New Anionic Rhodium Complexes as Efficient Hydroboration and Hydrosilylation Catalysts
Abstract
1. Introduction
2. Results and Discussion
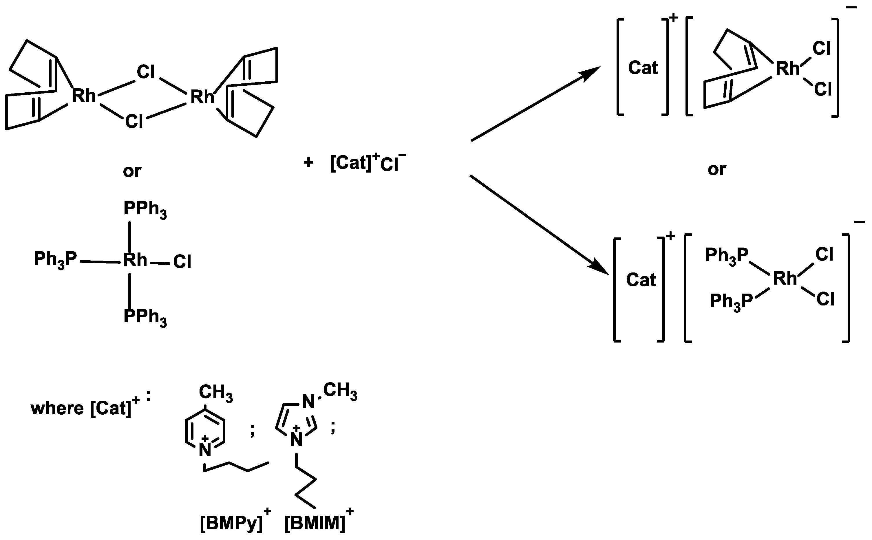
2.1. Synthesis of Anionic Rhodium(I) Complexes
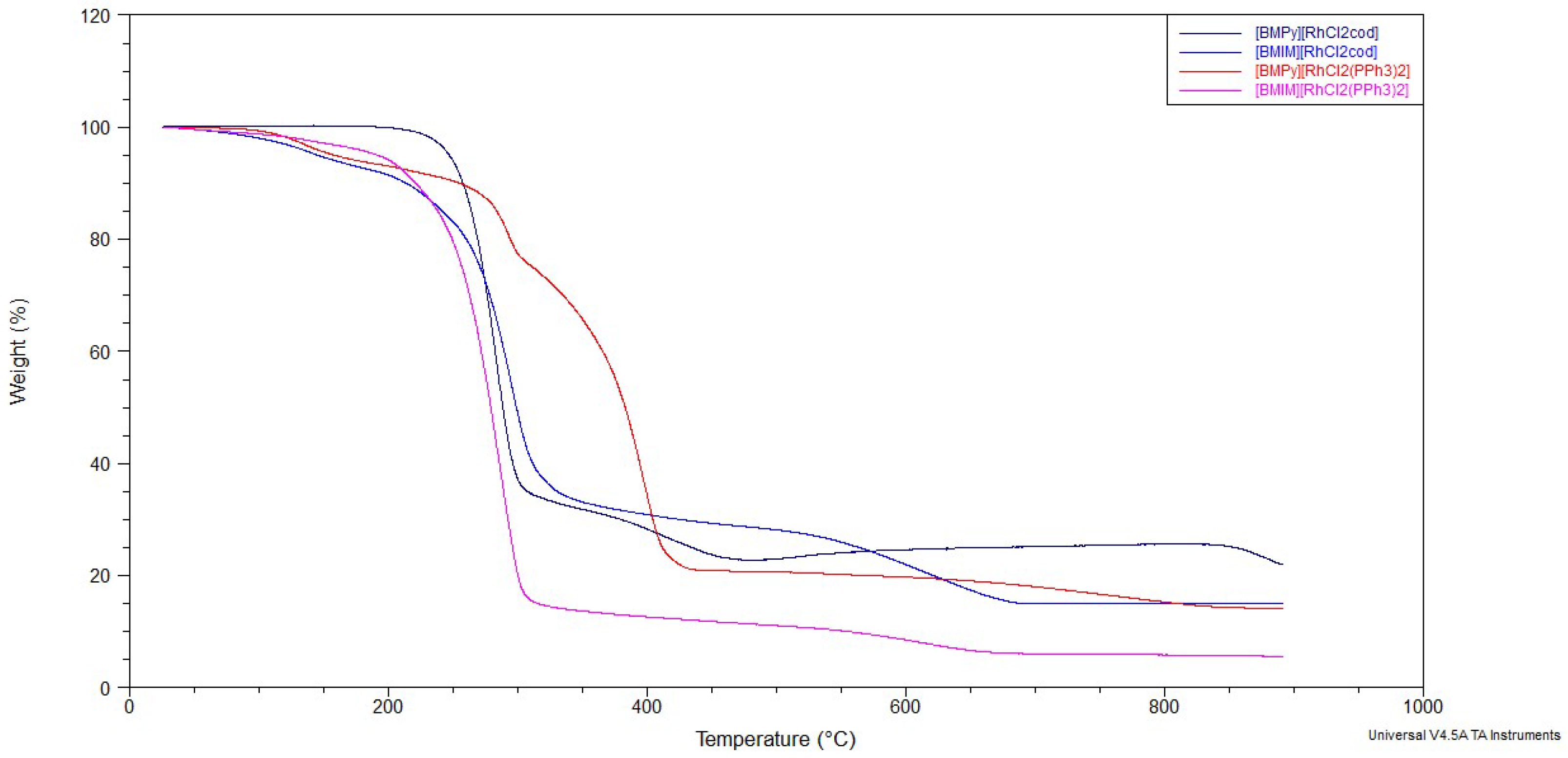
2.2. Melting Points and Thermal Stability of the Obtained Compounds
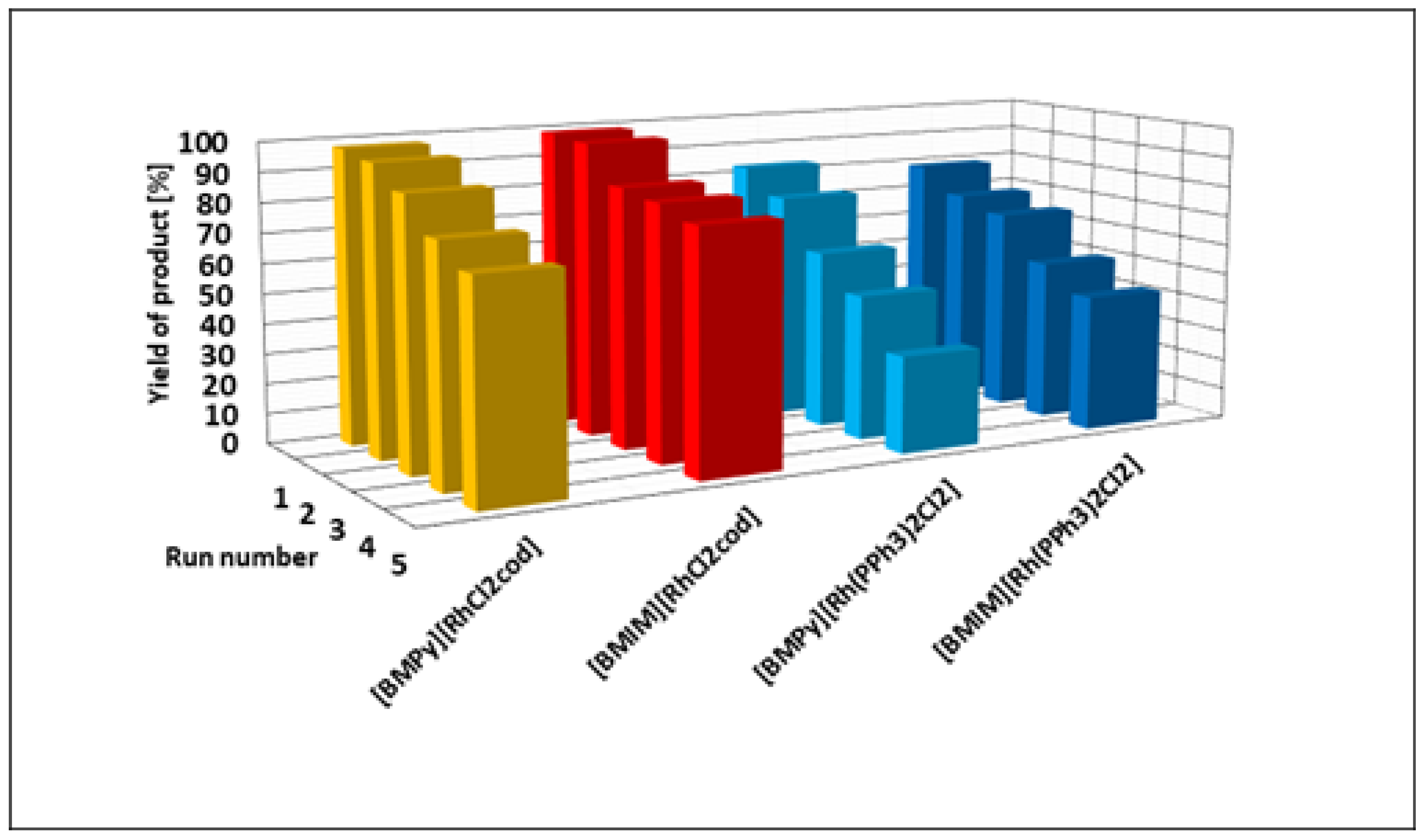
2.3. Catalysis
3. Materials and Methods
3.1. Materials
3.2. Techniques
3.2.1. GC Analysis
3.2.2. NMR Analysis
3.2.3. ICP-MS Analysis
3.2.4. ESI-MS Analysis
3.2.5. TGA
3.3. Synthesis of Rhodium Complexes
- 1-Butyl-3-methylimidazoliumDichlorobis(triphenylphosphine)rhodate(I) [BMIM][RhCl2(PPh3)2]
- 1H NMR (ACN-d6, δ, ppm): 9.12 (1H, s, N-CH=N), 7.74-7.44 (30 H, m, PPh) 7.40 (1 H, s, CH=CH), 7.37 (1 H, s, CH=CH), 4.18-4.14 (2 H, t, -N-CH2), 3.85 (3 H, s, N-CH3), 1.83-1.77 (2 H, m, J = 7.5, -CH2-), 1.32-1.29 (2 H, m, -CH2-), 0.91-0.87 (3 H, t, J = 7.5, -CH3)
- 13C NMR (ACN-d6, δ, ppm): 133.21-132.21 (Ph), 129.29 (N-CH=N), 124.09 (-CH=CH-), 122.71 (-CH=CH-), 49.73 (N-CH3), 36.37 (N-CH2), 32.19, 22.12 (CH2), 19.53, 13.24 (CH3)
