M.; Ait Merzeg, F.; et al. Towards Sustainable Water Treatment: Green Fabrication of Core–Shell Photocatalysts Supported on Fiberglass Textiles. J. Water Process Eng. 2026, 81, 109199. [Google Scholar] [CrossRef]
- Abidi, M.; Assadi, A.A.; Aouida, S.; Tahraoui, H.; Khezami, L.; Zhang, J.; Amrane, A.; Hajjaji, A. Photocatalytic Activity of Cu2O-Loaded TiO2 Heterojunction Composites for the Simultaneous Removal of Organic Pollutants and Bacteria in Indoor Air. Catalysts 2025, 15, 360. [Google Scholar] [CrossRef]
- Madi, K.; Agueniou, F.; Chebli, D.; Tahraoui, H.; Bouguettoucha, A.; Zhang, J.; Amrane, A. Polyaniline-Modified Iron and Copper Co-Doped Cerium Oxide Nanocomposites for Enhanced Photocatalytic Degradation of Methylene Blue: Synthesis, and Characterization. Colloids Surf. A Physicochem. Eng. Asp. 2025, 712, 136469. [Google Scholar] [CrossRef]
- Madi, K.; Chebli, D.; Benkouachi, O.R.; Boudra, R.; Bouallouche, R.; Tahraoui, H.; Kebir, M.; Gil, A.; Zhang, J.; Amrane, A. Design and Optimization of Phosphorus-and Titanium-Doped Graphitic Carbon Nitride Photocatalysts for the Degradation of Beibrich Scarlet Dye under Visible Light Irradiation Using Machine Learning. J. Water Process Eng. 2025, 77, 108571. [Google Scholar] [CrossRef]
- Masekela, D.; Kganyakgo, L.K.; Modibane, K.D.; Yusuf, T.L.; Balogun, S.A.; Seleka, W.M.; Makhado, E. Green Synthesis and Enhanced Photocatalytic Performance of Co-Doped CuO Nanoparticles for Efficient Degradation of Synthetic Dyes and Water Splitting. Results Chem. 2025, 13, 101971. [Google Scholar] [CrossRef]
- Khalid, A.; Ahmad, P.; Alharthi, A.I.; Muhammad, S.; Khandaker, M.U.; Rehman, M.; Faruque, M.R.I.; Din, I.U.; Alotaibi, M.A.; Alzimami, K.; et al. Structural, Optical, and Antibacterial Efficacy of Pure and Zinc-Doped Copper Oxide Against Pathogenic Bacteria. Nanomaterials 2021, 11, 451. [Google Scholar] [CrossRef]
- Barbosa, R.; Trigueiro, P.; Albuquerque, W.A.; Almeida, L.; Peña-Garcia, R.R. Enhanced Photocatalytic Degradation of Furosemide Using Gd3+/Cu2+co-Doped ZnO Synthesized via Sonochemical-Assisted Coprecipitation. Discov. Mater. 2025, 5, 278. [Google Scholar] [CrossRef]
- Sirirak, R.; Chaopanich, P.; Prasatkhetragarn, A.; Chailuecha, C.; Kuimalee, S.; Klinbumrung, A. Doping Effect of Zn on Structural and Optical Properties of CuO Nanostructures Prepared by Wet Chemical Precipitation Process. Radiat. Phys. Chem. 2022, 190, 109788. [Google Scholar] [CrossRef]
- Jeevarathinam, M.; Asharani, I.V. Synthesis of CuO, ZnO Nanoparticles, and CuO-ZnO Nanocomposite for Enhanced Photocatalytic Degradation of Rhodamine B: A Comparative Study. Sci. Rep. 2024, 14, 9718. [Google Scholar] [CrossRef]
- Yang, X.; Lai, C.; Li, L.; Cheng, M.; Liu, S.; Yi, H.; Zhang, M.; Fu, Y.; Xu, F.; Yan, H.; et al. Oxygen Vacancy Assisted Mn-CuO Fenton-like Oxidation of Ciprofloxacin: Performance, Effects of pH and Mechanism. Sep. Purif. Technol. 2022, 287, 120517. [Google Scholar] [CrossRef]
- Ghanjaoui, M.E.; Soufi, A.; Kadmi, Y.; Barka, N.; Tounsadi, H. Efficient Green Synthesis of Copper Oxide Nanoparticles Using Stipa tenacissima L. Extract: Optimization and Heterogeneous Fenton- like Degradation of Textile Dyes. Surf. Interfaces 2025, 73, 107519. [Google Scholar] [CrossRef]
