Synthesis and Catalytic Activity of Cu-Co/CeO2 Catalysts in the Hydrogenation of Furfural to Pentanediols
Abstract
1. Introduction
2. Results and Discussion
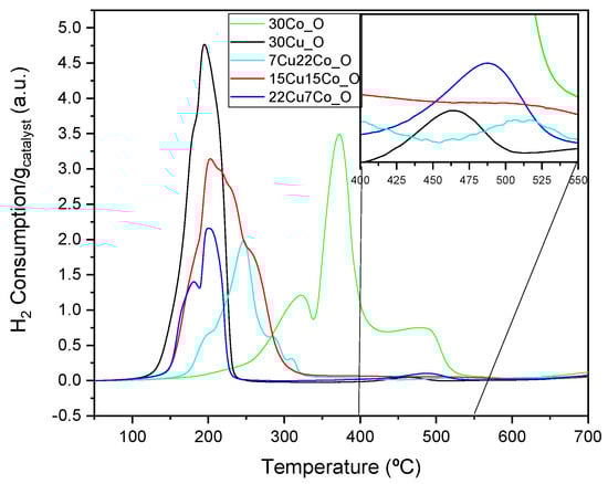
2.1. Catalysts Characterization
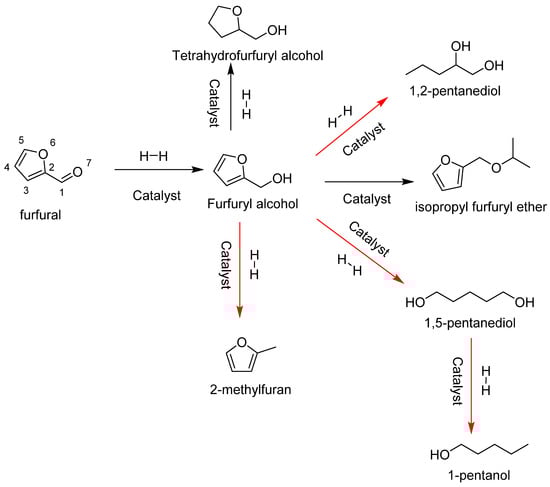
2.2. Catalytic Activity
3. Materials and Methods
3.1. Synthesis of the Catalysts
3.2. Characterization Techniques
3.3. Catalytic Analysis
4. Conclusions
Supplementary Materials
Author Contributions
Funding
Data Availability Statement
Acknowledgments
Conflicts of Interest
References
- Huang, K.; Won, W.; Barnett, K.J.; Brentzel, Z.J.; Alonso, D.M.; Huber, G.W.; Dumesic, J.A.; Maravelias, C.T. Improving Economics of Lignocellulosic Biofuels: An Integrated Strategy for Coproducing 1,5-Pentanediol and Ethanol. Appl. Energy 2018, 213, 585–594. [Google Scholar] [CrossRef]
- Global 1,5-Pentanediol Market Research Report 2024 (Status and Outlook). Available online: https://www.marketresearch.com/Bosson-Research-v4252/Global-Pentanediol-Research-Status-Outlook-36141706/ (accessed on 30 July 2025).
- 1,2-Pentanediol Market Size, Growth & Forecast to 2032. Available online: https://www.credenceresearch.com/report/1-2-pentanediol-market (accessed on 30 July 2025).