- 31P NMR (ACN-d6, δ, ppm): 26.22 (PPh3)
- ESI-MS(+): 139 [BMIM]+
- ESI-MS(−): 434 [RhCl2PPh3]−, 669 [RhCl (PPh3)2]−, 703 [RhCl2(PPh3)2]−
- 1-Butyl-4-methylpyridiniumDichlorobis(triphenylphosphine)rhodate(I) [BMPy][RhCl2(PPh3)2]
- 1H NMR (ACN-d6, δ, ppm): 9.24 (2 H, d, J = 6.57 Hz, Py-H), 8.33 (2 H, d, J = 7.14 Hz, Py-H), 7.77-7.52 (30 H, m, PPh), 3.26-3.24 (2 H, t, J = 7.31 Hz, -N-CH2-), 2.96 (3 H, s, -CH3), 1.80-1.70 (2 H, m, J = 6.23, -CH2-), 1.42-1.39 (2 H, m, J = 6.18, -CH2-), 1.01-0.97 (3 H, t, J = 7.13, -CH3)
- 13C NMR (ACN-d6, δ, ppm): 131.72, 131.67, 131.63 (Ph), 128.72 (CAr), 128.60 (CAr), 65.05 (N-CH2), 25.23 (Ar-CH3), 21.28, 20.09 (CH2), 13.25 (CH3)
- 31P NMR (ACN-d6, δ, ppm): 26.34 (PPh3)
- ESI-MS(+):150.13 [BMPy]+
- ESI-MS(−): 434 [RhCl2PPh3]−, 669 [RhCl(PPh3)2]−, 703 [RhCl2(PPh3)2]−
- 1-Butyl-3-methylimidazoliumDichloro(1,5-cyclooctadiene)rhodate(I) [BMIM][Rh(Cl2)(cod)]
- 1H NMR (CDCl3, δ, ppm): 10.59 (1 H, s, N-CH=N), 7.39 (1 H, s, CH=CH), 7.30 (1 H, s, CH=CH), 4.38-4.35 (2 H, t, -N-CH2), 4.24 (2 H, m, cod =CH-), 4.13 (3 H, s, N-CH3), 2.41-2.39 (2 H, m, cod -CH2), 1.95-1.88 (2 H, m, J = 7.5, -CH2-), 1.71-1.65 (2 H, m, cod -CH2-), 1.45-1.35 (2 H, m, J = 7.5, -CH2-), 1.0-0.96 (3 H, t, J = 7.5, -CH3)
