Abstract
Polybutadiene (PB) and polyisoprene (PI) rubbers are indispensable synthetic elastomeric materials widely used in tires, footwear, hose, belts, sealants, electricity, construction, and other applications. Nowadays, PB and PI elastomers are produced from butadiene (BD) and isoprene (IP) monomers via transition-metal-mediated coordination polymerization. Transition metal catalytic systems consist of a precise characteristic structural unit at the molecular level: well known as “single-site catalysts” (SSCs). These have experienced a revolutionary advance in the recently developed conjugated dienes synthetic rubber method. Among the SSCs, a class of rare-earth, metal-centered half-sandwich molecule has been identified as a high-performance catalytic system for conjugated dienes polymerization. These novel half-sandwich rare-earth (HSRE) catalytic systems exhibit several irreplaceable advantages compared with the conventional Ziegler–Natta-type catalytic systems. These HSRE catalytic systems can create novel conjugated diene rubbers (CDRs) with high catalytic reactivity, high stereoselectivity, an adjustable polymer chain microstructure, and high molecular weights and are considered to be the next generation of ecofriendly and economic catalytic systems for industrial applications. This paper delivers a concise review of some important synthetic methods for representative HSRE complexes with characteristic structures and of the utilization of some HSRE catalytic systems for the preparation of high-performance CDRs, especially highly stereoregular PI and PB materials.
1. Introduction
Elastomer is a class of unique functional material that cannot be replaced by any other types of natural or synthetic materials. Conjugated diene rubbers (CDRs) are the second-largest type of synthetic elastomeric material, after styrene-butadiene rubber (SBR), and commodity CDRs’ polymer chains are constituted of linear repeating butadiene (BD) or isoprene (IP) units.
CDR chains can exist in cis-1,4, trans-1,4, isotactic-1,2 for PB (isotactic-3,4 for PI), syndiotactic-1,2 for PB (syndiotactic-3,4 for PI), atactic polymorphic (Scheme 1), and mixed-polymorphic microstructures. Each type of polymorphic chain structure possesses immeasurably vast differences in its physical, mechanical, and rheological properties compared with other polymorphic counterparts. A variety of polymers with different properties can be produced by changing the ratio of these units and their tacticity [1]. For instance, isotactic-PB (Scheme 1g) has a melting temperature of Tm = 170 °C, whereas amorphous atactic-PB (Scheme 1i) has a high Tg of +5 °C. High trans-1,4-PB (Scheme 1b) is a crystalline material with three crystal structure modifications demonstrating Tms of 55, 150, and 175 °C, and one of the crystal modifications belongs to the monoclinic space group P21/a, (lattice constants: a = 8.63 Å, b = 9.11 Å, c = 4.83 Å, β = 114°. Scheme 1b) [2]. The high syndio-1,2-PB with syndiotactic-1,2-units content of 93–99% is a typical plastic material with a melting temperature in the range of Tm = 190–216 °C (Scheme 1h). High trans-1,4-PB is partially amorphous when it contains either cis-1,4 or 1,2 units which disrupt its crystal structure and reduce its melting point considerably. It has a glass-transition temperature of Tg = −80 °C. Other useful elastomers made from 1,3-BD include high (99%) cis-1,4-PB with Tm = −13 °C and Tg = −100 °C. A mixed polymorphic microstructural PB can be composed of various ratios of cis-1,4, trans-1,4, and 1,2 units, and billions of pounds of cis-1,4-PB and cis-1,4-PI rubbers are produced per annum worldwide (Scheme 2).
Scheme 1.
Some major polymorphic structures of polybutadiene (PB) and polyisoprene (PI). The ‘*’ on the chain-ends are extension of the repeating monomeric units from the main chain.
Scheme 2.
The market proportion of synthetic rubbers in 2024 (data searched using DeepSeek AI based on [DeepSeek V3 and DeepSeek R1 versions]). BR = Poly-Butadiene Rubber (also know as PB or PBR); ESBR = Emulsion Styrene-Butadiene Rubber; SBC = Styrene Block Copolymer (also know as TPE, including SBS, SIS, SEBS and SEPS); SSBR = Solution Styrene-Butadiene Rubber; EPDM = Ethylene-Propylene-Diene Materials; IIR = Isoprene-Isobutene Rubber; NBR = Nitrile-Butadiene Rubber.
The cis-1,4-PB and cis-1,4-PI (CDRs) are widely used in automobile, footwear, hose, belts, sealants, construction, etc. Although BD or IP monomers can be polymerized with the free-radical initiator (emulsion polymerization process), anionic initiator (solution polymerization process), and coordination polymerization (solution polymerization process) methods, the transition-metal (Ti, V, Co, Ni, and RE metals)-mediated coordination polymerization processes provide the most commonly used high-performance cis-1,4 CDRs [3].
Owing to the polymorphic structural characteristics of CDRs, transition-metal-mediated coordination polymerization of BD and IP is the predominant synthetic method for the manufacture of CDRs to compensate for the highly unpredictable, climate-dependent, and insufficient supply of natural rubber (NR) [4]. Thus, single-site transition metal catalysts for the production of high-performance CDRs have attracted increased interest and efforts from both academic and industrial researchers.
The effect of novel catalyst structures or catalytic systems on the polymerization of conjugated dienes is of undeniable importance for the development of high-performance CDR elastomers. In particular, the catalytic selective polymerization of α-olefins and conjugated dienes has a decisive effect on the polymer topology, stereoregularity, molecular weight, molecular weight distribution, and chain-end functionality of polymers [5,6,7]. In other words, the creation of new catalysts and catalytic systems is the key to obtaining the desired polymorphic microstructure of CDRs. Polymer chains must evolve to meet innovation in the field of synthetic rubber technology.
The transition metal catalysts used in the production of cis-1,4-PBs include, but are not limited to, titanium [8], cobalt [9], iron [10], nickel [11], and neodymium [12], while ternary Nd3+/aliphatate/alkyl–aluminum systems are nowadays widely used for the production of high cis-1,4-CDRs [12]. It is usually recognized that the rare-earth catalysts have several apparent advantages for industrial applications, such as the utilization of low-toxicity and low-cost aliphatic hydrocarbons as reaction media; a relatively high monomer conversion rate (near 100%); a lower likelihood of undergoing intermolecular cross-linking reactions, which prevents gel formation from complicating or even ruining the highly viscous solution polymerization processes; and the ability to tolerate higher reaction temperatures (up to 120 °C) without affecting the polymer’s microstructure and physical mechanical properties.
Although ternary neodymium catalyst systems were applied for industrial manufacturing of CDRs, these systems also have some drawbacks, including the following: (1) the relatively low catalytic activity (8–12 kg PB/g Nd) [12] associated with the high cost of catalysts (compared with other raw primary transition metals such as Ti, Fe, Co, Ni, etc.) and consequently high energy consumption of the lengthy deashing processes; (2) the time-sensitive catalysts’ aging protocols linked with reduced reproducibility of catalyst performance, which usually results in inconsistent quality in the CDRs that are produced. Thus, searching for catalyst systems that have high catalytic activity with desired prevision and stereoregularity control is a highly prioritized task at all times in the synthetic rubber industry.
In recent years, a class of mono-cyclopentadienyl RE metal complexes (or half-sandwich, rare-earth—HSRE) have shown high potential as single-site catalysts (SSCs) for conjugated dienes polymerization. The HSRE complexes showed extraordinary characteristics in catalytic regioselectivity and stereoselectivity in conjugated dienes polymerization. They are synthetically easy to access; their molecular structure can be accurately determined; their catalytic performances can be monitored and reproduced; and their catalytic mechanisms can be elucidated. In this context, some representative half-sandwich, rare-earth (HSRE) complexes, their syntheses, and their performances in catalytic polymerization of IP and BD are summarized.
2. Development of Half-Sandwich Rare-Earth Catalysts
In HSRE-type, single-site catalyst (SSC)-mediated coordination polymerization, catalyst structures play a crucial role in creating desirable polymer microstructures [13,14,15]. Homogeneous HSRE SSC systems have the precise molecular structures which ensure that each and all macromolecules produced from such SSC centers have identical regio- and chemo-selectivity, the same turnover numbers (reactivity), and therefore, the same molecular weight and a narrow molecular weight distribution.
Known as the “treasure trove of new materials for the 21st century” and the “vitamins of industry”, rare-earth metals have a stable +3 valency oxidation state, and their ions generally have a strong affinity to Lewis bases and can coordinate with Lewis donor ligands to form a variety of polyolefin catalysts. The electronic configurations, natural abundance, and estimated market prices of RE metal oxides are compiled in Table 1.
Table 1.
The electronic configuration, natural abundance, and estimated market prices of rare-earth oxides (natural abundance in ppm and price of the oxides were obtained through DeepSeek Al [versions DeepSeek R1 and DeepSeek V3]).
Cyclopentadienyl derivatives (Cp’−) can function as a unique 6e donor ligand in η5-π coordination mode to stabilize transition metals in different oxidation states. These derivatives form a class of special C5-ring organometallic complexes, namely the metallocenes [13]. Biscyclopentadienyl metal complexes, especially the IVB group metals’ (Ti, Zr, Hf) biscyclopentadienyl complexes (Cp’2MR2), when activated with methylaluminoxane (MAO) [16,17], can form the cationic species that were powerful olefin polymerization catalysts. These were widely used to produce massive amounts of polyolefin products (PE, LLDPE, UHMWPE, LLDPE, iPP, sPP, EPM/EPDM, COCs, etc.). Although the neutral biscyclopentadienyl RE complexes [Cp’2RE-R] have a 14e outer sphere electronic configuration, identical to the classic cationic IVB group metals referred to as metallocenes (Cp’2Mt+-R)][MAO−], they behave differently in olefin polymerization catalysis in that their catalytic activities are insufficient to meet industrial demands due mainly to their high electron affinity, which causes complex thermal instability (vide infra).
The mono-cyclopentadienyl rare-earth complexes have an outer sphere electronic configuration of 10e, and highly electron-deficient complexes are thermally unstable and prone to obtain any Lewis donors in the system to stabilize themselves or to decompose to more stable species (for example, multinuclear complexes to share available electron-donating Lewis basic ligands). However, mono-cyclopentadienyl, rare-earth catalysts are considered to be very promising catalytic systems for dienes polymerization due to their relatively more active RE-C and RE-H bonds. The reactivity of the RE-C bond in single-Cp’ active catalysts can be modulated by the Cp’ ligand substitution pattern and/or by changing the active center RE metal, and the electron deficiency of the metal center can be implemented with the strategic addition of labile Lewis basic donors. Therefore, the development of new, efficient, and highly stereoselective HSRE catalysts for conjugated dienes polymerization is highly desirable for the CDR industry, and some progress has been achieved in research regarding HSRE catalysts.
