Ag-Pt/Al2O3-WOx Catalysts Supported on Cordierite Honeycomb for the Reduction of NO with C3H8, CO, and H2
Abstract
1. Introduction
2. Results and Discussion
2.1. Characterization of Catalysts
2.1.1. Textural Properties
2.1.2. Crystalline Properties
2.1.3. Scanning Electron Microscopy (SEM/EDX) Before Catalytic Evaluation
2.1.4. Scanning Transmission Electron Microscopy (HAADF-STEM)
2.1.5. Temperature-Programmed Reduction (H2-TPR)
2.1.6. Pt Dispersion (H2-Chemisorption at 25 °C)
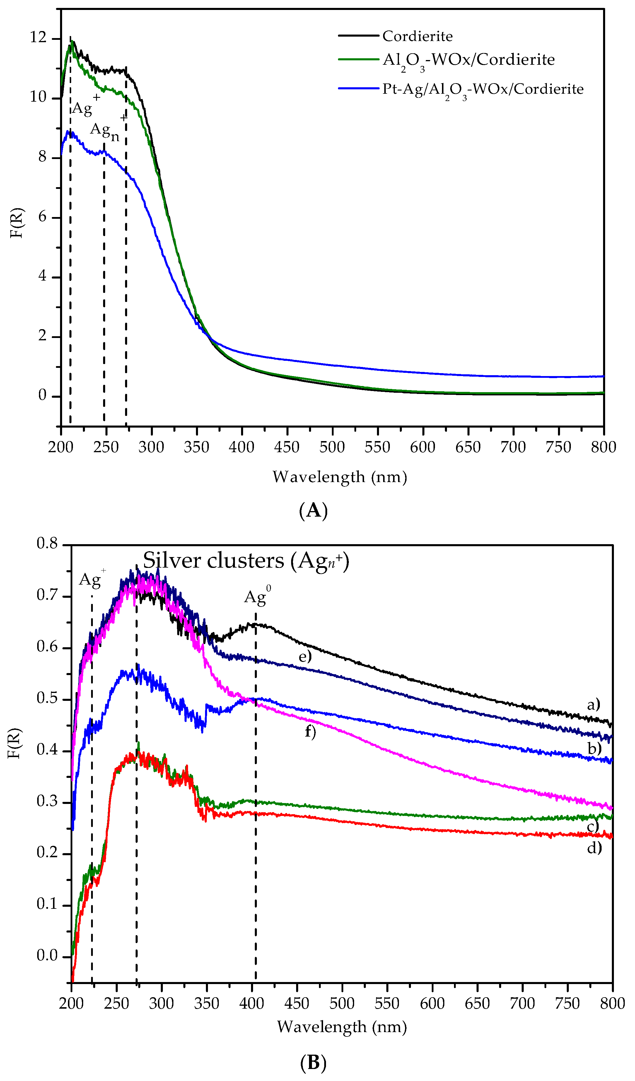
2.1.7. Ex Situ UV-Vis Spectra of the Pt-Ag/Al2O3-WOx/Cordierite Catalysts
2.1.8. Raman Spectra of the Evaluated Pt-Ag/Al2O3-WOx/Cordierite Catalysts
