Catalytic Systems and Mechanistic Insights into Crotonaldehyde Synthesis from Acetaldehyde: A Comprehensive Review
Abstract
1. Introduction
2. Properties and Applications of Crotonaldehyde
2.1. Properties of Crotonaldehyde
2.2. Applications of Crotonaldehyde
2.2.1. Production of Sorbic Acid and Its Derivatives from Crotonaldehyde
2.2.2. Hydrogenation of Crotonaldehyde to Unsaturated/Saturated Alcohols
2.2.3. Oxidation of Crotonaldehyde to Crotonic Acid
3. Catalysts for Crotonaldehyde Synthesis from Acetaldehyde
3.1. Homogeneous Catalysts
3.2. Heterogeneous Catalysts
3.2.1. Metal Oxide Catalysts
3.2.2. Aluminosilicate Zeolite Catalysts
3.2.3. Heteroatom Zeolite Catalysts
4. Reaction Mechanisms for Crotonaldehyde Synthesis from Acetaldehyde
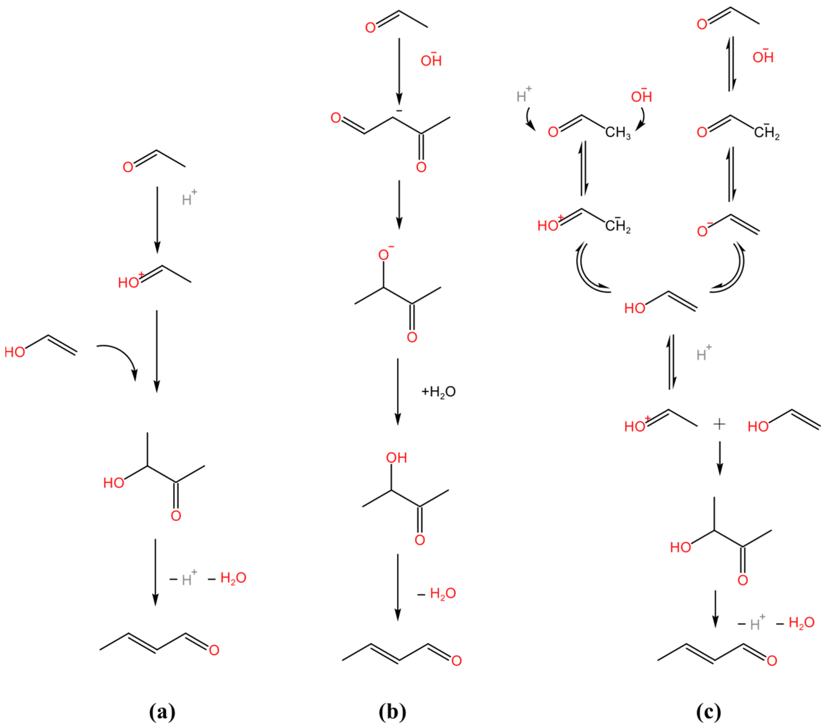
4.1. Homogeneous Reaction Mechanism
4.2. Heterogeneous Reaction Mechanism
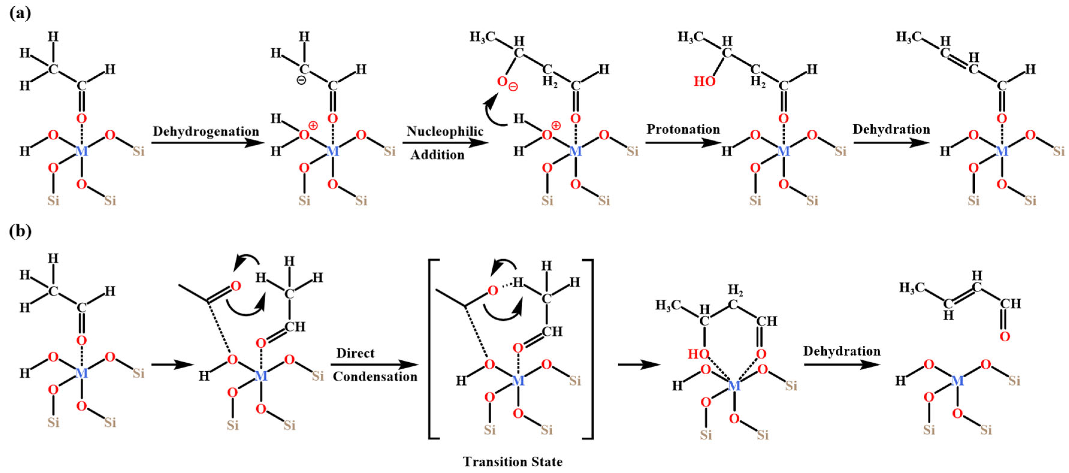
4.2.1. Metal Oxide Catalysts of Reaction Mechanism
4.2.2. Heteroatom Zeolite Catalysts of Reaction Mechanism
5. Perspectives
- (1)
- Precise Regulation of Active Sites and Analysis of Dynamic Evolution Mechanisms
- (2)
- Elucidation of Reaction Pathways and Deep Investigation of Coke Deactivation Mechanisms
- (3)
- Development of Targeted Regeneration Strategies and Enhancement of Stability
Author Contributions
Funding
Data Availability Statement
Conflicts of Interest
References
- Hester, A.S.; Himmler, K. Staff-Industry Collaborative Report Chemicals from Acetaldehyde. Ind. Eng. Chem. 1959, 51, 1424–1430. [Google Scholar] [CrossRef]
- Hayes, R.N.; Grese, R.P.; Gross, M.L. Base-initiated aldol condensations in the gas phase. J. Am. Chem. Soc. 1989, 111, 8336–8341. [Google Scholar] [CrossRef]
- Baigrie, L.M.; Cox, R.A.; Slebocka-Tilk, H.; Tencer, M.; Tidwell, T.T. Acid-catalyzed enolization and aldol condensation of acetaldehyde. J. Am. Chem. Soc. 1985, 107, 3640–3645. [Google Scholar] [CrossRef]
- Li, H.; Riisager, A.; Saravanamurugan, S.; Pandey, A.; Sangwan, R.S.; Yang, S.; Luque, R. Carbon-increasing catalytic strategies for upgrading biomass into energy-intensive fuels and chemicals. ACS Catal. 2017, 8, 148–187. [Google Scholar] [CrossRef]
- Geng, Z.; Sheng, L.; Zhang, K.; Shi, F.; Gong, H. Study on the process of producing crotonaldehyde from acetaldehyde catalyzed by Zr-β zeolite. Sep. Purif. Technol. 2024, 335, 126123. [Google Scholar] [CrossRef]