- Han, X.; Gou, L.; Tang, S.; Cheng, F.; Zhang, M.; Guo, M. Enhanced Heterogeneous Fenton-like Degradation of Refractory Organic Contaminants over Cu Doped (Mg,Ni)(Fe,Al)2O4 Synthesized from Laterite Nickel Ore. J. Environ. Manag. 2021, 283, 111941. [Google Scholar] [CrossRef]
- Chang, Y.; Liao, L.; Wang, X.; Wang, B.; Li, Z.; Zhang, W.; Zhou, W. Synergistic Activation of Peroxymonosulfate by Defective CuBi2O4 with Oxygen Vacancies and Cu+ towards Efficient Photocatalytic Antibiotics Degradation. Environ. Funct. Mater. 2025, 4, 11–20. [Google Scholar] [CrossRef]
- Mohod, A.V.; Momotko, M.; Shah, N.S.; Marchel, M.; Imran, M.; Kong, L.; Boczkaj, G. Degradation of Rhodamine Dyes by Advanced Oxidation Processes (AOPs)—Focus on Cavitation and Photocatalysis—A Critical Review. Water Resour. Ind. 2023, 30, 100220. [Google Scholar] [CrossRef]
- Naz, S.; Gul, A.; Zia, M.; Javed, R. Synthesis, Biomedical Applications, and Toxicity of CuO Nanoparticles. Appl. Microbiol. Biotechnol. 2023, 107, 1039–1061. [Google Scholar] [CrossRef]
- Xue, Y.; Yu, G.; Shan, Z.; Li, Z. Phyto-Mediated Synthesized Multifunctional Zn/CuO NPs Hybrid Nanoparticles for Enhanced Activity for Kidney Cancer Therapy: A Complete Physical and Biological Analysis. J. Photochem. Photobiol. B Biol. 2018, 186, 131–136. [Google Scholar] [CrossRef]
- Hadkar, V.M.; Selvaraj, C.I. Characterization and Investigating the Potential Therapeutic Effects of Phyto-Assisted CuO and Zn-Doped CuO Nanoparticles from Calophyllum Apetalum (Willd.) Leaf Extract. J. Drug Deliv. Sci. Technol. 2025, 104, 106530. [Google Scholar] [CrossRef]
- Bahramsoltani, R.; Rostamiasrabadi, P.; Shahpiri, Z.; Marques, A.M.; Rahimi, R.; Farzaei, M.H. Aloysia citrodora Paláu (Lemon verbena): A Review of Phytochemistry and Pharmacology. J. Ethnopharmacol. 2018, 222, 34–51. [Google Scholar] [CrossRef]
- Hassanisaadi, M.; Bonjar, A.H.S.; Rahdar, A.; Varma, R.S.; Ajalli, N.; Pandey, S. Eco-Friendly Biosynthesis of Silver Nanoparticles Using Aloysia Citrodora Leaf Extract and Evaluations of Their Bioactivities. Mater. Today Commun. 2022, 33, 104183. [Google Scholar] [CrossRef]
- Bhise, S.L.; Kathwate, L.H.; Umadevi, G.; Krishna, K.G.; Mote, V.D.; Dole, B.N. Structural, Optical and Gas Sensing Properties of Zn-Doped CuO Nanostructure Thin Films for Benzene Gas Sensing Applications. J. Mater. Sci. Mater. Electron. 2024, 35, 66. [Google Scholar] [CrossRef]
- Goyal, C.P.; Goyal, D.; K. Rajan, S.; Ramgir, N.S.; Shimura, Y.; Navaneethan, M.; Hayakawa, Y.; Muthamizhchelvan, C.; Ikeda, H.; Ponnusamy, S. Effect of Zn Doping in CuO Octahedral Crystals towards Structural, Optical, and Gas Sensing Properties. Crystals 2020, 10, 188. [Google Scholar] [CrossRef]
- Zhang, S.; Zhang, H.B.; Zhao, F.A.; Jiang, M.; Xiao, H.Y.; Liu, Z.J.; Zu, X.T. Impact of Isovalent and Aliovalent Substitution on the Mechanical and Thermal Properties of Gd2Zr2O7. Sci. Rep. 2017, 7, 6399. [Google Scholar] [CrossRef]
- Maqbool, M.H.; Iqbal, Z.; Zawar, S.; Khalid, A.; Ramay, S.M.; Atiq, S. Analysis of Interphase Magnetoelectric Coupling in Bi0.9La0.1FeO3–MgFe2O4 Composites. Appl. Phys. A 2023, 129, 779. [Google Scholar] [CrossRef]
- Holland, T.J.B.; Redfern, S.a.T. Unit Cell Refinement from Powder Diffraction Data: The Use of Regression Diagnostics. Mineral. Mag. 1997, 61, 65–77. [Google Scholar] [CrossRef]
