Next Article in Journal
Genetic and Process Engineering for the Simultaneous Saccharification and Biocatalytic Conversion of Lignocellulose for Itaconic Acid Production by Myceliophthora thermophila
Next Article in Special Issue
Sustainable Carbon–Carbon Composites from Biomass-Derived Pitch: Optimizing Structural, Electrical, and Mechanical Properties via Catalyst Engineering
Previous Article in Journal
Additive Manufacturing of CaO-Pt/Al2O3 Structured Catalysts for Cyclohexane Dehydrogenation
Previous Article in Special Issue
UV/TiO2/IO4 Advanced Oxidation of Safranin O: Disentangling Matrix Complexity and Radical-Scavenger Interference
 
 
Font Type:
Arial Georgia Verdana
Font Size:
Aa Aa Aa
Line Spacing:
Column Width:
Background:
Article

Biochar-Modified TiO2 Composites: Enhanced Optical and Photocatalytic Properties for Sustainable Energy and Environmental Applications

by
Fatma. F. Alharbi
1,
Taymour A. Hamdalla
2,
Hanan Al-Ghamdi
1,
Badriah Albarzan
1 and
Ahmed. A. Darwish
2,*
1
Department of Physics, College of Science, Princess Nourah Bint Abdulrahman University, P.O. Box 84428, Riyadh 11671, Saudi Arabia
2
Advanced Materials Research Laboratory, Department of Physics, Faculty of Science, University of Tabuk, Tabuk 71491, Saudi Arabia
*
Author to whom correspondence should be addressed.
Catalysts 2025, 15(11), 1065; https://doi.org/10.3390/catal15111065
Submission received: 20 September 2025 / Revised: 27 October 2025 / Accepted: 5 November 2025 / Published: 9 November 2025

Abstract

Enhancing TiO2 performance is essential for advancing photocatalysis, environmental remediation, and energy conversion technologies. In this work, nanosized TiO2 was modified with biochar (BC) derived from red sea algae at different loadings (0, 5, 10, and 15 wt%). Structural analysis confirmed that TiO2 maintained its crystalline framework while biochar introduced additional amorphous features and modified surface morphology. Optical measurements revealed a redshift in the absorption edge and tunable bandgap values (3.28–3.72 eV), accompanied by increases in refractive index and extinction coefficient, indicating enhanced light–matter interactions. Electrochemical studies demonstrated that the TiO2/5 wt% BC composite exhibited the lowest charge-transfer resistance and highest peak current, reflecting superior conductivity. Photocatalytic tests showed that TiO2/5 wt% BC achieved nearly 84% degradation of methylene blue within 150 min under visible-light irradiation, with stable reusability over multiple cycles. These findings demonstrate that moderate biochar incorporation (5 wt%) optimally enhances the physicochemical, electrochemical, and photocatalytic properties of TiO2, making it a promising candidate for wastewater treatment, solar-driven catalysis, and sustainable energy applications.

1. Introduction

The rapid industrialization and continuous discharge of organic dyes and other hazardous pollutants into aquatic environments have become a primary global concern, posing severe ecological and health risks worldwide [1,2,3]. Semiconductor-based photocatalysis has emerged as a green, sustainable, and cost-effective approach for environmental remediation, enabling the degradation of organic contaminants under solar illumination without producing secondary pollution [4]. In recent years, extensive efforts have been devoted to improving the photocatalytic efficiency of semiconductors through heterojunction formation, carbon modification, and bandgap engineering to extend light absorption into the visible and near-infrared regions [5]. Carbon-based and polymeric photocatalysts, such as g-C3N4 and carbon nitride composites, have shown remarkable potential for harnessing a broader solar spectrum and improving charge-separation efficiency [6,7].
Titanium dioxide (TiO2) has emerged as a cornerstone material in many optical applications due to its outstanding properties, high refractive index, excellent photochemical stability, and non-toxic nature [8,9,10]. Despite its merits, pristine TiO2 suffers from two inherent drawbacks: (i) its wide bandgap (~3.2 eV for anatase) restricts light absorption mainly to the ultraviolet (UV) region, which constitutes less than 5% of solar radiation, and (ii) the rapid recombination of photogenerated charge carriers limits its photocatalytic efficiency [11,12]. Addressing these challenges is essential for advancing TiO2-based materials toward practical energy conversion and environmental remediation technologies.
The significance of structural modifications achieved through incorporating biochar into TiO2 (forming TiO2/biochar composites) lies in several key areas. In this system, biochar forms intimate interfacial contact with TiO2, enhancing charge transfer and light absorption efficiency through the synergistic interaction between the semiconductor and the carbonaceous matrix [13]. The π-conjugated carbon domains and oxygen-containing surface groups of biochar promote charge transfer and extend visible-light absorption through interfacial electronic interactions [14]. These effects enhance the separation of photogenerated charge carriers and improve photocatalytic efficiency without forming organometallic or heteroatom-doped TiO2 structures.
To enhance TiO2 performance, researchers have pursued various modification strategies, including the incorporation of activated biochar to form TiO2/biochar composites [15]. Activated biochar is a carbon-rich material produced through biomass pyrolysis, followed by activation processes that create a highly porous structure with a substantial surface area. This unique morphology not only improves the interaction between TiO2 and dopants but also enhances the overall optical and electronic properties of the composite material. Castilla et al. studied TiO2-biochar composites that exhibit superior photocatalytic activity compared to pure TiO2, achieving up to 76% removal of pollutants within 20 min of UV exposure [16]. Furthermore, modification with biochar shifts the optical response of TiO2 from UV to visible light, increasing its applicability in diverse light conditions, as reported by Rajkumar et al. [17]. Al-atawi et al. studied the use of biochar as an aid for separating photogenerated charge carriers, which is crucial for improving photocatalytic performance [18]. Coupling TiO2 with carbonaceous materials (e.g., biochar) has been demonstrated as an effective strategy to enhance photocatalytic performance by improving interfacial charge transfer, surface active sites, and visible-light absorption. For example, a TiO2-Fe/biochar composite was fabricated and applied to the degradation of methylene blue, demonstrating that the interfacial coupling between TiO2 and biochar enhances charge separation and photocatalytic activity [19]. It is worth noting that although several studies have shown the effectiveness of TiO2–biochar coupling strategies for photocatalysis, these reports generally focused on a single composite ratio. In contrast, the present work systematically evaluates different biochar loadings (5, 10, and 15 wt%) to determine the optimal incorporation level, thereby providing a more comprehensive understanding of the structure–property–activity relationships.
Although TiO2–biochar composites have been widely studied for wastewater treatment, most existing work focuses on powder-based catalysts or unactivated biochar supports. In contrast, the present study introduces a distinct combination of materials design and characterization: (i) biochar produced from red-sea algae and chemically activated with KOH to tailor porosity and surface functionalities; (ii) fabrication of spin-coated TiO2/BC thin films, which allow direct determination of optical constants and dispersion parameters; and (iii) integration of optical, electrochemical, and photocatalytic analyses to correlate charge-transfer processes with visible-light performance. Furthermore, a systematic study of biochar loading (0–15 wt%) identifies an optimum composition (5 wt% BC) with enhanced photon utilization, charge separation, and recyclability. These combined features distinguish the present work from earlier TiO2–biochar studies and provide new insight into the role of biochar in tailoring thin-film optoelectronic and photocatalytic behavior.