- 13C NMR (CDCl3, δ, ppm): 138.68 (N-CH=N), 122.92 (-CH=CH-), 121.33 (CH=CH), 50.03 (N-CH3), 36.71 (-N-CH2-), 32.12, 30.84 (CH2), 19.38 (cod, CH2), 12.92 (CH3)
- ESI-MS(+): 139 [BMIM]+
- ESI-MS(−): 172 [RhCl2]3−, 245 [RhCl(cod)]−, 281 [RhCl2(cod)]−
- 1-Butyl-4-methylpyridiniumDichloro(1,5-cyclooctadiene)rhodate(I) [BMPy][Rh(Cl2)(cod)]
- 1H NMR (CDCl3, δ, ppm): 9.30 (2 H, d, J = 6.57 Hz, Py-H), 8.22 (2 H, d, J =7.14 Hz, Py-H), 4.96-4.92 (2 H, t, J = 7.31 Hz, -N-CH2-), 4.23 (2 H, m, cod =CH-), 2.70 (3 H, s, -CH3), 2.42-2.40 (2 H, m, cod -CH2) 2.05-2.02 (2 H, m, J = 6.23 Hz, -CH2-), 1.71-1.69 (2 H, m, cod -CH2), 1.47-1.44 (2 H, m, J = 6.18, -CH2-), 1.02-0.98 (3 H, t J = 7.13 Hz, -CH3)
- 13C NMR (CDCl3, δ, ppm): 145.07-139.22 (CAr), 127.69 (CAr), 61.88 (N-CH2), 33.82 (cod CH2), 31.10 (Ar-CH3), 19.49, 18.77 (CH2), 13.46 (CH3)
- ESI-MS(+):150.13 [BMPy]+
- ESI-MS(−): 172 [RhCl2]3−, 245 [RhCl(cod)]−, 281 [RhCl2(cod)]−
3.4. General Procedure for Catalytic Tests