- Yamaguchi, A.; Murakami, Y.; Imura, T.; Wakita, K. Hydrogenolysis of Furfuryl Alcohol to 1,2-Pentanediol Over Supported Ruthenium Catalysts. ChemistryOpen 2021, 10, 731–736. [Google Scholar] [CrossRef] [PubMed]
- Byun, J.; Han, J. An Integrated Strategy for Catalytic Co-Production of Jet Fuel Range Alkenes, Tetrahydrofurfuryl Alcohol, and 1,2-Pentanediol from Lignocellulosic Biomass. Green Chem. 2017, 19, 5214–5229. [Google Scholar] [CrossRef]
- Bretzler, P.; Huber, M.; Nickl, S.; Köhler, K. Hydrogenation of Furfural by Noble Metal-Free Nickel Modified Tungsten Carbide Catalysts. RSC Adv. 2020, 10, 27323–27330. [Google Scholar] [CrossRef]
- Barranca, A.; Gandarias, I.; Arias, P.L.; Agirrezabal-Telleria, I. One-Pot Production of 1,5-Pentanediol from Furfural Through Tailored Hydrotalcite-Based Catalysts. Catal. Lett. 2023, 153, 2018–2025. [Google Scholar] [CrossRef]
- Kurniawan, R.G.; Karanwal, N.; Park, J.; Verma, D.; Kwak, S.K.; Kim, S.K.; Kim, J. Direct Conversion of Furfural to 1,5-Pentanediol over a Nickel–Cobalt Oxide–Alumina Trimetallic Catalyst. Appl. Catal. B 2023, 320, 121971. [Google Scholar] [CrossRef]
- Zheng, L.; McClelland, D.J.; Rehmann, K.M.S.; Barnett, K.J.; Huber, G.W.; Klier, J. Bio-Based 1,5-Pentanediol as a Replacement for Petroleum-Derived 1,6-Hexanediol for Polyester Polyols, Coatings, and Adhesives. ACS Sustain. Chem. Eng. 2022, 10, 5781–5791. [Google Scholar] [CrossRef]
- Zhao, W.; Bai, X.; Lin, X.; Tur sun, Y.; Zhong, M.; Dai, Z.; Li, J. Selective and Efficient Production of 1,5-Pentanediol from Tetrahydrofurfuryl Alcohol Using Ni-La(OH)3 Catalysts. Fuel 2023, 354, 129312. [Google Scholar] [CrossRef]
- Wang, N.; Chen, Z.; Liu, L. Acid Catalysis Dominated Suppression of Xylose Hydrogenation with Increasing Yield of 1,2-Pentanediol in the Acid-Metal Dual Catalyst System. Appl. Catal. A Gen. 2018, 561, 41–48. [Google Scholar] [CrossRef]
- Chen, K.; Mori, K.; Watanabe, H.; Nakagawa, Y.; Tomishige, K. C–O Bond Hydrogenolysis of Cyclic Ethers with OH Groups over Rhenium-Modified Supported Iridium Catalysts. J. Catal. 2012, 294, 171–183. [Google Scholar] [CrossRef]
- Koso, S.; Furikado, I.; Shimao, A.; Miyazawa, T.; Kunimori, K.; Tomishige, K. Chemoselective Hydrogenolysis of Tetrahydrofurfuryl Alcohol to 1,5-Pentanediol. Chem. Commun. 2009, 2035–2037. [Google Scholar] [CrossRef]
- Koso, S.; Ueda, N.; Shinmi, Y.; Okumura, K.; Kizuka, T.; Tomishige, K. Promoting Effect of Mo on the Hydrogenolysis of Tetrahydrofurfuryl Alcohol to 1,5-Pentanediol over Rh/SiO2. J. Catal. 2009, 267, 89–92. [Google Scholar] [CrossRef]
- Nakagawa, Y.; Tomishige, K. Production of 1,5-Pentanediol from Biomass via Furfural and Tetrahydrofurfuryl Alcohol. Catal. Today 2012, 195, 136–143. [Google Scholar] [CrossRef]
- Peng, J.; Zhang, D.; Zhang, Y.; Wu, Y.; Tian, X.; Ding, M. Selective Hydrogenolysis of Tetrahydrofurfuryl Alcohol over Ni/Y2O3 Catalyst to Produce 1,5-Pentanediol. Ind. Eng. Chem. Res. 2024, 63, 8044–8053. [Google Scholar] [CrossRef]
- Zhang, Y.; Xue, H.; Cheng, M.; Yang, X.; Zhang, Z.; Zhao, X.; Rezayan, A.; Han, D.; Wu, D.; Xu, C. Oxygen Vacancy-Induced Interfacial Lanthanum Hydride and Hydroxide Bifunctional Sites for Selective Hydrogenolysis of Furanic Compounds to Alkyl Diols. ACS Catal. 2024, 14, 10009–10021. [Google Scholar] [CrossRef]
