Abstract
Sitagliptin, an important anti-diabetic drug, can be obtained using transaminase (TA) enzymes, which are known to be promising biocatalysts for the production of highly enantiopure amines under mild reaction conditions. In an industrial context, the use of immobilized enzymes can provide several advantages, such as the improved stability of the biocatalyst and easy product recovery. In this study, a new commercially available transaminase enzyme to produce sitagliptin was immobilized on inorganic and organic supports using two different approaches: adsorption and covalent bond formation. Among the inorganic media, non-functionalized silica gel was chosen for its stability and competitive cost. A range of commercially available resins with different functionalities have also been selected for their characteristics that can meet industrial standards. The immobilized biocatalysts were first tested in the transamination of acetophenone as a model substrate, which obtains, in most cases, higher conversions with respect to soluble enzymes. The best results in the enantioselective synthesis of sitagliptin were achieved with the sample immobilized on the epoxy- and octadecyl-functionalized methacrylic resin, which allowed the complete conversion of the corresponding ketone and high enantioselectivity (>99% ee). Moreover, the recycling of the supported enzyme could be performed in a continuous flow system without loss of activity for five consecutive runs.
1. Introduction
Biocatalysis has emerged as an important tool for the synthesis of enantiomerically pure molecules not only in academia but also for industrial applications. Several biotransformations have been introduced in the industry, offering a sustainable alternative to conventional chemical methods [1]. Among the different biocatalytic reactions, transamination reactions catalyzed by transaminases (TAs) provide an attractive route for chiral amines, which play an important role in the pharmaceutical, agrochemical, and chemical industries [2,3]. TAs are pyridoxal-5′-phosphate (PLP)-dependent enzymes, and the catalytic cycle of the transamination reaction consists of two half-reactions (ping-pong mechanism). The transamination reaction can generate chiral amines by the kinetic resolution/deracemization of racemic amines or by asymmetric synthesis from prochiral ketones [4,5]. This latter approach is usually preferred as a 100% theoretical yield is possible, although it suffers from an unfavorable reaction equilibrium. Different strategies have been proposed to solve this problem. Among these, the use of isopropyl amine in significant excess as an amino donor allows the optimization of the process by shifting the reaction towards the product side and allowing easy removal via the evaporation of the byproduct acetone. In addition, thanks to the availability of (S)-and (R)-selective ω-transaminases (ω-TAs), both enantiomers of enantiopure amines can be synthetized (Scheme 1) [5,6].
Scheme 1.
Asymmetric synthesis of chiral amines using (S)- or (R)-selective ω-TAs.
Concerning TAs, poor stability and low activity toward bulky substrates may hamper their large-scale industrial application. Continuous operation and immobilization techniques have proven to be very effective strategies for improving the operational efficiency and re-usability of TA biocatalysts compared to batch processes [7,8]. Furthermore, the possibility offered by using the immobilized biocatalysts under flow conditions offers several advantages, such as limited enzyme inhibition, easy product recovery, and reduced environmental impact [8]. A wide range of immobilization strategies for transaminases have been reported by employing different support materials chosen mainly based on their availability and cost [8]. Although the use of immobilized TAs can allow chiral amines to be synthesized at a kilogram scale, only a few have been prepared compared with the large number of enantiopure compounds obtained from soluble transaminases [8].
The most important drug prepared using TAs is sitagliptin 1, an anti-diabetic drug for the treatment of type II diabetes (Figure 1), sold under the brand name Januvia, among others. The manufacture of sitagliptin was developed by Merck & Co., and in 2006, the U.S. Food and Drug Administration (FDA) approved its medical use [9].
Figure 1.
Chemical structure of sitagliptin 1.
Over the past two decades, biocatalytic approaches for the synthesis of 1 have been reported in the literature [10,11]. The enzymatic route developed by Merck and Codexis [12] was recognized by the 2010 EPA Presidential Green Chemistry Award. Moreover, isolated studies on transaminase immobilization for the synthesis of sitagliptin have been published [13,14,15]. Truppo et al. demonstrated the successful immobilization of transaminase on a highly hydrophobic octadecyl functionalized polymethacrylate resin, which was used in an organic solvent and reused for 10 consecutive recycles with 80% conversion [13]. Zhang et al. constructed a mutant (R)-selective TA, which was co-immobilized on an epoxy resin carrier [14]. The biosynthesis of 1 was conducted in a recirculating packed bed reactor (RPBR) for several batches with a high space–time yield and Ee. More recently, a different approach that involved protein engineering and self-assembling techniques was proposed by Wei et al. [15]. The obtained Januvia self-assembled transaminase biocatalyst showed improved catalytic activity and stability, although the enantioselectivity of the product was not reported.