3.4.1. Hydrosilylation
- 3-octyl-1,1,1,3,5,5,5-heptametyltrisiolxane:
- 1H NMR (CDCl3, δ, ppm): 0.02 (3 H, s, Si-CH3), 0.11 (18 H, m, Si-(CH3)3), 0.48 (2 H, t, Si-CH2), 0.9 (3 H, t, CH2-CH3), 1.36-1.27 (12 H, m, aliphatic CH2)
- 13C NMR (CDCl3, δ, ppm): 0.28 (O-Si-CH3), 1.89 (Si-CH3), 14.10 (C-CH3), 17.63 (C-Si), 22.70 (Si-C-C), 23.07 (C-CH3), 29.35, 29.27 (C-C-C), 31.95 (C-C-C), 33.25 (C-C-C)
- 29Si NMR (CDCl3, δ, ppm): −2.19 (-O-Si-O-), 6.75 (OSi(CH3)3)
- 3-(3-glycidyloxypropyl)-1,1,1,3,5,5,5-heptametyltrisiloxane:
- 1H NMR (CD3CN, δ, ppm): 0.05 (3 H, m, -SiCH3), 0.13 (18 H, m, -Si(CH3)3), 0.5 (2 H, m, -Si-CH2-), 1.59 (2 H, m, J = 11.3 Hz, -Si-CH2-CH2-), 2.54 (1 H, m, J = 5.1 Hz, HC-CH2-O), 2.74 (1 H, dd, J = 5.1 Hz, HC-CH2-O); 3.08 (1 H, m, J = 6.8 Hz, HC-O-CH2-), 3.27 (1 H, dd, J = 11.5 Hz, -O-CH2-); 3.43 (2 H, m, -CH2-O-CH2-); 3.69 (1 H, m, J = 17.1 Hz, -O-CH2-);
- 13C NMR (CD3CN, δ, ppm): −1.0 (-Si-CH3), 0.37-1.39 (-Si(CH3)3); 12.77 (-Si-C-); 23.16 (-Si-C-C-); 43.56 (-C-O-C-); 50.71 (-C-O-C-); 71.41 (-O-C-C-); 73.67 (-C-C-O-);
- 29Si NMR (CD3CN, δ, ppm): −20.52 (-O-Si-O-), 8.07 (OSi(CH3)3).
