Maximizing Anilinium Ionic Solid Mineralization Using RSM: A COD and TOC Study of Photocatalytic Degradation
Abstract
1. Introduction
2. Results and Discussion
2.1. Characterization of Catalysts
2.1.1. UV–Vis and FTIR
2.1.2. BET Analysis and Particle Size Distribution
2.1.3. SEM-EDX
2.1.4. XRD
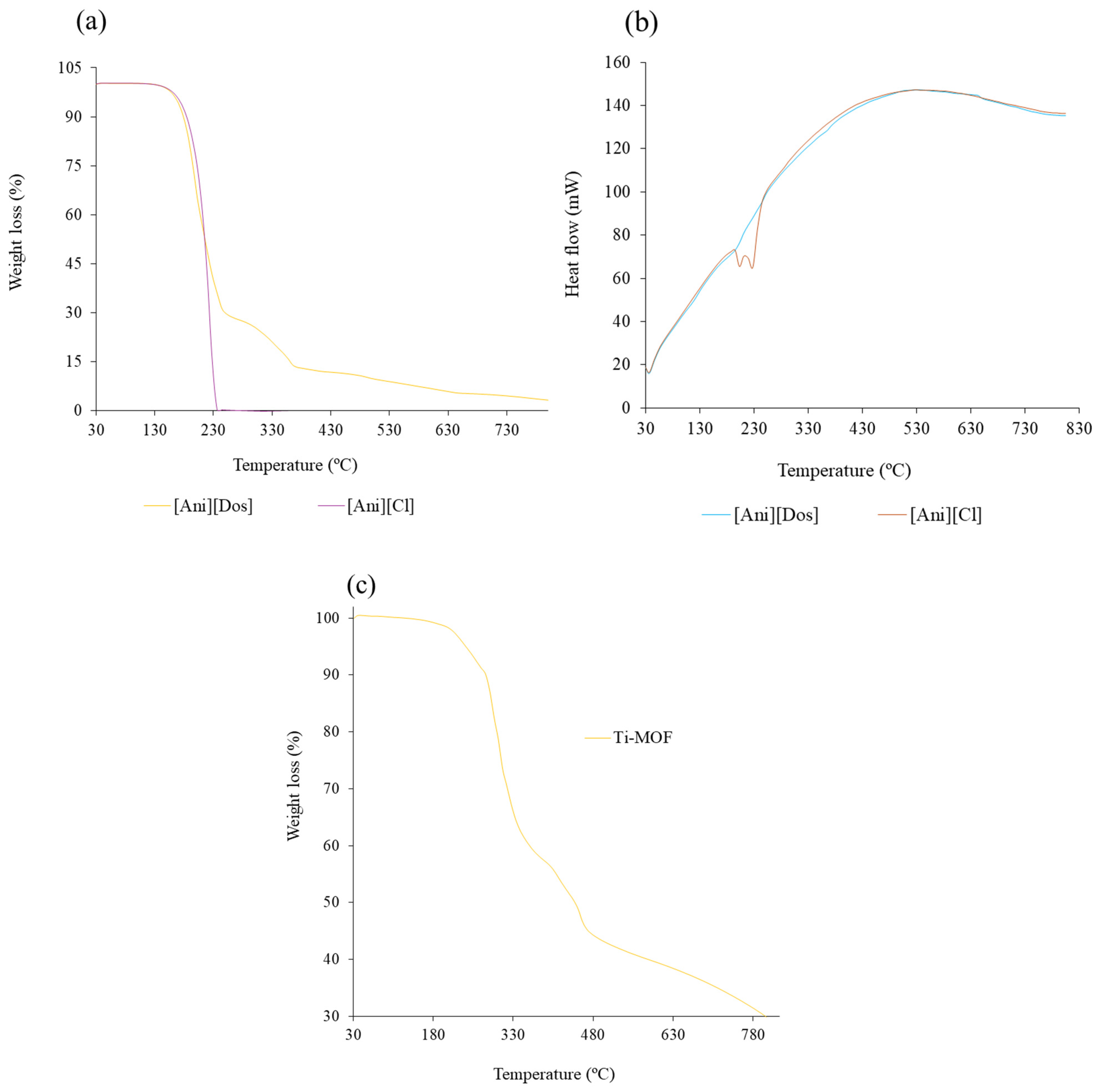
2.1.5. Thermal Stability Studies
2.2. Photodegradation Evaluation
2.2.1. Photostability of the IS
2.2.2. Photocatalytic Efficiency of the Ti-MOF-Based Process
2.2.3. Recyclability and Kinetics Study
2.3. Optimization Using RSM
2.3.1. Analysis of Variance (ANOVA)
2.3.2. Influence of Interaction on the Response
2.3.3. Numerical Optimization
3. Materials and Methods
3.1. Materials
3.2. Characterization Instrumentation
3.3. Synthesis of [Anilinium][Dodecylsulphate] and Photocatalyst (Ti-MOF)
3.4. Photodegradation Test
- (i)
- Photostability test
- (ii)
- Photocatalyst test
3.5. Experimental Design
4. Conclusions
Supplementary Materials
Author Contributions
Funding
Data Availability Statement
Acknowledgments
Conflicts of Interest
References
- Liang, H.; Jiao, J.; Dou, D.; Li, S. Cheap and efficient strategy for photocatalytic degradation of ionic liquids by La/Ce-codoped TiO(2)@PAM composites. Water Sci. Technol. 2024, 89, 976–988. [Google Scholar] [CrossRef]
- Gu, J.; Zang, H.; Yao, S.; Wang, X.; Zhu, M.; Song, H. Study on Degradation of Benzothiazolium-Based Ionic Liquids by UV-H2O2. Appl. Sci. 2020, 10, 894. [Google Scholar] [CrossRef]
- Shahhiran, A.F.; Ramli, R.M.; Zaid, H.F.M. Development of photocatalytic degradation and kinetic study for imidazolium based ionic liquids in Fe-Cu/TiO2-AC system. IOP Conf. Ser. Earth Environ. Sci. 2020, 442, 12001. [Google Scholar] [CrossRef]
- Maximo, G.J.; Santos, R.J.B.N.; Brandão, P.; Esperança, J.M.S.S.; Costa, M.C.; Meirelles, A.J.A.; Freire, M.G.; Coutinho, J.A.P. Generating Ionic Liquids from Ionic Solids: An Investigation of the Melting Behavior of Binary Mixtures of Ionic Liquids. Cryst. Growth Des. 2014, 14, 4270–4277. [Google Scholar] [CrossRef]
- He, T.; Yan, J.; Xiao, W.; Sun, J. Latest advances in ionic liquids promoted synthesis and application of advanced biomass materials. Front. Chem. Sci. Eng. 2023, 17, 798–816. [Google Scholar] [CrossRef]
- Tan, S.S.; Macfarlane, D.R. Ionic liquids in biomass processing. Top. Curr. Chem. 2010, 290, 311–339. [Google Scholar] [CrossRef] [PubMed]
- Huang, L.; Yu, Y.; Fu, C.; Guo, H.; Li, X. Photocatalytic degradation of imidazolium ionic liquids using dye sensitized TiO2/SiO2 composites. RSC Adv. 2017, 7, 32120–32125. [Google Scholar] [CrossRef]
- Hart, W.E.S.; Harper, J.B.; Aldous, L. The effect of changing the components of an ionic liquid upon the solubility of lignin. Green Chem. 2015, 17, 214–218. [Google Scholar] [CrossRef]
- Kurata, A.; Shimizu, S.; Shiraishi, Y.; Abe, M.; Naito, N.; Shimada, M.; Kishimoto, N. Degradation of ionic liquids by a UV/H2O2process and CMCase from novel ionic liquid-tolerant alkaliphilic Nocardiopsis sp. SSC4. Biotechnol. Biotechnol. Equip. 2017, 31, 749–755. [Google Scholar] [CrossRef]
- Bedia, J.; Rodriguez, J.J.; Moreno, D.; Palomar, J.; Belver, C. Photostability and photocatalytic degradation of ionic liquids in water under solar light. RSC Adv. 2019, 9, 2026–2033. [Google Scholar] [CrossRef]