- Al-Yusufi, M.; Michalik, D.; Kubis, C.; Murayama, T.; Ishida, T.; Abdel-Mageed, A.M.; Köckritz, A. Ring–Opening Mechanism of O-Heterocycles into α,ω-Diols over Ni−La(OH)3: C−O Bond Hydrogenolysis of THFA to 1,5-Pentanediol as a Case Study. ChemCatChem 2024, 16, e202400008. [Google Scholar] [CrossRef]
- Al-Yusufi, M.; Steinfeldt, N.; Eckelt, R.; Atia, H.; Lund, H.; Bartling, S.; Rockstroh, N.; Köckritz, A. Efficient Base Nickel-Catalyzed Hydrogenolysis of Furfural-Derived Tetrahydrofurfuryl Alcohol to 1,5-Pentanediol. ACS Sustain. Chem. Eng. 2022, 10, 4954–4968. [Google Scholar] [CrossRef]
- Wijaya, H.W.; Kojima, T.; Hara, T.; Ichikuni, N.; Shimazu, S. Synthesis of 1,5-Pentanediol by Hydrogenolysis of Furfuryl Alcohol over Ni–Y2O3 Composite Catalyst. ChemCatChem 2017, 9, 2869–2874. [Google Scholar] [CrossRef]
- Xiang, T.; Dai, D.; Li, X.; Liu, D.; Feng, C.; Dai, P.; Li, L.; Gu, X.; Liu, Y. In Situ Self-Derived Co/CoOx Active Sites from Co-TCPP for the Efficient Hydrogenolysis of Furfuryl Alcohol to 1,5-Pentanediol. Appl. Catal. B 2024, 348, 123841. [Google Scholar] [CrossRef]
- Peng, J.; Zhang, D.; Wu, Y.; Wang, H.; Tian, X.; Ding, M. Selectivity Control of Furfuryl Alcohol Upgrading to 1,5-Pentanediol over Hydrotalcite-Derived Ni-Co-Al Catalyst. Fuel 2023, 332, 126261. [Google Scholar] [CrossRef]
- Sulmonetti, T.P.; Hu, B.; Lee, S.; Agrawal, P.K.; Jones, C.W. Reduced Cu-Co-Al Mixed Metal Oxides for the Ring-Opening of Furfuryl Alcohol to Produce Renewable Diols. ACS Sustain. Chem. Eng. 2017, 5, 8959–8969. [Google Scholar] [CrossRef]
- Wang, J.; Liu, D.; Yao, X.; Fu, J.; Jia, S.; Huang, J. Effect of Potassium in Copper Catalysts on Selective C–O Bond Activation of Furfuryl Alcohol. Appl. Catal. A Gen. 2024, 676, 119675. [Google Scholar] [CrossRef]
- Liu, D.; Fu, J.; Wang, J.; Zhu, X.; Xu, J.; Zhao, Y.; Huang, J. Interfacial Synergy within Bimetallic Oxide Promotes Selective Hydrogenolysis of Furfuryl Alcohol to 1,5-Pentanediol. Appl. Surf. Sci. 2024, 642, 158571. [Google Scholar] [CrossRef]
- Zhou, K.; Zhang, Y.; Zhang, M.; Rezayan, A.; Quan, Z.; Han, D.; Wang, J.; Wu, D.; Xu, C. Highly Efficient Conversion of Biomass-Derived Furanic Compounds into Alkyl Diols by Selective Hydrogenolysis Using Non-Noble Metal Catalysts with Tunable Surface Oxygen Vacancies. Chem. Eng. J. 2024, 492, 152347. [Google Scholar] [CrossRef]
- Yang, Y.; Liu, Q.; Liu, Z. Selective Hydrogenolysis of Furfuryl Alcohol to Pentanediol over Pt Supported on MgO. Catalysts 2024, 14, 223. [Google Scholar] [CrossRef]
- Dai, D.; Feng, C.; Wang, M.; Du, Q.; Liu, D.; Pan, Y.; Liu, Y. Ring-Opening of Furfuryl Alcohol to Pentanediol with Extremely High Selectivity over Cu/MFI Catalysts with Balanced Cu0-Cu+ and Brønsted Acid Sites. Catal. Sci. Technol. 2022, 12, 5879–5890. [Google Scholar] [CrossRef]
- Dai, D.; Shi, Y.; Feng, C.; Liu, D.; Liu, Y. Ring-Opening of Furfuryl Alcohol to Pentanediol with Hierarchically Structured Cu-MFI Catalysts. Microporous Mesoporous Mater. 2023, 351, 112484. [Google Scholar] [CrossRef]