3.4.2. Hydroboration
- 4,4,5,5-Tetramethyl-2-phenethyl-1,3,2-dioxaborolane
- 1H NMR (CDCl3, δ, ppm): 7.28–7.20 (4 H, m, Ar), 7.19–7.12 (1 H, m, Ar), 2.75 (2 H, t, JH-H = 8.1 Hz, ArCH2CH2Bpin) 1.22 (12 H, s, C(CH3)2), 1.15 (2 H, t, JH-H = 8.0 Hz, ArCH2CH2Bpin)
- 13C NMR (CDCl3, δ, ppm): 144.54, 128.30, 128.13, 125.62, 83.21 (C(CH3)2), 30.08 (ArCH2CH2Bpin), 24.93 (C(CH3)2), Cα to boron atom was not observed.
4. Conclusions
Supplementary Materials
Author Contributions
Funding
Data Availability Statement
Conflicts of Interest
References
- Mirghaffari, L.; Hosseininezhad, S.; Seydi, M.; Ramazani, A.; Ahankar, H.; Zhang, G. Recent Progress of Platinum and Rhodium Catalysts in Hydrosilylation Reactions. Chem. Sel. 2025, 10, e202501079. [Google Scholar] [CrossRef]
- Marciniec, B.; Maciejewski, H.; Pietraszuk, C.; Pawluć, P. Hydrosilylation. A Comprehensive Review on Recent Advances; Marciniec, B., Ed.; Springer: Berlin/Heidelberg, Germany, 2009. [Google Scholar]
- Whiting, A.; Fernández, E. Synthesis and Application of Organoboron Compounds; Springer: Cham, Switzerland, 2015. [Google Scholar]
- Lu, H.-X.; Wang, C.; Gao, T.-T.; Lin, E.-Z.; Lu, S.-L.; Hong, X.; Li, B.-J. Rhodium-Catalyzed Highly Enantioselective Hydroboration of Acyclic Tetrasubstituted Alkenes Directed by an Amide. J. Am. Chem. Soc. 2024, 146, 16194–16202. [Google Scholar] [CrossRef]
- Nakajima, Y.; Shimada, S. Hydrosilylation Reaction of Olefins: Recent Advances and Perspectives. RSC Adv. 2015, 5, 20603–20616. [Google Scholar] [CrossRef]
- Trogel, D.; Strohrer, J. Recent Advances and Actual Challenges in Late Transition Metal Catalyzed Hydrosilylation of Olefins from an Industrial Point of View. Coord. Chem. Rev. 2011, 255, 1440–1459. [Google Scholar] [CrossRef]
- Yang, H.; Zhou, Z.; Tang, C.; Chen, F. Recent Advances in Heterogeneous Hydrosilylation of Unsaturated Carbon-Carbon bonds. Chin. Chem. Lett. 2024, 35, 109257. [Google Scholar] [CrossRef]
- Walkowiak, J.; Szyling, J.; Franczyk, A.; Melen, R.L. Hydroelementation of diynes. Chem. Soc. Rev. 2022, 51, 869–994. [Google Scholar] [CrossRef]
- Szyling, J.; Szymańska, A.; Franczyk, A.; Walkowiak, J. [Pt(PPh3)4]-Catalyzed Selective Diboration of Symmetrical and Unsymmetrical 1,3-Diynes. J. Org. Chem. 2022, 87, 10651–10663. [Google Scholar] [CrossRef]
- Sokolnicki, T.; Szyling, J.; Franczyk, A.; Walkowiak, J. Regio- and Stereoselective Synthesis of Enynyl Boronates via Ruthenium-Catalyzed Hydroboration of 1,4-Diaryl-Substituted 1,3-Diynes. Adv. Synth. Catal. 2020, 362, 177–183. [Google Scholar] [CrossRef]
- Stefanowska, K.; Franczyk, A.; Szyling, J.; Salamon, K.; Marciniec, B.; Walkowiak, J. An effective hydrosilylation of alkynes in supercritical CO2—A green approach to alkenyl silanes. J. Catal. 2017, 356, 206–213. [Google Scholar] [CrossRef]
- Stefanowska, K.; Franczyk, A.; Szyling, J.; Pyziak, M.; Pawluć, P.; Walkowiak, J. Selective Hydrosilylation of Alkynes with Octaspherosilicate (HSiMe2O)8Si8O12. Chem. Asian J. 2018, 13, 2101–2108. [Google Scholar] [CrossRef]