- Stolte, S.; Steudte, S.; Igartua, A.; Stepnowski, P. The Biodegradation of Ionic Liquids—The view from a chemical structure. Curr. Org. Chem. 2011, 15, 1946–1973. [Google Scholar] [CrossRef]
- Pernak, J.; Borucka, N.; Walkiewicz, F.; Markiewicz, B.; Fochtman, P.; Stolte, S.; Steudte, S.; Stepnowski, P. Synthesis, toxicity, biodegradability and physicochemical properties of 4-benzyl-4-methylmorpholinium-based ionic liquids. Green Chem. 2011, 13, 2901–2910. [Google Scholar] [CrossRef]
- Kuroda, K. A simple overview of toxicity of ionic liquids and designs of biocompatible ionic liquids. New J. Chem. 2022, 46, 20047–20052. [Google Scholar] [CrossRef]
- Flieger, J.; Flieger, M. Ionic Liquids Toxicity-Benefits and Threats. Int. J. Mol. Sci. 2020, 21, 6267. [Google Scholar] [CrossRef]
- Liwarska-Bizukojc, E.; Maton, C.; Stevens, C.V. Biodegradation of imidazolium ionic liquids by activated sludge microorganisms. Biodegradation 2015, 26, 453–463. [Google Scholar] [CrossRef]
- Yu, F.; Zhou, Y.; Qiao, H.; Sun, L.; Li, L.; Feng, C.; Li, Y. Adsorption of ionic liquid from aqueous solutions using functional corncob-cellulose nanocrystals. RSC Adv. 2016, 6, 106547–106554. [Google Scholar] [CrossRef]
- Sosa, F.H.B.; Carvalho, P.J.; Coutinho, J.A.P. Recovery of ionic liquids from aqueous solutions using membrane technology. Sep. Purif. Technol. 2023, 322, 124341. [Google Scholar] [CrossRef]
- Ponnusami, A.B.; Sinha, S.; Ashokan, H.; Paul, M.V.; Hariharan, S.P.; Arun, J.; Gopinath, K.P.; Le, Q.H.; Pugazhendhi, A. Advanced oxidation process (AOP) combined biological process for wastewater treatment: A review on advancements, feasibility and practicability of combined techniques. Environ. Res. 2023, 237, 116944. [Google Scholar] [CrossRef]
- Tokoyi, V.; Deenadayalu, N. Ti-Bimetallic MOFs as Photo-Reformers and Degraders of Emerging Water Contaminants. In Titanium Alloys—Research and Future Trends; Baltatu, M.S., Vizureanu, P., Eds.; IntechOpen: Rijeka, Croatia, 2025. [Google Scholar]
- Boutiti, A.; Zouaghi, R.; Bendjabeur, S.E.; Guittonneau, S.; Sehili, T. Photodegradation of 1-hexyl-3-methylimidazolium by UV/H2O2 and UV/TiO2: Influence of pH and chloride. J. Photochem. Photobiol. A Chem. 2017, 336, 164–169. [Google Scholar] [CrossRef]
- Borhani, M.N.; Tavakoli, A.; Mollaei, A.M.; Borhani, T.N. Visible light photodegradation of methylene blue by ionic liquid based TiO2/Fe3O4 nanophotocatalysts. Opt. Mater. 2024, 154, 115627. [Google Scholar] [CrossRef]
- Corchero, R.; Rodil, R.; Soto, A.; Rodil, E. Nanomaterial Synthesis in Ionic Liquids and Their Use on the Photocatalytic Degradation of Emerging Pollutants. Nanomaterials 2021, 11, 411. [Google Scholar] [CrossRef]
- Ratnamala, A.; Reddy, G.D.; Noorjahaan, M.; Manjunatha, H.; Janardan, S.; Kumar, N.S.; Chandra Babu Naidu, K.; Khan, A.; Asiri, A.M. Titanium-based metal-organic frameworks for photocatalytic applications. In Metal-Organic Frameworks for Chemical Reactions; Khan, A., Verpoort, F., Asiri, A.M., Hoque, M.E., Bilgrami, A.L., Azam, M., Naidu, K.C.B., Eds.; Elsevier: Amsterdam, The Netherlands, 2021; pp. 37–63. [Google Scholar]