Li et al. [18] reported two methods for the synthesis of mono(cyclopentadienyl)scandium dialkyl complexes using an alkane elimination reaction between the trialkyl complex Sc(CH2SiMe3)3(THF)2 and a neutral cyclopentadienyl ligand, and up to 80% isolated yields were obtained directly for the corresponding mono(cyclopentadienyl)scandium dialkyl complexes, Cp′Sc(CH2SiMe3)2(THF) (Cp′ = C5H5, 1; C5MeH4, 2; C5Me4H, 3; C5Me5, 4; C5Me4SiMe3, 5; Scheme 3A). The half-sandwich Sc dialkyl complexes 6 and 7 with the Cp ring tethering an electron-donating, side-arm stabilized structures were also prepared by metathesis reaction of the K+ salt of the Cp ligands with the ScCl3(THF)3 adduct, followed by the addition of LiCH2SiMe3 in a one-pot fashion (Scheme 3B).
Scheme 3.
Synthesis of mono-(cyclopentadienyl) scandium dialkyl complexes 1–7.
Interestingly, the dinuclear Sc alkyl complex 8 can also be prepared in a one-pot reaction (Scheme 4).
Scheme 4.
Synthesis of dinuclear scandium alkyl complex 8.
Zhu et al. [19] also synthesized a series of novel dinuclear RE metal alkyl complexes 9–17. The reaction of ligand 2-(2,6-iPr2C6H3NHCH2)C4H3NH with RE metal alkyls THF adduct RE(CH2SiMe)3(THF)2 at ambient temperature afforded the asymmetric dinuclear RE alkyl complexes (9–14), whereas when the reaction temperature was increased to 45 °C, ligand 2-(2,6-iPr2C6H3NHCH2)C4H3NH underwent a reaction with the RE metal alkyls THF adduct RE(CH2SiMe)3(THF)2 to obtain the central symmetric dinuclear RE alkyl complexes (15–17). When the reaction temperature is increased to 60 °C, the asymmetric dinuclear alkyl RE metal complexes (9–14) are converted to their isomers (15–17). Thus, by precise control of the reaction temperature, two types of dinuclear RE metal complexes, i.e., asymmetric and central symmetric, respectively, are obtained. Interestingly, the asymmetric dinuclear RE alkyl complexes 9–14 are more soluble in commonly used organic solvent (n-hexane, toluene, THF) than their central symmetric counterparts 15–17. The dinuclear HSRE complexes 9–17 are all sensitive to moisture and air (Scheme 5).
Scheme 5.
Synthesis of dinuclear alkyl complexes 9–17.
Indene is one of the most important cyclopentadienyl derivatives that easily and reversibly passes from the η5 to the η3 coordination mode, favoring the substitution of auxiliary ligands [20,21]. Indene-ligated HSRE can be viewed as a Cp′-type ligand with two substituents in terms of spatial contribution, and it is easy to introduce other substituents into the extended aromatic ring [22,23,24].
Wang et al. [23] reported that an N-hetero-atom-carbene functionalized indene ligands (indene-NHC) coordinated HSRE complex 18 (Scheme 6), N-indolylimidazolium bromide (IndH-NHC-H)Br, was deprotonated by LiCH2SiMe3, with simultaneous release of tetramethylsilane (TMS) and LiBr, to produce the neutral intermediate IndH-NHC, which undergoes immediate deprotonation after the addition of RE(CH2SiMe3)3(THF)2 solution to obtain the target complex 18. Since RE(CH2SiMe3)4Li(THF)4 is the LiCH2SiMe3 adduct of RE(CH2SiMe3)3(THF)2 containing two additional THF molecules, the target product can also be obtained in a one-step reaction, and this process can be interpreted as a dual-deprotonation process. However, the yield of the complexes is unsatisfactory. The synthesis of indene-NHC-coordinated HSRE complexes represents the first example of functionalized NHC covalent bonding with RE metal alkyls, which have a high potential as homogeneous catalysts.
Scheme 6.
Synthesis of Ind-NHC-ligated rare-earth complex 18.
In essence, fine-tuning ligand structure is a powerful tool for regulating the catalytic activity, selectivity, and reaction kinetics of organometallic complexes [25]. In other words, altering the metal center’s environment in the complexes to modulate the catalytic performances is an important strategy to develop high-efficiency catalysts.
Deng et al. [26] created a series of pyrrolidinyl-functionalized cyclopentadienyl, indenyl, and fluorenyl ligand-supported RE metal bis(alkyl) complexes, where the pyrrolidinyl-functionalized cyclopentadienyl RE metal complexes 19–20 (Scheme 7A) and indenyl Lu3+ complex 21 (Scheme 7B) can be prepared by alkyl elimination between the ligands and the trialkyl RE complex RE(CH2SiMe3)3(THF)2. The fluorenyl RE bis(alkyl) complexes 22–23 (Scheme 7C) can be prepared by a one-pot metathesis reaction between RECl3, C13H8SiMe2NC4H8Li, and LiCH2SiMe3 at room temperature. In these serial ligands of Cp’, indenyl, and fluorenyl anions, the dimethylsilyl-bridged pyrrolidine formed with the RE metals’ “constrained geometry catalysts” (CGCs) structure to stabilize the electron deficit metal centers. In addition, the required THF molecules and a Lewis donor also inevitably coordinated the metal centers.
Scheme 7.
Synthesis of pyrrolidinyl-functionalized Cp’, Indenyl, and fluorenyl micro-structured RE complexes 19–23.
Han et al. [27] and Wang et al. [28] reported the synthesis of fluorenyl-methylene-tetrahydrofuran ligand and the CGC-type HSRE complexes 24–25 (η5-Flu-CH2-THF)RE(CH2SiMe3)2(THF) (RE = Y, 24; Lu, 25) using the metathesis between trialkyl RE THF adducts (RER3(THF)3, R = CH2SiMe3), and Flu-CH2-THF ligand (Scheme 8). The RE trialkyl THF adduct and the HSRE complexes were fully characterized by NMR, as well as by X-ray diffraction analysis. The X-ray analysis results show that the ligand coordinated through the η5/κ1 mode of the fluorenyl ring and the oxygen atoms of the side-armed, five-membered non-planar THF ring. An additional THF molecule is also coordinated through the oxygen lone pair to create the RE 14e configuration of the center.
Scheme 8.
Synthesis of (η5-FluCH2-THF) RE (CH2 SiMe3)2(THF) rare-earth metal complexes 24–25.
Li et al. [29] synthesized a series of substituted fluorenyl Sc half-sandwiched [Flu’-ScR2(THF)] complexes 26–31 (R = CH2SiMe3) in high yields, in which the corresponding half-sandwich fluorene-based scandium dialkyl complexes were obtained by a one-pot reaction of ScCl3(THF)3 with 1 equiv. of lithium salts of the substituted fluorenyl ligands in THF at 25 °C with 2 equiv. of LiCH2SiMe3 (Scheme 9).
Scheme 9.
Synthesis of half-sandwich fluorenyl Sc bis (alkyl) complexes 26–31.
Subsequently, Du et al. [30] employed bis(alkyl)RE borate ion pairs of THF adducts [RE(CH2SiMe3)2(THF)3]+[BPh4]− (RE = Sc, Lu, Y) to react with 1-equivalent 2,7-disubstituted fluorenyllithium to obtain a series of 2,7-disubstituted fluorenyl (Flu)RE bis(alkyl) complexes 32–41 (2,7-(R1)2-9-R2-C13H6)RE(CH2SiMe3)2(THF)n, (Scheme 10), and the results showed that half-sandwiched fluorene-based RE alkyl complexes can be used as catalyst precursors for cyclic conjugated diene copolymerization reactions.
Scheme 10.
Synthesis of HSRE fluorenyl RE bis (alkyl) complexes 32–41.
Austin et al. [31] and Polo et al. [32] prepared a class of 4,5,6,7-tetrahydroindene (THI-R-H) (R = H, Me) ligands using methods described in the literature. Deprotonation of THI2Me-H with nBuLi, followed by a direct reaction with trimethylchlorosilane yields the 1,3-Me2-2-SiMe3 substituted THI ligand. A serial corresponding HSRE complexes 42–48 were prepared [33]. The lithium salt of the ligand THIR-Li was obtained by the reaction of THIR-H with n-BuLi, followed by the metathesis reaction of THIR-Li with RECl3(THF)x (Lu and Sc, x = 3; Y, x = 3.5), and then reacted with 2 equivalents of o-dimethylaminobenzyl lithium o-NMe2C6H4CH2Li to obtain a series of HSRE bis(benzyl) complexes 42–48 (Scheme 11), THIR-RER2 (R = -CH2-C6H4-o-NMe2). All the complexes 42–48 are soluble in conventional organic solvents. The above results indicate that the THIR ligand is an ideal ‘Cp fused C6 ring’ framework for the preparation of HSRE complexes.
Scheme 11.
Synthesis of (η5-FluCH2-THF) RE (CH2SiMe3)2(THF) (RE = Y; Lu) rare-earth metal complexes.
Tetrahydrofluorenyl ligands have an expanded “wingspan” with increased spatial site resistance. Xu et al. [34] utilized methods reported in the literature [35,36], prepared a tetrahydrofluorenyl ligand and a group of HSRE complexes 49–55 (Scheme 12). Direct lithium borate elimination between the tetrahydrofluorenyllithium and [RE(CH2-SiMe3)2(THF)3][B(C6H5)4] (RE = Sc, Y, Lu) was successful [37]. The transmetallation reaction of the RE metal alkyl ion pair [RE(CH2SiMe3)2(THF)3][BPh4] (Re = Sc, Y, Lu) with one equivalent of the ligand lithium salt (prepared by deprotonation of tetrahydrofluorene-based ligand with LiCH2SiMe3) undergoes smooth reaction to yield the desired HSRE dialkyl complexes [38,39] and all the HSRE complexes 49–55 are soluble in conventional organic solvents, while the pure Y complexes could not be obtained when ligand substituent R is H and Me.
Scheme 12.
Synthesis of the tetrahydrofluorenyl ligands and their corresponding RE complexes 49–55.
You et al. [40] also prepared octahydrofluorenyl RE complexes 56–64, similar to tetrahydrofluorenyl ligands by alkane elimination or salt metathesis reactions. All these complexes are also soluble in common organic solvents (Scheme 13).
Scheme 13.
Synthesis of the octahydrofluorenyl (OHF) ligands and their corresponding RE complexes 56–64.