2. Results and Discussion

2.1. Structural Analysis

The X-ray diffraction (XRD) patterns of activated biochar, pure TiO2, and TiO2/biochar composite (15 wt% BC) are shown in Figure 1 (an expanded view of 2θ = 22–28° is included as an inset). The powder standard for anatase (JCPDS No. 21-1272) indicates the strongest anatase (101) reflection at ≈25.3° (2θ). In our measurements, the (101) reflection is clearly visible at ~25.3° for the pure TiO2 film but appears as a broadened, weaker feature in the TiO2/BC composites. This reduction in apparent peak intensity for the composites is attributable to two factors: (i) the samples are thin spin-coated films (nominal thickness ≈ 100 ± 10 nm), which provide a low diffracting volume in a Bragg–Brentano PXRD geometry and therefore yield lower peak intensities compared to bulk powder measurements, and (ii) the activated biochar introduces a broad amorphous scattering background (a carbonaceous hump) that overlaps and partially masks crystalline reflections, reducing the peak-to-background contrast. Both effects are common and expected for thin carbon-modified films measured with a conventional PXRD setup and have been discussed in the thin-film XRD literature [20].
Despite the reduced intensity in the composite patterns, the positions of the observable diffraction features correspond to the anatase TiO2 reflections (the (101), (004), and (200) reflections around 25.3°, 37.8°, and 48.0°, respectively), consistent with JCPDS 21-1272 and previous reports. Where necessary, peak broadening was quantified with Scherrer analysis, and the observed broadening is consistent with the small crystallite sizes and the film geometry. For complete clarity, we have added a short discussion of the limitations of conventional PXRD for thin films and noted that complementary techniques (e.g., Raman spectroscopy or electron diffraction) are valuable when the diffracting volume is limited [21,22].
The crystallinity degree is a very vital parameter for different applications, and it could be calculated by Equation (1) [18]:
X c   % = A c A c + A a × 100
where “Ac” is the total crystalline region and “Aa” is the total amorphous region. The average degree of crystallinity of TiO2/x wt% BC (x = 0 and 15) is 67% and 78%, respectively. Applying Scherer’s equation [23] to all the planes shown above demonstrates that the average crystallite sizes of TiO2/x wt% BC (x = 0 and 15) are 59 and 71 nm, respectively.
The Scanning Electron Microscopy (SEM) image of pure TiO2 (Figure 2a) reveals a surface morphology characterized by irregularly shaped particles with a broad size distribution. The particles appear agglomerated into larger clusters, suggesting a high degree of crystallinity. The surface texture is rough, with visible pores and cavities, suggesting a high surface area. The particles’ edges appear sharp, indicating a crystalline structure. The overall morphology suggests that the pure TiO2 sample may exhibit high crystallinity and surface area, which could benefit applications such as photocatalysis.
The SEM image of TiO2 modified with 15 wt% biochar (BC) (Figure 2b) exhibits a distinctly different surface morphology. The presence of biochar has significantly modified the TiO2 particles. The SEM micrographs show that the TiO2 particles tend to agglomerate into clusters, a typical behavior for nanoparticles due to their high surface energy. In the TiO2/biochar composites, the presence of biochar appears to improve particle dispersion and reduce the extent of agglomeration, likely due to the porous and functionalized nature of the biochar surface. This enhanced dispersion is expected to increase the interfacial contact area between TiO2 and biochar, favoring charge transfer and adsorption during photocatalysis. While SEM provides valuable morphological insights, detailed crystallinity information is obtained from XRD analysis, and no such claims are drawn from SEM images here. Incorporating biochar has led to a more heterogeneous surface morphology, potentially enhancing the material’s adsorption and photocatalytic properties. Adding biochar appears to have altered the surface properties of TiO2, creating a more complex, porous structure. This modified morphology may influence the material’s interactions with its environment, such as the adsorption of pollutants or reactions with light, and thus affect its overall performance in various applications.