- Alwin, S.; Ramasubbu, V.; Shajan, X.S. TiO2 aerogel–metal organic framework nanocomposite: A new class of photoanode material for dye-sensitized solar cell applications. Bull. Mater. Sci. 2018, 41, 27. [Google Scholar] [CrossRef]
- Zhang, Y.; Guo, J.; Shi, L.; Zhu, Y.; Hou, K.; Zheng, Y.; Tang, Z. Tunable chiral metal organic frameworks toward visible light-driven asymmetric catalysis. Sci. Adv. 2017, 3, e1701162. [Google Scholar] [CrossRef] [PubMed]
- Mahmoodi, N.M.; Abdi, J. Nanoporous metal-organic framework (MOF-199): Synthesis, characterization and photocatalytic degradation of Basic Blue 41. Microchem. J. 2019, 144, 436–442. [Google Scholar] [CrossRef]
- So, M.C.; Wiederrecht, G.P.; Mondloch, J.E.; Hupp, J.T.; Farha, O.K. Metal-organic framework materials for light-harvesting and energy transfer. Chem. Commun. 2015, 51, 3501–3510. [Google Scholar] [CrossRef] [PubMed]
- Ramaripa, P.S.; Modibane, K.D.; Makgopa, K.; Seerane, O.A.; Maubane-Nkadimeng, M.S.; Makhado, E.; Hato, M.J.; Ramoroka, M.E.; Molapo, K.M.; Balakrishnan, D.; et al. Fabrication, characterization, and photovoltaic performance of titanium dioxide/metal-organic framework composite. J. Photochem. Photobiol. 2022, 12, 100142. [Google Scholar] [CrossRef]
- Li, M.; Yuan, J.; Wang, G.; Yang, L.; Shao, J.; Li, H.; Lu, J. One-step construction of Ti-In bimetallic MOFs to improve synergistic effect of adsorption and photocatalytic degradation of bisphenol A. Sep. Purif. Technol. 2022, 298, 121658. [Google Scholar] [CrossRef]
- Fan, Y.; Zhang, W.; He, K.; Wang, L.; Wang, Q.; Liu, J. Half-salen Fe(III) covalently post-modified MIL-125(Ti)-NH2 MOF for effective photocatalytic peroxymonosulfate activation. Appl. Surf. Sci. 2022, 591, 153115. [Google Scholar] [CrossRef]
- Thommes, M.; Kaneko, K.; Neimark, A.V.; Olivier, J.P.; Rodriguez-Reinoso, F.; Rouquerol, J.; Sing, K.S.W. Physisorption of gases, with special reference to the evaluation of surface area and pore size distribution (IUPAC Technical Report). Pure Appl. Chem. 2015, 87, 1051–1069. [Google Scholar] [CrossRef]
- Deng, Z.; Tang, S.; Ou, M.; Wang, Z. Ionic liquids self-assembled micelles for transdermal delivery: Characterization, functions and applications. Int. J. Pharm. X 2025, 10, 100350. [Google Scholar] [CrossRef] [PubMed]
- Torkashvand, Z.; Sepehrmansourie, H.; Zolfigol, M.A.; Gu, Y. Ti-based MOFs with acetic acid pendings as an efficient catalyst in the preparation of new spiropyrans with biological moieties. Sci. Rep. 2024, 14, 14101. [Google Scholar] [CrossRef]
- Kumar, P.M.; Badrinarayanan, S.; Sastry, M. Nanocrystalline TiO2 studied by optical, FTIR and X-ray photoelectron spectroscopy: Correlation to presence of surface states. Thin Solid Films 2000, 358, 122–130. [Google Scholar] [CrossRef]
- Liu, S.; Li, X.; Wang, X.; Li, Y.; Zhang, F.; Li, L.; Li, J.; Yang, J. Construction of a Ti-based bimetallic metal–organic framework using a one-pot method for efficient C2H2/C2H4 and C2H2/CO2 separation. Chem. Bio. Eng. 2024, 1, 439–447. [Google Scholar] [CrossRef]
- Carraro, F.; Velasquez-Hernandez, M.J.; Astria, E.; Liang, W.; Twight, L.; Parise, C.; Ge, M.; Huang, Z.; Ricco, R.; Zou, X.; et al. Phase dependent encapsulation and release profile of ZIF-based biocomposites. Chem. Sci. 2020, 11, 3397–3404. [Google Scholar] [CrossRef]