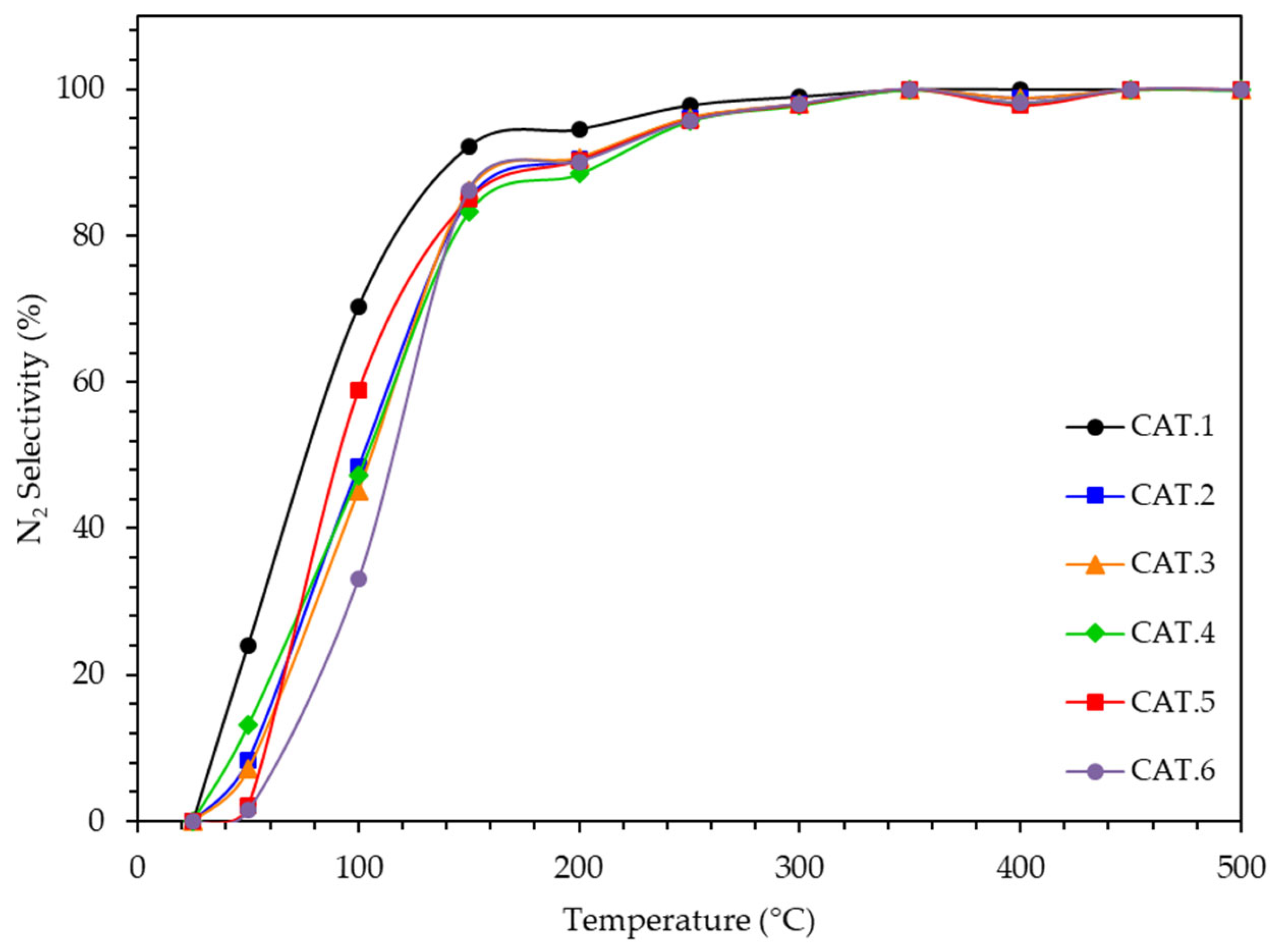
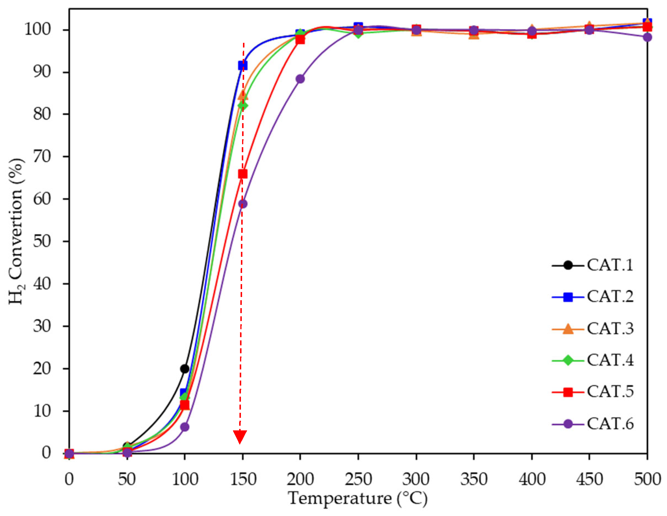
2.2. Catalytic Tests
NO Conversion of the Catalysts in the H2-Assisted C3H8–SCR Reaction
- (N2) is the N2 concentration (mol/L), calculated based on the molar concentrations of inlet NO, outlet NO, NO2, and N2O, using the mass balance equation proposed by Richter et al. [39] as follows:
- (NO)° = concentration of NO fed to the reactor (mol/L);
- (NO) = concentration of NO at the reactor outlet (mol/L);
- (NO2) = concentration of NO2 at the reactor outlet (mol/L);
- (N2O) = concentration of N2O at the reactor outlet (mol/L).