- Zhu, Y.; Li, B.; Zhao, C. Cu Nanoparticles Supported on Core–Shell MgO-La2O3 Catalyzed Hydrogenolysis of Furfuryl Alcohol to Pentanediol. J. Catal. 2022, 410, 42–53. [Google Scholar] [CrossRef]
- Liu, H.; Huang, Z.; Zhao, F.; Cui, F.; Li, X.; Xia, C.; Chen, J. Efficient Hydrogenolysis of Biomass-Derived Furfuryl Alcohol to 1,2- and 1,5-Pentanediols over a Non-Precious Cu-Mg3AlO4.5 Bifunctional Catalyst. Catal. Sci. Technol. 2016, 6, 668–671. [Google Scholar] [CrossRef]
- Ding, X.; Quan, Y.; Wu, S.; Ren, J. Selective Hydrogenolysis of Furfuryl Alcohol to 1,2-Pentanediol over CuMg Supported on Mesoporous Silica: Effect of Pore Size and Shape. Fuel 2025, 380, 133124. [Google Scholar] [CrossRef]
- Shao, Y.; Wang, J.; Du, H.; Sun, K.; Zhang, Z.; Zhang, L.; Li, Q.; Zhang, S.; Liu, Q.; Hu, X. Importance of Magnesium in Cu-Based Catalysts for Selective Conversion of Biomass-Derived Furan Compounds to Diols. ACS Sustain. Chem. Eng. 2020, 8, 5217–5228. [Google Scholar] [CrossRef]
- Lee, J.; Burt, S.P.; Carrero, C.A.; Alba-Rubio, A.C.; Ro, I.; O’Neill, B.J.; Kim, H.J.; Jackson, D.H.K.; Kuech, T.F.; Hermans, I.; et al. Stabilizing Cobalt Catalysts for Aqueous-Phase Reactions by Strong Metal-Support Interaction. J. Catal. 2015, 330, 19–27. [Google Scholar] [CrossRef]
- Li, Y.; Shen, Y.; Zhang, J.; Chen, C.; Zhang, X.; Geng, B.; Wang, G. Sustainable Production of Bio-Based Pentanediol from Ring-Opening Hydrogenolysis of Furan Derivative over Hydrotalcite-Derived Mixed Metal Oxide Catalyst. Fuel 2025, 387, 134398. [Google Scholar] [CrossRef]
- Nimbalkar, A.S.; Oh, K.R.; Hong, D.Y.; Park, B.G.; Lee, M.; Hwang, D.W.; Awad, A.; Upare, P.P.; Han, S.J.; Hwang, Y.K. Continuous Production of 1,2-Pentanediol from Furfuryl Alcohol over Highly Stable Bimetallic Ni-Sn Alloy Catalysts. Green Chem. 2024, 26, 11164–11176. [Google Scholar] [CrossRef]
- Zhang, B.; Zhu, Y.; Ding, G.; Zheng, H.; Li, Y. Selective Conversion of Furfuryl Alcohol to 1,2-Pentanediol over a Ru/MnOx Catalyst in Aqueous Phase. Green Chem. 2012, 14, 3402–3409. [Google Scholar] [CrossRef]
- Götz, D.; Lucas, M.; Claus, P. C-O Bond Hydrogenolysis: Vs. CC Group Hydrogenation of Furfuryl Alcohol: Towards Sustainable Synthesis of 1,2-Pentanediol. React. Chem. Eng. 2016, 1, 161–164. [Google Scholar] [CrossRef]
- Wang, J.; Zhu, S.; He, Y.; Fan, G.; Li, X.; Jia, X.; Dong, M.; Fan, W. Pt/MgxAlOy Bifunctional Catalysts with Various Mg/Al Ratios for Selective Hydrogenation of Furfural Alcohol to 1,2-Pentanediol. Catal. Today 2024, 433, 114647. [Google Scholar] [CrossRef]
- Upare, P.P.; Kim, Y.; Oh, K.R.; Han, S.J.; Kim, S.K.; Hong, D.Y.; Lee, M.; Manjunathan, P.; Hwang, D.W.; Hwang, Y.K. A Bimetallic Ru3Sn7 Nanoalloy on ZnO Catalyst for Selective Conversion of Biomass-Derived Furfural into 1,2-Pentanediol. ACS Sustain. Chem. Eng. 2021, 9, 17242–17253. [Google Scholar] [CrossRef]
- Tong, T.; Liu, X.; Guo, Y.; Norouzi Banis, M.; Hu, Y.; Wang, Y. The Critical Role of CeO2 Crystal-Plane in Controlling Pt Chemical States on the Hydrogenolysis of Furfuryl Alcohol to 1,2-Pentanediol. J. Catal. 2018, 365, 420–428. [Google Scholar] [CrossRef]
- Xu, W.; Wang, H.; Liu, X.; Ren, J.; Wang, Y.; Lu, G. Direct Catalytic Conversion of Furfural to 1,5-Pentanediol by Hydrogenolysis of the Furan Ring under Mild Conditions over Pt/Co2AlO4 Catalyst. Chem. Commun. 2011, 47, 3924–3926. [Google Scholar] [CrossRef]