- James, J.B.; Lin, Y.S. Kinetics of ZIF-8 thermal decomposition in inert, oxidizing, and reducing environments. J. Phys. Chem. C 2016, 120, 14015–14026. [Google Scholar] [CrossRef]
- Balliana, E.; Marchand, M.; Di Matteo, V.; Ballarin, B.; Cassani, M.C.; Panzavolta, S.; Zendri, E. Application of zinc-based metal-organic framework ZIF-8 on paper: A pilot study on visual appearance and effectiveness. Polymers 2025, 17, 1369. [Google Scholar] [CrossRef] [PubMed]
- Sardar, S.; Wilfred, C.D.; Mumtaz, A.; Rashid, Z.; Leveque, J.-M. Synthesis, thermophysical properties, Hammett acidity and COSMO-RS study of camphorsulfonate-based Brönsted acidic ionic liquids. J. Mol. Liq. 2018, 271, 621–630. [Google Scholar] [CrossRef]
- Meng, Y.; Liu, J.; Li, Z.; Wei, H. Synthesis and Physicochemical Properties of Two SO3H-Functionalized Ionic Liquids with Hydrogen Sulfate Anion. J. Chem. Eng. Data 2014, 59, 2186–2195. [Google Scholar] [CrossRef]
- Kegere, J.; Alneyadi, S.S.; Paz, A.P.; Siddig, L.A.; Alblooshi, A.; Alnaqbi, M.A.; Alzamly, A.; Greish, Y.E. Titanium metal-organic frameworks for photocatalytic CO2 conversion through a cycloaddition reaction. Nanoscale Adv. 2024, 6, 4804–4813. [Google Scholar] [CrossRef] [PubMed]
- Myakala, S.N.; Ladisich, M.; Ayala, P.; Rabl, H.; Batool, S.; Elsaesser, M.S.; Cherevan, A.; Eder, D. Harnessing a Ti-based MOF for selective adsorption and visible-light-driven water remediation. J. Mater. Chem. A 2024, 12, 19924–19934. [Google Scholar] [CrossRef]
- Wang, J.; Cherevan, A.S.; Hannecart, C.; Naghdi, S.; Nandan, S.P.; Gupta, T.; Eder, D. Ti-based MOFs: New insights on the impact of ligand composition and hole scavengers on stability, charge separation and photocatalytic hydrogen evolution. Appl. Catal. B Environ. 2021, 283, 119626. [Google Scholar] [CrossRef]
- Fan, Y.; Chen, G.; Li, D.; Luo, Y.; Lock, N.; Jensen, A.P.; Mamakhel, A.; Mi, J.; Iversen, S.B.; Meng, Q.; et al. Highly selective deethylation of Rhodamine B on prepared in supercritical fluids. Int. J. Photoenergy 2012, 2012, 173865. [Google Scholar] [CrossRef]
- Qin, Y.; Yang, S.; You, X.; Liu, Y.; Qin, L.; Li, Y.; Zhang, W.; Liang, W. Carbon nitride coupled with Fe-based MOFs as an efficient photoelectrocatalyst for boosted degradation of ciprofloxacin: Mechanism, pathway and fate. Sep. Purif. Technol. 2022, 296, 121325. [Google Scholar] [CrossRef]
- Rana, A.G.; Minceva, M. Analysis of photocatalytic degradation of phenol with exfoliated graphitic carbon nitride and light-emitting diodes using response surface methodology. Catalysts 2021, 11, 898. [Google Scholar] [CrossRef]
- Öztekin, R.; Sponza, D.T. Photocatalytic degradation of a herbicide namely glyphosate and hexazinone from the surface water which will be used as drinking water via polyaniline/ZnWO4/WO3 and evaluation of acute toxicity assays. Int. J. Chem. Eng. Mater. 2024, 3, 66–100. [Google Scholar] [CrossRef]
- Gan, L.; Nord, M.T.; Lessard, J.M.; Tufts, N.Q.; Chidambaram, A.; Light, M.E.; Huang, H.; Solano, E.; Fraile, J.; Suarez-Garcia, F.; et al. Biomimetic photodegradation of glyphosate in carborane-functionalized nanoconfined spaces. J. Am. Chem. Soc. 2023, 145, 13730–13741. [Google Scholar] [CrossRef] [PubMed]