3. Materials and Methods
3.1. Synthesis of Structured Catalysts
3.2. Synthesis of Powder Catalysts
3.3. Characterization
3.4. Catalytic Tests
4. Conclusions
Supplementary Materials
Author Contributions
Funding
Data Availability Statement
Acknowledgments
Conflicts of Interest
Abbreviations
| HC-SCR | Selective Catalytic Reduction with Hydrocarbons |
| H2-HC-SCR | Selective Catalytic Reduction with Hydrocarbons and Hydrogen |
| GHSV | Gas Hourly Space Velocity |
| SEM/EDX | Scanning Electron Microscopy |
| STEM/HAADF | Transmission Electron Microscopy |
| XRD | X-ray Diffraction |
| TPR-H2 | Temperature-Programmed Reduction |
| CRTA | Cordierite |
| SBET | Specific Surface Area |
| Vp | Pore Volume |
| Dp | Pore Diameter |
References
- Bueno-López, A.; Illán Gómez, M.J.; Salinas-Martínez de Leca, C. Effect of NOx and C3H6 partial pressures on the Activity of Pt-beta-coated cordierite monoliths for deNOx C3H6-SCR. Appl. Catal. A Gen. 2006, 302, 244–249. [Google Scholar] [CrossRef]
- Kannisto, H.; Ingelsten, H.H.; Skoglundh, M. Ag–Al2O3 catalysts for lean NOx reduction—Influence of preparation method and reductant. J. Mol. Catal. A Chem. 2009, 302, 86–96. [Google Scholar] [CrossRef]
- Satokawa, S.; Yamaseki, K.; Uchida, H. Influence of low concentration of SO2 for selective reduction of NO by C3H8 in lean-exhaust conditions on the activity of Ag/Al2O3 catalyst. Appl. Catal. B Environ. 2001, 34, 299–306. [Google Scholar] [CrossRef]
- Lionta, D.G.; Christoforou, C.S.; Efthimiadis, A.E.; Vasalos, A.I. Selective Catalytic Reduction of NO with Hidrocarbons: Experimental and Simulation Results. Ind. Eng. Chem. Res. 1996, 35, 2508–2515. [Google Scholar] [CrossRef]
- He, C.; Paulus, M.; Chu, W.; Find, J.; Nickl, A.J.; Kohler, K. Selective Catalytic reduction of NO by C3H8 over CoOx/Al2O3: An investigation of structure-activity relationships. Catalysis Today 2008, 131, 305–313. [Google Scholar] [CrossRef]
- Popovych, N.O.; Soloviev, S.O.; Orlyk, S.M. Selective reduction of nitrogen oxides (NOx) with oxygenates and hydrocarbons over bifunctional, silver–alumina catalysts: A review. Theor. Exp. Chem. 2016, 52, 3. [Google Scholar] [CrossRef]
- Kyriienko, P.; Popovych, N.; Soloviev, S.; Orlyk, S.; Dzwigaj, S. Remarkable activity of Ag/Al2O3/cordierite catalysts in SCR of NO with ethanol and butanol. Appl. Catal. B Environ. 2013, 140–141, 691–699. [Google Scholar] [CrossRef]
- Bethke, K.A.; Kung, H.H. Supported Ag catalysts for the lean reduction of NO with C3H6. J. Catal. 1997, 172, 93–102. [Google Scholar] [CrossRef]
- Kung, M.C.; Kung, H.H. Lean NOx catalysis over alumina-supported catalysts. Top. Catal. 2000, 10, 21–26. [Google Scholar] [CrossRef]
- Meunier, F.C.; Breen, J.P.; Zuzaniuk, V.; Olsson, M.; Ross, J.R.H. Mechanistic aspects of the selective reduction of NO by propene over alumina and silver-alumina catalysts. J. Catal. 1999, 187, 493–505. [Google Scholar] [CrossRef]
- Martínez-Arias, A.; Fernández-García, M.; Iglesias-Juez, A.; Anderson, J.A.; Conesa, J.C.; Soria, J. Study of the lean NOx reduction with C3H6 in the presence of water over silver/alumina catalysts prepared from inverse microemulsions. Appl. Catal. B Environ. 2000, 28, 29–41. [Google Scholar] [CrossRef]
- Hernández-Carucci, J.R.; Kurman, A.; Karhu, H.; Arve, K.; Eranen, K.; Warna, J.; Salmi, T.; Murzin, D.Y. Kinetics of the biofuels-assisted SCR of NOx over Ag/Alumina-coated microchannels. Chem. Eng. J. 2009, 154, 34–44. [Google Scholar] [CrossRef]
- Held, W.; Koning, A.; Richter, T.; Puppe, L. Catalytic NOx Reduction in Net Oxidizing Exhaust Gas; SAE Technical Paper 900496; SAE International: Warrendale, PA, USA, 1990. [Google Scholar] [CrossRef]
