Enhanced the Catalytic Performance of Samarium and Cerium Co-Modified Mn-Based Oxide Catalyst for Soot Oxidation
Abstract
1. Introduction
2. Results and Discussions
2.1. Characterization of the Catalysts
2.1.1. XRD Analysis
2.1.2. SEM and TEM Observations
2.1.3. Surface Adsorption and Desorption
2.1.4. XPS Analysis
2.1.5. H2-TPR Analysis
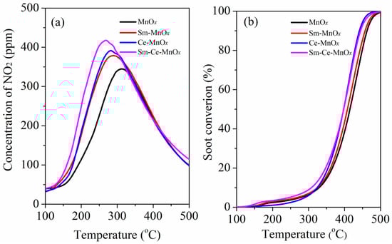
2.2. Catalyst Oxidation Activities
3. Experiment
3.1. Preparation of Catalysts
3.2. Characterization
3.3. Catalytic Activity Measurements
4. Conclusions
Supplementary Materials
Author Contributions
Funding
Data Availability Statement
Conflicts of Interest
References
- Tian, X.; Gong, Y.; Liu, J.; Guo, Q.; Liu, Y.; Yu, G. Experimental investigation on the soot formation characteristics of diesel impinging flame in an opposed multi-burner gasifier. Fuel 2025, 385, 134152. [Google Scholar] [CrossRef]
- Ni, Z.; Song, E.; Qiao, Y.; Dong, Q. Optical investigation on diesel-methane dual-fuel combustion using high-pressure direct injection. Int. J. Hydrogen Energy 2024, 87, 606–619. [Google Scholar] [CrossRef]
- Lapuerta, M.; Rodríguez-Fernández, L.; Sánchez-Valdepeñ, J. Soot reactivity analysis and implications on diesel filter regeneration. Prog. Energy Combust. Sci. 2020, 78, 100833. [Google Scholar] [CrossRef]
- Liu, Y.; He, G.; Chu, B.; Ma, Q.; He, H. Atmospheric heterogeneous reactions on soot: A review. Fundam. Res. 2023, 3, 579–591. [Google Scholar] [CrossRef]
- Wang, F.; Liu, J.; Zeng, H. Interactions of particulate matter and pulmonary surfactant: Implications for human health. Adv. Colloid Interface Sci. 2020, 284, 102244. [Google Scholar] [CrossRef]
- Dong, R.; Zhang, Z.; Ye, Y.; Huang, H.; Cao, C. Review of particle filters for internal combustion engines. Processes 2022, 10, 993. [Google Scholar] [CrossRef]
- Feng, R.; Hu, X.; Li, G.; Sun, Z.; Deng, B. A comparative investigation between particle oxidation catalyst (POC) and diesel particulate filter (DPF) coupling aftertreatment system on emission reduction of a non-road diesel engine. Ecotoxicol. Environ. Saf. 2022, 238, 113576. [Google Scholar] [CrossRef]
- Li, C.; Li, R.; Wang, Y.; Niu, R.; Guo, Q.; Zhang, C. Transition metal modified manganese-based catalysts for soot oxidation promoted by noncompetitive adsorption of oxygen: Experiments and DFT calculations. J. Ind. Eng. Chem. 2023, 126, 454–464. [Google Scholar] [CrossRef]
- Khaskheli, A.; Xu, L.; Liu, D. Manganese oxide-based catalysts for soot oxidation: A review on the recent advances and future directions. Energy Fuel 2022, 36, 7362–7381. [Google Scholar] [CrossRef]
- Li, R.; Zheng, H.; Zhao, K.; Li, J.; Chen, Y.; Yu, X.; Liu, J.; Zhao, Z. 3DOM Mn-based perovskite catalysts modified by potassium: Facile synthesis and excellent catalytic performance for simultaneous catalytic elimination of soot and NOx from diesel engines. J. Phys. Chem. C 2021, 125, 25545–25564. [Google Scholar] [CrossRef]
- Matos, A.; Sériob, S.; Lopesc, M.E.; Nunesd, M.R.; Melo Jorged, M.E. Effect of the sintering temperature on the properties of nanocrystalline Ca1−xSmxMnO3 (0 ≤ x ≤ 0.4) powders. J. Alloys Compd. 2011, 509, 9617–9626. [Google Scholar] [CrossRef]
- Anantharman, A.; Dasari, H.; Lee, J.; Dasari, H.; Babu, G. Soot oxidation activity of redox and non-redox metal oxides synthesised by EDTA-citrate method. Catal. Lett. 2017, 147, 3004–3016. [Google Scholar] [CrossRef]
- Dai, F.; Meng, M.; Zhang, J.; Zheng, L.; Hu, T. Effects of synthesis routes on the states and catalytic performance of manganese oxides used for diesel soot combustion. Catal. Lett. 2014, 144, 1210–1218. [Google Scholar] [CrossRef]