- Tokoyi, V.; Kabane, B.; Deenadayalu, N. Should “Ionic Liquids” also be used for solid ionic compounds: Synthesis and characterization of p-anisidinium-based ionic compounds. Chem. Eng. Process Tech. 2025, 10, 1097. [Google Scholar]
- Munien, C.; Tetteh, E.K.; Rathilal, S. Response surface optimization of CuS Photocatalytic process using UV-vis irradiation for wastewater treatment. Energy Sci. Eng. 2025, 13, 2922–2939. [Google Scholar] [CrossRef]
- Luan, J.; Wei, Z.; Niu, B.; Yang, G.; Huang, C.; Ma, B.; Liu, W. Synthesis, property characterization and photocatalytic activity of the Ag3PO4/Gd2BiTaO7 heterojunction catalyst under visible light irradiation. Catalysts 2022, 12, 22. [Google Scholar] [CrossRef]
- Dutta, R.; Kundu, S.; Sarkar, N. Ionic liquid-induced aggregate formation and their applications. Biophys. Rev. 2018, 10, 861–871. [Google Scholar] [CrossRef]
- Kabir, M.F.; Vaisman, E.; Langford, C.H.; Kantzas, A. Effects of hydrogen peroxide in a fluidized bed photocatalytic reactor for wastewater purification. Chem. Eng. J. 2006, 118, 207–212. [Google Scholar] [CrossRef]
- Noroozi, R.; Gholami, M.; Oskoei, V.; Hesami Arani, M.; Mousavifard, S.A.; Nguyen Le, B.; Fattahi, M. Fabrication of new composite NCuTiO2/CQD for photocatalytic degradation of ciprofloxacin and pharmaceutical wastewater treatment: Degradation pathway, toxicity assessment. Sci. Rep. 2023, 13, 16287. [Google Scholar] [CrossRef] [PubMed]
- Khan, S.; Noor, T.; Iqbal, N.; Yaqoob, L. Photocatalytic dye degradation from textile wastewater: A review. ACS Omega 2024, 9, 21751–21767. [Google Scholar] [CrossRef]
- Kaur, H.; Devi, N.; Siwal, S.S.; Alsanie, W.F.; Thakur, M.K.; Thakur, V.K. Metal–organic framework-based materials for wastewater treatment: Superior adsorbent materials for the removal of hazardous pollutants. ACS Omega 2023, 8, 9004–9030. [Google Scholar] [CrossRef]
- Bogacki, J.; Marcinowski, P.; El-Khozondar, B. Treatment of landfill leachates with combined acidification/coagulation and the Fe0/H2O2 process. Water 2019, 11, 194. [Google Scholar] [CrossRef]
- Feilizadeh, M.; Attar, F.; Mahinpey, N. Hydrogen peroxide-assisted photocatalysis under solar light irradiation: Interpretation of interaction effects between an active photocatalyst and H2O2. Can. J. Chem. Eng. 2019, 97, 2009–2014. [Google Scholar] [CrossRef]
- Rosa, D.; Lattanzio, S.; Bavasso, I.; Di Palma, L. Investigation of the synergistic effect of hydrogen peroxide and ultrasound on the photocatalytic treatment under visible light of dyes wastewater. Chem. Eng. Sci. 2023, 282, 119290. [Google Scholar] [CrossRef]
- Saha, D.; Desipio, M.M.; Hoinkis, T.J.; Smeltz, E.J.; Thorpe, R.; Hensley, D.K.; Fischer-Drowos, S.G.; Chen, J. Influence of hydrogen peroxide in enhancing photocatalytic activity of carbon nitride under visible light: An insight into reaction intermediates. J. Environ. Chem. Eng. 2018, 6, 4927–4936. [Google Scholar] [CrossRef]
- Dionysiou, D.D.; Suidan, M.T.; Baudin, I.; Laîné, J.-M. Effect of hydrogen peroxide on the destruction of organic contaminants-synergism and inhibition in a continuous-mode photocatalytic reactor. Appl. Catal. B Environ. 2004, 50, 259–269. [Google Scholar] [CrossRef]
- Gundekari, S.; Desai, H.; Ravi, K.; Mitra, J.; Srinivasan, K. In situ generated Ru(0)-HRO@Na-beta from hydrous ruthenium oxide (HRO)/Na-beta: An energy-efficient catalyst for selective hydrogenation of sugars. Front. Chem. 2020, 8, 525277. [Google Scholar] [CrossRef] [PubMed]