- Li, F.; Wang, B.; Chen, X.; Fan, H.; Yang, X.; Guo, Q. Low-temperature aldol condensation of aldehydes on R-TiO2(100)-(1 × 1): Exceptional selectivity for α,β-unsaturated enal production. J. Phys. Chem. Lett. 2021, 12, 1708–1717. [Google Scholar] [CrossRef] [PubMed]
- Madhavaram, H.; Idriss, H. Evidence of furan formation from acetaldehyde over β-UO3. Catal. Today 2000, 63, 309–315. [Google Scholar] [CrossRef]
- Daniel, J.W. Metabolic aspects of antioxidants and preservatives. Xenobiotica 1986, 16, 1073–1078. [Google Scholar] [CrossRef] [PubMed]
- Schlatter, J.; Würgler, F.E.; Kränzlin, R.; Maier, P.; Holliger, E.; Graf, U. The potential genotoxicity of sorbates: Effects on cell cycle in vitro in V79 cells and somatic mutations in Drosophila. Food Chem. Toxicol. 1992, 30, 843–851. [Google Scholar] [CrossRef]
- Jung, R.; Cojocel, C.; Müller, W.; Böttger, D.; Lück, E. Evaluation of the genotoxic potential of sorbic acid and potassium sorbate. Food Chem. Toxicol. 1992, 30, 1–7. [Google Scholar] [CrossRef]
- Kim, M.S.; Choi, D.; Ha, J.; Choi, K.; Yu, J.H.; Dumesic, J.A.; Huber, G.W. Catalytic strategy for conversion of triacetic acid lactone to potassium sorbate. ACS Catal. 2023, 13, 14031–14041. [Google Scholar] [CrossRef]
- Ohtsuki, T.; Sato, K.; Sugimoto, N.; Akiyama, H.; Kawamura, Y. Absolute quantitative analysis for sorbic acid in processed foods using proton nuclear magnetic resonance spectroscopy. Anal. Chim. Acta 2012, 734, 54–61. [Google Scholar] [CrossRef] [PubMed]
- Zhang, Z.H.; Wang, Z.Q.; Li, Z.R.; Zheng, W.B.; Fan, L.P.; Zhang, J.; Hu, Y.M.; Luo, M.F.; Wu, X.P.; Gong, X.Q.; et al. Metal-free ceria catalysis for selective hydrogenation of crotonaldehyde. ACS Catal. 2020, 10, 14560–14566. [Google Scholar] [CrossRef]
- Huang, H.; Guo, H.; Pei, Y. Screening of C3N-Supported Monometallic Atom Catalysts for Selective C=O Hydrogenation of Crotonaldehyde. ACS Catal. 2025, 15, 16121–16131. [Google Scholar] [CrossRef]
- Tamura, M.; Tokonami, K.; Nakagawa, Y.; Tomishige, K. Effective NbOx-Modified Ir/SiO2 Catalyst for Selective Gas-Phase Hydrogenation of Crotonaldehyde to Crotyl Alcohol. ACS Sustain. Chem. Eng. 2017, 5, 3685–3697. [Google Scholar] [CrossRef]
- Lan, X.; Wang, T. Highly Selective Catalysts for the Hydrogenation of Unsaturated Aldehydes: A Review. ACS Catal. 2020, 10, 2764–2790. [Google Scholar] [CrossRef]
- Xu, Y.-M.; Zheng, W.-B.; Hu, Y.-M.; Tang, C.; Jia, A.-P.; Lu, J.-Q. The effects of MoOx decoration on the selective hydrogenation of crotonaldehyde over MoOx-promoted Ir/TUD-1 catalysts. J. Catal. 2020, 381, 222–233. [Google Scholar] [CrossRef]