A few references to the immobilization of transaminases for the synthesis of 1 are also found in the patent literature [16,17,18,19,20,21,22,23]. However, some of these contributions concern the use of commercially unavailable enzyme preparations or immobilization procedures which are very complicated and difficult to replicate. Immobilization on epoxy resins has been described in some cases [22,23], but the results obtained in the recycling of the biocatalysts have not proved suitable for large-scale applications.
Although several immobilized TAs have been used to date for the synthesis of sitagliptin, it must be considered that each enzyme may behave differently in the immobilization process. Therefore, the type of support and the experimental procedure must be optimized for each enzyme while also considering that the results can hardly be extended to different enzymes.
In this work, we report our contribution to the study of immobilization through a new transaminase, kindly provided by Enzymaster DE Gmbh [24]. This enzyme, which is commercially available at a competitive cost, was immobilized for the first time on inorganic and organic carriers by two techniques: adsorption and covalent binding. The obtained immobilized samples were tested in the asymmetric synthesis of sitagliptin 1, and the best-performing biocatalyst was applied successfully under batch and flow conditions.
2. Results and Discussion
2.1. Immobilization of EMIN041
Recently, we reported the successful immobilization of ketoreductase enzymes both on silica-based supports and functionalized methacrylate resins [25,26]. These immobilized biocatalysts allowed the efficient asymmetric synthesis of high-added-value enantiopure compounds under mild reaction conditions.
Following a similar approach, the immobilization of a new commercial transaminase enzyme EMIN041 was studied using two different methods: (a) the adsorption of the enzyme with support and (b) covalent binding between the enzyme and the activated groups of the functionalized support.
The selection of the support was guided mainly by its low cost and availability. Among the inorganic media, non-functionalized silica gel was chosen for its stability and competitive cost. A range of commercially available resins with different functionalities have also been selected for their well-defined characteristics that can meet industrial standards.
Immobilization through adsorption was carried out using a commercial non-functionalized silica gel (Scheme 2) and an octadecyl-activated methacrylate resin (Scheme 3).
Scheme 2.
Immobilization by the adsorption of the enzyme on silica gel.
Scheme 3.
Immobilization by the adsorption of the enzyme on octadecyl-functionalized resin.
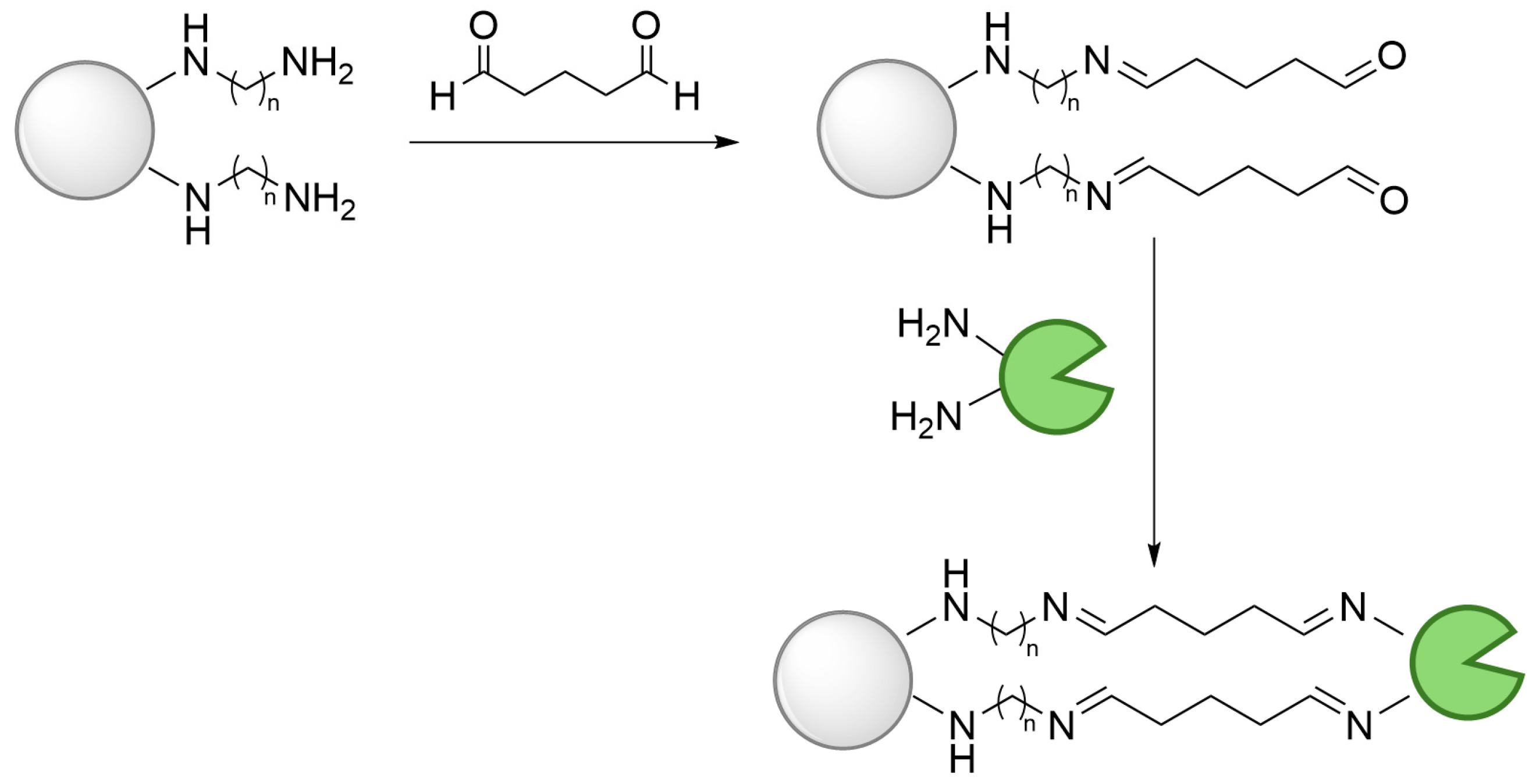
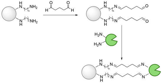
Epoxy and amino-functionalized methacrylate resins were used for immobilization through the formation of covalent bonds (Scheme 4a,b and Scheme 5).