3. Catalytic Polymerization of Isoprene
Isoprene (IP) is a C5 conjugated diene fraction of naphtha cracking, and was usually used for polyisoprene (PI) rubber (Scheme 1) and isobutene-isoprene rubber (IIR, Scheme 2) production. High molecular weight (MW), high cis-1,4-Polyisoprene is an important synthetic material whose microstructure is a mimic of natural rubber (NR). The methyl side-arm on the conjugated diene can force it to polymerize in unusual reaction paths, resulting in new polymeric structures that have attracted a great deal of attentions [18,41,42,43]. The differences in the microstructure of polymers can have a great impact on their physical properties, and among them, the high MW high cis-1,4-polyisoprene rubber has excellent flexibility and ductility similar to that of vulcanized natural rubber, which is used in place of natural rubber in a wide range of applications, such as gloves, tubes and conveyor belts, adhesives, sports equipment, tyres and other industries [44,45,46].
Over the past decades, efforts have been devoted to the development of organometallic catalysts in an attempt to mimic the reactivity and selectivity of metalloenzymes due to their unique substrate activation patterns and novel reaction modes in natural elastomers synthesis [47].
Tardif et al. [48] reported dimetylsilyl bridged Cp’-phosphate dinuclear Y3+ complex 66 by metathesis reaction of Cp’-phosphine Me2Si(C5Me4H)P(H)Cy and Y(CH2SiMe3)3(THF)2 at ambient temperature in hexane, the CGC-type dinuclear complex 66 when activated with borate to form cationic dinuclear intermediates 66a and rearranged to 66b. Subsequently, Zhang et al. [49] used the dinuclear complexes Y (66) and Lu (67) as catalyst precursors to initiate the polymerization of IP (Scheme 14a). When the 66 was pre-activated with [Ph3C][B(C6F5)4], it could effectively polymerize IP to obtain PI with near perfect isotactic-3,4-microstructures, while the iso-3,4-PI polymer showed a bimodal molecular weight distribution at lower polymerization temperatures. When the activator [Ph3C][B(C6F5)4] and dinuclear complex were mixed into the IP solution, narrow PDI polymers and higher catalytic activity were observed. A possible polymerization mechanism based on DFT calculations was proposed (Scheme 15).
Jende et al. [50] reported the dimeric mono(allyl)chloro-based half-sandwiched Nd complex 68 [CpNMe2Nd(η3-C3H5)(μ-Cl)]2 for IP polymerization (Scheme 14b). The results showed that the binary catalytic system consisting of 68 and borate [Ph3C][B(C6F5)4]/[HNMe2Ph][B(C6F5)4] could catalyze the polymerization of IP to give PI with predominantly 3,4-microstructures, and that the addition of AliBu3 as cocatalyst/scavenger component further increased the amount of 3,4-microstructural unit content in the polymers. Interestingly, when AlMe3 was added as cocatalyst component and/or scavenger, the resulting PI macromolecules are moderately trans-1,4-structure (ca. 85%).
Chen et al. [51] created a serial bimetallic Sc half-sandwich complexes 69–70 that the Cp rings are strategically tethered with different length of linker (Scheme 14c). It showed that the proportion of cis-1,4 units in the PI product increased from 32% (complex 70) to 48% (complex 69) with the shortening of the Sc–Sc distance, highlighting the importance of multinucleation in conjugated diene polymerization, despite the low cis-1,4-selectivity. It is noteworthy that the dinuclear Sc-Cn-Sc catalyst with distanced metal centers exhibits enhanced cis-1,4 selectivity compared with the other dinuclear or polynuclear complexes, although the cis-1,4-content is still too low for practical application. On the other hand, the polymerization mechanism may involve weak ionization interactions between the second cationic Sc centre and the polymer chain growing through an anti-η3-π-allyl intermediate [52,53,54].
While Wang et al. [55] prepared several pyrrolyl ligands supported RE complexes 71–73 for IP polymerization, the results showed that the Y (71), Nd (72) could initiate IP polymerization reactions in the presence of the [Ph3C][B(C6F5)4] activator, and that the produced PI could reach more than 95% of cis-1,4 selectivity (Scheme 14d).
Scheme 14.
Bimetallic half-sandwich complexes 66–82 for isoprene polymerization [19,48,49,50,51,55].
Scheme 15.
Dinuclear RE dialkyl complexes 66–67 and a plausible polymerization mechanism of catalytic isoprene polymerization.
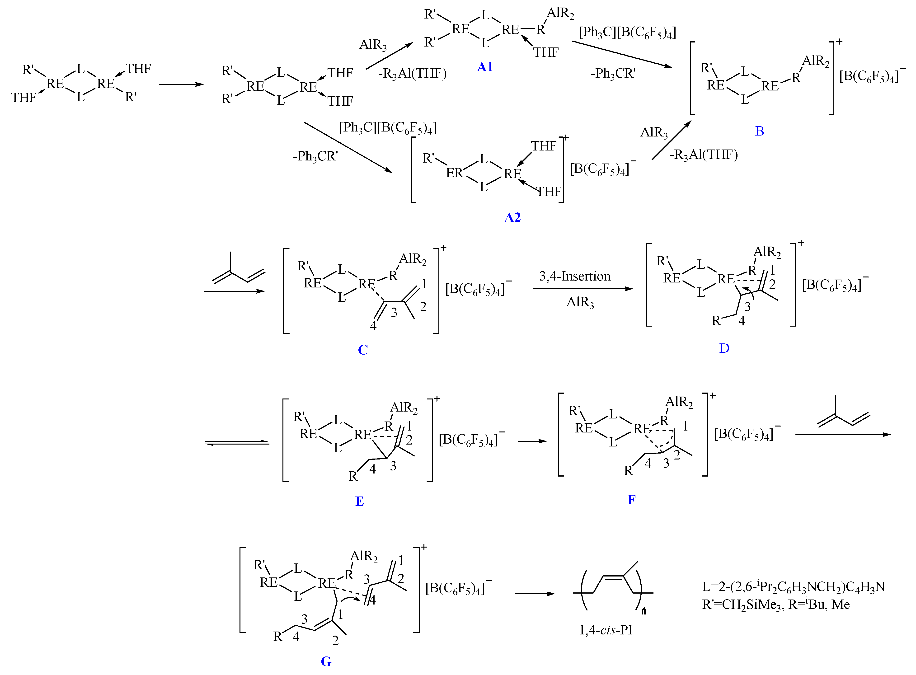
Zhu et al. [19] investigated the catalytic properties of novel dinuclear RE alkyls for IP polymerization (Scheme 14e), in which the 74/[Ph3C][B(C6F5)4]/AliBu3 system exhibited a high catalytic activity (2448 kg PI/molRE·h) versus cis-1,4 selectivity (96.6%) for IP polymerization and the trans-1,4 structural unit was not observed in the polymer. for which they proposed a possible mechanism for the formation of high cis-1,4 PI (Scheme 16). A1 and A2 represented the possible dinuclear complex under goes two different activation paths to form the catalytic active species B. While C and D represent the intermediates of IP molecules undergo 3,4-coordination insertion pathway to form the 3,4-PI macromolecule, E, F and G represent the intermediates of cis-1,4-coordination insertion pathway to form the cis-1,4-PI macromolecules.
Scheme 16.
Mechanism of dinuclear RE complex 74/[Ph3C][B(C6F5)4]/AliBu3 system catalyzed IP polymerization.
The development of HSRE catalysts systems relies heavily on the use of cyclopentadienyl (Cp) groups as support ligands [56]. Bonnet et al. [57] utilized Cp*Sc(BH4)2(THF)2/[Ph3C][B(C6F5)4]/AliBu3, Cp* = C5Me5−) system for IP polymerization, and the system exhibiting high cis-1,4 selectivity (up to 97.2%). The HSRE Sc3+ complex Cp*Sc(BH4)2 (THF)2 83 was prepared under mild conditions (Scheme 17a). The 83/[Ph3C][B(C6F5)4]/AliBu3 ternary system for the polymerization of IP exhibits high activity with high cis-1,4 selectivity.
Scheme 17.
Complexes 83–90 used for IP polymerization [50,57,58,59,60,61].
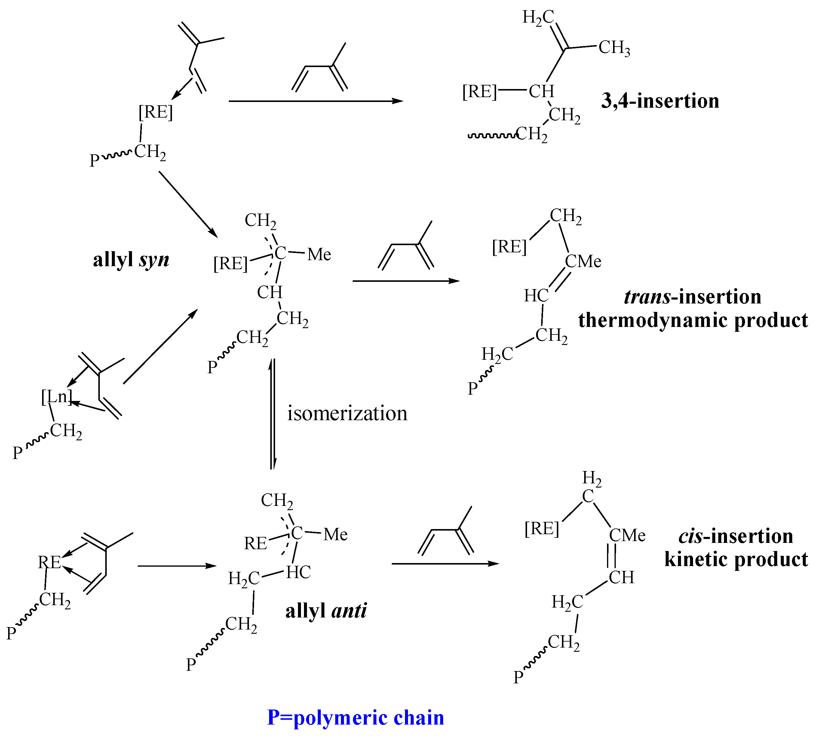
Cendrowski-Guillaume et al. [58] prepared Cp*Nd(BH4)2(THF)2 84 (Scheme 17b), Subsequently, Bonnet et al. [59] obtained crystals of the complex 84 and resolved its mo-lecular structure for the first time. The 84/[Ph3C][B(C6F5)4]/AliBu3 ternary system was investigated for IP polymerization, and the resulting polymers were also found to be cis-1,4-selective (91.7%). Using activator [HNMe2Ph][B(C6F5)4] in the place of [Ph3C][B(C6F5)4], the 84/[HNMe2Ph][B(C6F5)4]/AliBu3 ternary system was also able to reach over 90% cis-1,4-selectivity. Combined with studies in the relevant literature, it is speculated that the factors controlling the polymerization selectivity of conjugated dienes are closely related to the coordination mode of the monomer to the catalysts [12,60], where 3,4-polyisoprene is formed by coordination of the monomer with the methyl side arm to avoid spatially close to other groups around the catalyst metal center [61] (Scheme 18).