- Liu, S.; Amada, Y.; Tamura, M.; Nakagawa, Y.; Tomishige, K. Performance and Characterization of Rhenium-Modified Rh-Ir Alloy Catalyst for One-Pot Conversion of Furfural into 1,5-Pentanediol. Catal. Sci. Technol. 2014, 4, 2535–2549. [Google Scholar] [CrossRef]
- Pisal, D.S.; Yadav, G.D. Single-Step Hydrogenolysis of Furfural to 1,2-Pentanediol Using a Bifunctional Rh/OMS-2 Catalyst. ACS Omega 2019, 4, 1201–1214. [Google Scholar] [CrossRef] [PubMed]
- Liu, S.; Amada, Y.; Tamura, M.; Nakagawa, Y.; Tomishige, K. One-Pot Selective Conversion of Furfural into 1,5-Pentanediol over a Pd-Added Ir-ReOx/SiO2 Bifunctional Catalyst. Green Chem. 2014, 16, 617–626. [Google Scholar] [CrossRef]
- Tian, Y.; Xie, W.; Yang, Z.; Yu, Z.; Huang, R.; Luo, L.; Zuo, M.; Li, Z.; Lin, L.; Zeng, X. Efficient and Selective Upgrading of Biomass-Derived Furfural into 1,5 Pentanediol by Co2+ Etched ZIF-8 Derived ZnCo Layered Double Hydroxides Nanoflake. Chem. Eng. J. 2024, 493, 152669. [Google Scholar] [CrossRef]
- Wang, S.; Zhang, J.; Zhang, Y. Trace Iron-Modified CeO2-Supported Core-Shell CoO@Co Catalyst for Selective Conversion of Furfural to 1,5-Pentanediol. ChemSusChem 2025, 18, e202401938. [Google Scholar] [CrossRef]
- Wang, F.; Zhao, K.; Xu, Q.; Yin, D.; Liu, X. Efficient One-Pot Transformation of Furfural to Pentanediol over Cu-Modified Cobalt-Based Catalysts. Bioresour. Technol. 2024, 403, 130858. [Google Scholar] [CrossRef]
- Liang, Y.; Zuo, J.; Cai, Z.; Lin, J.; Liu, Z. Highly Efficient CuCoLa Catalyst for the Direct Hydrogenation of Furfural to Pentanediols. Catal. Lett. 2024, 154, 5745–5756. [Google Scholar] [CrossRef]
- Oh, R.; Huang, X.; Hayward, J.; Zheng, Y.; Chen, M.; Park, G.S.; Hutchings, G.; Kim, S.K. Insights into CeO2 Particle Size Dependent Selectivity Control for CO2 Hydrogenation Using Co/CeO2 Catalysts. ACS Catal. 2024, 14, 897–906. [Google Scholar] [CrossRef]
- Cavani, F.; Trifirb, F.; Vaccari, A. Hydrotalcite-Type Anlonlc Clays: Preparation, Properties and Applications. Catal. Today 1991, 1991, 173–301. [Google Scholar] [CrossRef]
- Rojas, R. Effect of Particle Size on Copper Removal by Layered Double Hydroxides. Chem. Eng. J. 2016, 303, 331–337. [Google Scholar] [CrossRef]
- Rico, M.J.O.; Moreno-Tost, R.; Jiménez-López, A.; Rodríguez-Castellón, E.; Pereñíguez, R.; Caballero, A.; Holgado, J.P. Study of Nanoporous Catalysts in the Selective Catalytic Reduction of NOx. Catal. Today 2010, 158, 78–88. [Google Scholar] [CrossRef]
- Park, P.W.; Ledford, J.S. Effect of Crystallinity on the Photoreduction of Cerium Oxide: A Study of CeO2 and Ce/Al2O3 Catalysts. Langmuir 1996, 12, 1794–1799. [Google Scholar] [CrossRef]
- Mullins, D.R.; Overbury, S.H.; Huntley, D.R. Electron Spectroscopy of Single Crystal and Polycrystalline Cerium Oxide Surfaces. Surf. Sci. 1998, 409, 307–319. [Google Scholar] [CrossRef]
- Romeo, M.; Bak, K.; El Fallah, J.; Le Normand, F.; Hilaire, L. XPS Study of the Reduction of Cerium Dioxide. Surf. Interface Anal. 1993, 20, 508–512. [Google Scholar] [CrossRef]