Scheme 4.
Enzyme immobilization by covalent bond formation on (a) epoxy-functionalized resin and (b) epoxy- and octadecyl-functionalized resins.
Scheme 5.
Glutaraldehyde activation of amino-functionalized resins and enzyme immobilization via covalent bond formation.
The amino resins need pre-activation with glutaraldehyde, which allows for the reaction of the aldehyde groups with the amino groups of the enzyme (Scheme 4).
The binding efficiency was 96.8% for the sample immobilized on silica gel and >99% for the samples immobilized on functionalized methacrylate supports, which corresponds to 5 wt.% loading of transaminase on the resin. This value is comparable to that obtained by Truppo et al. (4 wt.%) for the immobilization of a transaminase on a highly hydrophobic octadecyl functionalized polymethacrylate resin [13].
The activity of the immobilized samples was first tested in the transamination reaction of acetophenone 2 (Scheme 6), which has been extensively used as a model substrate. The reaction was performed in a solvent mixture consisting of a 9:1 triethanolamine buffer (TEOA buffer, 100 mM, pH 9):DMSO, with 1 mM PLP and 1 mM isopropyl amine at 40 °C. DMSO was used as the solvent for the ketone solubilization. The results compared to free EMIN041 are reported in Table 1.
Scheme 6.
Transamination reaction of acetophenone 2.
Table 1.
Transamination of acetophenone 2 with soluble and immobilized TAs after 24 h.
As can be observed in Table 1, higher conversions with respect to soluble enzymes were obtained with the enzyme immobilized through adsorption (entries 2 and 3) and covalent bond formation with epoxy-functionalized resins (entries 4 and 5). Lower conversions were observed with the samples supported on amino-functionalized resins (entries 6 and 7).
2.2. Enantioselective Transamination of Pro-Sitagliptin Ketone Under Batch Conditions
The transamination reaction of pro-sitagliptin ketone 3 was conducted under the same reaction conditions used for 2 (Scheme 7, Table 2) with the immobilized enzyme samples.
Scheme 7.
Transamination reaction for the synthesis of 1.
Table 2.
Transamination of ketone 3 with soluble and immobilized EMIN041 after 24 h.
As can be seen in Table 2, EMIN041@EMC7032 was the most efficient among the immobilized TA samples since it led to the highest conversion of 99% and an enantiomeric excess of >99%. It must be noted that this carrier combines epoxy groups for covalent binding with a highly hydrophobic matrix and is particularly suitable for use in the presence of hydrophobic substrates. EMIN041@ECR8215 also turnover the product with high yield of 98%. In contrast, lower conversions were obtained with the samples immobilized on non-functionalized silica gel or amino-functionalized resins (entries 2, 6, and 7, respectively). The very low conversion of the substrate was observed when the EMIN041 sample was immobilized by adsorption on the octadecyl resin (entry 3).
2.3. Enantioselective Transamination of Pro-Sitagliptin Ketone Under Flow Conditions
It is well known that the use of immobilized enzymes offers several advantages, such as the easier recovery of the biocatalyst and its recycling in successive batches [27]. In this regard, the continuous flow mode has been demonstrated as a strategic approach for the synthesis of chiral amines [28].
A few years ago, we reported the flow synthesis of a high-added-value chiral amine via the transamination of the corresponding ketone using immobilized ω-transaminases with (R)-selectivity or (S)-selectivity [29]. The flow process showed good stability and excellent enantioselectivity after several cycles.