- Iwamoto, M.; Yahiro, H.; Shundo, S.; Yu-u, Y.; Mizuno, N. Influence of sulfur dioxide on catalytic removal of nitric oxide over copper ion-exchanged ZSM-5 zeolite. Appl. Catal. 1991, 69, L15–L19. [Google Scholar] [CrossRef]
- Eranen, K.; Klingstedt, F.; Arve, K.; Linfords, L.-E.; Murzin, Y.D. On the mechanism of the selective catalytic reduction of NO with higher hydrocarbons over a silver/alumina catalyst. J. Catal. 2004, 227, 328–343. [Google Scholar] [CrossRef]
- Männikkö, M.; Wang, X.; Skoglundh, M.; Härelind, H. Characterization of the active species in the silver/alumina system for lean NOx reduction with methanol. Catal. Today 2016, 267, 76–81. [Google Scholar] [CrossRef]
- Deng, H.; Yu, Y.; He, H. Adsorption states of typical intermediates on Ag/Al2O3 catalyst employed in the selective catalytic reduction of NOx by ethanol. Chin. J. Catal. 2015, 36, 1312–1320. [Google Scholar] [CrossRef]
- Hoost, T.E.; Kudla, R.J.; Collins, K.M.; Chattha, M.S. Characterization of Ag/γ-Al2O3 catalysts and their lean-Nox properties. Appl. Catal. B Environ. 1997, 13, 59–67. [Google Scholar] [CrossRef]
- Chaieb, T.; Delannoy, L.; Costentin, G.; Louis, C.; Casale, S.; Chantry, R.L.; Li, Z.Y.; Thomas, C. Insights into the influence of the Ag loading on Al2O3 in the H2-assisted C3H6-SCR of NOx. Appl. Catal. B Environ. 2014, 156–157, 192–201. [Google Scholar] [CrossRef]
- Hernández-Terán, M.E.; Fuentes, G.A. Enhancement by H2 of C3H8-SCR of NOx using Ag/γ-Al2O3. Fuel 2014, 138, 91–97. [Google Scholar] [CrossRef]
- Ström, L.; Carlsson, P.-A.; Skoglundh, M.; Härelind, H. Surface Species and Metal Oxidation State during H2-Assisted NH3-SCR of NOx over Alumina-Supported Silver and Indium. Catalysts 2018, 8, 38. [Google Scholar] [CrossRef]
- Xu, G.; Ma, J.; Wang, L.; Lv, Z.; Wang, S.; Yu, Y.; He, H. Mechanism of the H2 Effect on NH3-Selective Catalytic Reduction over Ag/Al2O3: Kinetic and Diffuse Reflectance Infrared Fourier Transform Spectroscopy Studies. ACS Catal. 2019, 9, 10489–10498. [Google Scholar] [CrossRef]
- Shang, Z.; Cao, J.; Wang, L.; Guo, Y.; Lu, G.; Guo, Y. The study of C3H8-SCR on Ag/Al2O3 catalysts with the presence of CO. Catal. Today 2017, 281, 605–660. [Google Scholar] [CrossRef]
- Gunnarsson, F.; Kannisto, H.; Skoglundh, M.; Härelind, H. Improved low-temperature activity of silver–alumina for lean NOx reduction—Effects of Ag loading and low-level Pt doping. Appl. Catal. B Environ. 2014, 152–153, 218–225. [Google Scholar] [CrossRef]
- He, H.; Wang, J.; Feng, Q.; Yu, Y.; Yoshida, K. Novel Pd promoted Ag/Al2O3 catalyst for the selective reduction of NOx. Appl. Catal. B Environ. 2003, 46, 365–370. [Google Scholar] [CrossRef]
- Schott, F.J.P.; Balle, P.; Adler, J.; Kureti, S. Reduction of NOx by H2 on Pt/WO3/ZrO2 catalysts in oxygen-rich exhaust. Appl. Catal. B Environ. 2009, 87, 18–29. [Google Scholar] [CrossRef]
- Contreras, J.L.; Fuentes, G.A.; García, L.A.; Salmones, J.; Zeifert, B. WOx effect on the catalytic properties of Pt particles on Al2O3. J. Alloy Compd. 2009, 483, 450–452. [Google Scholar] [CrossRef]
- Contreras, J.L.; Fuentes, G.A.; Zeifert, B.; García, L.A.; Salmones, J. Stabilization of Supported Platinum Nanoparticles on ϒ-Alumina Catalysts by Addition of Tungsten. J. Alloy Compd. 2009, 483, 371–373. [Google Scholar] [CrossRef]
- González Hernández, N.N.; Contreras, J.L.; Pinto, M.; Zeifert, B.; Flores Moreno, J.L.; Fuentes, G.A.; Hernández-Terán, M.E.; Vázquez, T.; Salmones, J.; Jurado, J.M. Improved NOx Reduction Using C3H8 and H2 with Ag/Al2O3 Catalysts Promoted with Pt and WOx. Catalysts 2020, 10, 1212. [Google Scholar] [CrossRef]
- Shelef, M.; Montreuil, C.N.; Jen, H.W. NO2 formation over Cu-ZSM-5 and the selective catalytic reduction of NO. Catal. Lett. 1994, 26, 277–284. [Google Scholar] [CrossRef]