- Stefanowska, K.; Sokolnicki, T.; Walkowiak, J.; Czapik, A.; Franczyk, A. Directed cis-hydrosilylation of borylalkynes to borylsilylalkenes. Chem. Commun. 2022, 58, 12046–12049. [Google Scholar] [CrossRef]
- Mandal, D.; Esposito, M.R.; Griffin, S.E.; Domecus, G.P.; Cohen, S.M. Selective hydrosilylation of olefins by a two-dimensional Rh(i) low-valent metal–organic framework. Chem. Commun. 2025, 61, 10526–10529. [Google Scholar] [CrossRef]
- Nath, S.; Baguli, S.; Mukherjee, D. A Hybrid Benzothiazolyl-NHC Ligand with a Flexible−CH2–Linker and Its Cationic Rh(I) Complex That Catalyzes the Olefin Hydrosilylation. Organometallics 2024, 43, 2458–2465. [Google Scholar] [CrossRef]
- Hallet, J.P.; Welton, T. Room-Temperature Ionic Liquids: Solvents for Synthesis and Catalysis 2. Chem. Rev. 2011, 111, 3508–3576. [Google Scholar] [CrossRef]
- Ozokwelu, D.; Zhang, S.; Okafor, O.C.; Cheng, W.; Litombe, N. Novel Catalytic and Separation Processes Based on Ionic Liquids; Elsevier: Amsterdam, The Netherlands, 2017. [Google Scholar]
- Dyson, P.J.; Geldbach, T.J. Metal Catalysed Reactions in Ionic Liquids; Springer: Dordrecht, The Netherlands, 2005. [Google Scholar]
- Dupont, J.; Kollar, L. Ionic Liquids (ILs) in Organometallic Catalysis; Springer: Dordrecht, The Netherlands, 2015. [Google Scholar]
- Hardacre, C.; Parvulescu, V. Catalysis in Ionic Liquids. From Catalysts Synthesis to Applications; RS: Cambridge, UK, 2014. [Google Scholar]
- Vekariya, R.L.A. A review of ionic liquids: Applications towards catalytic organic transformations. J. Mol. Liq. 2017, 227, 44–60. [Google Scholar] [CrossRef]
- Bartlewicz, O.; Dąbek, I.; Szymańska, A.; Maciejewski, H. Heterogeneous Catalysis with the Participation of Ionic Liquids. Catalysts 2020, 10, 1227. [Google Scholar] [CrossRef]
- Peng, J.J.; Li, J.; Bai, Y.; Qiu, H.; Jiang, K.; Jiang, J.; Lai, G. Ionic liquid (molten salt): Thermoregulated catalyst support for catalytic hydrosilylation process. Cat. Com. 2008, 9, 2236–2238. [Google Scholar] [CrossRef]
- Peng, J.J.; Li, J.Y.; Bai, Y.; Gao, W.H.; Qiu, H.Y.; Wu, H.; Deng, Y.; Lai, G. Rh(PPh3)3Cl/ionic liquid (molten salt) as a thermoregulated and recyclable catalytic system for hydrosilylation. J. Mol. Cat. A Chem. 2007, 278, 97–100. [Google Scholar] [CrossRef]
- Maciejewski, H.; Szubert, K.; Marciniec, B.; Pernak, J. Hydrosilylation of functionalised olefins catalysed by rhodium siloxide complexes in ionic liquids. Green Chem. 2009, 11, 1045–1051. [Google Scholar] [CrossRef]
- Jankowska-Wajda, M.; Kukawaka, R.; Smiglak, M.; Maciejewski, H. The effect of the catalyst and the type of ionic liquid on the hydrosilylation process under batch and continuous reaction conditions. N. J. Chem. 2018, 42, 5229–5236. [Google Scholar] [CrossRef]
- Maciejewski, H.; Jankowska-Wajda, M.; Dabek, I.; Fiedorow, R. The effect of the morpholinium ionic liquid anion on the catalytic activity of Rh (or Pt) complex–ionic liquid systems in hydrosilylation processes. RSC Adv. 2018, 8, 26922–26927. [Google Scholar] [CrossRef]