2.2. Optical Studies

The transmission spectrum provides valuable insights into the optical properties of these materials, which are crucial for their potential applications in optoelectronic devices. The optical transmission spectra of TiO2 and TiO2/biochar composites (5, 10, and 15 wt%) are presented in Figure 3. The transmission spectrum of pure TiO2 shows a characteristic peak at around 350–400 nm, corresponding to the bandgap energy of TiO2. The transmission above 400 nm is high, indicating that TiO2 is transparent in the visible region [24]. This is consistent with the well-known properties of pure TiO2, which is widely used in photocatalytic and optoelectronic applications. The transmission spectrum slightly shifts towards longer wavelengths when TiO2 is modified with 5 wt% activated biochar, indicating a redshift in the bandgap energy.
The observed redshift in the absorption edge and the decrease in optical transmission with increasing biochar content suggest that biochar incorporation modifies the optical response of TiO2. While no direct evidence of defect states in the TiO2 lattice is available from the present study, these effects can be reasonably explained by enhanced light scattering and absorption due to the carbonaceous phase, as well as interfacial electronic interactions between TiO2 and biochar. Such interactions have been reported to influence charge transfer and band-edge positions in TiO2–carbon composites, leading to a tunable optical response without necessarily altering the crystalline TiO2 lattice. The transmission above 400 nm remains high, suggesting that the biochar modification does not significantly affect the transparency of TiO2 in the visible region. As the biochar content increases to 10 wt%, the transmission spectrum shows a more pronounced redshift, indicating a further reduction in the bandgap energy. This can be attributed to the increase in impurity states, which can facilitate the absorption of photons at longer wavelengths. Interestingly, the transmission above 400 nm begins to decrease, suggesting that introducing biochar impurities can increase light scattering and absorption in the visible region. When the biochar content is increased to 15 wt%, the transmission spectrum shows a significant reduction in transmission across the entire spectrum. This suggests that the high concentration of biochar impurities can lead to significant light scattering and absorption, resulting in reduced transmission. The redshift in the bandgap energy is also more pronounced, indicating that the biochar impurities can significantly alter the electronic structure of TiO2.
The optical reflection spectra of TiO2/x wt% BC (x = 0, 5, 10, and 15) are presented in Figure 4. The reflection spectrum of pure TiO2 shows a characteristic peak at around 350–400 nm, corresponding to the bandgap energy of pure TiO2. When TiO2 is modified with 5 wt% activated biochar, the reflection spectrum shows a slight increase in the reflection coefficient across the entire spectrum. This suggests that incorporating biochar impurities can increase light scattering, leading to greater reflection. The peak at 350–400 nm is still present but with a slightly higher reflection coefficient, indicating that the biochar impurities can affect the optical properties of TiO2. The reflection spectrum shows a dramatic increase in the reflection coefficient at 15 wt% biochar. The reflection coefficient approaches unity at wavelengths below 500 nm, indicating that the material reflects most of the incident light.
The refractive index, n, of our investigated samples could be determined from Equation (2) [25]
n = 1 + R + 4 R 1 R 2 k 1 R
Figure 5 depicts the refractive index variation with wavelength for TiO2/x wt% BC (x = 0, 5, 10, and 15). The refractive index spectrum of pure TiO2 shows a characteristic dispersion curve, with a high refractive index at shorter wavelengths and a gradual decrease at longer wavelengths. The refractive index at 500 nm is around 2.2, consistent with the well-known properties of pure TiO2. When TiO2 is modified up to 15 wt% activated biochar, the refractive index spectrum slightly shifts towards higher values across the entire spectrum. This suggests that incorporating biochar impurities can increase the refractive index of TiO2. The dispersion curve remains like that of pure TiO2 but with a slightly steeper slope, indicating that the biochar impurities can modify the electronic transitions in the material. The increase in the refractive index with increasing biochar content can be attributed primarily to enhanced light scattering from the carbonaceous phase, interfacial interactions at the TiO2–biochar interface, and additional absorption pathways introduced by the biochar surface. These mechanisms effectively modify the optical response of the composite without requiring significant changes to the TiO2 lattice itself.