Scheme 18.
Coordination modes of the IP monomers and stereoselectivity of PI structures.
Following methods described in the literature, Anwander group [62,63,64] prepared a few RE complexes [Cp*RE(AlMe4)2] (RE = Y, 85; La, 86; Nd, 87, Scheme 17c), and the reactivity of these complexes with borates and their catalytic performance in IP polymerization were investigated (Scheme 17c). The complexes 85–87 activated by borate can effectively catalyze the polymerization of IP to yield up to 99.5% trans-1,4-structural units when the central metal is La3+ with a larger cationic radius. Notably, the stereoregularity of the resulting PI is consistent with the stability of the cationic species and depends on the size of the lanthanide metal cation, as well as on the Lewis acid borate. This provides a “one-component” catalyst for the production of PI with high trans-1,4 selectivity.
Allyl-coordinated RE metal complexes showed promising catalytic performances in olefin polymerization [65]. Jende et al. [50] synthesized a few half-sandwich RE metal–allyl complexes stabilized by side-arm amine-coordination (Scheme 17d, complexes 88–90). When complexes 88–90 were activated with borates [Ph3C][B(C6F5)4] and/or [HNMe2Ph][B(C6F5)4], all exhibited moderate to high catalytic activity towards IP, and the resulting PI microstructures contained a high number of 3,4-units (up to 79%). Interestingly, the catalysts showed excellent catalytic activity with the addition of AliBu3 into the 87–89/[PhNMe2H][B(C6F5)4], and the ternary catalytic system produces PI polymer microstructures of moderate cis-1,4-selectivity (up to 74%), suggesting a clear role of the chain transfer agent in regulating the PI microstructures.
Wang et al. [23] utilized the NHC-stabilized, single-site RE bis(alkyl) complex 18 (Scheme 6) for the polymerization of IP. Results showed that the catalyst was inert when used alone, while when combined with [Ph3C][B(C6F5)4] and AlEt3 in toluene, the ternary (Ind-NHC)Lu(CH2SiMe3)2/[Ph3C][B(C6F5)4]/AlEt3 catalytic system exhibited relatively low catalytic activity, predominantly yielding a 3,4-selective product (91%).
Hu et al. [33] used the 4,5,6,7-tetrahydroindenyl (THI-R-H) (R = H, Me, TMS) complexes 42–48 (Scheme 11) to polymerize IP in toluene after activation with [Ph3C][B(C6F5)4] to produce moderate 3,4-PI (3,4-unit content 67%). While the monomer to RE ratio [IP]/[RE] increases from 500 to 1000, the MW of the corresponding polymer doubles, suggesting a quasi-living polymerization manner.
Han et al. [27] used the CGC-RE-type complexes 19–20 (Scheme 19a) for IP polymerization; the ternary catalytic system 19–20/[Ph3C][B(C6F5)4]/AliBu3 can efficiently catalyze IP polymerization in toluene to produce moderate 3,4-insertioned PI (3,4-unit content of up to 69%).
Scheme 19.
Rare-earth metal complexes with Cp’ = fluorenyl groups [27,29,30,41,65].
Wang et al. [66] utilized a series of fluorene-modified N-heterocyclic carbene (NHC) RE metal bis(alkyl) complexes (Flu-NHC)RE(CH2SiMe3)2 (RE = Sc, 91; RE = Y, 92; RE = Ho, 93: RE = Lu, 94). A ternary system consisting of 92–94/[Ph3C][B(C6F5)4]/AliBu3, with RE = Y, Ho, Lu, can efficiently catalyze IP polymerization to produce mainly 3,4-selective PI, especially RE = Lu (94) yields PI with 3,4-selectivity up to 99%, and the ternary catalytic system can tolerate a wider polymerization temperature window (25–80 °C), demonstrated that the catalytic activity and specific selectivity can be modified with the spatial volume of the auxiliary ligand substituents, as well as with the type of central metal ion (Scheme 19b).
Li et al. [29,30,41] found that ternary systems consisting of complexes 26–31 (Scheme 9 and Scheme 19c) borate activator and AliBu3 can generate cationic half-sandwich, fluorene-based Sc active species in situ under mild conditions, and ternary systems show very high catalytic activity (up to 1.89 × 104 kg/molSc h) and cis-1,4 selectivity (up to 93%) in IP polymerization. The unambiguous identification of cationic active species in well-defined catalyst systems consisting of alkyl metallic compounds and borate/boron-based cation generators can greatly improve the understanding of the mechanism of olefin coordination polymerization processes [67,68,69,70,71,72,73,74,75,76,77].
4. Catalytic Polymerization of Butadiene
Polybutadiene rubber (PBR) is one of the most important downstream products of butadiene, and the second-largest type of synthetic rubber in the world after styrene-butadiene rubber (SBR), with a wide range of applications in tires, footwear, belts, hoses, construction, and high-impact polystyrene (HIPS) modification. The stereo- and regiospecific polymerization of butadiene, i.e., cis-1,4, trans-1,4, isotactic-1,2 or syndiotactic-1,2 polymerization, is of great importance both in academic and industrial applications [74].
According to the different cis-1,4 contents in the cis-1,4-PB macromolecules, PB is divided into high cis-1,4, medium cis-1,4, and low cis-1,4 PBs. Currently, the largest and most widely used PB is high cis-1,4 PB. Due to its high elasticity, good abrasion resistance, excellent low-temperature performance, low heat generation, and good dynamic performance, over 70% of PB is consumed in tire manufacturing.
The promotion of “green tires” under the “New EU tyre labelling regulation TLR proposal COM(2018)296” rules and the gradual implementation of labelling laws have provided a great impetus to the development of RE PBs. The narrow (PDI < 3) or ultra-narrow molecular weight distribution (PDI < 2) of RE PB has become a hot topic for the rubber industry. The RE PBs with narrower molecular weight distribution have better extrudability and dynamic mechanical properties with less hysteresis loss. In addition, PBs with a narrow molecular weight distribution are also better in terms of resilience, tear strength, thermal properties, etc. Therefore, PBs with narrow molecular weight distribution are considered as a new generation of PB.
The ternary Nd-based BD polymerization catalyst system developed in the 1980s [12] has the advantages of catalyst components that are highly available, simple preparation processes, and high production of cis-1,4 PBs. However, over time, ternary systems also demonstrated some drawbacks such as relatively low catalytic activity (12 kg PB/g Nd); catalysts that are generated in situ, and catalytic performance that is affected by aging. Furthermore, it is difficult to operate the industrial process with continuous feeding and continuous aging; the Nd-PB catalytic system frequently produces PBs with wide molecular weight distribution (PDI 3~4), which affects its physical and mechanical properties, as evidenced by easy de-rolling during mixing and poor extrusion performance.
RE PB, with its high cis-1,4 content, displays high linear structure regularity, high molecular weight, and narrow distribution, mainly manifested in high elasticity, low heat generation, anti-slipping properties, and low rolling resistance. In addition, due to the characteristics of its molecular structure, the appropriate amount of oil filling does not cause a decline in physical and mechanical properties. This outstanding feature promotes low-cost production, anti-slip qualities, increased fatigue resistance, and better processing performance, making oil-filled RE PB a front-line choice in many applications.
Compared with traditional ternary neodymium catalysts, single-site RE catalysts developed in recent years generally exhibit enhanced catalytic activity and adjustable microstructures (cis-1,4, trans-1,4, and 1,2-contents) and molecular weight, and the resulting PB products have desirable physical mechanical properties. Therefore, development of single-site RE catalysts has already aroused considerable interest among researchers [78,79].
Owing to the ease of structural modification of cyclopentadienyl analogs (Cp’), a variety of novel RE metallocene catalytic systems were created recently which are significantly enriched in RE metal CDR catalytic systems; at the same time, a number of functional elastomeric materials were also developed [18,33,80,81,82,83]. Recently, the development of mono-cyclopentadienyl-RE single-site catalyst (Cp’RE-SSC) systems promoting butadiene polymerization for the preparation of high-performance PBs has also been reported.
Kaita et al. [74] demonstrated for the first time that Cp’2-RE-R complexes 95–97, which are stabilized by the formation of AlMe3 bridged tetra-nuclear species (Scheme 20a), can catalyze the high cis-1,4 polymerization of BD and that the Gd complex 95 showed high catalytic activity, with ultrahigh cis-1,4-PB selectivity (>99.9%).
Scheme 20.
Cp’2-RE-R-type complexes 95–101 [74,84].
Tardif et al. [84] synthesized a few bis-indenyl-RE complexes (2-R-Ind)2RE{N-(SiMe3)2} (RE = Gd: R = H, 98; Me, 99; Ph, 100; RE = Sc, R = Me, 101) with the one-pot metathesis reaction method. The ternary catalytic system, composed of 98–101/organic borate/AliBu3, catalyzes the cis-polymerization of BD in toluene, and PBs with cis-1,4 selectivity above 99% are obtained when the central metal is Gd, while a PB with lower cis-1,4 selectivity (87.6%) is observed when complex 101 is applied (R = methyl and RE = Sc, Scheme 20b).
Shi et al. [85] studied the polymerization of BD catalyzed by complexes 1 and 5 (Scheme 3), and both complexes exhibited up to 95% cis-1,4 selectivity. Xu et al. [34] used the tetrahydrofluorene-based RE complexes 49–55 (Scheme 12) for the polymerization of BD; all these RE complexes are efficient catalysts for BD cis-1,4 selective polymerization, and the resulting cis-1,4-PBs demonstrated up to 94% cis-1,4 stereoselectivity, narrow molecular weight distributions, and no trans-1,4 structural units.
Shi et al. [85] investigated serial o-N,N-dimethylaminobenzyl stabilized RE complexes 102–105 Cp’RER2, (Cp’ = C5H5, R = CH2C6H4-o-NMe2, RE = Sc, 102; Y, 103; Lu, 104; Cp’ = C5Me4SiMe3, R = CH2C6H4-o-NMe2, RE = Sc, 105) for BD polymerization. When activated with [Ph3C][B(C6F5)4], and when the central metal is Sc (Scheme 21), results showed that the Cp’ substituent has a significant effect on polymerization activity and microstructure, as shown by the better activity and selectivity with less spatially substituted Cp’ (complexes 102 vs. 105), while the auxiliary ligand affects the stability (lifetime) of the catalysts, as shown by the greater stability of the catalyst system with the CH2C6H4-o-NMe2 auxiliary ligand. In contrast, when the center metal is Y, no polymer was produced. Polymerization temperature affects the catalytic activity, with enhanced catalyst activity occurring with increasing temperature, while the molecular weight of the resulting polybutadiene increased linearly with increasing monomer [BD]/[Cat] ratio.