- Rolf, P.S.; Jürgen, B.; Christian, K. Crotonaldehyde and crotonic acid. In Ullmann’s Encyclopedia of Industrial Chemistry; Wiley: Hoboken, NJ, USA, 2000; pp. 1–20. [Google Scholar]
- Luo, S.; Falconer, J.L. Aldol condensation of acetaldehyde to form high molecular weight compounds on TiO2. Catal. Lett. 1999, 57, 89–93. [Google Scholar] [CrossRef]
- Barrett, C.J.; Chheda, J.N.; Huber, G.W.; Dumesic, J.A. Single-reactor process for sequential aldol-condensation and hydrogenation of biomass-derived compounds in water. Appl. Catal. B Environ. 2006, 66, 111–118. [Google Scholar] [CrossRef]
- Grunstein, N. Process for the Manufacture of Aldol from Acetaldehyde. U.S. Patent US1437139, 28 November 1922. [Google Scholar]
- Wu, Y.H.; Ren, W.H.; Liang, Z.L.; Liu, Z.N.; Wu, G.S. Liquid-Phase Aldol Condesation of Acetaldehyde and Its Kinetics. Chem. React. Eng. Technol. 2013, 29, 75–80. [Google Scholar]
- Scheidt, F.M. Vapor-phase aldol condensations over heterogeneous catalysts. J. Catal. 1964, 3, 372–378. [Google Scholar] [CrossRef]
- Shen, W.Q.; Tompsett, G.A.; Xing, R.; Conner, W.C.; Huber, G.W. Vapor phase butanal self-condensation over unsupported and supported alkaline earth metal oxides. J. Catal. 2012, 286, 248–259. [Google Scholar] [CrossRef]
- Ordomsky, V.V.; Sushkevich, V.L.; Ivanova, I.I. Study of acetaldehyde condensation chemistry over magnesia and zirconia supported on silic. J. Mol. Catal. A Chem. 2010, 333, 85–93. [Google Scholar] [CrossRef]
- Ji, W.; Chen, Y.; Kung, H. Vapor phase aldol condensation of acetaldehyde on metal oxide catalysts. Appl. Catal. A 1997, 161, 93–104. [Google Scholar] [CrossRef]
- Idriss, H.; Kim, K.S.; Barteau, M.A. Carbon-carbon bond formation via aldolization of acetaldehyde on single crystal and polycrystalline TiO2 surface. J. Catal. 1993, 139, 119–133. [Google Scholar] [CrossRef]
- Geng, Z.H.; Chen, X.; Yang, W.S.; Guo, Q.; Dai, D.X.; Yang, X.M. Photoinduced carbonyl coupling of aldehydes on anatase TiO2(101). J. Phys. Chem. C 2016, 120, 9897–9903. [Google Scholar] [CrossRef]
- Hauchecorne, B.; Terrens, D.; Verbruggen, S.; Martens, J.A.; Van Langenhove, H.; Demeestere, K.; Lenaerts, S. Elucidating the photocatalytic degradation pathway of acetaldehyde: An FTIR in situ study under atmospheric conditions. Appl. Catal. B Environ. 2011, 106, 630–638. [Google Scholar] [CrossRef]
- Madhavaram, H.; Idriss, H. Acetaldehyde reactions over the uranium oxide system. J. Catal. 2004, 224, 358–369. [Google Scholar] [CrossRef]