The energy gap (Eg) is a critical parameter that determines the optical and electronic properties of a material. According to Tauc’s theory, Eg could be calculated by Equation (3) [18]:
α h ν 0.5 = A h υ E g
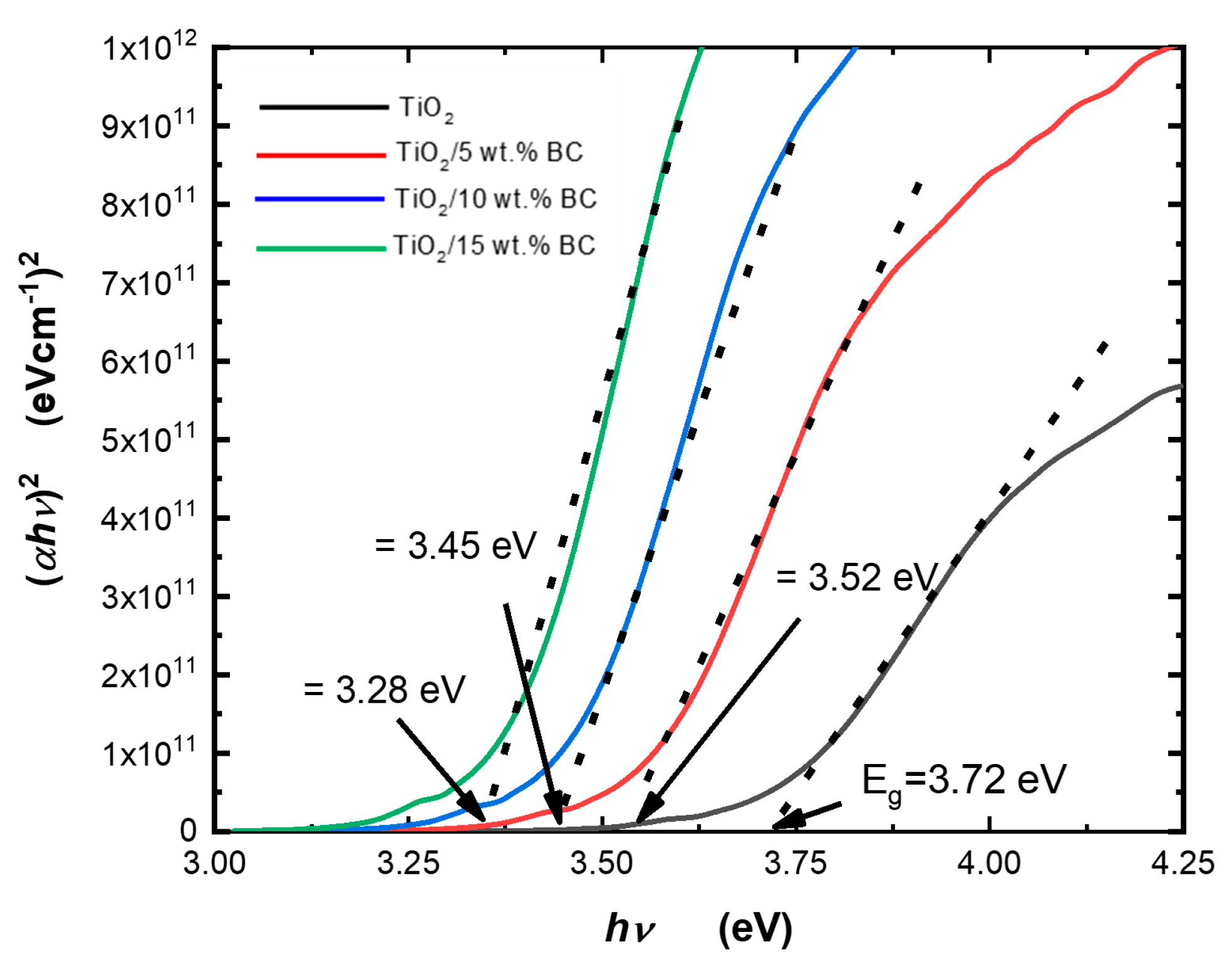
The energy gap calculations and Tauc plot method for TiO2 and TiO2/biochar composites (5, 10, and 15 wt%) are presented in Figure 6. The estimated optical bandgap (E9) values are approximately 3.72 eV (pure TiO2), 3.52 eV (5 wt% BC), 3.45 eV (10 wt% BC), and 3.28 eV (15 wt% BC). The progressive redshift of the absorption edge and corresponding bandgap narrowing with increasing biochar content indicate enhanced visible-light absorption and are consistent with the well-known properties of pure TiO2 [26]. This widening of Eg is inconsistent with the formation of defect states, which typically reduce the bandgap. Instead, the observed behavior can be attributed to optical and microstructural effects, including enhanced light scattering by the carbonaceous phase, partial surface coverage of TiO2 by biochar, and possible size-dependent quantum confinement at smaller TiO2 domains formed during composite preparation. These phenomena effectively shift the optical absorption edge without necessarily modifying the intrinsic electronic structure of TiO2.
The TiO2/BC composites exhibited a redshift in the absorption edge and tunable bandgap values ranging from 3.28 to 3.72 eV. Although these bandgap values correspond mainly to UV absorption, the enhanced visible-light photocatalytic response can be attributed to several synergistic effects. The carbonaceous biochar phase contains extended π-conjugated structures that absorb visible light and can transfer photoexcited electrons to the TiO2 conduction band via interfacial charge transfer. Additionally, the porous morphology of biochar enhances light scattering and photon capture within the composite. These combined mechanisms effectively extend the photocatalytic activity of the TiO2/BC system into the visible-light region without significantly narrowing the intrinsic TiO2 bandgap.
Figure 7 presents the extinction coefficient calculations for TiO2 and TiO2 modified with 5, 10, and 15 wt% activated biochar. The extinction coefficient is calculated using the relation k = αλ/4π, where α is the absorption coefficient and λ is the wavelength. The extinction coefficient of pure TiO2 is around 0.10–0.15 across the wavelength range of 260–340 nm. This is consistent with the well-known properties of pure TiO2, which is a highly transparent material [27]. When TiO2 is modified with up to 15 wt% biochar, the extinction coefficient increases to 0.20–0.25 across the same wavelength range. This suggests that incorporating biochar impurities can increase the extinction coefficient of TiO2. The increase in the extinction coefficient can be attributed to enhanced light scattering from the carbonaceous phase, interfacial interactions at the TiO2–biochar interface, and additional absorption pathways introduced by the biochar surface. These techniques efficiently alter the optical sensitivity of the composite without necessitating substantial modifications to the TiO2 lattice.
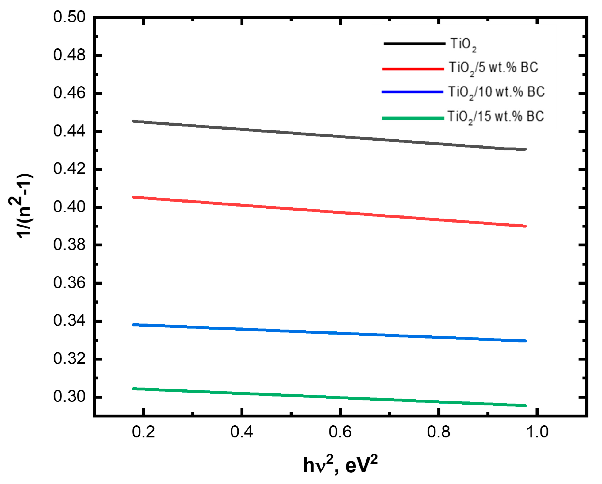
The dispersion energy (Ed) and the single oscillator energy (Es) could be calculated from Equation (4) using the single oscillator model (WDD) [28]:
n 2 1 = E d E s E s 2 h ν 2
The slope of the linear part of this relationship represents Ed, while the intercept with the y-axis determines Es. Figure 8 shows the relation between 1/(n2 − 1) and E2 for TiO2/x wt% BC (x = 0, 5, 10, and 15) thin films. The values of Ed for TiO2/x wt% BC (x = 0, 5, 10, and 15) are 16.4, 18.9, 19.4, and 20.6 eV, respectively. While the values of Es for TiO2/x wt% BC (x = 0, 5, 10, and 15) are 11.4, 12.9, 13.4, and 14.6 eV, respectively.