Scheme 21.
o-N,N-dimethylaminobenzyl ligands stabilized Cp’RE complexes for BD polymerization.
Hu et al. [33] utilized the o-dimethylaminobenzyl auxiliary ligand stabilized 4,5,6,7-tetrahydroindenyl-RE complexes (42–48, Scheme 11 and Scheme 21) for BD polymerization. Under relevant industrial conditions, complex 45 activated by [Ph3C][B(C6F5)4] can facilitate BD polymerization in toluene to produce PBs with narrow molecular weight distributions and a medium 1,4 structural unit of 84%.
Constrained geometry catalysts (CGCs) constitute a unique category of olefin polymerization catalysts, and their constrained geometry ligand framework and RE complexes can effectively catalyze the polymerization of conjugated dienes when activated with appropriate activators.
Jian et al. [86] synthesized a CGC-type Lu3+ complex with a pyridine-functionalized cyclopentadienyl ligand [(C5Me4-C5H4N)Lu(η3-C3H5)2] and two allylic anions (106, Scheme 22a). Complex 106 exhibited high activity for BD polymerization upon activation with [Ph3C][B(C6F5)4], and the resulting PB possessed a high cis-1,4 structural unit and very narrow molecular weight distribution. When the monomers to RE ([BD]/[RE]) ratio increases, the PB molecular weight increases linearly, while the molecular weight distribution remained near constant, indicating that [(C5Me4-C5H4N)Lu(η3-C3H5)2]/[Ph3C][B(C6F5)4] is a living catalytic system. Furthermore, after 100% conversion of the BD, subsequent additional BD monomers will yield PB with a still narrow Ð near 1.0 and corresponding molecular weight increases that are consistent with the amount of BD monomer added, further confirming the living polymerization in nature. It is worth noting that solvent polarity has an effect on catalytic activity but, basically, no influence on the cis-1,4 selectivity. When the polymerization is carried out in chlorobenzene instead of toluene, the catalytic activity of [(C5Me4-C5H4N) Lu (η3-C3H5)2]/[Ph3C][B(C6F5)4] is somewhat reduced, while a near perfect cis-1,4-selective PB (99%) is obtained.
Scheme 22.
CGC-type RE complexes for BD polymerization [27,86,87].
Paolucci et al. [87] reported several CGC-type RE complexes of L-RECl2.(THF) 107–109 (L = C5H4-CH2-C5NH3-CH = N-2,6-iPr-C6H3, RE = Y, 107; Sm, 108; Nd, 109) (Scheme 22b) for BD polymerization. A striking effect of central RE and the co-catalyst is observed, and the variation in stereoselectivity is more than surprising. The resulting PB is predominantly in the cis-1,4 structural unit (>99%) when the RE metal is Y and the co-catalyst is MAO, whereas the system produces PB with up to >99% trans-1,4 microstructure when the central metal is Nd and the co-catalyst is Mg(Bu)2/B(C6F5)3.
Han et al. [27] investigated CGC-type RE metal complexes (η5-FluCH2-2-THF)RE(CH2SiMe3)2(THF) (Scheme 8 and Scheme 22c, RE = Y, 24; Lu, 25) for the polymerization of BD under various conditions. The 24–25/[Ph3C][B(C6F5)4]/AliBu3 ternary catalytic system can efficiently polymerize BD in toluene, and the cis-1,4-selectivity is up to 98.5% when the central metal is low-cost Y. NMR monitoring of the catalyst systems indicated that the high cis-1,4 regioselectivity is attributed to the abstraction of the σ-coordinated side-arm and free THFs at the metal center, which results in the opening of a ligating sphere, facilitating the coordination of BD to the metal center in cis-η4 coordination mode (Scheme 18).
5. Conclusions and Outlook
The Z-N-type CDR polymerization system is a complex heterogeneous catalytic system with multiple active sites [10,11,12]. It plays a significant role in BD [10,88,89], IP [90,91], styrene [92,93] polymerization, and the copolymerization of BD and IP [94,95,96,97,98]. Most SSC systems for conjugated dienes polymerization possess bidentate [99,100,101,102,103,104,105,106] or multi-dentate ligands [38,39,60,105,107,108,109,110,111,112]. Metallocene catalysts/catalytic systems with a single active center for conjugated dienes polymerization have also made some progress in recent years, and their practical potential is recognized.
In recent years, RE catalyst systems developed for BD and IP stereoselective polymerization have shown significant advances. Single-site RE catalytic systems for stereoselective polymerization of BD and IP have also received increased attention from both academic and industrial researchers, and many non-waiving efforts made, as mentioned above, have resulted in fruitful success in the preparation of high-performance and functional CDRs. However, single-site RE catalytic systems for practical industrial applications are still scarce, and further development of ecofriendly and economic, single-site RE catalytic systems remains a hot and undeniable research topic for the foreseeable future.
RE elements, especially the lanthanide metals, have special electronic configurations and coordination properties such as the continuous contraction of their metal ion radius and a small shielding effect of the f-electrons on the central metal; high ion potentials; and Lewis acidity, which provides them with occasionally abnormal coordination chemical modes and, therefore, unexpected polymerization performances compared to those of other conventional complexes of transition metals such as Ti, V, Fe, Co, and Ni. RE elements exhibit characteristic catalytic properties in the catalytic polymerization of conjugated diene monomers and have attracted a great deal of research interest; considerable progress has been made in this field. In addition, the activity and stereoselectivity of single-site RE catalysts in the coordination polymerization of conjugated dienes is closely related to the structural feature of the ligands framework, the central metal ion, and the type of co-catalyst. Therefore, it is of great significance to continue developing efficient single-site RE catalysts for the practical production of high-performance CDRs. Finally, it is hoped that this review will provide helpful hints and context for researchers developing new and efficient metallocene catalysts for the polymerization of conjugated dienes.
Author Contributions
Conceptualization, S.X. and G.M.; methodology, D.K.; validation, H.H. and Y.Z.; formal analysis, R.M.; investigation, D.K.; resources, S.X.; writing—original draft preparation, D.K.; writing—review and editing, S.X.; visualization, G.M.; supervision, S.X.; project administration, H.H.; funding acquisition, S.X. All authors have read and agreed to the published version of the manuscript.
Funding
This research was funded by Natural Science Foundation of China, grant number 2172024.
Data Availability Statement
The data presented in this study are available.
Acknowledgments
During the preparation of this manuscript/study, the author(s) used DeepSeek AI based on [DeepSeek V3 and DeepSeek R1 versions] for the purposes of data searched and obtaining natural abundance, and estimated market prices of rare-earth oxides and the market proportion of synthetic rubbers in 2024. The authors have reviewed and edited the output and take full responsibility for the content of this publication.
Conflicts of Interest
Author Rongqing Ma was employed by the company PetroChina Shanghai Advanced Materials Research Institute Co., Ltd. The remaining authors declare that the research was conducted in the absence of any commercial or financial relationships that could be construed as a potential conflict of interest.
References
- Halasa, A.F.; Massie, J.M. Polybutadiene. In Kirk-Othmer Encyclopedia of Chemical Technology; Wiley: Hoboken, NJ, USA, 2000. [Google Scholar] [CrossRef]
- Iwayanagi, S.; Sakurai, I.; Sakurai, T.; Seto, T. X-ray structure analysis of trans-1, 4-polybutadiene. J. Macromol. Sci. Part B Phys. 1968, 2, 163–177. [Google Scholar] [CrossRef]
- Kumar, A.; Mohanty, S.; Gupta, V.K. Butadiene rubber: Synthesis, microstructure, and role of Catalysts. Rubber Chem. Technol. 2021, 94, 393–409. [Google Scholar] [CrossRef]
- Zhao, M.; Ma, Y.; Zhang, X.; Wang, L.; Zhu, G.; Wang, Q. Synthesis, characterization and catalytic property studies for isoprene polymerization of iron complexes bearing unionized pyridine-oxime ligands. Polymers 2022, 14, 3612. [Google Scholar] [CrossRef] [PubMed]
- Pan, Y.; Xu, T.; Yang, G.-W.; Jin, K.; Lu, X.-B. Bis (oxazolinyl) phenyl-ligated rare-earth-metal complexes: Highly regioselective catalysts for cis-1, 4-polymerization of isoprene. Inorg. Chem. 2013, 52, 2802–2808. [Google Scholar] [CrossRef]
- Yang, D.; Gan, Q.; Chen, H.; Ying, W.; Zhao, J.; Jia, X.; Gong, D. Polymerization of conjugated dienes and olefins promoted by cobalt complexes supported by phosphine oxide ligands. Inorganica Chim. Acta 2019, 496, 119046. [Google Scholar] [CrossRef]