- Mann, A.K.P.; Wu, Z.L.; Calaza, F.C.; Overbury, S.H. Adsorption and reaction of acetaldehyde on shape-controlled CeO2 nanocrystals: Elucidation of structure-function relationships. ACS Catal. 2014, 4, 2437–2448. [Google Scholar] [CrossRef]
- Calaza, F.C.; Xu, Y.; Mullins, D.R.; Overbury, S.H. Oxygen vacancy-assisted coupling and enolization of acetaldehyde on CeO2(111). J. Am. Chem. Soc. 2012, 134, 18034–18045. [Google Scholar] [CrossRef]
- Liang, Z.; Jiang, D.H.; Fang, G.Q.; Leng, W.H.; Tu, P.X.; Tong, Y.Q.; Liu, L.; Ni, J.; Li, X.N. Catalytic enhancement of aldol condensation by oxygen vacancy on CeO2 catalysts. ChemistrySelect 2019, 4, 4364–4370. [Google Scholar] [CrossRef]
- Rasmussen, M.J.; Najmi, S.; Innocenti, G.; Medford, A.J.; Sievers, C.; Medlin, J.W. Supported molybdenum oxides for the aldol condensation reaction of acetaldehyde. J. Catal. 2022, 408, 216–226. [Google Scholar] [CrossRef]
- Kagunya, W.; Jones, W. Aldol condensation of acetaldehyde using calcined layered double hydroxides. Appl. Clay Sci. 1995, 10, 95–102. [Google Scholar] [CrossRef]
- Chavez Diaz, C.D.; Locatelli, S.; Gonzo, E.E. Acetaldehyde adsorption on HZSM-5 studied by infrared spectroscopy. Zeolites 1992, 12, 851–857. [Google Scholar] [CrossRef]
- Biaglow, A.I.; Sepa, J.; Gorte, R.J.; White, D. A 13C NMR study of the condensation chemistry of acetone and acetaldehyde adsorbed at the Brønsted acid sites in H-ZSM-5. J. Catal. 1995, 151, 373–384. [Google Scholar] [CrossRef]
- Zhang, L.; Pham, T.N.; Faria, J.; Resasco, D.E. Improving the selectivity to C4 products in the aldol condensation of acetaldehyde in ethanol over faujasite zeolites. Appl. Catal. A Gen. 2015, 504, 119–129. [Google Scholar] [CrossRef]
- Zhang, Q.; Gao, S.; Yu, J. Metal sites in zeolites: Synthesis, characterization, and catalysis. Chem. Rev. 2023, 123, 6039–6106. [Google Scholar] [CrossRef] [PubMed]
- Lewis, J.D.; Van de Vyver, S.; Román-Leshkov, Y. Acid-base pairs in Lewis acidic zeolites promote direct aldol reactions by soft enolization. Angew. Chem. Int. Ed. 2015, 54, 9835–9838. [Google Scholar] [CrossRef]
- Van de Vyver, S.; Odermatt, C.; Romero, K.; Prasomsri, T.; Román-Leshkov, Y. Solid Lewis Acids Catalyze the Carbon–Carbon Coupling between Carbohydrates and Formaldehyde. ACS Catal. 2015, 5, 972–977. [Google Scholar] [CrossRef]
- Kots, P.A.; Zabilska, A.V.; Ivanova, I.I. Selective self-condensation of butanal over Zr-BEA zeolites. ChemCatChem 2020, 12, 248–258. [Google Scholar] [CrossRef]