- Wagloehner, S.; Nitzer-Noski, N.; Kureti, S. Oxidation of soot on manganese oxide catalysts. Chem. Eng. J. 2015, 259, 492–504. [Google Scholar] [CrossRef]
- Niu, R.; Zhang, C.; Liu, P.; Jiang, N.; Li, C. Constructing asymmetric active Fe3+-OV-Mn4+ sites at the Fe2O3-MnO2 interface for low-temperature soot combustion. Appl. Catal. B Environ. 2024, 358, 124365. [Google Scholar] [CrossRef]
- Yang, Y.; Fang, J.; Meng, Z.; Pu, P.; Zhang, Q.; Yi, C.; Pan, S.; Li, Y. Catalytic activity and influence factors of Mn-Ce mixed oxides by hydrothermal method on diesel soot combustion. Mol. Catal. 2022, 524, 112334. [Google Scholar] [CrossRef]
- Cao, C.; Yang, H.; Xiao, J.; Yang, X.; Ren, B.; Xu, L.; Liu, G.; Li, X. Catalytic diesel soot elimination over potassium promoted transition metal oxide (Co/Mn/Fe) nanosheets monolithic catalysts. Fuel 2021, 305, 121446. [Google Scholar] [CrossRef]
- Liao, Y.; Liu, P.; Zhang, J.; Wang, C.; Chen, L.; Yan, D.; Ren, Q.; Liang, X.; Fu, M.; Suib, S.; et al. Chemosphere Electrospun Ce-Mn oxide as an efficient catalyst for soot combustion: Ce-Mn synergy, soot-catalyst contact, and catalytic oxidation mechanism. Chemosphere 2023, 334, 138995. [Google Scholar] [CrossRef]
- Sacco, N.; Bortolozzi, J.; Milt, V.; Miró, E.; Banús, E. One step citric acid-assisted synthesis of Mn-Ce mixed oxides and their application to diesel soot combustion. Fuel 2022, 322, 124201. [Google Scholar] [CrossRef]
- Yu, D.; Peng, C.; Yu, X.; Wang, L.; Li, K.; Zhao, Z.; Li, Z. Facile preparation of amorphous CenMnOx catalysts and their good catalytic performance for soot combustion. Fuel 2022, 307, 121803. [Google Scholar] [CrossRef]
- Yang, J.; Li, J.; Kang, J.; Liu, W.; Kuang, Y.; Tan, H.; Yu, Z.; Yang, L.; Yang, X.; Yu, K.; et al. Preparation of Ce-MnOx composite oxides via coprecipitation and their catalytic performance for CO oxidation. Nanomaterials 2023, 13, 2158. [Google Scholar] [CrossRef] [PubMed]
- Liu, L.; Zheng, C.; Qu, R.; Wang, J.; Liu, X.; Wu, W.; Gao, X. Non-thermal plasma assisted preparation of MnCeOx, MnOx and CeO2 catalysts for enhancement of surface active oxygen and NO oxidation activity. Aerosol Air Qual. Res. 2019, 19, 945–958. [Google Scholar] [CrossRef]
- Stepova, K.; Fediv, I.; Mazeikienè, A.; Šarko, J.; Mažeika, J. Adsorption of ammonium ions and phosphates on natural and modified clinoptilolite: Isotherm and breakthrough curve measurements. Water 2023, 15, 1933. [Google Scholar] [CrossRef]
- Plavniece, A.; Kaare, K.; Simkunaitè, K.; Balciunaite, A.; Jasulaitiene, V.; Niaura, G.; Volperts, A.; Dobele, G.; Colmenares-Rausseo, L.; Kruusenberg, D.; et al. Manganese- and nitrogen-doped biomass-based carbons as catalysts for the oxygen reduction reaction. Catalysts 2024, 14, 92. [Google Scholar] [CrossRef]
- Motha, S.; Mahomed, A.; Singh, S.; Friedrich, H. Highly active cerium oxide supported solution combustion Cu/Mn catalysts for CO-PrOx in a hydrogen-rich stream. Catalysts 2024, 14, 603. [Google Scholar] [CrossRef]
- Song, F.; Gao, J.; Yang, B.; Cao, Y.; Liu, H.; Xu, Q. Cu2In alloy-embedded ZrO2 catalysts for efficient CO2 hydrogenation to methanol: Promotion of plasma modification. Front. Chem. 2023, 11, 1187762. [Google Scholar] [CrossRef]
- Liu, R.; Trinh, M.; Chuang, H.; Chang, M. Ozone catalytic oxidation of low-concentration formaldehyde over ternary Mn-Ce-Ni oxide catalysts modified with FeOx. Environ. Sci. Pollut. Res. 2023, 30, 32696–32709. [Google Scholar] [CrossRef]