- Pfau, A.; Schierbaum, K.D. The Electronic Structure of Stoichiometric and Reduced CeO, Surfaces: An XPS, UPS and HREELS Study. Surf. Sci. 1994, 321, 71–80. [Google Scholar] [CrossRef]
- Hai, X.-Q.; Tan, J.-J.; He, J.; Yang, X.-L.; NA, Y.-F.; Wang, Y.-Z.; Zhao, Y.-X. Hydrogenation of Furfural to 1,5-Pentanediol over CuCo Bimetallic Catalysts. Ranliao Huaxue Xuebao/J. Fuel Chem. Technol. 2023, 51, 959–969. [Google Scholar] [CrossRef]
- Khassin, A.A.; Yurieva, T.M.; Kaichev, V.V.; Bukhtiyarov, V.I.; Budneva, A.A.; Paukshtis, E.A.; Parmon, V.N. Metal-Support Interactions in Cobalt-Aluminum Co-Precipitated Catalysts: XPS and CO Adsorption Studies. J. Mol. Catal. A: Chem. 2001, 175, 189–204. [Google Scholar] [CrossRef]
- Das, D.; Prakash, J.; Goutam, U.K.; Manna, S.; Gupta, S.K.; Sudarshan, K. Oxygen Vacancy and Valence Engineering in CeO2 through Distinct Sized Ion Doping and Their Impact on Oxygen Reduction Reaction Catalysis. Dalton Trans. 2022, 51, 18572–18582. [Google Scholar] [CrossRef]
- Ricci, L.S.; Lucas, M.A.; de Souza, J.C.P.; Possato, L.G. Evaluation of Properties Changes by the Addition of Surfactant in the Synthesis of Ni/CeO2. Mater. Res. 2024, 27, e20240149. [Google Scholar] [CrossRef]
- Zhu, L.; Liu, Y.; Gao, Y.; Ding, N.; Wang, D.; Long, L.; Wang, B.; Lang, J.; Vovk, E.I.; Yang, Y. Mechanistic Understanding of Dissociated Hydrogen in Cu/CeO2-Catalyzed Methanol Synthesis. ACS Appl. Mater. Interfaces 2025, 17, 7151–7163. [Google Scholar] [CrossRef]
- Pope, D.; Walker, D.S.; W-halley, L.; Moss, R.L. Measurement of Dispersion in Silica-Supported Cobalt Oxide Catalysts. J. Catal. 1973, 31, 335–345. [Google Scholar] [CrossRef]
- Reuel, R.C.; Bartholomew, C.H. The Stoichiometries of H2 and CO Adsorptions on Cobalt: Effects Support and Preparation. J. Catal. 1984, 85, 63–77. [Google Scholar] [CrossRef]
- Chen, S.; Cao, T.; Gao, Y.; Li, D.; Xiong, F.; Huang, W. Probing Surface Structures of CeO2, TiO2, and Cu2O Nanocrystals with CO and CO2 Chemisorption. J. Phys. Chem. C 2016, 120, 21472–21485. [Google Scholar] [CrossRef]
- Binet, C.; Daturi, M.; Lavalley, J.-C. IR Study of Polycrystalline Ceria Properties in Oxidised and Reduced States. Catal. Today 1999, 50, 207–225. [Google Scholar] [CrossRef]
- Evtushkova, A.; Heinrichs, J.M.J.J.; Parastaev, A.; Kosinov, N.; Hensen, E.J.M. Flame Synthesized Co-CeO2 Catalysts for CO2 Methanation. ACS Catal. 2025, 15, 11217–11231. [Google Scholar] [CrossRef]
- Busca, G.; Guidetti, R.; Lorenzelli, V. Fourier-Transform Infrared Study of the Surface Properties of Cobalt Oxides. J. Chem. Soc. Faraday Trans. 1990, 86, 989–994. [Google Scholar] [CrossRef]
- Wang, W.W.; Yu, W.Z.; Du, P.P.; Xu, H.; Jin, Z.; Si, R.; Ma, C.; Shi, S.; Jia, C.J.; Yan, C.H. Crystal Plane Effect of Ceria on Supported Copper Oxide Cluster Catalyst for CO Oxidation: Importance of Metal-Support Interaction. ACS Catal. 2017, 7, 1313–1329. [Google Scholar] [CrossRef]
- Chen, C.; Ren, H.; He, Y.; Zhan, Y.; Au, C.; Luo, Y.; Lin, X.; Liang, S.; Jiang, L. Unraveling the Role of Cu0 and Cu+ Sites in Cu/SiO2 Catalysts for Water-Gas Shift Reaction. ChemCatChem 2020, 12, 4672–4679. [Google Scholar] [CrossRef]