- Zhao, J.; Chen, H.; Li, W.; Jia, X.; Zhang, X.; Gong, D. Polymerization of isoprene promoted by aminophosphine (ory)-fused bipyridine cobalt complexes: Precise control of molecular weight and cis-1, 4-alt-3, 4 sequence. Inorg. Chem. 2018, 57, 4088–4097. [Google Scholar] [CrossRef]
- Annunziata, L.; Pragliola, S.; Pappalardo, D.; Tedesco, C.; Pellecchia, C. New (anilidomethyl) pyridine titanium (IV) and zirconium (IV) catalyst precursors for the highly chemo-and stereoselective cis-1,4-polymerization of 1, 3-butadiene. Macromolecules 2011, 44, 1934–1941. [Google Scholar] [CrossRef]
- Ricci, G.; Leone, G.; Boglia, A.; Masi, F.; Sommazzi, A. Cobalt: Characteristics, Compounds, and Applications; Vidmar, L.J., Ed.; Nova Science: Hauppauge, NY, USA, 2011; pp. 39–81. [Google Scholar]
- Gong, D.; Dong, W.; Hu, J.; Zhang, X.; Jiang, L. Living polymerization of 1, 3-butadiene by a Ziegler–Natta type catalyst composed of iron (III) 2-ethylhexanoate, triisobutylaluminum and diethyl phosphite. Polymer 2009, 50, 2826–2829. [Google Scholar] [CrossRef]
- Sato, H.; Yagi, Y. Studies on nickel-containing Ziegler-type catalysts. I. New catalysts for high-cis-1, 4-polybutadiene. Bull. Chem. Soc. Jpn. 1992, 65, 1299–1306. [Google Scholar] [CrossRef]
- Friebe, L.; Nuyken, O.; Obrecht, W. Neodymium-based Ziegler/Natta catalysts and their application in diene polymerization. Neodymium Based Ziegler Catal. Fundam. Chem. 2006, 204, 1–154. [Google Scholar]
- Kauffman, G.B. The discovery of ferrocene, the first sandwich compound. J. Chem. Educ. 1983, 60, 185. [Google Scholar] [CrossRef]
- Zhang, L.; Nishiura, M.; Yuki, M.; Luo, Y.; Hou, Z. Isoprene polymerization with yttrium amidinate catalysts: Switching the regio-and stereoselectivity by addition of AlMe3. Angew. Chem. Int. Ed. 2008, 120, 2682–2685. [Google Scholar] [CrossRef]
- Zhang, L.; Suzuki, T.; Luo, Y.; Nishiura, M.; Hou, Z. Cationic alkyl rare-earth metal complexes bearing an ancillary bis (phosphinophenyl) amido ligand: A ctalytic system for living cis-1, 4-polymerization and copolymerization of isoprene and butadiene. Angew. Chem. Int. Ed. 2007, 119, 1941–1945. [Google Scholar] [CrossRef]
- Sinn, H.; Kaminsky, W. Ziegler-Natta catalysis. Adv. Organomet. Chem. 1980, 18, 99–149. [Google Scholar]
- Sinn, H.; Kaminsky, W.; Vollmer, H.J.; Woldt, R. “Living polymers” on polymerization with extremely productive Ziegler catalysts. Angew. Chem. Int. Ed. 1980, 19, 390–392. [Google Scholar] [CrossRef]
- Li, X.; Nishiura, M.; Hu, L.; Mori, K.; Hou, Z. Alternating and random copolymerization of isoprene and ethylene catalyzed by cationic half-sandwich scandium alkyls. J. Am. Chem. Soc. 2009, 131, 13870–13882. [Google Scholar] [CrossRef]
- Zhu, X.; Guo, D.; Yao, F.; Huang, Z.; Li, Y.; Xie, Z.; Wang, S. Synthesis, characterization, and catalytic activity of dinuclear rare-earth metal alkyl complexes bearing 2, 6-diisopropylphenylamidomethyl functionalized pyrrolyl ligand. Organometallics 2021, 40, 1633–1641. [Google Scholar] [CrossRef]
- Kharitonov, V.B.; Muratov, D.V.; Loginov, D.A. Indenyl complexes of Group 9 metals: Synthetic and catalytic chemistry. Coord. Chem. Rev. 2019, 399, 213027. [Google Scholar] [CrossRef]
- Xu, X.; Chen, Y.; Feng, J.; Zou, G.; Sun, J. Half-sandwich indenyl rare earth metal dialkyl complexes: Syntheses, structures, and catalytic activities of (1,3-(SiMe3)2C9H5)Ln(CH2SiMe3)2(THF). Organometallics 2010, 29, 549–553. [Google Scholar] [CrossRef]
- Chai, Z.; Chu, J.; Qi, Y.; Tang, M.; Hou, J.; Yang, G. Half-sandwich chiral rare-earth metal complexes with linked tridentate amido-indenyl ligand: Synthesis, characterization, and catalytic properties for intramolecular hydroamination. RSC Adv. 2017, 7, 1759–1765. [Google Scholar] [CrossRef]
- Wang, B.; Wang, D.; Cui, D.; Gao, W.; Tang, T.; Chen, X.; Jing, X. Synthesis of the first rare earth metal bis (alkyl)s bearing an indenyl functionalized N-heterocyclic carbene. Organometallics 2007, 26, 3167–3172. [Google Scholar] [CrossRef]
- Yang, J.; Xie, Z. Reactivity of Traditional metal–carbon (alkyl) versus nontraditional metal–carbon (cage) bonds in organo-rare-earth metal complexes [η5: σ-(C9H6)(C2B10H10)]Ln(CH2C6H4-o-NMe2)(THF)2. Organometallics 2015, 34, 2494–2499. [Google Scholar] [CrossRef]
- Crabtree, R.H. The Organometallic Chemistry of Transition Metals; John Wiley & Sons, Inc.: Hoboken, NJ, USA, 2009; ISBN 978-0-470-25762-3. [Google Scholar]
- Deng, M.; Chi, S.; Luo, Y. Rare-earth metal bis (alkyl) complexes bearing pyrrolidinyl-functionalized cyclopentadienyl, indenyl and fluorenyl ligands: Synthesis, characterization and the ligand effect on isoprene polymerization. New J. Chem. 2015, 39, 7575–7581. [Google Scholar] [CrossRef]
- Han, Y.; Liu, Z.; Zhao, Z.; Liu, B.; Cui, D. Rare-earth metal bis (alkyl) complexes bearing the FluCH2-THF ligand: Synthesis, structures, and catalysis toward polymerizations of conjugated dienes. Organometallics 2022, 41, 1412–1418. [Google Scholar] [CrossRef]
- Wang, Y.; Wang, F. Synthesis of tetrahydrofurfurlfluorenyl lanthanide chloride complexes. Chin. J. Synth. Chem. 2008, 16, 107. [Google Scholar]
- Li, X.; Wang, X.; Tong, X.; Zhang, H.; Chen, Y.; Liu, Y.; Liu, H.; Wang, X.; Nishiura, M.; He, H. Aluminum effects in the syndiospecific copolymerization of styrene with ethylene by cationic fluorenyl scandium alkyl catalysts. Organometallics 2013, 32, 1445–1458. [Google Scholar] [CrossRef]
- Du, G.; Long, Y.; Xue, J.; Zhang, S.; Dong, Y.; Li, X. 1,4-Selective polymerization of 1,3-cyclohexadiene and copolymerization with styrene by cationic half-sandwich fluorenyl rare earth metal alkyl catalysts. Macromolecules 2015, 48, 1627–1635. [Google Scholar] [CrossRef]
- Austin, R.N.; Clark, T.J.; Dickson, T.E.; Killian, C.M.; Nile, T.A.; Schabacker, D.J.; McPhail, A.T. Synthesis and properties of novel substituted 4,5,6,7-tetrahydroindenes and selected metal complexes. J. Organomet. Chem. 1995, 491, 11–18. [Google Scholar] [CrossRef]
- Polo, E.; Bellabarba, R.M.; Prini, G.; Traverso, O.; Green, M.L. Synthesis of ring-substituted bis-η5-cyclopentadienyl derivatives of the Group IV elements containing the bicyclic ligands η5-C5H3(1,2-CH2–)n, n= 4, 5, or 6. J. Organomet. Chem. 1999, 577, 211–218. [Google Scholar] [CrossRef]
- Hu, X.; Huo, Y.; Yan, X.; Wang, F.; Pan, L.; Shi, X. Half-sandwich rare-earth metal complexes bearing 4, 5, 6, 7-tetrahydroindenyl ligands for highly syndiospecific (co) polymerization of styrene. Inorg. Chem. Commun. 2023, 153, 110784. [Google Scholar] [CrossRef]
- Xu, S.; Huo, Y.; Hu, X.; Wang, F.; Pan, L.; Shi, X. Cationic Half-sandwich tetrahydrofluorenyl rare-earth metal complexes as stable single-site catalysts for (co) polymerization of styrene and butadiene. Inorg. Chem. 2023, 62, 4980–4989. [Google Scholar] [CrossRef] [PubMed]
- Newman, T.H.; Klosin, J.; Nickias, P.N. Method for Producing Octahydrofluorenyl Metal Complexes. U.S. Patent No. 5,670,680, 23 September 1997.
- Thomas, E.J.; Rausch, M.D.; Chien, J.C. Synthesis of novel tetrahydrofluorenyl-containing group IV metallocenes for the Ziegler−Natta type polymerization of α-Olefins. Organometallics 2000, 19, 5744–5749. [Google Scholar] [CrossRef]
- Xu, X.; Chen, Y.; Sun, J. Indenyl abstraction versus alkyl abstraction of [(Indenyl)ScR2(thf)] by [Ph3C][B(C6F5)4]: Aspecific and syndiospecific styrene polymerization. Chem. Eur. J. 2009, 15, 846–850. [Google Scholar] [CrossRef]
- You, F.; Zhai, J.; So, Y.-M.; Shi, X. Rigid acridane-based pincer supported rare-earth complexes for cis-1, 4-polymerization of 1, 3-conjugated dienes. Inorg. Chem. 2021, 60, 1797–1805. [Google Scholar] [CrossRef]
- Zhai, J.; You, F.; Xu, S.; Zhu, A.; Kang, X.; So, Y.-M.; Shi, X. Rare-earth-metal complexes bearing an iminodibenzyl-PNP pincer ligand: Synthesis and reactivity toward 3, 4-selective polymerization of 1, 3-dienes. Inorg. Chem. 2022, 61, 1287–1296. [Google Scholar] [CrossRef] [PubMed]
- You, F.; Xu, S.; Wang, J.; Zhai, J.; Wang, F.; Pan, L.; So, Y.-M.; Shi, X. Access to derivatizable octahydrofluorenyl ligand: Half-sandwich rare-earth metal complexes for highly syndiospecific (co) polymerization of styrene. Inorg. Chem. 2022, 61, 1145–1151. [Google Scholar] [CrossRef] [PubMed]
- Du, G.; Xue, J.; Peng, D.; Yu, C.; Wang, H.; Zhou, Y.; Bi, J.; Zhang, S.; Dong, Y.; Li, X. Copolymerization of isoprene with ethylene catalyzed by cationic half-sandwich fluorenyl scandium catalysts. J. Polym. Sci. Pol. Chem. 2015, 53, 2898–2907. [Google Scholar] [CrossRef]
- Basalova, O.A.; Tolpygin, A.O.; Kovylina, T.A.; Cherkasov, A.V.; Fukin, G.K.; Lyssenko, K.A.; Trifonov, A.A. Bis (tetramethylaluminate) lanthanide complexes supported by amidinate ligands with a pendant Ph2P=X (X = O, S) group: Application in isoprene polymerization. Organometallics 2021, 40, 2567–2575. [Google Scholar] [CrossRef]