The good results obtained both in terms of activity and enantioselectivity with EMIN041 supported on epoxy-functionalized resins prompted its use to study the further optimization of the reaction through the recycling of the biocatalyst.
Therefore, the immobilized sample EMIN041@EMC7032 was used to pack a PEEK column from which the substrate solution in TEOA:DMSO 9:1 was circulated using a suitable pump (Figure 2). The system was thermostated at 40 °C.
Figure 2.
Continuous flow system for the synthesis of 1.
The conversion of the substrate was followed by taking samples from the reaction mixture, which were analyzed by HPLC. After 24 h, the complete conversion of the substrate was observed. The column was washed with TEOA:DMSO ratio of 9:1 until no product was detectable, and it was reused under the same experimental conditions for five consecutive reaction cycles. The results are reported in Figure 3.
Figure 3.
The reuse of EMIN041@EMC7032 in five consecutive cycles in the transamination reaction for the synthesis of 1 in a flow system (reaction time: 24 h; temperature: 40 °C).
In all cycles, complete conversion and high enantiomeric excess (>99%) were obtained within 24 h. After each use, the enzymatic reactor was stored at 4 °C and reused for the following cycle under the same experimental conditions.
It is noteworthy that no detectable loss of activity and enantioselectivity was observed after several hours of use at 40 °C in a solvent mixture containing DMSO.
3. Materials and Methods
3.1. Materials
The EMIN041 transaminase enzyme was kindly provided by Enzymaster Deutschland GmbH (Düsseldorf, Germany). Immobilization supports were kindly provided by Purolite® (Llantrisant, UK) and Sunresin® (Xi’an, China). Cofactor PLP was purchased from Merck (Darmstad, Germany). Bovine Serum Albumin and Coomassie Brilliant Blue G-250 dye were purchased from Merck (Darmstad, Germany). Unless otherwise stated, the solvents used in this work were HPLC-grade (purchased from Merck (Darmstad, Germany) and were used without further purification. Isopropylamine was purchased from Merck (Darmstad, Germany). (2Z)-4-Oxo-4-[3-(trifluoromethyl)-5,6-dihydro-[1,2,4]-triazol [4,3-a]-pyrazine-7(8H)-yl]-1-(2,4,5-trifluorophenyl)-butan-2-one and sitagliptin were kindly donated by Enzymaster Deutschland GmbH (Düsseldorf, Germany).
3.2. HPLC Analysis
The analysis of the extent of conversion was performed by a Jasco (Jasco Europe, Cremella, Italy) HPLC system equipped with a PU-2080 Plus pump, AS-2059 Plus autosampler, CO-2060 Plus column oven, UV-2075 Plus UV Detector, and a Phenomenex reverse phase column (Kinetex EVO C18, 150 × 4.6 mm, 5 μm). Elution was performed with phase A: H2O + 0.1% v/v TFA and phase B: MeCN + 0.1% v/v in gradient mode at a flow rate of 1 mL/min, 25 °C, and detection at 268 nm. The gradient elution program was 0–2 min: 20% solvent B, 3–8 min: linear increase to 55% B, 8–15 min: linear increase to 20% B. The retention times for sitagliptin 1 and pro-sitagliptin ketone 3 were 5.2 min and 6.7 min, respectively.
The enantiomeric excess of 1 was determined by a Jasco HPLC system equipped with a PU-880 Plus pump, CO-2060 Plus column oven, UV-875 UV Detector, and a Daicel chiral column (CHIRALPAK AD, 250 × 4.60 mm). Elution was carried out with EtOH:Hex:DEA 60:40:0.1 at a flow rate of 0.5 mL/min, 25 °C, and detection at 268 nm. The retention time for sitagliptin was 27 min.
The absolute configuration of 1 was assigned by comparing the elution order with that of an authentic sample of known configuration.
3.3. General Transaminase EMIN041 Immobilization Procedure
3.3.1. Immobilization onto Silica Gel
The enzyme solution was prepared by dissolving the lyophilized enzyme into phosphate buffer (100 mM; pH 7.0) to obtain a silica gel/buffer ratio of 1:4 (w/v). The silica gel was first transferred to the immobilization vessel (50 mL flask), and the immobilization solution containing the enzyme was then added. The slurry was gently mixed for 24 h at 25 °C. The gel was washed three times at 1:4 (w/v) with a phosphate buffer (100 mM; pH 7.0) and filtered. The immobilized biocatalyst was then dried under a vacuum until a constant weight was reached and stored at 4 °C as a dispersion in the phosphate buffer (100 mM; pH 7.0).