- Zhou, Q.; Fang, Z.; Wang, J.; Zhang, W.; Liu, Y.; Yu, M.; Ma, Z.; Qiu, Y.; Liu, S. Z-Scheme ZIF-8/Ag3PO4 heterojunction photocatalyst for high-performance antibacterial food packaging films. Materials 2025, 18, 2544. [Google Scholar] [CrossRef] [PubMed]
- Sadiq, S.; Khan, I.; Humayun, M.; Wu, P.; Khan, A.; Khan, S.; Khan, A.; Khan, S.; Alanazi, A.F.; Bououdina, M. Synthesis of Metal–Organic Framework-Based ZIF-8@ZIF-67 Nanocomposites for Antibiotic Decomposition and Antibacterial Activities. ACS Omega 2023, 8, 49244–49258. [Google Scholar] [CrossRef] [PubMed]
- Zhong, W.; Wang, N.; Huang, F.; Nie, B.; Lei, Y.; Qin, W.; Tiwari, S.K.; Ola, O.; Wang, X.; Zhu, Y. Rational design of heterostructured MOF-on-MOF (NH2-MIL-125(Ti)@ZIF-8) nanocomposites with synergistic ion-exchange for efficient cesium sequestration in wastewater treatment. Chem. Eng. J. 2025, 522, 166789. [Google Scholar]
- Zhang, J.; Han, J.; Chen, X.; Xu, D.; Wen, X.; Zhao, Y.; Huang, Y.; Ding, X.; Chen, G.; Xu, D. Recent Advances in ZIF Membrane: Fabrication, Separation Ability and Its Application. Nanomaterials 2025, 15, 239. [Google Scholar] [CrossRef]
- Behera, D.; Priyadarshini, P.; Parida, K. ZIF-8 metal–organic frameworks and their hybrid materials: Emerging photocatalysts for energy and environmental applications. Dalton Trans. 2025, 54, 2681–2708. [Google Scholar] [CrossRef]
- Das, A.; Adak, M.K.; Mahata, N.; Biswas, B. Wastewater treatment with the advent of TiO2 endowed photocatalysts and their reaction kinetics with scavenger effect. J. Mol. Liq. 2021, 338, 116479. [Google Scholar] [CrossRef]
- Javed, K.; Abbas, N.; Bilal, M.; Alshihri, A.A.; Rab Nawaz, H.Z.; Ramadan, M.F.; Naqvi, S.A.R. Fabrication of a ZnFe2O4@Co/Ni-MOF nanocomposite and photocatalytic degradation study of azo dyes. RSC Adv. 2024, 14, 30957–30970. [Google Scholar] [CrossRef]
- Lotfi, H.; Heydarinasab, A.; Mansouri, M.; Hosseini, S.H. Kinetic modeling of removal of aromatic hydrocarbons from petroleum wastewaters by UiO-66-NH2/TiO2/ZnO nanocomposite. J. Environ. Chem. Eng. 2022, 10, 107066. [Google Scholar] [CrossRef]
- Bhuyan, A.; Mishra, S.R.; Gadore, V.; Ahmaruzzaman, M. Hydrolyzed MOF based Mo@h-ZIF-8/ZnS composite for enhanced photodegradation of dye pollutants using a combined experimental and RSM approach. Sci. Rep. 2025, 15, 30181. [Google Scholar] [CrossRef]
- de Mello Peters, R.F.; dos Santos, P.A.M.; Machado, T.C.; Lopez, D.A.R.; Machado, Ê.L.; Rodriguez, A.d.A.L. Photocatalytic degradation of methylene blue using TiO2 supported in ceramic material. Eclética Química 2018, 43, 26–32. [Google Scholar]
- Mecha, A.C.; Onyango, M.S.; Ochieng, A.; Fourie, C.J.S.; Momba, M.N.B. Synergistic Effect of UV–vis and Solar Photocatalytic Ozonation on the Degradation of Phenol in Municipal Wastewater: A Comparative Study. J. Catal. 2016, 341, 116–125. [Google Scholar] [CrossRef]
- Tetteh, E.K.; Obotey Ezugbe, E.; Rathilal, S.; Asante-Sackey, D. Removal of COD and SO42− from Oil Refinery Wastewater Using a Photo-Catalytic System—Comparing TiO2 and Zeolite Efficiencies. Water 2020, 12, 214. [Google Scholar] [CrossRef]