- Zhang, J.; Ding, G.; Jin, Y.; Wei, L.; Li, X.; Wang, D.; Zhu, Y.; Li, Y. Stabilizing the Interfacial Cu0-Cu+ Dual Sites toward Furfural Hydrodeoxygenation to 2-Methylfuran via Fabricating Nest-like Copper Phyllosilicate Precursor. Fuel 2023, 337, 127212. [Google Scholar] [CrossRef]
- Fu, Q.; Yan, L.; Liu, D.; Zhang, S.; Jiang, H.; Xie, W.; Yang, L.; Wang, Y.; Wang, H.; Zhao, X. Highly-Dispersed Surface NiO Species and Exposed Ni (200) Facets Facilitating Activation of Furan Ring for High-Efficiency Total Hydrogenation of Furfural. Appl. Catal. B 2024, 343, 123501. [Google Scholar] [CrossRef]
- Liu, S.; He, Y.; Fu, W.; Ren, J.; Chen, J.; Chen, H.; Sun, R.; Tang, Z.; Mebrahtu, C.; Zeng, F. Synergy of Co0-Co2+ in Cobalt-Based Catalysts for CO2 Hydrogenation: Quantifying via Reduced and Exposed Atoms Fraction. Appl. Catal. A Gen. 2024, 670, 119549. [Google Scholar] [CrossRef]
- Xi, N.; Li, Q.; Chen, Y.; Bao, R.; Wang, Q.; Lin, Y.; Yue, J.; Wang, R.; Yang, C.; Yin, W.; et al. Reduced Mixed Ni-Co-Al Metal Oxide Catalysts with Rich Oxygen Vacancy Derived from Layered Double Hydrotalcite for Selective Hydrogenation of Furfuryl Alcohol to 1,5-Pentanediol. Chem. Eng. J. 2025, 512, 162222. [Google Scholar] [CrossRef]
- Li, Y.; Zhang, J.; Zhang, W.; Zhou, C.; Huang, J.; Su, Z.; Qiao, Z.; Qin, X.; Xiong, P.; Xiao, F.S. Carbothermal Shock Synthesis of a PtCoCe Ternary Oxide Catalyst for Selective Hydrogenolysis of Furfural to 1,5-Pentanediol. ACS Catal. 2025, 15, 7731–7740. [Google Scholar] [CrossRef]
- Liao, X.; Zhang, Y.; Hill, M.; Xia, X.; Zhao, Y.; Jiang, Z. Highly Efficient Ni/CeO2 Catalyst for the Liquid Phase Hydrogenation of Maleic Anhydride. Appl. Catal. A Gen. 2014, 488, 256–264. [Google Scholar] [CrossRef]
- Li, Y.; Shen, Q.; Nian, Y.; Wang, F.; Zhang, X.; Zhang, Z.; Bing, C.; Fan, X.; Ahishakiye, R. Promoting Effect of Oxygen Vacancies in Co/CoAl2O4 Catalyst Steered with a Straightforward Method on Hydrogenation of Furfural to 2-Methylfuran. Appl. Catal. B 2024, 343, 123529. [Google Scholar] [CrossRef]
- Chen, X.; Li, R.; Hu, Z.; Zhong, Y.; Hu, D.; Liang, C. Selective Hydrogenolysis of Furfural-Derived Tetrahydrofurfuryl Alcohol to 1,5-Pentanediol over Ni-Co/La(OH)x Bimetallic Catalysts. Fuel 2025, 383, 133905. [Google Scholar] [CrossRef]
- Ren, Z.; Younis, M.N.; Li, C.; Li, Z.; Yang, X.; Wang, G. Highly Active Ce, Y, La-Modified Cu/SiO2 Catalysts for Hydrogenation of Methyl Acetate to Ethanol. RSC Adv. 2020, 10, 5590–5603. [Google Scholar] [CrossRef]
- Lin, W.; Chen, Y.; Zhang, Y.; Zhang, Y.; Wang, J.; Wang, L.; Xu, C.C.; Nie, R. Surface Synergetic Effects of Ni-ReOx for Promoting the Mild Hydrogenation of Furfural to Tetrahydrofurfuryl Alcohol. ACS Catal. 2023, 13, 11256–11267. [Google Scholar] [CrossRef]
- Liu, W.; Jiang, C.; Huang, Z.; Su, X.; Peng, H.; Yang, H.B.; Yang, X.; Fang, Y.X.; Dong, J. Carbon Shell-Encapsulated La-Ni Composite Catalyst for Hydrogenolysis of Tetrahydrofurfuryl Alcohol to 1,5-Pentanediol. ACS Sustain. Chem. Eng. 2025, 13, 4570–4579. [Google Scholar] [CrossRef]
- Zhao, L.; Wang, C.; Bai, J.; Wu, R.; Li, H.; Zhao, Y. Hydrogenation of 2-Hydroxytetrahydrofuran to 1,4-Butanediol Over Ni–Fe/SiO2 Bimetallic Catalysts. Catal. Lett. 2024, 154, 448–460. [Google Scholar] [CrossRef]