3.3.2. Immobilization onto Octadecyl-Functionalized Resin
The resin was washed three times with phosphate buffer (10 mM; pH 7.0) up to a resin/buffer ratio of 1:2 (w/v). The enzyme solution was prepared by dissolving the lyophilized enzyme into phosphate buffer (10 mM; pH 7.0) to obtain a resin/buffer ratio of 1:4 (w/v). The resin was transferred to the immobilization vessel (50 mL flask), and then the immobilization solution containing the enzyme was added. The slurry was gently mixed for 24 h at 25 °C, washed 3 times at 1:4 (w/v) with phosphate buffer (10 mM; pH 7.0), and filtrated. The immobilized biocatalyst was then dried under vacuum until a constant weight was reached and stored at 4 °C as a dispersion in phosphate buffer (100 mM; pH 7.0).
3.3.3. Immobilization onto Epoxy-Functionalized Resin
The resin was washed three times with phosphate buffer (1 M; pH 7.0) to a resin/buffer ratio of 1:2 (w/v). The enzyme solution was prepared by dissolving the lyophilized enzyme in phosphate buffer (1 M; pH 7.0) to obtain a resin/buffer ratio of 1:4 (w/v). The epoxy resin was transferred to the immobilization vessel (50 mL flask), and then the immobilization solution containing the enzyme was added. The slurry was gently mixed for 18 h at 25 °C and left without mixing for a further 20 h at 25 °C. The resin was washed 3 times at a ratio of 1:4 (w/v) with a phosphate buffer (1 M; pH 7.0) and filtered. The immobilized biocatalyst was then dried under a vacuum to a constant weight and stored at 4 °C as a dispersion in the phosphate buffer (100 mM; pH 7.0).
3.3.4. Immobilization onto Amino-Functionalized Resin
The resin was washed three times with phosphate buffer (10 mM; pH 7.0) up to a resin/buffer ratio of 1:2 (w/v). The resin was then pre-activated with a 1% (v/v) glutaraldehyde solution in the phosphate buffer (10 mM; pH 7.0) to obtain a resin/buffer ratio of 1:4 (w/v) and gently mixed at 25 °C for 1 h. The glutaraldehyde solution was removed by filtration, and the resin was washed three times with the phosphate buffer (10 mM; pH 7.0). The enzyme solution was prepared by dissolving the lyophilized enzyme into the phosphate buffer (10 mM; pH 7.0) to obtain a resin/buffer ratio of 1:4 (w/v). The amino resin was transferred to the immobilization vessel (50 mL flask), and then the immobilization solution containing the enzyme was added. The slurry was gently mixed for 18 h at 25 °C. The resin was washed three times at a ratio of 1:4 (w/v) with phosphate buffer (10 mM; pH 7.0) and filtered. An additional washing step was performed with a NaCl solution (0.5 M) in phosphate buffer (10 mM; pH 7.0) for the complete desorption of non-covalently bound proteins, followed by one wash with the phosphate buffer (10 mM; pH 7.0). The immobilized biocatalyst was then filtered, dried under vacuum until constant weight was reached, and stored at 4 °C as a dispersion in the phosphate buffer (100 mM; pH 7.0).
In all immobilization procedures, the binding efficiency was calculated as the percentage ratio between the total amount of immobilized enzyme (protein amount in the starting solution minus protein amount in the supernatant) and the total protein amount initially applied with the starting solution. The protein concentration of the samples was determined by the Bradford Protein Assay [30] using Bovine Serum Albumin as the standard and Coomassie Brilliant Blue G-250 dye.
3.4. Transamination Reaction with Soluble Transaminase EMIN041
The transamination reaction of acetophenone 2 or (2Z)-4-oxo-4-[3-(trifluoromethyl)-5,6-dihydro-[1,2,4]triazolo [4,3-a]pyrazine-7(8H)-yl]-1-(2,4,5-trifluorophenyl)butan-2-one 3 was carried out in a 15 mL Eppendorf tube inserted into an Eppendorf Thermomixer C, which combines temperature control and mixing. In total, 10 mg of the lyophilized enzyme sample was dissolved in 500 μL of iPrNH2 and PLP solution (5 M, 1 mM in water; pH 9.0) and 4 mL triethanolamine buffer (100 mM; pH 9.0). The solution was pre-incubated at 40 °C for 5 min. A total of 500 μL of a 20 mg/mL solution of acetophenone or (2Z)-4-oxo-4-[3-(trifluoromethyl)-5,6-dihydro-[1,2,4]triazolo [4,3-a]pyrazine-7(8H)-yl]-1-(2,4,5-trifluorophenyl)butan-2-one in DMSO was then added, and the mixture stirred at 40 °C and 800 rpm. The reaction was monitored by HPLC analysis by taking aliquots (50 μL) at different time intervals, quenching with MeCN (200 μL), and diluting in H2O:MeCN 1:1, centrifuging and analyzing using HPLC. After 24 h, the reaction mixture was filtered on celite, the filtrate was saturated with NaCl, and it was extracted with 20 mL of ethyl acetate in two volumes. The organic phases obtained were washed with brine to neutrality, dehydrated with Na2SO4, and concentrated under reduced pressure. Sitagliptin was recovered as a white solid and characterized by chiral HPLC.