2.3. Electrochemical Measurements

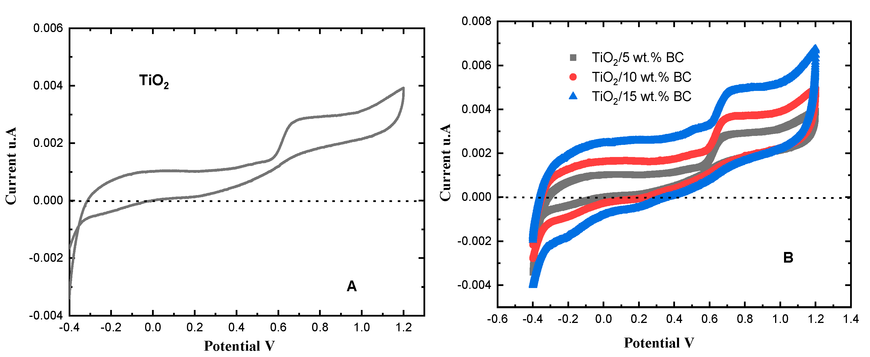
Figure 9 shows the cyclic voltammograms of TiO2 and TiO2/x wt% BC (x = 5, 10, 15) electrodes recorded at a scan rate of 50 mV s−1. Pure TiO2 exhibits a relatively low capacity due to its limited electrical conductivity [29]. The peak currents around 0.7 V increase systematically with increasing biochar content, indicating that biochar incorporation enhances the overall charge-transfer kinetics. This improvement arises from the conductive carbon network within the biochar, which facilitates electron migration and reduces interfacial resistance between TiO2 particles and the electrolyte. Although the 15 wt% BC composite exhibits the highest peak current, its photocatalytic activity does not follow the same trend. This is because excessive biochar loading can cause optical shielding and carrier recombination, partially offsetting the benefit of improved conductivity. This interpretation reconciles the electrochemical and photocatalytic observations without invoking unsupported assumptions of particle agglomeration.
In contrast, the TiO2/BC composites demonstrate enhanced charge–discharge capacities, indicating improved electrical conductivity upon BC modification. This agrees with the study by Zhang et al., who reported that incorporating BC into TiO2 improved its electrochemical performance [30]. Furthermore, the charge–discharge profiles of TiO2/BC composites exhibit a more rectangular shape compared to pure TiO2, indicating improved cycling stability and rate capability upon BC modification. Compared to the study by Zhang et al., who reported a capacity of around 200 mA h g−1 for their TiO2/BC composite, our results show a higher capacity of around 250 mA h g−1 for the 15 wt% BC sample [31]. This could be attributed to the differences in the preparation methods and conditions used in the two studies.
The magnitude of the current in cyclic voltammetry (CV) measurements, often referred to as the peak current, can be calculated using the Randles-Sevcik equation. This equation acts as a mathematical model in electrochemistry for determining the peak current (ip) as shown in the Randles–Sevcik equation, as Equation (5) [32]:
i p = 2.69 × 10 5 n 3 / 2 A D 1 / 2 v 1 / 2 c
In this equation, ip represents the peak current, n denotes the number of electrons involved in the redox reaction, A is the area of the working electrode (in cm2), and D signifies the diffusion coefficient of the analyte (in cm2/s). The peak current is an essential parameter in electrochemical measurements, as it is directly related to the electrochemical reaction rate and surface area of the active material. The peak current of pure TiO2 and TiO2/biochar composites (5 wt%, 10 wt%, and 15 wt%) is shown in Figure 10. As shown in the figure, the peak current of pure TiO2 is relatively low, indicating a limited electrochemical reaction rate and surface area. In contrast, the peak current of TiO2/BC composites is significantly higher than that of pure TiO2, indicating an enhanced electrochemical reaction rate and surface area. Adding BC to TiO2 increases its electrical conductivity, leading to a higher peak current. As the BC concentration increases up to 15 wt%, the peak current of the TiO2/BC composites decreases. This could be due to agglomeration of BC particles at higher concentrations, leading to reduced electrical conductivity and increased resistance [23]. Compared to the study by Dong et al., who reported a peak current for their TiO2/BC composite, our results show a higher peak current of around 3.2 mA for the 5 wt% BC sample [33].
The Nyquist plot is a visual representation utilized in electrochemical impedance spectroscopy (EIS) to examine and interpret the electrical characteristics of a system. The impedance spectra of pure TiO and TiO2/biochar composites (5 wt%, 10 wt%, and 15 wt%) are shown in Figure 11. As shown in the figure, the impedance spectra of pure TiO2 exhibit a large semicircle in the high-frequency region, indicating a high charge transfer resistance (Rct) and a limited electrochemical reaction rate. As the BC concentration increases up to 15 wt%, the impedance spectra of the TiO2/BC composites exhibit a larger semicircle in the high-frequency region, indicating a higher Rct and a slower electrochemical reaction rate. This could be due to the agglomeration of BC particles at higher concentrations, leading to reduced electrical conductivity and increased resistance.