- Liang, Y.; Zuo, J.; Cai, Z.; Huang, W.; Lin, J.; Liu, Z. Rare-Earth Metal Modified Co-Based Catalysts for Highly Selective Hydrogenation of Furfural to 1,5-Pentanediol. Ind. Eng. Chem. Res. 2025, 64, 7220–7231. [Google Scholar] [CrossRef]
- Wang, F.; Duan, Z.; Zhao, K.; Xiao, Z.; Liu, X. Selective C-O Bond Cleavage of Furfural for the Sustainable Synthesis of 1,2-Pentanediol Using CuCe Catalysts. Ind. Eng. Chem. Res. 2025, 64, 13024–13035. [Google Scholar] [CrossRef]












| Sample | SBET (m2/g) | Vp (cm3/g) | dav (nm) | Acidity 1 (mmol NH3/g) |
|---|---|---|---|---|
| CeO2_O | 91.0 | 0.219 | 10.0 | 203 |
| 30Cu_O | 113 | 0.222 | 8.10 | 30.3 (72) |
| 30Co_O | 104 | 0.137 | 5.50 | 52.7 (49) |
| 7Cu22Co_O | 145 | 0.162 | 4.50 | 9.17 (23.5) |
| 15Cu15Co_O | 121 | 0.206 | 7.40 | 20.6 (39.4) |
| 22Cu7Co_O | 133 | 0.150 | 4.40 | 10.7 (26.4) |
| % of Reduction 1 | Irreversible mmol CO/g 2 | Dispersion (%) 2 | Crystal Size (nm) 2 | Ce3+ (%) 3 | ||
|---|---|---|---|---|---|---|
| O | R | |||||
| 30Cu_R * | 107.2 | 55 | 1.2 | 74 | 2.7 | 16.1 |
| 30Co_R | 92.5 | 164.7 | 3.2 | 26 | 4.0 | 18.7 |
| 7Cu22Co_R | 42.5 | 104.7 | 2.1 | 40 | 7.7 | 9.8 |
| 15Cu15Co_R | 93.0 | 157.4 | 3.2 | 27 | 5.2 | 18.0 |
| 22Cu7Co_R | 40.1 | 161.6 | 3.4 | 26 | 5.6 | 13.7 |
| Catalyst | H2 Activation (μmol/g) |
|---|---|
| 30Cu_R | 632.4 |
| 30Co_R | 442.3 |
| 7Cu22Co_R | 214.1 |
| 15Cu15Co_R | 496.0 |
| 22Cu7Co_R | 118.2 |
Disclaimer/Publisher’s Note: The statements, opinions and data contained in all publications are solely those of the individual author(s) and contributor(s) and not of MDPI and/or the editor(s). MDPI and/or the editor(s) disclaim responsibility for any injury to people or property resulting from any ideas, methods, instructions or products referred to in the content. |
© 2025 by the authors. Licensee MDPI, Basel, Switzerland. This article is an open access article distributed under the terms and conditions of the Creative Commons Attribution (CC BY) license (https://creativecommons.org/licenses/by/4.0/).
Share and Cite
Maderuelo-Solera, R.; Cecilia-Buenestado, J.A.; Vila, F.; Mariscal, R.; Maireles-Torres, P.J.; Moreno-Tost, R. Synthesis and Catalytic Activity of Cu-Co/CeO2 Catalysts in the Hydrogenation of Furfural to Pentanediols. Catalysts 2025, 15, 872. https://doi.org/10.3390/catal15090872
Maderuelo-Solera R, Cecilia-Buenestado JA, Vila F, Mariscal R, Maireles-Torres PJ, Moreno-Tost R. Synthesis and Catalytic Activity of Cu-Co/CeO2 Catalysts in the Hydrogenation of Furfural to Pentanediols. Catalysts. 2025; 15(9):872. https://doi.org/10.3390/catal15090872
Chicago/Turabian StyleMaderuelo-Solera, Rocío, Juan Antonio Cecilia-Buenestado, Francisco Vila, Rafael Mariscal, Pedro Jesús Maireles-Torres, and Ramón Moreno-Tost. 2025. "Synthesis and Catalytic Activity of Cu-Co/CeO2 Catalysts in the Hydrogenation of Furfural to Pentanediols" Catalysts 15, no. 9: 872. https://doi.org/10.3390/catal15090872
APA StyleMaderuelo-Solera, R., Cecilia-Buenestado, J. A., Vila, F., Mariscal, R., Maireles-Torres, P. J., & Moreno-Tost, R. (2025). Synthesis and Catalytic Activity of Cu-Co/CeO2 Catalysts in the Hydrogenation of Furfural to Pentanediols. Catalysts, 15(9), 872. https://doi.org/10.3390/catal15090872