- Jing, C.; Wang, L.; Mahmood, Q.; Zhao, M.; Zhu, G.; Zhang, X.; Wang, X.; Wang, Q. Synthesis and characterization of aminopyridine iron (II) chloride catalysts for isoprene polymerization: Sterically controlled monomer enchainment. Dalton Trans. 2019, 48, 7862–7874. [Google Scholar] [CrossRef]
- Senyek, M. Polkyisoprene. In Kirk-Othmer Encyclopedia of Chemical Technology; John Wiley & Sons, Inc.: Hoboken, NJ, USA, 2000. [Google Scholar]
- Tadaki, T. Recent Trends of Polybutadiene and Polyisoprene. Nippon. Gumi Kyokaishi 2005, 78, 42–45. [Google Scholar] [CrossRef]
- Zhang, X.; Zhu, G.; Mahmood, Q.; Zhao, M.; Wang, L.; Jing, C.; Wang, X.; Wang, Q. Iminoimidazole-based Co (II) and Fe (II) complexes: Syntheses, characterization, and catalytic behaviors for isoprene polymerization. J. Polym. Sci. Pol. Chem. 2019, 57, 767–775. [Google Scholar] [CrossRef]
- Puskas, J.E.; Gautriaud, E.; Deffieux, A.; Kennedy, J.P. Natural rubber biosynthesis—A living carbocationic polymerization? Prog. Polym. Sci. 2006, 31, 533–548. [Google Scholar] [CrossRef]
- Tardif, O.; Nishiura, M.; Hou, Z. Rare earth alkyl and hydride complexes bearing silylene-linked cyclopentadienyl-phosphido ligands. Synthesis, structures, and catalysis in olefin hydrosilylation and ethylene polymerization. Tetrahedron 2003, 59, 10525–10539. [Google Scholar] [CrossRef]
- Zhang, L.; Luo, Y.; Hou, Z. Unprecedented isospecific 3, 4-polymerization of isoprene by cationic rare earth metal alkyl species resulting from a binuclear precursor. J. Am. Chem. Soc. 2005, 127, 14562–14563. [Google Scholar] [CrossRef]
- Jende, L.N.; Hollfelder, C.O.; Maichle-Mössmer, C.c.; Anwander, R. Rare-earth-metal allyl complexes supported by the [2-(N, N-dimethylamino) ethyl] tetramethylcyclopentadienyl ligand: Structural characterization, reactivity, and isoprene polymerization. Organometallics 2015, 34, 32–41. [Google Scholar] [CrossRef]
- Chen, J.; Gao, Y.; Xiong, S.; Delferro, M.; Lohr, T.L.; Marks, T.J. Metal and counteranion nuclearity effects in organoscandium-catalyzed isoprene polymerization and copolymerization. ACS. Catal. 2017, 7, 5214–5219. [Google Scholar] [CrossRef]
- Abramo, G.P.; Li, L.; Marks, T.J. Polynuclear catalysis: Enhancement of enchainment cooperativity between different single-site olefin polymerization catalysts by ion pairing with a binuclear cocatalyst. J. Am. Chem. Soc. 2002, 124, 13966–13967. [Google Scholar] [CrossRef]
- Delferro, M.; Marks, T.J. Multinuclear olefin polymerization catalysts. Chem. Rev. 2011, 111, 2450–2485. [Google Scholar] [CrossRef]
- McInnis, J.P.; Delferro, M.; Marks, T.J. Multinuclear group 4 catalysis: Olefin polymerization pathways modified by strong metal–metal cooperative effects. Acc. Chem. Res. 2014, 47, 2545–2557. [Google Scholar] [CrossRef]
- Wang, F.H.; She, S.Q.; Tao, Y.; Wang, X.R.; Chu, C.H.; Zhou, H.; Li, Q.-H. Syntheses and structures of bimetallic rare-earth complexes supported by pyrrolyl ligands and their high performance in isoprene polymerization. J. Mol. Struct. 2022, 1248, 131475. [Google Scholar] [CrossRef]
- Nishiura, M.; Guo, F.; Hou, Z. Half-sandwich rare-earth-catalyzed olefin polymerization, carbometalation, and hydroarylation. Acc. Chem. Res. 2015, 48, 2209–2220. [Google Scholar] [CrossRef]
- Bonnet, F.; Violante, C.D.C.; Roussel, P.; Mortreux, A.; Visseaux, M. Unprecedented dual behaviour of a half-sandwich scandium-based initiator for both highly selective isoprene and styrene polymerisation. Chem. Commun. 2009, 23, 3380–3382. [Google Scholar] [CrossRef]
- Cendrowski-Guillaume, S.M.; Le Gland, G.; Nierlich, M.; Ephritikhine, M. Lanthanide borohydrides as precursors to organometallic compounds. Mono (cyclooctatetraenyl) neodymium complexes. Organometallics 2000, 19, 5654–5660. [Google Scholar] [CrossRef]
- Bonnet, F.; Jones, C.E.; Semlali, S.; Bria, M.; Roussel, P.; Visseaux, M.; Arnold, P.L. Tuning the catalytic properties of rare earth borohydrides for the polymerisation of isoprene. Dalton Trans. 2013, 42, 790–801. [Google Scholar] [CrossRef]
- Zhang, Z.; Cui, D.; Wang, B.; Liu, B.; Yang, Y. Polymerization of 1, 3-conjugated dienes with rare-earth metal precursors. Mol. Catal. Rare-Earth Elem. 2010, 137, 49–108. [Google Scholar]
- Wang, L.; Liu, D.; Cui, D. NNN-Tridentate pyrrolyl rare-earth metal complexes: Structure and catalysis on specific selective living polymerization of isoprene. Organometallics 2012, 31, 6014–6021. [Google Scholar] [CrossRef]
- Dietrich, H.M.; Zapilko, C.; Herdtweck, E.; Anwander, R. Ln(AlMe4)3 as new synthetic precursors in organolanthanide chemistry: Efficient access to half-sandwich hydrocarbyl complexes. Organometallics 2005, 24, 5767–5771. [Google Scholar] [CrossRef]
- Fischbach, A.; Anwander, R. Rare-earth metals and aluminum getting close in Ziegler-type organometallics. In Neodymium Based Ziegler Catalysts–Fundamental Chemistry; Springer: Berlin/Heidelberg, Germany, 2006; pp. 155–281. [Google Scholar]
- Zimmermann, M.; Törnroos, K.W.; Anwander, R. Cationic rare-earth-metal half-sandwich complexes for the living trans-1,4-isoprene polymerization. Angew. Chem. Int. Ed. 2008, 47, 775–778. [Google Scholar] [CrossRef]
- Jothieswaran, J.; Fadlallah, S.; Bonnet, F.; Visseaux, M. Recent advances in rare earth complexes bearing allyl ligands and their reactivity towards conjugated dienes and styrene polymerization. Catalysts 2017, 7, 378. [Google Scholar] [CrossRef]
- Wang, B.; Cui, D.; Lv, K. Highly 3,4-selective living polymerization of isoprene with rare earth metal fluorenyl N-heterocyclic carbene precursors. Macromolecules 2008, 41, 1983–1988. [Google Scholar] [CrossRef]
- Bochmann, M.; Wilson, L.; Hursthouse, M.; Short, R. Cationic alkylbis (cyclopentadienyl) titanium complexes. Synthesis, reactions with CO and t-BuNC, and the structure of [Cp2Ti{η2-C(Me)Nt-Bu}(CN-t-bu)]BPh4• MeCN. Organometallics 1987, 6, 2556–2563. [Google Scholar] [CrossRef]
- Bochmann, M.; Wilson, L.M.; Hursthouse, M.B.; Motevalli, M. Insertion reactions of nitriles in cationic alkylbis (cyclopentadienyl) titanium complexes: The facile synthesis of azaalkenylidene titanium complexes and the crystal and molecular structure of [(indenyl)2Ti(NCMePh)(NCPh)]BPh4. Organometallics 1988, 7, 1148–1154. [Google Scholar] [CrossRef]
- Chen, E.Y.X.; Marks, T.J. Cocatalysts for metal-catalyzed olefin polymerization: Activators, activation processes, and structure−activity relationships. Chem. Rev. 2000, 100, 1391–1434. [Google Scholar] [CrossRef]
- Grassi, A.; Zambelli, A.; Laschi, F. Reductive decomposition of cationic half-titanocene (IV) complexes, precursors of the active species in syndiospecific styrene polymerization. Organometallics 1996, 15, 480–482. [Google Scholar] [CrossRef]
- Jordan, R.F.; Bajgur, C.S.; Willett, R.; Scott, B. Ethylene polymerization by a cationic dicyclopentadienyl zirconium (IV) alkyl complex. J. Am. Chem. Soc. 1986, 108, 7410–7411. [Google Scholar] [CrossRef]
- Jordan, R.F.; Dasher, W.E.; Echols, S.F. Reactive cationic dicyclopentadienyl zirconium (IV) complexes. J. Am. Chem. Soc. 1986, 108, 1718–1719. [Google Scholar] [CrossRef]
- Jordan, R.F.; LaPointe, R.E.; Bajgur, C.S.; Echols, S.F.; Willett, R. Chemistry of cationic zirconium (IV) benzyl complexes. One-electron oxidation of d0 organometallics. J. Am. Chem. Soc. 1987, 109, 4111–4113. [Google Scholar] [CrossRef]
- Kaita, S.; Hou, Z.; Nishiura, M.; Doi, Y.; Kurazumi, J.; Horiuchi, A.C.; Wakatsuki, Y. Ultimately specific 1, 4-cis polymerization of 1, 3-butadiene with a novel gadolinium catalyst. Macromol. Rapid Commun. 2003, 24, 179–184. [Google Scholar] [CrossRef]
- Lin, Z.; Le Marechal, J.F.; Sabat, M.; Marks, T.J. Models for organometallic molecule-support complexes. Synthesis and properties of cationic organoactinides. J. Am. Chem. Soc. 1987, 109, 4127–4129. [Google Scholar] [CrossRef]
- Liu, S.; Du, G.; He, J.; Long, Y.; Zhang, S.; Li, X. Cationic tropidinyl scandium catalyst: A perfectly acceptable substitute for cationic half-sandwich scandium catalysts in cis-1, 4-polymerization of isoprene and copolymerization with norbornene. Macromolecules 2014, 47, 3567–3573. [Google Scholar] [CrossRef]
- Matyjaszewski, K. Cationic Polymerizations: Mechanisms, Synthesis & Applications; CRC Press: Boca Raton, FL, USA, 1996. [Google Scholar]
- Takeuchi, D. Stereoseletive polymerization of conjugated dienes. In Encyclopedia of Polymer Science and Technology; John Wiley & Sons, Inc.: Hoboken, NJ, USA, 2013. [Google Scholar]
- Valente, A.; Mortreux, A.; Visseaux, M.; Zinck, P. Coordinative chain transfer polymerization. Chem. Rev. 2013, 113, 3836–3857. [Google Scholar] [CrossRef]
- Dumas, M.T.; Jenkins, T.F.; Wedal, J.C.; Ziller, J.W.; Furche, F.; Evans, W.J. Synthesis of a 2-isocyanophenolate ligand,(2-CNC6H4O)1–, by ring-opening of benzoxazole with rare-earth metal complexes. Organometallics 2021, 40, 735–741. [Google Scholar] [CrossRef]