- Yathisha, R.O.; Arthoba Nayaka, Y. Structural, Optical and Electrical Properties of Zinc Incorporated Copper Oxide Nanoparticles: Doping Effect of Zn. J. Mater. Sci. 2018, 53, 678–691. [Google Scholar] [CrossRef]
- Kumar, P.; Inwati, G.K.; Mathpal, M.C.; Ghosh, S.; Roos, W.D.; Swart, H.C. Defects Induced Enhancement of Antifungal Activities of Zn Doped CuO Nanostructures. Appl. Surf. Sci. 2021, 560, 150026. [Google Scholar] [CrossRef]
- Al-Hazeef, M.S.F.; Aidi, A.; Hecini, L.; Hasan, G.G.; Hu, J.; Althamthami, M. Unveiling the Efficiency of Peanut Shell-Derived Porous Composite for Water Denitrification: Characterization, Kinetic, Isotherm and Thermodynamic Studies. J. Mol. Liq. 2024, 410, 125668. [Google Scholar] [CrossRef]
- Corda, N.; Thundiyil, R.; Ani, A.; Anusha; P, P.; Rao, A.; Manjunatha, K. Electrical, Optical and Nonlinear Optical Process in Spray Pyrolyzed Zn:CuO Nanostructures for Optoelectronic Device Applications. Mater. Res. Express 2024, 11, 056203. [Google Scholar] [CrossRef]
- Phang, Y.-K.; Aminuzzaman, M.; Akhtaruzzaman, M.; Muhammad, G.; Ogawa, S.; Watanabe, A.; Tey, L.-H. Green Synthesis and Characterization of CuO Nanoparticles Derived from Papaya Peel Extract for the Photocatalytic Degradation of Palm Oil Mill Effluent (POME). Sustainability 2021, 13, 796. [Google Scholar] [CrossRef]
- Varughese, A.; Kaur, R.; Singh, P. Green Synthesis and Characterization of Copper Oxide Nanoparticles Using Psidium Guajava Leaf Extract. IOP Conf. Ser. Mater. Sci. Eng. 2020, 961, 012011. [Google Scholar] [CrossRef]
- Iskakova, Z.; Kozhantayeva, A.; Temirbekova, A.; Mukhtubayeva, S.; Bissenova, G.; Tekebayeva, Z.; Almagambetov, K.; Tashenov, Y.; Sarmurzina, Z. Green Synthesis of Silver Nanoparticles Using Circaea Lutetiana Ethanolic Extract: Phytochemical Profiling, Characterization, and Antimicrobial Evaluation. Int. J. Mol. Sci. 2025, 26, 5505. [Google Scholar] [CrossRef]
- Walencik, P.K.; Choińska, R.; Gołębiewska, E.; Kalinowska, M. Metal–Flavonoid Interactions—From Simple Complexes to Advanced Systems. Molecules 2024, 29, 2573. [Google Scholar] [CrossRef]
- Luo, Z.; Cheng, W.; Chen, H.; Fu, X.; Peng, X.; Luo, F.; Nie, L. Preparation and Properties of Enzyme-Modified Cassava Starch-Zinc Complexes. J. Agric. Food Chem. 2013, 61, 4631–4638. [Google Scholar] [CrossRef]
- Abinaya, C.; Marikkannan, M.; Manikandan, M.; Mayandi, J.; Suresh, P.; Shanmugaiah, V.; Ekstrum, C.; Pearce, J.M. Structural and Optical Characterization and Efficacy of Hydrothermal Synthesized Cu and Ag Doped Zinc Oxide Nanoplate Bactericides. Mater. Chem. Phys. 2016, 184, 172–182. [Google Scholar] [CrossRef]
- Neiva, J.; Benzarti, Z.; Carvalho, S.; Devesa, S. Green Synthesis of CuO Nanoparticles—Structural, Morphological, and Dielectric Characterization. Materials 2024, 17, 5709. [Google Scholar] [CrossRef]
- Kaushal, S.; Thakur, N.; Kumar, K. Investigation of the Efficacy of Zn/Ce–CuO Nanoparticles for Enhanced Photocatalytic, Antibacterial, and Antioxidant Activities. Environ. Sci. Pollut. Res. 2024, 1–19. [Google Scholar] [CrossRef]