- Kweinor Tetteh, E.; Obotey Ezugbe, E.; Asante-Sackey, D.; Armah, E.K.; Rathilal, S. Response Surface Methodology: Photocatalytic Degradation Kinetics of Basic Blue 41 Dye Using Activated Carbon with TiO2. Molecules 2021, 26, 1068. [Google Scholar] [CrossRef]
- Jin, L.; Deng, M.; Gao, J.; Wang, L.; Zhou, Q.; Tang, X.; Li, Q.; Du, H.; Hao, D.; Wang, Q. A crystalline triazine covalent organic framework with partial fluorination for efficient hydrogen peroxide production toward water treatment. Chem. Eng. J. 2025, 515, 163722. [Google Scholar] [CrossRef]
- Liu, A.; Ma, X.; Shen, B.; Du, H.; Jiang, X.; Wu, Y.; Jin, Y.; Li, J.; Zhu, H.; Wang, Q. Sustainable dual-cathode photoelectro-Fenton system enabling oxidative and reductive removal of pollutants via visible light driving Fe sites conversion. Chem. Eng. J. 2025, 504, 158929. [Google Scholar] [CrossRef]
- Hassan, R.; Nazir, F.; Iqbal, M.; Roosh, M.; Qaisar, A.; Habib, U.; Sajini, A.A. Synthesis, Characterization, Biological Evaluation, and In Silico Studies of Imidazolium-, Pyridinium-, and Ammonium-Based Ionic Liquids Containing n-B. Molecules 2022, 22, 6650. [Google Scholar] [CrossRef] [PubMed]
- Wang, S.; Reinsch, H.; Heymans, N.; Wahiduzzaman, M.; Martineau-Corcos, C.; De Weireld, G.; Maurin, G.; Serre, C. Toward a rational design of titanium metal-organic frameworks. Matter 2020, 2, 440–450. [Google Scholar] [CrossRef]


















| System Type | Catalyst | Oxidant/Enhancer | Light Source | Target Pollutant Example | Key Performance Degradation (%) | Reference |
|---|---|---|---|---|---|---|
| Current Study | Ti-MOF | UV/H2O2 | UV | Anilinium dodecylsulphate | 57.54% degradation rate (RSM optimized) | This study |
| Traditional (AOP) | TiO2 (P25) | UV | UV | Dyes (Rhodamine B) | High e−/h+ generation; Wide bandgap, with 20.6% degradation rate | [44] |
| Heterogeneous (Fenton) | Fe-MOF (MIL-101) | H2O2 | Visible Light | Pharmaceuticals (Ciprofloxacin) | Enhanced ·OH production via Fe(II)/Fe(III) cycle, with degradation rate ~87.55% | [45] |
| Non-Metal Catalyst | Graphitic Carbon Nitride (g-C3N4) | None/O2 | LED | Phenol | ~83.75% degradation (RSM optimized), good visible light absorption | [46] |
| Advanced MOF System | UiO-66 (Zr-MOF) and Polyaniline/ZnWO4/WO3 | UV/Solar | UV | Herbicides (Glyphosate and hexazinone) | ~96% for hexazinone and ~69% for glyphosate, attributed to high stability, large surface area, and tunable defects | [47,48] |
| Recycle Runs | Rate Constant (k) 1/h | R2 | Adj Square |
|---|---|---|---|
| 1 | 0.128 | 0.974 | 0.932 |
| 2 | 0.091 | 0.942 | 0.849 |
| 3 | 0.037 | 0.967 | 0.913 |
| Factor 1 | Factor 2 | Factor 3 | Response–Degradation | |||
|---|---|---|---|---|---|---|
| Run | A: IS Concentration | B: Time | C: H2O2 | Actual | RSM-Predicted | Residual |
| mg/mL | Hours | % | % | % | % | |
| 1 | 400 | 5 | 1 | 31.25 | 38.83 | −7.58 |
| 2 | 400 | 5 | 5 | 40.75 | 41.08 | −0.33 |
| 3 | 400 | 3 | 3 | 26.50 | 23.51 | 2.99 |
| 4 | 150 | 1 | 3 | 26.00 | 29.61 | −3.61 |
| 5 | 400 | 1 | 1 | 18.75 | 14.15 | 4.60 |
| 6 | 400 | 3 | 3 | 26.75 | 23.51 | 3.24 |
| 7 | 400 | 3 | 3 | 26.25 | 23.51 | 2.74 |
| 8 | 150 | 3 | 5 | 54.00 | 53.05 | 0.95 |
| 9 | 150 | 3 | 1 | 40.00 | 39.05 | 0.95 |
| 10 | 650 | 5 | 3 | 45.85 | 45.60 | 0.25 |
| 11 | 650 | 3 | 5 | 57.54 | 55.52 | 2.02 |