3.5. Transamination Reaction with Immobilized Transaminase EMIN041
3.5.1. Transamination Under Batch Conditions
The transamination reaction of acetophenone 2 or (2Z)-4-oxo-4-[3-(trifluoromethyl)-5,6-dihydro-[1,2,4]triazolo [4,3-a]pyrazine-7(8H)-yl]-1-(2,4,5-trifluorophenyl)butan-2-one 3 was carried out in a 15 mL Eppendorf tube inserted into an Eppendorf Thermomixer C, which combines temperature control and mixing. A total of 200 mg of the immobilized enzyme sample was dissolved in 500 μL of iPrNH2 and PLP solution (5 M, 1 mM in water; pH 9.0) and 4 mL of the triethanolamine buffer (100 mM; pH 9.0). The solution was pre-incubated for 5 min at 40 °C. A total of 500 μL of a 20 mg/mL solution of acetophenone or (2Z)-4-oxo-4-[3-(trifluoromethyl)-5,6-dihydro-[1,2,4]triazolo [4,3-a]pyrazine-7(8H)-yl]-1-(2,4,5-trifluorophenyl)butan-2-one in DMSO was then added, and the mixture was stirred at 40 °C and 800 rpm. The reaction was monitored by HPLC analysis by taking aliquots (50 μL) at different time intervals, quenching with MeCN (200 μL), diluting in H2O:MeCN 1:1, and centrifuging and analyzing using HPLC. After 24 h, the immobilized sample was separated from the supernatant by filtration and washed with the reaction solvent mixture to ensure the removal of the starting material and product. The filtrate and wash fractions were saturated with NaCl and extracted with 20 mL of ethyl acetate in two volumes. The organic phases obtained were washed with brine to neutrality, dehydrated with Na2SO4, and concentrated under reduced pressure. Sitagliptin was obtained as a white solid and characterized by chiral HPLC.
3.5.2. Transamination Under Flow Conditions
EMIN041 immobilized onto epoxy resin EMC7032 (400 mg) was packed into a PEEK column (2.8 cm length and 0.8 cm ID), which was then connected to a PU-880 pump and thermostated at 40 °C. The reaction mixture was prepared in a 15 mL Eppendorf tube containing 1 mL of the solution of iPrNH2 and PLP (5 M, 1 mM in water; pH 9.0) and 8 mL of L triethanolamine buffer (100 mM; pH 9.0). The solution was pre-incubated for 5 min at 40 °C. A total of 1 mL of a 20 mg/mL solution of 3 in DMSO was then added. This solution was then heated to 40 °C, and flow reactions were carried out by continuously pumping the reaction mixture into the system. Samples (50 μL) of the supernatant were taken at different time intervals, quenched with 200 μL of MeCN, diluted into MeCN:H2O 1:1, and centrifuged and analyzed by HPLC. After 24 h, the reaction mixture was collected, and the column was washed with the reaction solvent mixture to ensure the removal of the starting material and product. The reaction mixture and wash fractions were treated as previously reported for the batch mode reaction. The column was reused in five consecutive reactions under the same experimental conditions.
4. Conclusions
In this study, the immobilization of a new commercially available transaminase was investigated using different techniques and either unfunctionalized silica gel or five types of organic resins as the carrier. The obtained immobilized enzyme samples were first employed in the transamination reaction of acetophenone as a model substrate using isopropyl amine as the amine donor. In most cases, higher conversions were obtained in comparison to the soluble enzyme.
The transamination of pro-sitagliptin ketone was then conducted under the same experimental conditions. The sample obtained by the immobilization of the enzyme and formation of covalent bonds on the methacrylate resin functionalized with epoxy and octadecyl groups showed maximum activity (100% conversion) after 24 h of reaction and an enantiomeric excess of 99%. A high yield was also achieved with the biocatalyst immobilized on epoxy resin (conversion of 98%). On the contrary, lower conversions were observed with covalently supported samples on amine-functionalized resins (the conversion of 21.3 and 34.5%) or adsorbed on silica gel or on octadecyl-functionalized resin (conversion of 35.5 and 5%, respectively.
The recycling of the best-performing immobilized transaminase was then studied in a continuous flow system. It was shown that its excellent activity and stability allowed sitagliptin to be obtained for five consecutive cycles without detectable losses of activity and enantioselectivity.
In conclusion, the results obtained in our preliminary study on the development of a new immobilized enzyme transaminase show that our approach seems to be suitable for a possible scale-up and can, thus, contribute to the application of biocatalytic transformations for the sustainable production of sitagliptin.
Author Contributions
Conceptualization, O.P. and A.P.; methodology, C.R.; validation, C.R.; investigation, C.R.; data curation, C.R. and A.P.; writing—original draft preparation, O.P. and A.P.; writing—review and editing, A.P.; visualization, A.P.; supervision, O.P. and A.P. All authors have read and agreed to the published version of the manuscript.