- Fu, T.; Jiang, L.; Sun, H.; Hou, Z.; Guo, F. Scandium-catalyzed stereoselective block and alternating copolymerization of diphenylphosphinostyrenes and isoprene. Polym. Chem. 2022, 13, 3498–3505. [Google Scholar] [CrossRef]
- Pan, L.; Zhang, K.; Nishiura, M.; Hou, Z. Chain-shuttling polymerization at two different scandium sites: Regio-and stereospecific “one-pot” block copolymerization of styrene, isoprene, and butadiene. Angew. Chem. Int. Ed. 2011, 50, 12012–12015. [Google Scholar] [CrossRef]
- Tian, J.; Wang, Y.; Fu, H.; Guo, F. Copolymerization of ethylene and conjugated dienes catalyzed by half-sandwich scandium complexes. Acta Polym. Sin. 2019, 50, 826–833. [Google Scholar]
- Tardif, O.; Kaita, S. Generation of cationic indenyl silylamide gadolinium and scandium complexes [(Ind)Ln{N(SiMe3)2}]+[B(C6F5)4]− and their reactivity for 1, 3-butadiene polymerization. Dalton Trans. 2008, 2531–2533. [Google Scholar] [CrossRef]
- Shi, Z.; Meng, R.; Guo, F.; Xu, Q.; Li, T.; Li, Y.; Wang, Y. Synthesis of high cis-1, 4 polybutadiene with narrow molecular weight distribution catalyzed by a half-sandwich scandium catalyst (C5H5)Sc(CH2C6H4NMe2-o)2. Acta Polym Sin. 2014, 10, 1420–1427. [Google Scholar]
- Jian, Z.; Tang, S.; Cui, D. A Lutetium allyl complex that bears a pyridyl-functionalized cyclopentadienyl ligand: Dual catalysis on highly syndiospecific and cis-1, 4-selective (co) polymerizations of styrene and butadiene. Chem. Eur. J. 2010, 16, 14007–14015. [Google Scholar] [CrossRef]
- Paolucci, G.; Zanella, A.; Bortoluzzi, M.; Sostero, S.; Longo, P.; Napoli, M. New constrained geometry catalysts-type yttrium, samarium and neodymium derivatives in olefin polymerization. J. Mol. Catl. A Chem. 2007, 272, 258–264. [Google Scholar] [CrossRef]
- Barbotin, F.; Spitz, R.; Boisson, C. Heterogeneous Ziegler-Natta catalyst based on neodymium for the stereospecific polymerization of butadiene. Macromol. Rapid Commun. 2001, 22, 1411–1414. [Google Scholar] [CrossRef]
- Masliy, A.N.; Akhmetov, I.G.; Kuznetsov, A.M.; Davletbaeva, I.M. Comparative ONIOM modeling of 1,3-butadiene polymerization using Nd (III) and Gd (III) Ziegler–Natta catalyst systems. Int. J. Quantum Chem. 2024, 124, e27297. [Google Scholar] [CrossRef]
- Peng, W.; Xie, J.; Zhang, J.; Yang, X.; He, A. Isoprene polymerizations catalyzed by TiCl4/MgCl2 type Ziegler-Natta catalysts with different titanium contents. Mol. Catal. 2020, 494, 111110. [Google Scholar] [CrossRef]
- Vitorino, M.J.; Devic, T.; Tromp, M.; Férey, G.; Visseaux, M. Lanthanide metal-organic frameworks as Ziegler–Natta catalysts for the selective polymerization of isoprene. Macromol. Chem. Phys. 2009, 210, 1923–1932. [Google Scholar] [CrossRef]
- Pellecchia, C.; Pappalardo, D.; Oliva, L.; Zambelli, A. eta. 5-C5Me5TiMe3-B(C6F5)3: A true Ziegler-Natta catalyst for the syndiotactic-specific polymerization of styrene. J. Am. Chem. Soc. 1995, 117, 6593–6594. [Google Scholar] [CrossRef]
- Soga, K.; Uozumi, T.; Yanagihara, H.; Siono, T. Polymerization of styrene with heterogeneous Ziegler-Natta catalysts. Die Makromol. Chem. Rapid Commun. 1990, 11, 229–234. [Google Scholar] [CrossRef]
- Niu, Q.; Jin, M.; He, A.; Chen, T.; Liu, G.; Si, C. Effect of external electron donor on stereoselective Copolymerization of isoprene and butadiene with MgCl2-Supported Ziegler-Natta catalyst. Polymer 2021, 233, 124207. [Google Scholar] [CrossRef]
- Niu, Q.; Li, W.; Liu, X.; Wang, R.; He, A. Trans-1, 4-stereospecific copolymerization of isoprene and butadiene catalyzed by TiCl4/MgCl2 type Ziegler-Natta catalyst II. Copolymerization Kinetics and Mechanism. Polymer 2018, 143, 173–183. [Google Scholar] [CrossRef]
- Niu, Q.; Zhang, J.; He, A. Trans-1,4-stereospecific copolymerization of isoprene and butadiene catalyzed by TiCl4/MgCl2 Ziegler–Natta catalyst: III Effect of alkylaluminium on monomer reactivity ratios. Polym. Int. 2021, 70, 1449–1455. [Google Scholar] [CrossRef]
- Niu, Q.; Zhang, J.; Peng, W.; Fan, Z.; He, A. Effect of alkylaluminium on the regio-and stereoselectivity in copolymerization of isoprene and butadiene using TiCl4/MgCl2 type Ziegler-Natta catalyst. Mol. Catal. 2019, 471, 1–8. [Google Scholar] [CrossRef]
- Zhang, J.; Peng, W.; He, A. Influence of alkylaluminium on the copolymerization of isoprene and butadiene with supported Ziegler-Natta catalyst. Polymer 2020, 203, 122766. [Google Scholar] [CrossRef]
- Chen, B.; Gong, D. Polymerization of butadiene and isoprene using α-diimine cobalt catalysts bearing electron donor at the N-aryl of imine. J. Organomet. Chem. 2023, 994, 122727. [Google Scholar] [CrossRef]
- Fang, L.; Zhao, W.-P.; Zhang, C.-Y.; Zhang, X.-Q.; Shen, X.-D.; Liu, H.; Kakuchi, T. Highly Efficient and thermal robust cobalt complexes for 1, 3-butadiene polymerization. Chinese. J. Polym. Sci. 2022, 40, 1369–1379. [Google Scholar] [CrossRef]
- Hashmi, O.H.; Visseaux, M.; Champouret, Y. Evidence of coordinative chain transfer polymerization of isoprene using iron iminopyridine/ZnEt2 catalytic systems. Polym. Chem. 2021, 12, 4626–4631. [Google Scholar] [CrossRef]
- Huo, Y.; Hu, X.; Wang, J.; Hu, H.; Shi, X. Amido-trihydroquinoline ligated rare-earth metal complexes for polymerization of isoprene. New J. Chem. 2022, 46, 8277–8283. [Google Scholar] [CrossRef]
- Lin, W.; Zhang, L.; Suo, H.; Vignesh, A.; Yousuf, N.; Hao, X.; Sun, W.H. Synthesis of characteristic polyisoprenes using rationally designed iminopyridyl metal (Fe and Co) precatalysts: Investigation of co-catalysts and steric influence on their catalytic activity. New J. Chem. 2020, 44, 8076–8084. [Google Scholar] [CrossRef]
- Oswald, A.D.; Verrieux, L.; Breuil, P.-A.R.; Olivier-Bourbigou, H.; Thuilliez, J.; Vaultier, F.; Taoufik, M.; Perrin, L.; Boisson, C. Cationic phenoxyimine complexes of yttrium: Synthesis, characterization, and living polymerization of isoprene. Organometallics 2022, 41, 2106–2118. [Google Scholar] [CrossRef]
- Tolpygin, A.O.; Sachkova, A.A.; Mikhailychev, A.D.; Ob’edkov, A.M.; Kovylina, T.A.; Cherkasov, A.V.; Fukin, G.K.; Trifonov, A.A. Sc and Y bis (alkyl) complexes supported by bidentate and tridentate amidinate ligands. Synthesis, structure and catalytic activity in polymerization of isoprene and 1-heptene. Dalton Trans. 2022, 51, 7723–7731. [Google Scholar] [CrossRef]
- Zhang, G.; Wang, S.; Zhou, S.; Wei, Y.; Guo, L.; Zhu, X.; Zhang, L.; Gu, X.; Mu, X. Synthesis and reactivity of rare-earth-metal monoalkyl complexes supported by bidentate indolyl ligands and their high performance in isoprene 1,4-cis polymerization. Organometallics 2015, 34, 4251–4261. [Google Scholar] [CrossRef]
- Chu, C.H.; Wang, X.R.; Huang, J.S.; Huang, Z.M.; Li, Q.H.; Wang, F.H. Rare-earth metal complexes supported by indolyl-based NCN-pincer ligand and their efficient catalysis for isoprene polymerization. J. Mol. Struct. 2023, 1285, 135498. [Google Scholar] [CrossRef]
- Gong, D.; Wang, B.; Cai, H.; Zhang, X.; Jiang, L. Synthesis, characterization and butadiene polymerization studies of cobalt (II) complexes bearing bisiminopyridine ligand. J. Organomet. Chem. 2011, 696, 1584–1590. [Google Scholar] [CrossRef]
- Gu, X.; Wang, S.; Wei, Y.; Zhu, X.; Zhou, S.; Huang, Z.; Mu, X. Rare earth metal bisamido complexes with an NNO tridentate ligand and catalytic activity for the selective polymerization of isoprene. New J. Chem. 2017, 41, 7723–7728. [Google Scholar] [CrossRef]
- Han, Z.; Zhang, Y.; Wang, L.; Zhu, G.; Kuang, J.; Zhu, G.; Xu, G.; Wang, Q. 3, 4-Enhanced polymerization of isoprene catalyzed by side-arm tridentate iminopyridine iron complex with high activity: Optimization via response surface methodology. Polymers 2023, 15, 1231. [Google Scholar] [CrossRef] [PubMed]
- Hu, H.; Ma, R.; Cui, C.; Mao, G.; Xin, S. Advances in PNP-ligated rare-earth-metal complexes: Reactivity and catalytic performances. Polyolefins J. 2023, 10, 89–99. [Google Scholar]
- Tolpygin, A.O.; Glukhova, T.A.; Cherkasov, A.V.; Fukin, G.K.; Aleksanyan, D.V.; Cui, D.; Trifonov, A.A. Bis (alkyl) rare-earth complexes supported by a new tridentate amidinate ligand with a pendant diphenylphosphine oxide group. Synthesis, structures and catalytic activity in isoprene polymerization. Dalton Trans. 2015, 44, 16465–16474. [Google Scholar] [CrossRef]
Disclaimer/Publisher’s Note: The statements, opinions and data contained in all publications are solely those of the individual author(s) and contributor(s) and not of MDPI and/or the editor(s). MDPI and/or the editor(s) disclaim responsibility for any injury to people or property resulting from any ideas, methods, instructions or products referred to in the content. |
© 2025 by the authors. Licensee MDPI, Basel, Switzerland. This article is an open access article distributed under the terms and conditions of the Creative Commons Attribution (CC BY) license (https://creativecommons.org/licenses/by/4.0/).





