| 12 | 650 | 3 | 1 | 21.23 | 19.21 | 2.02 |
| 13 | 650 | 1 | 3 | 16.62 | 20.92 | −4.30 |
| 14 | 400 | 3 | 3 | 26.25 | 23.51 | 2.74 |
| 15 | 400 | 3 | 3 | 17.75 | 23.51 | −5.76 |
| 16 | 400 | 1 | 5 | 13.75 | 16.40 | −2.65 |
| 17 | 150 | 5 | 3 | 56.00 | 54.29 | 1.71 |
| Source | Sum of Squares | df | Mean Square | F-Value | p-Value | |
|---|---|---|---|---|---|---|
| Model | 3071.48 | 7 | 438.78 | 19.96 | <0.0001 | significant |
| A-Concentration | 151.03 | 1 | 151.03 | 6.87 | 0.0278 | |
| B-Time | 1218.45 | 1 | 1218.45 | 55.43 | <0.0001 | |
| C-H2O2 | 5.06 | 1 | 5.06 | 0.2303 | 0.6427 | |
| AC | 124.43 | 1 | 124.43 | 5.66 | 0.0413 | |
| A2 | 838.68 | 1 | 838.68 | 38.15 | 0.0002 | |
| C2 | 71.02 | 1 | 71.02 | 3.23 | 0.1058 | |
| A2C | 262.32 | 1 | 262.32 | 11.93 | 0.0072 | |
| Residual | 197.83 | 9 | 21.98 | |||
| Lack of Fit | 137.28 | 5 | 27.46 | 1.81 | 0.2919 | not significant |
| Pure Error | 60.55 | 4 | 15.14 | |||
| Cor Total | 3269.31 | 16 | ||||
| Statistical Fits | ||||||
| C.V. 14.62% | Std. Dev. | 4.69 | Mean | 32.07 | Adeq Precision | 12.863 |
| R2 | 0.939 | Adjusted R2 | 0.892 | Predicted R2 | 0.719 | |
| Number | Concentration (mg/mL) | Time (h) | H2O2 (%) | Degradation (%) | Desirability | |
|---|---|---|---|---|---|---|
| 1 | 647.8 | 4.8 | 5.0 | 65.5 | 1.00 | Selected |
| 2 | 649.0 | 4.9 | 4.9 | 66.3 | 1.00 | |
| 3 | 643.4 | 5.0 | 5.0 | 66.3 | 1.00 | |
| 4 | 642.8 | 4.9 | 5.0 | 65.6 | 1.00 | |
| 5 | 647.2 | 4.9 | 5.0 | 66.6 | 1.00 | |
| 6 | 649.6 | 4.7 | 5.0 | 65.9 | 1.00 | |
| 7 | 638.2 | 5.0 | 5.0 | 65.4 | 1.00 | |
| 8 | 642.9 | 4.9 | 5.0 | 65.5 | 1.00 | |
| 9 | 649.9 | 4.9 | 4.9 | 65.5 | 1.00 | |
| 10 | 649.5 | 5.0 | 5.0 | 67.4 | 1.00 |
Disclaimer/Publisher’s Note: The statements, opinions and data contained in all publications are solely those of the individual author(s) and contributor(s) and not of MDPI and/or the editor(s). MDPI and/or the editor(s) disclaim responsibility for any injury to people or property resulting from any ideas, methods, instructions or products referred to in the content. |
© 2025 by the authors. Licensee MDPI, Basel, Switzerland. This article is an open access article distributed under the terms and conditions of the Creative Commons Attribution (CC BY) license (https://creativecommons.org/licenses/by/4.0/).
Share and Cite
Tokoyi, V.; Tetteh, E.K.; Deenadayalu, N. Maximizing Anilinium Ionic Solid Mineralization Using RSM: A COD and TOC Study of Photocatalytic Degradation. Catalysts 2025, 15, 1109. https://doi.org/10.3390/catal15121109
Tokoyi V, Tetteh EK, Deenadayalu N. Maximizing Anilinium Ionic Solid Mineralization Using RSM: A COD and TOC Study of Photocatalytic Degradation. Catalysts. 2025; 15(12):1109. https://doi.org/10.3390/catal15121109
Chicago/Turabian StyleTokoyi, Vuyolwethu, Emmanuel Kweinor Tetteh, and Nirmala Deenadayalu. 2025. "Maximizing Anilinium Ionic Solid Mineralization Using RSM: A COD and TOC Study of Photocatalytic Degradation" Catalysts 15, no. 12: 1109. https://doi.org/10.3390/catal15121109
APA StyleTokoyi, V., Tetteh, E. K., & Deenadayalu, N. (2025). Maximizing Anilinium Ionic Solid Mineralization Using RSM: A COD and TOC Study of Photocatalytic Degradation. Catalysts, 15(12), 1109. https://doi.org/10.3390/catal15121109