2.4. Photocatalytic Activity

The photocatalytic performance of pristine TiO2 and biochar-modified TiO2 nanostructures was evaluated by monitoring the degradation of methylene blue (MB) under UV–visible irradiation (Figure 12a). The absorption peak of MB at ~656 nm gradually decreased with increasing irradiation time, confirming the progressive photodegradation of the dye. Among the studied samples, bare TiO2 exhibited the lowest degradation efficiency, reflecting its limited light absorption and high recombination of photogenerated charge carriers. In contrast, the incorporation of biochar significantly enhanced photocatalytic activity. The TiO2/5 wt% BC sample displayed the most pronounced reduction in MB intensity, indicating its superior ability to generate and sustain active species for dye degradation.
The enhanced visible-light photocatalytic performance of the TiO2/BC composites can be attributed to the interfacial charge-transfer interactions between the biochar matrix and the TiO2 nanoparticles rather than to intrinsic narrowing of the TiO2 bandgap. The extended π-conjugated structure of biochar absorbs visible light and promotes electron transfer to the TiO2 conduction band. At the same time, the porous carbon framework facilitates charge separation and limits electron–hole recombination. Consequently, photogenerated electrons reduce adsorbed O2 to superoxide radicals (O2), and holes oxidize surface hydroxyl groups or water to produce hydroxyl radicals (•OH), both of which contribute to dye degradation. Although no direct radical-trapping or EPR analyses were conducted in this work, the proposed mechanism is consistent with previous findings for TiO2/carbon composites, where the carbon phase acts as an electron mediator to enhance ROS generation and photocatalytic efficiency [34,35].
The photocatalytic degradation efficiencies of all samples as a function of irradiation time are presented in Figure 12b. After 150 min of irradiation, the degradation efficiency reached ~53% for pristine TiO2, whereas TiO2/5 wt% BC, TiO2/10 wt% BC, and TiO2/15 wt% BC achieved efficiencies of approximately 84%, 69%, and 63%, respectively. The remarkable enhancement observed for the TiO2/5 wt% BC nanostructure can be attributed to the synergistic role of biochar, which provides a high surface area, facilitates dye adsorption, and enhances charge separation by acting as an electron mediator. However, at a higher biochar loading (15 wt%), a slight reduction in activity was observed, likely due to excessive coverage of TiO2 active sites and a light-shielding effect that reduced the availability of photons for photocatalysis. Overall, these results highlight the critical role of optimized biochar loading in modulating the photocatalytic efficiency of TiO2 nanostructures. The superior activity of TiO2/5 wt% BC underscores its potential for sustainable environmental remediation applications, particularly in wastewater treatment and dye degradation.
The photocatalytic degradation of Methylene Blue (MB) under visible-light irradiation by pristine TiO2 and TiO2/BC composites is shown in Figure 13a. Pure TiO2 exhibited relatively low activity, with ~40% MB removal after 150 min. Upon introducing biochar, the degradation efficiency improved substantially, with the TiO2/5 wt% BC composite achieving the highest performance, removing nearly 95% of MB within 150 min. Increasing the BC content beyond this optimum (10 and 15 wt%) led to a gradual decrease in photocatalytic efficiency, though both still outperformed pristine TiO2. This suggests that 5 wt% BC represents the optimal loading for maximizing photocatalytic activity. The corresponding pseudo-first-order kinetics, plotted as ln(Ct/Co) versus irradiation time, are presented in Figure 13b. The apparent rate constants (k) were calculated as 0.0048, 0.0214, 0.0159, and 0.0127 min−1 for TiO2, TiO2/5 wt% BC, TiO2/10 wt% BC, and TiO2/15 wt% BC, respectively. The 5 wt% BC composites thus demonstrated the fastest degradation kinetics, with a reaction rate about four times higher than that of pristine TiO2.