- Dumitriu, E.; Hulea, V.; Fechete, I.; Auroux, A.; Lacaze, J.; Guimon, C. The aldol condensation of lower aldehydes over MFI zeolites with different acidic properties. Microporous Mesoporous Mater. 2001, 43, 341–359. [Google Scholar] [CrossRef]
- Palagin, D.; Sushkevich, V.L.; Ivanova, I.I. C–C Coupling Catalyzed by Zeolites: Is Enolization the Only Possible Pathway for Aldol Condensation? J. Phys. Chem. C 2016, 120, 23566–23575. [Google Scholar] [CrossRef]
- Sushkevich, V.L.; Palagin, D.; Ivanova, I.I. With open arms: Open sites of ZrBEA zeolite facilitate selective synthesis of butadiene from ethanol. ACS Catal. 2015, 5, 4833–4836. [Google Scholar] [CrossRef]
- Sushkevich, V.L.; Vimont, A.; Travert, A.; Ivanova, I.I. Spectroscopic evidence for open and closed Lewis acid sites in ZrBEA zeolites. J. Phys. Chem. C 2015, 119, 17633–17639. [Google Scholar] [CrossRef]
- Müller, P.; Burt, S.P.; Love, A.M.; McDermott, W.P.; Wolf, P.; Hermans, I. Mechanistic study on the Lewis acid catalyzed synthesis of 1,3-butadiene over Ta-BEA using modulated operando DRIFTS-MS. ACS Catal. 2016, 6, 6823–6832. [Google Scholar] [CrossRef]
- Müller, P.; Wang, S.; Burt, S.P.; Hermans, I. Influence of metal doping on the Lewis acid catalyzed production of butadiene from ethanol studied by using modulated operando diffuse reflectance infrared fourier transform spectroscopy and mass spectrometry. ChemCatChem 2017, 9, 3572–3582. [Google Scholar] [CrossRef]
- Yan, T.; Dai, W.; Wu, G.; Lang, S.; Hunger, M.; Guan, N.J.; Li, L.D. Mechanistic insights into one-step catalytic conversion of ethanol to butadiene over bifunctional Zn-Y/beta zeolite. ACS Catal. 2018, 8, 2760–2773. [Google Scholar] [CrossRef]
- Yan, T.T.; Yao, S.K.; Dai, W.L.; Wu, G.J.; Guan, N.J.; Li, L.D. Self-aldol condensation of aldehydes over Lewis acidic rare-earth cations stabilized by zeolites. Chin. J. Catal. 2021, 42, 595–605. [Google Scholar] [CrossRef]
- Gu, H.; Yang, G.; Wang, L.; Jiang, H. Self-aldol condensation of acetaldehyde to crotonaldehyde over Lewis acidic metal incorporated *BEA zeolites. Mol. Catal. 2025, 570, 114666. [Google Scholar] [CrossRef]
- Jiang, H.; Gu, H.; Wang, L.; Yang, G. Deactivation mechanism of acetaldehyde self-condensation on Zr-based metelliosilicalites. Mol. Catal. 2024, 557, 113990. [Google Scholar] [CrossRef]
- Jiang, H.; Ran, Q.; Zhao, Y.; Yang, G.; Wang, L. Aldol condensation of acetaldehyde over Zr-β zeolites with tailored Lewis acidity and passivated Brønsted sites: Toward environmentally benign crotonaldehyde synthesis. Catal. Sci. Technol. 2025, 16, 176–188. [Google Scholar] [CrossRef]