- Neimark, A.V.; Sing, K.S.W.; Thommes, M. Handbook of Heterogeneous Catalysis, 2nd ed.; Ertl, G., Knozinger, H., Schuth, F., Weitkamp, J., Eds.; VCH-Wiley: Hoboken, NJ, USA, 2008; p. 4. [Google Scholar]
- Contreras, J.L.; Fuentes, G.A. Study of the Pt/Al2O3-WOx Catalyst in the Conversion of Heptane; Spanish Academic Editorial Ed.: Madrid, Spain, 2013. [Google Scholar]
- Sing, K.S.W.; Everett, D.H.; Haul, R.A.W.; Moscou, L.; Pierotti, R.A.; Rouquerol, J.; Siemieniewska, T. Reporting physisorption data for gas/solid systems with special reference to the determination of surface area and porosity. Pure Appl. Chem. 1985, 57, 603–619. [Google Scholar] [CrossRef]
- Ascaso, M.S. Catalysts Free of Noble Metals for the Simultaneous Elimination of Soot and NOx in Diesel Engines; CSIC-Instituto de Carboquímica (ICB), University of Zaragoza: Zaragoza, Spain, 2015. [Google Scholar]
- Rojas, H.; Borda, G.; Reyes, P.; Brijaldo, M.; Valencia, J. Liquid-phase hydrogenation of m-dinitrobenzene over platinum catalysts. J. Chil. Chem. Soc. 2011, 56, 793–798. [Google Scholar] [CrossRef][Green Version]
- Satterfield, C.N. Heterogeneous Catalysis in Practice; McGraw Hill Inc.: Columbus, OH, USA, 1980; p. 114. ISBN 0070548757. [Google Scholar]
- Xu, X.; Zhang, Y.; Wu, J.; Hu, C.; Tang, Z. Preparation and performance study of cordierite/mullite composite ceramics for solar thermal energy storage. Int. J. Appl. Ceram. Technol. 2017, 14, 162–172. [Google Scholar] [CrossRef]
- Aguado, J.; Escola, J.M.; Castro, M.C. Influence of the thermal treatment upon the textural properties of sol–gel mesoporous γ-alumina synthesized with cationic surfactants. Mic. Mesoporous Mater. 2010, 128, 48–55. [Google Scholar] [CrossRef]
- Richter, M.; Bentrup, U.; Eckelt, R.; Schneider, M.; Pohl, M.-M.; Fricke, R. The effect of hydrogen on the selective catalytic reduction of NO in excess oxygen over Ag/Al2O3. Appl. Catal. B Environ. 2004, 51, 261–274. [Google Scholar] [CrossRef]
- Govender, S.; Friedrich, H.B. Monoliths: A Review of the Basics, Preparation. Methods and Their Relevance to Oxidation. Catalysts 2017, 7, 62. [Google Scholar] [CrossRef]
- Bueno-López, A.; Lozano-Castelló, D.; Such-Basáñez, I.; García-Cortés, J.M.; Illán-Gómez, M.J.; de Lecea, C.S.M. Preparation of beta-coated cordierite honeycomb monoliths by in situ synthesis: Utilisation as Pt support for NOx abatement in diesel exhaust. Appl. Catal. B Environ. 2005, 58, 1–7. [Google Scholar] [CrossRef]
- Kondratenko, V.A.; Bentrup, U.; Richter, M.; Hansen, T.W.; Kondratenko, E.V. Mechanistic aspects of N2O and N2 formation in NO reduction by NH3 over Ag/Al2O3: The effect of O2 and H2. Appl. Catal. B Environ. 2008, 84, 497–504. [Google Scholar] [CrossRef]
- Gauthard, F.; Florence, E.; Jacques, B. Palladium and platinum-based catalysts in the catalytic reduction of nitrate in water: Effect of copper, silver, or gold addition. J. Catal. 2003, 220, 182–191. [Google Scholar] [CrossRef]
- Kim, P.S.; Kim, M.K.; Cho, B.K.; Nam, I.S.; Oh, S.H. Effect of H2 on deNOx performance of HC-SCR over Ag/Al2O3: Morphological, chemical, and kinetic changes. J. Catal. 2013, 301, 65–76. [Google Scholar] [CrossRef]
- Musi, A.; Massiani, P.; Brouri, D.; Trichard, J.M.; Da Costa, P. On the Characterisation of Silver Species for SCR of NOx with Ethanol. Catal. Lett. 2009, 128, 25–30. [Google Scholar] [CrossRef]
- Kannisto, H.; Arve, K.; Pingel, T.; Hellman, A.; Harelind, H.; Eränen, K.; Olsson, E.; Murzin, M.D.Y. On the performance of Ag/Al2O3 as a HC-SCR catalyst: Influence of silver loading, morphology, and nature of the reductant. Catal. Sci. Technol. 2013, 3, 644–653. [Google Scholar] [CrossRef]