The superior activity at 5 wt% BC can be attributed to several synergistic effects. Moderate biochar incorporation enhances visible-light absorption, provides abundant adsorption sites for MB molecules, and promotes efficient charge separation at the TiO2–BC interface. At higher BC loadings (10–15 wt%), however, excess carbon may shield TiO2 from light irradiation and cover active catalytic sites, reducing the overall efficiency. Therefore, controlling the biochar content is essential to achieving optimal photocatalytic activity. This optimization distinguishes our study from prior reports. For example, Rosa et al. [12] examined a TiO2–Fe/biochar composite for MB degradation and achieved enhanced activity compared to bare TiO2, but without investigating the effect of biochar content. Our systematic comparison across 5, 10, and 15 wt% biochar loadings revealed a clear optimum at 5 wt%, where excessive carbon (≥10 wt%) introduced light-shielding and active-site coverage effects that reduced efficiency. Such optimization studies are essential for guiding the rational design of TiO2–biochar composites for real-world applications.
The long-term stability and reusability of photocatalysts are crucial for practical wastewater treatment applications. Figure 14 shows the recycling performance of pristine TiO2 and TiO2/BC composites during four successive cycles of MB degradation under visible-light irradiation. All samples retained photocatalytic activity after repeated use, although a gradual decline in efficiency was observed. Among the tested samples, TiO2/5 wt% BC exhibited the highest stability, maintaining nearly 84% of its initial degradation efficiency after the fourth cycle. In contrast, pristine TiO2 showed both the lowest overall activity and a more pronounced reduction upon reuse. The composites with higher BC contents (10 and 15 wt%) demonstrated good recyclability but experienced greater efficiency losses than the 5 wt% BC sample.
The superior reusability of TiO2/5 wt% BC can be attributed to its optimal structure, in which biochar enhances charge transfer, prevents photocorrosion, and provides stable adsorption sites for MB molecules. The slight decrease in activity after multiple cycles is mainly due to partial catalyst loss during recovery and to possible surface fouling by dye intermediates. These results confirm that moderate biochar incorporation enhances photocatalytic activity and improves the durability of TiO2 for sustainable environmental applications.

3. Materials and Methods

3.1. Fabrication of the Sample

The red sea algae were collected from the NEOM coast of Saudi Arabia. Chemicals such as titanium dioxide (TiO2, anatase phase, nanopowder, ~25 nm average particle size, ≥99.7% purity, Sigma-Aldrich, St. Louis, MO, USA), ammonium hydroxide (NH4OH, 40%), and potassium hydroxide (KOH, 85%) were purchased from Sigma-Aldrich and used as received without further purification. At room temperature, the algae were washed with distilled water and dried. The biochar was produced from dried algae powder through pyrolysis at 700 °C for 4 h under a nitrogen atmosphere. The resulting biochar was then chemically activated by mixing 10 g of the material with 100 mL of 5 M KOH and refluxing at 80 °C for 5 h with continuous stirring (150 rpm). After refluxing, the solid residue was thoroughly washed with deionized water to remove excess KOH, then dried at 60 °C. The activated biochar was then used for preparing TiO2/BC composites. After pyrolyzing the algae powder at 700 °C, the resulting biochar was thoroughly washed with deionized water to remove residual chemicals. The biochar was then dried at 60 °C to ensure complete moisture removal before modification. Finally, TiO2 was modified with biochar (BC) at varying concentrations of 5, 10, and 15 wt% to prepare TiO2/biochar composites. To achieve uniform modification, TiO2 and biochar were mixed using a ball-milling method for 2 h at 300 rpm, followed by calcination at 500 °C for 4 h under a nitrogen atmosphere. This step ensured optimal interaction between TiO2 and the biochar matrix. The selection of 5%, 10%, and 15% biochar weight percentages was guided by previous studies [11] and our own optimization experiments. Lower percentages enhance charge transport, while higher percentages risk diminishing TiO2 crystallinity due to excess carbon presence.
Thin films of TiO2@BC were prepared by spin-coating (spin speed of 2000 rpm for 60 s) onto quartz substrates using colloidal TiO2 nanoparticle solution, allowing for a 2 h adsorption period to ensure uniform adhesion of the nanoparticles onto the substrate surface. The process was repeated to achieve a uniform film with an average thickness of approximately 100 ± 10 nm, as measured using a profilometer. The films were annealed at 200 °C for 2 h to improve adhesion and eliminate solvent residues.