- Jeong, M.S.; Frei, H. Acetaldehyde as a probe for the chemical properties of aluminophosphate molecular sieves. An in situ FT-IR study. J. Mol. Catal. A Chem. 2000, 156, 245–253. [Google Scholar] [CrossRef]
- Chang, Y.; Ko, A. Vapor phase reactions of acetaldehyde over type X zeolites. Appl. Catal. A-Gen. 2000, 190, 149–155. [Google Scholar] [CrossRef]
- Perrin, C.L.; Chang, K.L. The Complete Mechanism of an Aldol Condensation. J. Org. Chem. 2016, 81, 5631–5635. [Google Scholar] [CrossRef]
- Pauli, D.H.; Abraham, C.J.; Scerba, M.T.; Alden-Danforth, E.; Lectka, T. Bifimctional Asymmetric Catalysis: Cooperative Lewis Acid/Base Systems. Acc. Chem. Res. 2008, 41, 655–663. [Google Scholar] [CrossRef]
- Climent, M.J.; Corma, A.; Fornés, V.; Guil-Lopez, R.; Iborra, S. Aldol Condensations on Solid Catalysts: A Cooperative Effect between Weak Acid and Base Sites. Adv. Synth. Catal. 2010, 344, 1090–1096. [Google Scholar] [CrossRef]
- Pepin, P.A.; Diroll, B.T.; Murray, C.B.; Vohs, J.M. Morphological dependence of the thermal and photochemical reactions of acetaldehyde on anatase TiO2 nanocrystals. Top. Catal. 2018, 61, 365–378. [Google Scholar] [CrossRef]
- Singh, M.; Zhou, N.; Paul, D.K.; Klabunde, K.J. IR spectral evidence of aldol condensation: Acetaldehyde adsorption over TiO2 surface. J. Catal. 2008, 260, 371–379. [Google Scholar] [CrossRef]
- Stefanov, B.I.; Topalian, Z.; Granqvist, C.G.; Österlund, L. Acetaldehyde adsorption and condensation on anatase TiO2: Influence of acetaldehyde dimerization. J. Mol. Catal. A Chem. 2014, 381, 77–88. [Google Scholar] [CrossRef]
- Young, Z.D.; Hanspal, S.; Davis, R.J. Aldol condensation of acetaldehyde over titania, hydroxyapatite, and magnesia. ACS Catal. 2016, 6, 3193–3202. [Google Scholar] [CrossRef]
- Bhasker-Ranganath, S.; Rahman, M.S.; Zhao, C.; Calaza, F.; Wu, Z.L.; Xu, Y. Elucidating the mechanism of ambient-temperature aldol condensation of acetaldehyde on ceria. ACS Catal. 2021, 11, 8621–8634. [Google Scholar] [CrossRef]
- Mullins, D.R.; Albrecht, P.M. Acetaldehyde adsorption and reaction on CeO2(100) thin films. J. Phys. Chem. C 2013, 117, 14692–14700. [Google Scholar] [CrossRef]
- Zhao, C.; Watt, C.; Kent, P.R.; Overbury, S.H.; Mullins, D.R.; Calaza, F.C.; Savara, A.; Xu, Y. Coupling of acetaldehyde to crotonaldehyde on CeO2–x(111): Bifunctional mechanism and role of oxygen vacancies. J. Phys. Chem. C 2018, 123, 8273–8286. [Google Scholar] [CrossRef]