Funding
This research was funded by the University of Pisa, Italy (Fondi di Ateneo).
Data Availability Statement
Data are contained within the article.
Acknowledgments
The authors would like to thank Enzymaster for kindly donating the transaminase enzymes EMIN041, pro-sitagliptin ketone 3, and sitagliptin 1; Purolite for kindly donating the ECR resins; and Sunresin for kindly donating the EMC7032 resin employed in reactions under batch and flow conditions.
Conflicts of Interest
The authors declare no conflicts of interest.
Abbreviations
The following abbreviations are used in this manuscript:
| DEA | Diethyl amine |
| DMSO | Dimethyl sulfoxide |
| EtOH | Ethanol |
| HEX | Hexane |
| iPrNH2 | Isopropyl amine |
| MeCN | Acetonitrile |
| PEEK | Polyether ether ketone |
| PLP | Pyridoxal phosphate |
| TEOA | Triethanolamine |
| TFA | Trifluoroacetic acid |
References
- Bell, E.L.; Finnigan, W.; France, S.P.; Green, A.P.; Hayes, M.A.; Hepworth, L.J.; Lovelock, S.L.; Niikura, H.; Osuna, S.; Romero, E.; et al. Biocatalysis. Nat. Rev. Methods Primers 2021, 1, 46. [Google Scholar]
- Zawodny, W.; Montgomery, S.L. Evolving New Chemistry: Biocatalysis for the Synthesis of Amine-Containing Pharmaceuticals. Catalysts 2022, 12, 595. [Google Scholar] [CrossRef]
- Pandya, S.; Gupte, A. Transaminases for Green Chemistry: Recent Progress and Future Prospects. Microbiol. Biotechnol. Lett. 2023, 51, 333–352. [Google Scholar]
- Kelly, S.A.; Pohle, S.; Wharry, S.; Mix, S.; Allen, C.C.R.; Moody, T.S.; Gilmore, B.F. Application of ω-transaminases in the pharmaceutical industry. Chem. Rev. 2018, 118, 349–367. [Google Scholar] [CrossRef] [PubMed]
- Guo, F.; Berglund, P. Transaminase biocatalysis: Optimization and application. Green Chem. 2017, 19, 333–360. [Google Scholar] [CrossRef]
- Gomm, A.; O’Reilly, E. Transaminases for chiral amine synthesis. Curr. Opin. Chem. Biol. 2018, 43, 106–112. [Google Scholar] [PubMed]
- Ho, C.-H.; Yi, J.; Wang, X. Biocatalytic Continuous Manufacturing of Diabetes Drug: Plantwide Process Modeling, Optimization, and Environmental and Economic Analysis. ACS Sustain. Chem. Eng. 2019, 7, 1038–1051. [Google Scholar]
- Khanham, W.; Dubey, N.C. Recent advances in immobilized ω-transaminase for chiral amine synthesis. Mater. Today Chem. 2022, 24, 100922. [Google Scholar]
- Available online: https://www.januvia.com/ (accessed on 27 February 2025).
- Savile, C.K.; Janey, J.M.; Mundorff, E.C.; Moore, J.C.; Tam, S.; Jarvis, W.R.; Colbeck, J.C.; Krebber, A.; Fleitz, F.J.; Brands, J.; et al. Biocatalytic asymmetric synthesis of chiral amines from ketones applied to sitagliptin manufacture. Science 2010, 329, 305–309. [Google Scholar] [CrossRef] [PubMed]
- Sun, J.; Huang, J.; Ding, X.; Wang, P. Efficient enantioselective biocatalytic production of a chiral intermediate of sitagliptin by a newly Filamentous fungus isolate. Appl. Biochem. Biotech. 2016, 180, 695–706. [Google Scholar]
- Truppo, M.D.; Rozzell, J.D.; Turner, N.J. Efficient production of enantiomerically pure chiral amines at concentrations of 50 g/L using transaminases. Org. Process Res. Dev. 2010, 14, 234–237. [Google Scholar]
- Truppo, M.D.; Strotman, H.; Hughes, G. Development of an Immobilized Transaminase Capable of Operating in Organic Solvent. ChemCatChem 2012, 4, 1071–1074. [Google Scholar] [CrossRef]
- Zhang, X.; Fan, H.; Liu, N.; Wang, X.; Cheng, F.; Liu, Z.; Zheng, Y. A novel self-sufficient biocatalyst based on transaminase and pyridoxal 5′-T phosphate covalent co-immobilization and its application in continuous biosynthesis of sitagliptin. Enz. Microb. Technol. 2019, 130, 109362. [Google Scholar] [CrossRef] [PubMed]
- Wei, C.; Zhou, J.; Liu, T.; Zhao, W.; Zhang, X.; Men, D. Self-Assembled Enzymatic Nanowires with a “Dry and Wet” Interface Improve the Catalytic Performance of Januvia Transaminase in Organic Solvent. ACS Catal. 2022, 12, 372–382. [Google Scholar]