- Lieske, H.; Lietz, G.; Spindler, H.; Volter, J. Reactions of platinum in oxygen- and hydrogen-treated Pt/Al2O3 catalysts: Temperature-programmed reduction, adsorption, and redispersion of platinum. J. Catal. 1983, 81, 8–16. [Google Scholar] [CrossRef]
- Ivanova, A.S.; Slavinskaya, E.M.; Gulyaev, R.V.; Zaikovskii, V.I.; Stonkus, O.A.; Danilova, I.G.; Plyasova, L.M.; Polukhina, I.A.; Boronin, A.I. Metal–support interactions in Pt/Al2O3 and Pd/Al2O3 catalysts for CO oxidation. Appl. Catal. B Environ. 2010, 97, 57–71. [Google Scholar] [CrossRef]
- Zhang, R.; Kaliaguine, S. Lean reduction of NO by C3H6 over Ag/alumina derived from Al2O3, AlOOH, and Al(OH)3. Appl. Catal. B Environ. 2008, 78, 275–287. [Google Scholar] [CrossRef]
- Lee, J.; Jang, E.J.; Oh, D.G.; Szanyi, J.; Kwak, J.H. Morphology and size of Pt on Al2O3: The role of specific metal–support interactions between Pt and Al2O3. J. Catal. 2020, 385, 204–212. [Google Scholar] [CrossRef]
- Sinkle, W.; Sanchez, S.I.; Bradley, S.A.; Wen, J.; Mishra, B.; Kelly, S.D.; Bare, S.R. Aberration-Corrected Transmission Electron Microscopy and In Situ XAFS Structural Characterization of Pt/γ-Al2O3 Nanoparticles. ChemCatChem 2015, 7, 3779–3787. [Google Scholar] [CrossRef]
- Lietz, G.; Lieske, H.; Spindler, H.; Hanke, W.; Völter, J. Reactions of Platinum in Oxygen- and Hydrogen-Treated Pt/γ-Al2O3 catalysts, II. Ultraviolet-Visible Studies, Sintering of Platinum, and Soluble Platinum. J. Catal. 1983, 81, 17–25. [Google Scholar] [CrossRef]
- Arve, K.; Capek, L.; Klingstedt, F.; Eränen, K.; Lindfors, L.E.; Murzin, D.Y. Preparation and characterisation of Ag/alumina catalysts for the removal of NOx emissions under oxygen rich conditions. Top. Catal. 2004, 30, 91–95. [Google Scholar] [CrossRef]
- Hu, L.; Boateng, K.A.; Hill, J.M. Sol–gel synthesis of Pt/Al2O3 catalysts: Effect of Pt precursor. J. Mol. Catal. A Chem. 2006, 259, 51–60. [Google Scholar] [CrossRef]
- Wichterlova, B.; Sazama, P.; Breen, J.P.; Burch, R.; Hill, C.J.; Capek, L.; Sobalik, Z. An in situ UV–vis and FTIR spectroscopy study of the effect of H2 and CO during the selective catalytic reduction of nitrogen oxides over a silver alumina catalyst. J. Catal. 2005, 235, 195–200. [Google Scholar] [CrossRef]
- Xu, G.; Ma, J.; He, G.; Yu, Y.; He, H. An alumina-supported silver catalyst with high water tolerance for H2 assisted C3H6-SCR of NOx. Appl. Catal. B Environ. 2017, 207, 60–71. [Google Scholar] [CrossRef]
- Contreras, J.L.; Salmones, J.; Colín, L.J.A.; Nuño, L.; Quintana, B.; Córdova, I.; Zeifert, B.; Tapia, C.; Fuentes, G.A. Catalysts for H2 production using the ethanol steam reforming (Review). Int. J. Hydrog. Energy 2014, 39, 18835–18853. [Google Scholar] [CrossRef]
- Henglein, A. Physicochemical properties of small metal particles in solution: “Microelectrode” reactions, chemisorption, composite metal particles, and the atom-to-metal transition. J. Phys. Chem. 1993, 97, 5457–5471. [Google Scholar] [CrossRef]
- Sawatmongkhon, B.; Tsolakis, A.; Sitshebo, S.; Rodríguez-Fernández, J.; Ahmadinejad, M.; Collier, J.; Rajaram, R.R. Understanding the Ag/Al2O3 hydrocarbon-SCR Catalyst deactivation through TG/DT analyses of different configurations. Appl. Catal. B 2010, 97, 317–380. [Google Scholar] [CrossRef]
- Akil, J.; Siffert, S.; Roy Laurence, P.; Debecker, D.P.; Devred, F.; Cousin, R.; Poupin, C. Effect of precios metal son NO reduction 1220 by CO in oxidative conditions. Appl. Sci. 2020, 10, 3042. [Google Scholar] [CrossRef]
- Tauster, S.; Murrell, L. The NO–CO reaction in the presence of excess O2 as catalyzed by iridium. J. Catal. 1976, 41, 192–195. [Google Scholar] [CrossRef]
- Voltz, S.E.; Morgan, C.R.; Liederman, D.; Jacobs, S.M. Kinetic study of carbon monoxide and propylene oxidation on platinum catalysts. Ind. Eng. Chem. Prod. Res. Dev. 1973, 12, 294–301. [Google Scholar] [CrossRef]