- Nzilu, D.M.; Madivoli, E.S.; Makhanu, D.S.; Wanakai, S.I.; Kiprono, G.K.; Kareru, P.G. Green Synthesis of Copper Oxide Nanoparticles and Its Efficiency in Degradation of Rifampicin Antibiotic. Sci. Rep. 2023, 13, 14030. [Google Scholar] [CrossRef]
- Ahmed, N.; Vione, D.; Rivoira, L.; Carena, L.; Castiglioni, M.; Bruzzoniti, M.C.; Ahmed, N.; Vione, D.; Rivoira, L.; Carena, L.; et al. A Review on the Degradation of Pollutants by Fenton-Like Systems Based on Zero-Valent Iron and Persulfate: Effects of Reduction Potentials, pH, and Anions Occurring in Waste Waters. Molecules 2021, 26, 4584. [Google Scholar] [CrossRef]
- Langa, C.; Mabuba, N.; Mahlaule-Glory, L.M.; Motaung, D.E.; Tetana, Z.; Hintsho-Mbita, N.C. Enhanced Photocatalytic Degradation of Dyes and Pharmaceutical Pollutants Using Fe/TiO2-Carbon Nanospheres from Sutherlandia Frutescence. Int. J. Environ. Anal. Chem. 2025, 106, 790–820. [Google Scholar] [CrossRef]
- Chu, Y.; Miao, B.; Zhang, X.; Lv, R. Heterogeneous Electro-Fenton-like Oxidation for the Degradation of 4-Nitrophenol Characterized by Immobilized Fe(III): Performance, Mechanism and Chlorinated Organic Compounds Formation. J. Water Process Eng. 2020, 38, 101662. [Google Scholar] [CrossRef]
- Chen, Z.; Li, J.; Zhang, J.; Wang, H.; Zeng, Y.; Wang, F.; Huang, P.; Chen, X.; Ge, L.; Dahlgren, R.A.; et al. A Highly Efficient and Recyclable Living Biocatalyst Using Shewanella@polydopamine@NH2-Doped Carbon Dot Biohybrids and Polypyrrole Immobilized Melamine Foam for Microbial-Photoreduction of Cr(VI). J. Clean. Prod. 2024, 435, 140497. [Google Scholar] [CrossRef]
- Jiang, F.; Zhang, Y.; Xu, X.; Mao, Y.; Wang, M.; Yang, B.; Zhang, C.; Feng, X.; Meng, H.; Guo, F.; et al. Application of Cysteine with Cu2+ to Strengthen Fenton-Based Treatment of Coking Wastewater Used Ferric Sludge as a Source of Iron Catalyst: Cl− Removal and Fe3+/Fe2+ Cycling. J. Environ. Chem. Eng. 2025, 13, 117556. [Google Scholar] [CrossRef]
- Su, Z.; Li, J.; Zhang, D.; Ye, P.; Li, H.; Yan, Y. Novel Flexible Fenton-like Catalyst: Unique CuO Nanowires Arrays on Copper Mesh with High Efficiency across a Wide pH Range. Sci. Total Environ. 2019, 647, 587–596. [Google Scholar] [CrossRef]
- Zhou, A.; Wu, Q.; Zhang, H.; Liu, J.; Wang, C.; Chi, D.; Zhou, H. RSM-Optimized Mg/Al-LDH Biochar Composite for Enhanced Phosphorus Removal: Insights into Interlayer Structure Evolution and Adsorption Mechanism. J. Environ. Manag. 2026, 401, 128837. [Google Scholar] [CrossRef]
- Gültekin, D.D.; Alaylı, A.; Nadaroglu, H. Eco-Friendly Synthesis of Nano Copper and Its Use in Fenton-like Reactions for Methylene Blue Degradation. Int. J. Chem. Technol. 2020, 4, 71–78. [Google Scholar] [CrossRef]
- Li, X.; Miao, K.; Guo, S.; Wang, N.; Zhuang, Q.; Qian, H.; Luo, X.; Feng, G. Enhanced Catalytic Activity of ZnO–CuO–Co3O4 Composites Achieved Using a Mechanochemical Method for Effective Fenton-like Dye Removal: The Generation and Catalytic Mechanism of Various Superficial Active Sites. Mater. Adv. 2023, 4, 4943–4953. [Google Scholar] [CrossRef]
- Hazmoune, A.; Boukaous, C.; Iaiche, S.; Benhaoua, B.; Fadhillah, F.; Assadi, A.A.; Amrane, A.; Ali, F.A.A.; Zhang, J.; Kebir, M.; et al. H2O2-Assisted Sunlight Photocatalytic Degradation of Basic Fuchsin Using Green-Synthesized ZnO Nanowires. Catalysts 2026, 16, 193. [Google Scholar] [CrossRef]