- Ma, L.; Li, J.; Chen, D.; He, Y.; Chen, B.; Xia, J.; Li, J.; Tang, H.; Wang, L.; Li, Z. Green Synthesis of Chiral Beta Amino Acids Using Biological Enzymes and Immobilized Aminotransferase Used. CN118063351, 28 June 2024. [Google Scholar]
- Liu, Z.; Wang, X.; Liu, N.; Zhang, X.; Zheng, Y. Method for Co-Immobilizing Aminotransferase by Liposome Embedding-Metal Framework and Co-Immobilized Aminotransferase. CN118028285, 28 March 2024. [Google Scholar]
- Dong, Z.; Han, R.; Lyu, X.; Wu, M. Transaminase, Immobilized Transaminase and Application Thereof. CN117946992, 2 February 2024. [Google Scholar]
- Chen, B.; Zhong, Z.; Yan, J.; Qu, Y.; Ma, L. High Chiral Purity Sitagliptin and Method for Preparing Same by Using Immobilized Transaminase. CN117467733, 12 March 2024. [Google Scholar]
- Liu, Z.; Huang, M.; Zhang, X.; Zheng, Y.; Liu, N. Method for Covalently Immobilizing Transaminase by Using Aminated Carbon Nano Tube. CN117286130, 10 January 2023. [Google Scholar]
- Rao, J.; Wang, Z.; Yue, Y.; Shen, Y.; Lu, F.; Lin, L.; Ke, S. Preparation Method of Sitagliptin Phosphate Monohydrate. CN116694697, 25 April 2023. [Google Scholar]
- Jiao, Q.; Huang, Y.; Tian, Z.; Wang, S.; Cheng, H.Z.; Sun, C. Transaminase, Immobilized Transaminase and Use for Preparing Sitagliptin. WO2022257686, 15 December 2022. [Google Scholar]
- Hong, H.; Gage, J.; Zhang, N.; Rojas, V.W.; Cui, Y.; Zhao, J.; Zhang, C. Immobilized Enzyme, Preparation Method and Application Thereof. CN114606221, 2 September 2022. [Google Scholar]
- Chen, H.; Bong, Y.; Wang, J.; Cai, B.; Shang, C.; Bocola, M. Engineered Transaminase Polypeptides and Uses Thereof. WO2019128894A1, 4 July 2019. [Google Scholar]
- Armani, D.; Piccolo, O.; Petri, A. Immobilization of Alcohol Dehydrogenases on Silica-Based Supports and Their Application in Enantioselective Ketone Reductions. Catalysts 2024, 14, 148. [Google Scholar] [CrossRef]
- Armani, D.; Piccolo, O.; Petri, A. Biocatalytic Asymmetric Synthesis of (S)-1[3,5-bis (trifluoromethyl) phenyl] ethanol by an Immobilized KRED in Batch and Flow Conditions. ChemCatChem 2023, 15, e202300809. [Google Scholar]
- Sheldon, R.A.; Basso, A.; Brady, D. New frontiers in enzyme immobilization: Robust biocatalysts for a circular bio-based economy. Chem. Soc. Rev. 2021, 50, 5850–5862. [Google Scholar] [PubMed]
- Arango, H.M.; van den Biggelaar, L.; Soumillion, P.; Luis, P.; Leyssens, T.; Paradisi, F.; Debecker, D.P. Continuous flow-mode synthesis of (chiral) amines with transaminase: A strategic biocatalytic approach to essential building blocks. React. Chem. Eng. 2023, 8, 1505–1544. [Google Scholar]
- Petri, A.; Colonna, V.; Piccolo, O. Asymmetric Synthesis of a High Added Value Chiral Amine Using Immobilized ω-Transaminases. Beilstein J. Org. Chem. 2019, 15, 60–66. [Google Scholar] [PubMed]
- Bradford, M.M. A rapid and sensitive method for the quantitation of microgram quantities of protein utilizing the principle of protein-dye binding. Anal. Biochemistry 1976, 72, 248–254. [Google Scholar] [CrossRef] [PubMed]
Disclaimer/Publisher’s Note: The statements, opinions and data contained in all publications are solely those of the individual author(s) and contributor(s) and not of MDPI and/or the editor(s). MDPI and/or the editor(s) disclaim responsibility for any injury to people or property resulting from any ideas, methods, instructions or products referred to in the content. |
© 2025 by the authors. Licensee MDPI, Basel, Switzerland. This article is an open access article distributed under the terms and conditions of the Creative Commons Attribution (CC BY) license (https://creativecommons.org/licenses/by/4.0/).