- Jablonska, M.; Hernández, A.O.; Dornseiffer, J.; Grams, J.; Guo, A.; Simon, U.; Gläser, R. Selective catalytic reduction of NO with H2 over Pt/Pd container catalysts on silica-based supports. Catalysts 2025, 15, 483. [Google Scholar] [CrossRef]
- Valentini, M.; Groppi, G.; Cristiani, C.; Levi, M.; Tronconi, E.; Forzatti, P. The deposition of γ-Al2O3 layers on ceramic and metallic supports for the preparation of structured catalysts. Catal. Today 2001, 69, 307–314. [Google Scholar] [CrossRef]
- Leyrer, J.; Lindner, D.; Lox, E.; Kreuzer, T.; Müller, W.; Domesle, R. Diesel Catalytic Converter. U.S. Patent No. 5,928,981A, 27 July 1999. [Google Scholar]
- Hayes, R.E.; Kolaczkowski, S.T. Mass and heat transfer effects in catalytic monolith reactors. Chem. Eng. Sci. 1994, 49, 3587–3599. [Google Scholar] [CrossRef]
- Leung, D.; Hayes, R.E.; Kolaczkowski, S.T. Diffusion limitation effects in the washcoat of a catalytic monolith Reactor. Can. J. Chem. Eng. 1996, 74, 94–103. [Google Scholar] [CrossRef]
- Tomašić, V.; Gomzi, Z. Experimental and theoretical study of NO decomposition in a catalytic monolith reactor. Chem. Eng. Process. 2004, 43, 765–774. [Google Scholar] [CrossRef]
- Hayes, R.E.; Kolaczkowski, S.T.; Li, P.K.C.; Awdry, S. The palladium catalyzed oxidation of methane: Reaction kinetics and the effect of diffusion barriers. Chem. Eng. Sci. 2001, 56, 4815–4835. [Google Scholar] [CrossRef]
- Chen, J.; Yang, H.; Wang NRing, Z.; Dabros, T. Mathematical modeling of monolith catalysts and reactors for gas phase reactions. Appl. Catal. A Gen. 2008, 345, 1–11. [Google Scholar] [CrossRef]
- Kolaczkowski, S.T. Modelling catalytic combustion in monolith reactors-challenges faced. Catal. Today 1999, 47, 209–218. [Google Scholar] [CrossRef]
- Bhattacharya, M.; Harold, M.P.; Balakotaiah, V. Mass-transfer coefficients in washcoated monoliths. AIChE J. 2004, 50, 2939–2955. [Google Scholar] [CrossRef]
- Bennett, C.J.; Kolaczkowski, S.T.; Thomas, W.J. Determination of heterogeneous reaction kinetics and reaction rates un-der mass transfer controlled conditions for a monolith reactor. Trans. Inst. Chem. Eng. 1991, 69, 209–220. [Google Scholar]
- Holmgren, A.; Andersson, B. Mass transfer in monolith catalysts–CO oxidation experiments and simulations. Chem. Eng. Sci. 1998, 53, 2285–2298. [Google Scholar] [CrossRef]
- Tomašić, V.; Gomzi, Z.; Zrnčević, S. Reaction and mass transfer effects in a catalytic monolith reactor. React. Kinet. Catal. Lett. 2002, 77, 245–253. [Google Scholar] [CrossRef]
- Groppi, G.; Belloli, A.; Tronconi, E.; Forzatti, P. A comparison of lumped and distributed models of monolith catalytic combustors. Chem. Eng. Sci. 1995, 50, 2705–2715. [Google Scholar] [CrossRef]
- Gupta, N.; Balakotaiah, V. Heat and mass transfer coefficients in catalytic monoliths. Chem. Eng. Sci. 2001, 56, 4771–4786. [Google Scholar] [CrossRef]
- Fogler, S.H. Elements of Chemical Reaction Engineering, 3rd ed.; Prentice Hall Inc.: Hoboken, NJ, USA, 1999; pp. 738–758. [Google Scholar]























| Catalyst Name | Key | Fresh | Evaluated | ||||
|---|---|---|---|---|---|---|---|
| SBET (a) (m2/g) | Vp (b) (cm3/g) | Dp (c) (Å) | SBET (m2/g) | Vp (cm3/g) | Dp (Å) | ||
| Al2O3-WOx/Cordierite | AW/CRTA | 55.89 | 0.09 | 28.59 | --- | --- | --- |
| 0.1Pt-2Ag/Al2O3-WOx/Cordierite | CAT.1 | 20.90 | 0.03 | 66.62 | 10.41 | 0.02 | 38.94 |
| 0.1Pt-2Ag/Al2O3-WOx/Cordierite | CAT.2 | 20.64 | 0.03 | 55.26 | 10.39 | 0.02 | 48.13 |
| 0.1Pt-2Ag/Al2O3-WOx/Cordierite | CAT.3 | 21.00 | 0.03 | 59.00 | 15.20 | 0.02 | 33.45 |
| 0.1Pt-2Ag/Al2O3-WOx/Cordierite | CAT.4 | 18.39 | 0.06 | 42.91 | 12.74 | 0.04 | 39.02 |
| 2Ag/Al2O3-WOx/Cordierite | CAT.5 | 47.55 | 0.07 | 63.58 | 26.33 | 0.04 | 32.43 |