- Szyling, J.; Franczyk, A.; Stefanowska, K.; Maciejewski, H.; Walkowiak, J. Recyclable Hydroboration of Alkynes Using RuH@IL and RuH@IL/scCO2 Catalytic Systems. ACS Sustain. Chem. Eng. 2018, 6, 10980–10988. [Google Scholar] [CrossRef]
- Li, J.; Peng, J.; Bai, Y.; Zhang, G.; Lai, G.; Li, X. Phosphines with 2-imidazolium ligands enhance the catalytic activity and selectivity of rhodium complexes for hydrosilylation reactions. J. Org. Chem. 2010, 695, 431–436. [Google Scholar] [CrossRef]
- Li, J.; Peng, J.; Wang, D.; Bai, Y.; Jiang, J.; Lai, G. Hydrosilylation reactions catalyzed by rhodium complexes with phosphine ligands functionalized with imidazolium salts. J. Organomet. Chem. 2011, 696, 263. [Google Scholar] [CrossRef]
- Jankowska-Wajda, M.; Bartlewicz, O.; Szpecht, A.; Zając, A.; Smiglak, M.; Maciejewski, H. Platinum and rhodium complexes ligated by imidazolium-substituted phosphine as efficient and recyclable catalysts for hydrosilylation. RSC Adv. 2019, 9, 29396. [Google Scholar] [CrossRef]
- Wilkes, J.S. A short history of ionic liquids—From molten salts to neoteric solvents. Green Chem. 2002, 4, 73–80. [Google Scholar] [CrossRef]
- Jankowska-Wajda, M.; Bartlewicz, O.; Walczak, A.; Stefankiewicz, A.R.; Maciejewski, H. Highly efficient hydrosilylation catalysts based on chloroplatinate “ionic liquids”. J. Cat. 2019, 374, 266. [Google Scholar] [CrossRef]
- You, H.; Wang, Y.; Zhao, X.; Chen, S.; Liu, Y. Stable Ionic Rh (I, II, III) Complexes Ligated by an Imidazolium-Substituted Phosphine with π-Acceptor Character: Synthesis, Characterization and Application to Hydroformylation. Organometallics 2013, 32, 2698–2704. [Google Scholar] [CrossRef]
- Both, A.; Kaltwasser, F.; Priedigkeit, C.; Atwi, B.; Frey, W.; Buchmeiser, M.R.; Tallarek, U. Influence of the supported ionic-liquid layer thickness on Z-selectivity in 1-alkyne hydrosilylation under continuous flow. Catal. Sci. Technol. 2025, 15, 4012–4023. [Google Scholar] [CrossRef]
- Tejel, C.; Shi, Y.-M.; Ciriano, M.A.; Edwards, A.J.; Lahoz, F.J.; Oro, L.A. Novel Neutral and Anionic Rhodium Complexes Containing Imido Ligands. Angew. Chem. Int. Ed. 1996, 35, 633–634. [Google Scholar] [CrossRef]
- Fernandez-Bartolome, E.; Cruz, P.; Galán, L.A.; Cortijo, M.; Delgado-Martínez, P.; González-Prieto, R.; Priego, J.L.; Jiménez-Aparicio, R. Heteronuclear Dirhodium-Gold Anionic Complexes: Polymeric Chains and Discrete Units. Polymers 2020, 12, 1868. [Google Scholar] [CrossRef] [PubMed]
- Ngo, H.L.; LeCompte, K.; Hargens, L.; McEwen, A.B. Thermal properties of imidazolium ionic liquids. Termochim. Acta 2000, 357–358, 97–102. [Google Scholar] [CrossRef]
- Zhong, C.; Sasaki, T.; Jimbo-Kobayashi, A.; Fujiwara, E.; Kobayashi, A.; Tada, M.; Iwasawa, Y. Syntheses, Structures, and Properties of a Series of Metal Ion-Containing Dialkylimidazolium Ionic Liquids. Bull. Chem. Soc. Jpn. 2007, 80, 2365–2374. [Google Scholar] [CrossRef]