- Ignatchenko, A.V. Density Functional Theory Study of Carboxylic Acids Adsorption and Enolization on Monoclinic Zirconia Surfaces. J. Phys. Chem. C 2011, 115, 16012–16018. [Google Scholar] [CrossRef]
- Sushkevic, V.L.; Ivanova, I.I. Mechanistic study of ethanol conversion into butadiene over silver promoted zirconia catalysts. Appl. Catal. B Environ. 2017, 215, 36–49. [Google Scholar] [CrossRef]
- Dong, X.; Liu, C.; Fan, D.; Yu, Y.; Zhang, M. Insight into the effect of promoters (M = Cu, Ag, Zn, Zr) on aldol condensation reaction based on MgO surface in the process of ethanol to 1, 3-butadiene: A comparative DFT study. Appl. Surf. Sci. 2019, 481, 576–587. [Google Scholar] [CrossRef]
- Zhang, W.; Fan, D.; Yu, Y. ADFT study of the aldol condensation reaction in the processing of ethanol to 1,3-butadiene on a MgO/SiO2 surface. New J. Chem. 2022, 46, 559. [Google Scholar] [CrossRef]
- Zhang, M.; Zhuang, J.; Yu, Y. A DFT study on ZrO2 surface in the process of ethanol to 1,3-butadiene: A comprehensive mechanism elucidation. Appl. Surf. Sci. 2018, 458, 1026–1034. [Google Scholar] [CrossRef]
- Zhang, Z.; Berdugo-Díaz, C.E.; Bregante, D.T.; Zhang, H.B.; Flaherty, D.W. Aldol condensation and esterification over Ti-substituted *BEA zeolite: Mechanisms and effects of pore hydrophobicity. ACS Catal. 2022, 12, 1481–1496. [Google Scholar] [CrossRef]
- Zhang, M.; Guan, X.; Zhuang, J.; Yu, Y. Insights into the mechanism of ethanol conversion into 1,3-butadiene on Zr-β zeolite. Appl. Surf. Sci. 2022, 579, 152212. [Google Scholar] [CrossRef]
- Geng, Z.; Zhang, Y.; Wang, L.; Gong, H. The role of water during aldol condensation reactions of acetaldehyde on Zr-beta zeolites: Ab initio and microkinetic modeling. Mol. Catal. 2025, 570, 114690. [Google Scholar] [CrossRef]
- Geng, Z.; Zhang, Y.; Wang, L.; Gong, H. A theoretical insight into diffusion mechanism of aldol condensation of acetaldehyde in Zr-BEA zeolite. Mol. Catal. 2025, 572, 114770. [Google Scholar] [CrossRef]





| Catalyst Type | Catalyst | Reaction Phase | Temperature (K) | Pressure (atm) | Reaction Time (h) | Acetaldehyde Conversion (%) | Crotonaldehyde Selectivity (%) | References | |
|---|---|---|---|---|---|---|---|---|---|
| 1 | Metal Oxide | MgO/SiO2 | Vapor | 403 | 1 | - * | 30.6 | 87.6 | [25] |
| 2 | ZrO2/SiO2 | Vapor | 403 | 1 | - | 28.3 | 83.4 | [25] | |
| 3 | Na/SiO2 | Vapor | 643 | 1 | - | - | 90 | [26] | |
| 4 | Cs/SiO2 | Vapor | 623 | 1 | - | - | 90 | [26] | |