- Sihag, S.; Dahiya, R.; Rani, S.; Anushree; Kumar, A.; Kumar, V. Investigation of Structural and Optical Characteristics of CuO Nanoparticles Calcinated at Various Temperatures. Indian J. Chem. Technol. (IJCT) 2022, 29, 578–582. [Google Scholar] [CrossRef]















| Property | CuO | CuO-Zn0.5 | CuO-Zn1 | CuO-Zn2 | CuO-Zn3 | CuO-Zn5 |
|---|---|---|---|---|---|---|
| x (Å) | 4.6823 | 4.6844 | 4.6810 | 4.6812 | 4.6852 | 4.6838 |
| y (Å) | 3.4174 | 3.4192 | 3.4183 | 3.4157 | 3.4175 | 3.4139 |
| z (Å) | 5.1268 | 5.1242 | 5.1272 | 5.1262 | 5.1238 | 5.1251 |
| b (°) | 99.475 | 99.538 | 99.517 | 99.560 | 99.542 | 99.530 |
| Cell volume (Å) | 80.917 | 80.941 | 80.912 | 80.825 | 80.906 | 80.820 |
| Dislocation density (nm−2) 10−3 | 0.750 | 1.147 | 2.473 | 2.061 | 1.298 | 1.808 |
| FWHM (hlk = −111) (°) | 0.239 | 0.327 | 0.378 | 0.323 | 0.335 | 0.299 |
| FWHM (hlk = 111) (°) | 0.302 | 0.421 | 0.494 | 0.415 | 0.437 | 0.359 |
| Sample | Ag (cm−1) | ΔAg (cm−1) | B2g (cm−1) | ΔB2g (cm−1) |
|---|---|---|---|---|
| CuO | 288.00 | 0.00 | 626.54 | 0.00 |
| CuO-Zn0.5 | 280.00 | −8.00 | 626.00 | −0.54 |
| CuO-Zn1 | 287.19 | −0.81 | 625.92 | −0.62 |
| CuO-Zn2 | 272.22 | −15.78 | 626.56 | +0.02 |
| CuO-Zn3 | 270.58 | −17.42 | 626.25 | −0.29 |
| CuO-Zn5 | 274.22 | −13.78 | 616.46 | −10.08 |
Disclaimer/Publisher’s Note: The statements, opinions and data contained in all publications are solely those of the individual author(s) and contributor(s) and not of MDPI and/or the editor(s). MDPI and/or the editor(s) disclaim responsibility for any injury to people or property resulting from any ideas, methods, instructions or products referred to in the content. |
© 2026 by the authors. Licensee MDPI, Basel, Switzerland. This article is an open access article distributed under the terms and conditions of the Creative Commons Attribution (CC BY) license.
Share and Cite
Hazmoune, A.; Boukaous, C.; Al-Hazeef, M.S.F.; Aida, M.S.; Fadhillah, F.; Assadi, A.A.; Amrane, A.; Ali, F.A.; Zhang, J.; Tahraoui, H. Eco-Friendly Synthesis of Zn-Doped CuO Nanoparticles Using Aloysia citrodora Extract for Highly Efficient Fenton-like Dye Degradation. Catalysts 2026, 16, 352. https://doi.org/10.3390/catal16040352
Hazmoune A, Boukaous C, Al-Hazeef MSF, Aida MS, Fadhillah F, Assadi AA, Amrane A, Ali FA, Zhang J, Tahraoui H. Eco-Friendly Synthesis of Zn-Doped CuO Nanoparticles Using Aloysia citrodora Extract for Highly Efficient Fenton-like Dye Degradation. Catalysts. 2026; 16(4):352. https://doi.org/10.3390/catal16040352
Chicago/Turabian StyleHazmoune, Aicha, Chahra Boukaous, Mazen S. F. Al-Hazeef, Mohammed Salah Aida, Farid Fadhillah, Amine Aymen Assadi, Abdeltif Amrane, Fekri Abdulraqeb Ali, Jie Zhang, and Hichem Tahraoui. 2026. "Eco-Friendly Synthesis of Zn-Doped CuO Nanoparticles Using Aloysia citrodora Extract for Highly Efficient Fenton-like Dye Degradation" Catalysts 16, no. 4: 352. https://doi.org/10.3390/catal16040352
APA StyleHazmoune, A., Boukaous, C., Al-Hazeef, M. S. F., Aida, M. S., Fadhillah, F., Assadi, A. A., Amrane, A., Ali, F. A., Zhang, J., & Tahraoui, H. (2026). Eco-Friendly Synthesis of Zn-Doped CuO Nanoparticles Using Aloysia citrodora Extract for Highly Efficient Fenton-like Dye Degradation. Catalysts, 16(4), 352. https://doi.org/10.3390/catal16040352