| Complex | Melting Point [°C] | Decomposition Temperature [°C] | Yield of Complex [%] |
|---|---|---|---|
| [BMPy][RhCl2(PPh3)2] | 142 | 255.42 | 92 |
| [BMIM][RhCl2(PPh3)2] | 141 | 221.02 | 95 |
| [BMPy][RhCl2(cod)] | 146 | 257.70 | 85 |
| [BMIM][RhCl2(cod)] | 139 | 213.88 | 82 |
| Catalyst | Yield of Product in Subsequent Cycle * [%] | Total TON |
|---|---|---|
| [BMPy][RhCl2cod] | 97 (96, 96, 96,96, 96, 96, 96, 96, 96) | 96,100 |
| [BMIM][RhCl2cod] | 97 (97, 97, 97, 97, 97, 97, 97, 97, 97) | 97,000 |
| [BMPy][Rh(PPh3)2Cl2] | 81 (64, 60, 59, 54, 54, 45, 0) | 41,700 |
| [BMIM][Rh(PPh3)2Cl2] | 92 (92, 92, 92, 92, 92, 91, 91, 91, 91) | 91,600 |
| Catalyst | Yield of Product in Subsequent Cycle * [%] | Total TON |
|---|---|---|
| [BMPy][RhCl2cod] | 72 (72, 72, 72, 72, 49, 27, 14, 6, 4) | 46,000 |
| [BMIM][RhCl2cod] | 98 (95, 95, 95, 95, 95, 95, 95, 95, 95) | 95,300 |
| [BMPy][Rh(PPh3)2Cl2] | 88 (87, 87, 85, 37, 9, 5, 3, 0) | 40,100 |
| [BMIM][Rh(PPh3)2Cl2] | 96 (95, 95, 93, 23, 10, 7, 2, 0) | 42,100 |
| Catalyst | Yield of Product (1a) in Subsequent Cycle [%] * | Total TON |
|---|---|---|
| [BMPy][RhCl2cod] | 98, 96, 89, 78, 71 | 8640 |
| [BMIM][RhCl2cod] | 99, 98, 86, 84, 80 | 8940 |
| [BMPy][Rh(PPh3)2Cl2] | 83, 75, 59, 48, 32 | 5940 |
| [BMIM][Rh(PPh3)2Cl2] | 79, 71, 67, 53, 45 | 1170 |
Disclaimer/Publisher’s Note: The statements, opinions and data contained in all publications are solely those of the individual author(s) and contributor(s) and not of MDPI and/or the editor(s). MDPI and/or the editor(s) disclaim responsibility for any injury to people or property resulting from any ideas, methods, instructions or products referred to in the content. |
© 2025 by the authors. Licensee MDPI, Basel, Switzerland. This article is an open access article distributed under the terms and conditions of the Creative Commons Attribution (CC BY) license.
Share and Cite
Jankowska-Wajda, M.; Schulmann, A.; Dąbek, I.; Rubiś, B.; Szubert, K.; Maciejewski, H. New Anionic Rhodium Complexes as Efficient Hydroboration and Hydrosilylation Catalysts. Catalysts 2026, 16, 12. https://doi.org/10.3390/catal16010012
Jankowska-Wajda M, Schulmann A, Dąbek I, Rubiś B, Szubert K, Maciejewski H. New Anionic Rhodium Complexes as Efficient Hydroboration and Hydrosilylation Catalysts. Catalysts. 2026; 16(1):12. https://doi.org/10.3390/catal16010012
Chicago/Turabian StyleJankowska-Wajda, Magdalena, Anna Schulmann, Izabela Dąbek, Błażej Rubiś, Karol Szubert, and Hieronim Maciejewski. 2026. "New Anionic Rhodium Complexes as Efficient Hydroboration and Hydrosilylation Catalysts" Catalysts 16, no. 1: 12. https://doi.org/10.3390/catal16010012
APA StyleJankowska-Wajda, M., Schulmann, A., Dąbek, I., Rubiś, B., Szubert, K., & Maciejewski, H. (2026). New Anionic Rhodium Complexes as Efficient Hydroboration and Hydrosilylation Catalysts. Catalysts, 16(1), 12. https://doi.org/10.3390/catal16010012