| 0.1Pt-2Ag/Al2O3-WOx/Cordierite | CAT.6 | 25.54 | 0.04 | 39.00 | 12.91 | 0.03 | 36.65 |
| Catalyst | Peak 1 | Peak 2 | Peak 3 | Total, H2 (μmolH2/g) | H2/(Pt or Ag) |
|---|---|---|---|---|---|
| 1PtAg/AW | ------ | 208 °C (112.94) | 430 °C (8.35) | 121.3 | 2.36 |
| 0.25PtAg/AW | 65 °C (3.1) | 120 °C (25.52) | 430 °C (4.21) | 32.8 | 2.5 |
| 0.1PtAg/AW | 83 °C (9.16) | 137 °C (2.6) | 477 °C (0.166) | 11.93 | 2.34 |
| 0.4Pt/A | 83 °C (49) | ------ | ------ | 49 | 2.24 |
| 0.4Pt/AW | ------ | 180 °C (46) | ------ | 46 | 2.39 |
| Ag/AW | 101 °C (41.7) | 291 °C (29) | ------ | 70.7 | 0.378 |
| Catalysts | %DPt (a) | %DPt (b) |
|---|---|---|
| CAT.1 | 76.8 | 73.47 |
| CAT.2 | 70.8 | 34 |
| CAT.3 | 35.4 | 30.65 |
| CAT.4 | 25.3 | 23.41 |
| CAT.6 (c) | 7.07 | 4.55 |
| Catalyst | Al2O3-WOx (g) | Average Thickness (µm) | Visualization of the Deposit, Morphology, and Texture | Color |
|---|---|---|---|---|
| CAT.1 | 2.97 (17.4%) | 28.3 | Greater layer uniformity; the layers are well-defined and homogeneous | Black and beige |
| CAT.2 | 2.33 (13.74%) | 20.0 | Greater layer uniformity; the layers are well-defined and homogeneous. | Beige |
| CAT.3 | 2.04 (12.0%) | 18.6 | The initial layers are uniform, while the final layer exhibited efflorescence due to the sudden water discharge | Black and beige |
| CAT.4 | 1.82 (10.7%) | 15.3 | The coating is very thin; the layers are well-defined and homogeneous. | Black and beige |
| CAT.5 | 1.99 (11.7%) | 17.1 | The coating is extremely thin, with layers that are clearly distinguishable and homogeneous | Black and beige |
| CAT.6 | 1.90 (11.2%) | 18.3 | Layer uniformity is maintained; the final layer exhibits the same effect observed in CAT.3, although to a lesser extent | Gray and beige |
Disclaimer/Publisher’s Note: The statements, opinions and data contained in all publications are solely those of the individual author(s) and contributor(s) and not of MDPI and/or the editor(s). MDPI and/or the editor(s) disclaim responsibility for any injury to people or property resulting from any ideas, methods, instructions or products referred to in the content. |
© 2025 by the authors. Licensee MDPI, Basel, Switzerland. This article is an open access article distributed under the terms and conditions of the Creative Commons Attribution (CC BY) license.
Share and Cite
Hernández, N.N.G.; Larios, J.L.C.; Soares, B.Z.; Fuentes, G.A.; Terán, M.E.H.; Medina, R.L.; Blasquez, J.S.; Beltrán, D.A.; Landeros, J.O.; Licona, L.N.; et al. Ag-Pt/Al2O3-WOx Catalysts Supported on Cordierite Honeycomb for the Reduction of NO with C3H8, CO, and H2. Catalysts 2026, 16, 11. https://doi.org/10.3390/catal16010011
Hernández NNG, Larios JLC, Soares BZ, Fuentes GA, Terán MEH, Medina RL, Blasquez JS, Beltrán DA, Landeros JO, Licona LN, et al. Ag-Pt/Al2O3-WOx Catalysts Supported on Cordierite Honeycomb for the Reduction of NO with C3H8, CO, and H2. Catalysts. 2026; 16(1):11. https://doi.org/10.3390/catal16010011
Chicago/Turabian StyleHernández, Naomi Nalleli González, José Luis Contreras Larios, Beatriz Zeifert Soares, Gustavo A. Fuentes, María Eugenia Hernández Terán, Ricardo López Medina, José Salmones Blasquez, Deyanira Angeles Beltrán, José Ortiz Landeros, Leticia Nuño Licona, and et al. 2026. "Ag-Pt/Al2O3-WOx Catalysts Supported on Cordierite Honeycomb for the Reduction of NO with C3H8, CO, and H2" Catalysts 16, no. 1: 11. https://doi.org/10.3390/catal16010011
APA StyleHernández, N. N. G., Larios, J. L. C., Soares, B. Z., Fuentes, G. A., Terán, M. E. H., Medina, R. L., Blasquez, J. S., Beltrán, D. A., Landeros, J. O., Licona, L. N., & Rosas, I. P. (2026). Ag-Pt/Al2O3-WOx Catalysts Supported on Cordierite Honeycomb for the Reduction of NO with C3H8, CO, and H2. Catalysts, 16(1), 11. https://doi.org/10.3390/catal16010011