| 5 | CeO2 | Liquid | 453 | - | 12 | 42.6 | 94.1 | [33] | |
| 6 | Mo/Al2O3 | Vapor | 573 | 0.8 | 10 | - | 80 | [34] | |
| 7 | Mo/SiO2 | Vapor | 573 | 0.8 | 10 | - | 80 | [34] | |
| 8 | Aluminosilicate Zeolite | NaX | Vapor | 673 | - | 0.25 | 28.6 | 60.6 | [55] |
| 9 | KX | Vapor | 673 | - | 0.25 | 30.6 | 55.2 | [55] | |
| 10 | Silicalite-1 | Vapor | 573 | 2.47 | - | 15 | 80 | [43] | |
| 11 | SnBEA | Vapor | 473 | 1 | - | 62.7 | 99 | [44] | |
| 12 | Heteroatom Zeolite | ZrBEA | Vapor | 473 | 1 | - | 46.2 | 99 | [44] |
| 13 | Zr-BEA | Vapor | 473 | 1 | 1 | 16.1 | 86.7 | [51] | |
| 14 | Sc-BEA | Vapor | 473 | 1 | 1 | 9.9 | 89.3 | [51] | |
| 15 | Y-BEA | Vapor | 473 | 1 | 1 | 8.8 | 90.7 | [51] | |
| 16 | Ce-BEA | Vapor | 473 | 1 | 1 | 4.3 | 92.9 | [51] | |
| 17 | Ti-BEA | Vapor | 473 | 1 | 1 | 13.2 | 86.5 | [51] | |
| 18 | Hf-BEA | Vapor | 473 | 1 | 1 | 15.9 | 85.1 | [51] | |
| 19 | Ta-BEA | Vapor | 473 | 1 | 1 | 10.1 | 82.5 | [51] | |
| 20 | Al-BEA | Vapor | 473 | 1 | 1 | 4.2 | 70.2 | [51] | |
| 21 | Zr-BEA | Vapor | 473 | - | 8 | 6.5 | 90 | [52] |
Disclaimer/Publisher’s Note: The statements, opinions and data contained in all publications are solely those of the individual author(s) and contributor(s) and not of MDPI and/or the editor(s). MDPI and/or the editor(s) disclaim responsibility for any injury to people or property resulting from any ideas, methods, instructions or products referred to in the content. |
© 2026 by the authors. Licensee MDPI, Basel, Switzerland. This article is an open access article distributed under the terms and conditions of the Creative Commons Attribution (CC BY) license.
Share and Cite
Yang, K.; Shi, F.; Wang, L. Catalytic Systems and Mechanistic Insights into Crotonaldehyde Synthesis from Acetaldehyde: A Comprehensive Review. Catalysts 2026, 16, 353. https://doi.org/10.3390/catal16040353
Yang K, Shi F, Wang L. Catalytic Systems and Mechanistic Insights into Crotonaldehyde Synthesis from Acetaldehyde: A Comprehensive Review. Catalysts. 2026; 16(4):353. https://doi.org/10.3390/catal16040353
Chicago/Turabian StyleYang, Kai, Feng Shi, and Lingtao Wang. 2026. "Catalytic Systems and Mechanistic Insights into Crotonaldehyde Synthesis from Acetaldehyde: A Comprehensive Review" Catalysts 16, no. 4: 353. https://doi.org/10.3390/catal16040353
APA StyleYang, K., Shi, F., & Wang, L. (2026). Catalytic Systems and Mechanistic Insights into Crotonaldehyde Synthesis from Acetaldehyde: A Comprehensive Review. Catalysts, 16(4), 353. https://doi.org/10.3390/catal16040353