- Akimchenko, J.; Rutkowski, S.; Tran, T.; Dubinenko, G.; Petrov, V.; Kozelskaya, A.; Tverdokhlebov, S. Polyether ether ketone coated with ultra-thin films of titanium oxide and zirconium oxide fabricated by DC magnetron sputtering for biomedical application. Materials 2022, 15, 8029. [Google Scholar] [CrossRef]
- Zhao, D.; Zhang, R.; Dai, M.; Liu, H.; Jian, W.; Bai, F.; Wu, X. Constructing high Efficiency CoZnxMn2−xO4 electrocatalyst by regulating the electronic structure and surface reconstruction. Small 2022, 18, 2107268. [Google Scholar] [CrossRef]
- Luo, J.; Zhu, X.; Chen, G.; Hong, Y.; Zhou, Z. Enhanced catalytic soot oxidation over Co-based metal oxides: Effects of transition metal doping. Molecules 2024, 29, 41. [Google Scholar] [CrossRef]
- Álvarez-Docio, C.; Portela, R.; Reinosa, J.; Rubio-Marcos, F.; Granados-Miralles, C.; Pascual, L.; Fernández, J. Pt-free CoAl2O4 catalyst for soot combustion with NOx/O2. Appl. Catal. A Gen. 2020, 591, 117404. [Google Scholar] [CrossRef]
- Jin, B.; Zhao, B.; Liu, S.; Li, Z.; Ran, R.; Si, Z.; Weng, D.; Wu, X. SmMn2O5 catalysts modified with silver for soot oxidation: Dispersion of silver and distortion of mullite. Appl. Catal. B Environ. 2020, 273, 119058. [Google Scholar] [CrossRef]







| Catalyst | SBET a (m2g−1) | Average Pore Size a (nm) | Total Pore Volume a (cm3/g) | Mn4+/Mn b | Oads/Olatt b |
|---|---|---|---|---|---|
| MnOx | 28.3 | 23.4 | 0.167 | 0.22 | 0.30 |
| Sm-MnOx | 49.8 | 19.3 | 0.241 | 0.28 | 0.38 |
| Ce-MnOx | 55.0 | 13.6 | 0.187 | 0.30 | 0.41 |
| Sm-Ce-MnOx | 88.6 | 13.6 | 0.303 | 0.31 | 0.53 |
| Catalyst | T10 (°C) | T50 (°C) | T90 (°C) | SCO2 (%) |
|---|---|---|---|---|
| MnOx | 340 | 416 | 461 | 99.4 |
| Sm-MnOx | 332 | 409 | 457 | 99.1 |
| Ce-MnOx | 324 | 396 | 441 | 98.9 |
| Sm-Ce-MnOx | 306 | 397 | 444 | 99.6 |
Disclaimer/Publisher’s Note: The statements, opinions and data contained in all publications are solely those of the individual author(s) and contributor(s) and not of MDPI and/or the editor(s). MDPI and/or the editor(s) disclaim responsibility for any injury to people or property resulting from any ideas, methods, instructions or products referred to in the content. |
© 2025 by the authors. Licensee MDPI, Basel, Switzerland. This article is an open access article distributed under the terms and conditions of the Creative Commons Attribution (CC BY) license (https://creativecommons.org/licenses/by/4.0/).
Share and Cite
Tang, L.; He, D.; Wang, W.; Jin, Z.; Song, Q.; Gu, X.; Li, Z.; Jin, B. Enhanced the Catalytic Performance of Samarium and Cerium Co-Modified Mn-Based Oxide Catalyst for Soot Oxidation. Catalysts 2025, 15, 149. https://doi.org/10.3390/catal15020149
Tang L, He D, Wang W, Jin Z, Song Q, Gu X, Li Z, Jin B. Enhanced the Catalytic Performance of Samarium and Cerium Co-Modified Mn-Based Oxide Catalyst for Soot Oxidation. Catalysts. 2025; 15(2):149. https://doi.org/10.3390/catal15020149
Chicago/Turabian StyleTang, Long, Danfeng He, Wenyi Wang, Zhongxin Jin, Qiang Song, Xiangshi Gu, Zheng Li, and Baofang Jin. 2025. "Enhanced the Catalytic Performance of Samarium and Cerium Co-Modified Mn-Based Oxide Catalyst for Soot Oxidation" Catalysts 15, no. 2: 149. https://doi.org/10.3390/catal15020149
APA StyleTang, L., He, D., Wang, W., Jin, Z., Song, Q., Gu, X., Li, Z., & Jin, B. (2025). Enhanced the Catalytic Performance of Samarium and Cerium Co-Modified Mn-Based Oxide Catalyst for Soot Oxidation. Catalysts, 15(2), 149. https://doi.org/10.3390/catal15020149