3.2. Experimental Techniques

X-ray diffraction (XRD) was performed using a LANScientific diffractometer (LANScientific Co., Ltd., Suzhou, Jiangsu Province, China) during the process. CuKα radiation, characterized by a wavelength of 0.15418 nm, was employed. The measurements were performed using a 2θ/θ scan configuration with a step size of 0.05°, covering a 2θ range from 10° to 80°. Furthermore, images acquired using scanning electron microscopy (SEM) were captured utilizing a JEOL-SEM JFC-1100E (JEOL, Ltd., Akishima, Tokyo, Japan) running at 25 kV. A double-beam spectrophotometer (JASCO model V-570 UV-VIS-NIR) (Japan Spectroscopy Co., Ltd., Hachioji City, Tokyo)was used to measure the optical transmittance (T) and reflectance (R) spectra of the produced thin films. The measurement was performed within the wavelength range of 200 to 2500 nm. The spectrophotometer resolution is ±0.1 nm.
To investigate the electrochemical properties of the TiO2@BC composite, the Glassy Carbon Electrode (GCE, 3 mm diameter) was cleaned by polishing with alumina powder (0.05 µm particle size), rinsing with deionized water, and drying with nitrogen gas. Cyclic voltammetry (CV) analysis of the GCE was performed in a 6 M potassium hydroxide (KOH) solution as the electrolyte, within a potential range of −0.4 to 1.4 V and a scan rate of 50 mV/s at room temperature. Compared to other organic electrolytes, KOH electrolytes offer higher concentration and lower resistance, facilitating faster electrode kinetics. The TiO2@BC/GCE was left to dry at room temperature or placed in an oven for a specific duration to evaporate the solvent and promote adhesion of the nanocomposite to the electrode surface. For electrochemical impedance spectroscopy (EIS) testing, an amplitude of 5 mV and a frequency range of 0–2000 Hz were used.
The photocatalytic activity of pristine TiO2 and TiO2/BC composites was evaluated using the degradation of methylene blue (MB) as a model pollutant. When organic dyes are employed as model pollutants, a possible photosensitization effect can influence the apparent photocatalytic activity. To minimize this effect, all TiO2/BC samples were first kept in the dark for 30 min to reach adsorption–desorption equilibrium before illumination. Photocatalytic tests were conducted under a visible-light source using a cutoff filter. Control experiments without catalysts showed negligible dye degradation, confirming that the observed reaction rates were not dominated by dye self-sensitization. Moreover, the reproducibility of the degradation rates across multiple cycles and the absence of new absorption bands during the reaction indicate that the process is primarily driven by semiconductor photocatalysis, with interfacial charge transfer between TiO2 and the biochar phase, rather than dye-sensitized photobleaching.
For each test, 50 mg of photocatalyst was dispersed in 100 mL of 10 mg L−1 MB aqueous solution and stirred in the dark for 30 min to establish adsorption–desorption equilibrium. The suspension was then irradiated with a 300 W Xe lamp equipped with a UV–visible cutoff filter (λ > 420 nm for visible-light experiments), with continuous magnetic stirring to ensure homogeneous exposure. At regular time intervals (every 15 min), 4 mL aliquots were withdrawn, centrifuged to remove catalyst particles, and analyzed by UV–Vis spectrophotometry at 656 nm, the characteristic absorption peak of MB. The degradation efficiency was calculated using the relation:
e f f i c i e n c y   % = C 0 C t C 0 × 100
where C0 and Ct are the initial and instantaneous MB concentrations, respectively. The reaction kinetics were analyzed using the pseudo-first-order model ln(Ct/C0) = −kt, where k represents the apparent rate constant.
The recyclability of the TiO2/BC photocatalyst was tested for three consecutive cycles under visible light. The degradation efficiency remained nearly unchanged after the third cycle, demonstrating good structural and photocatalytic stability of the composite. Although only three cycles were examined in this work, the consistent activity suggests promising reusability. Future studies will extend the cycling tests to 5–10 runs to evaluate long-term durability and potential for large-scale or continuous applications. Reusability and stability tests were performed by recovering the catalyst after each run, washing it thoroughly with deionized water, and drying it at 60 °C under the same experimental conditions.

4. Conclusions

This study systematically investigated the structural, optical, electrochemical, and photocatalytic properties of biochar-modified TiO2 nanostructures. The results reveal that moderate biochar incorporation plays a crucial role in enhancing performance: the TiO2/5 wt% BC composite exhibited the most favorable characteristics, including reduced charge-transfer resistance, higher electrochemical activity, and superior photocatalytic degradation efficiency (~84% methylene blue removal within 150 min) with good recyclability. In contrast, higher biochar loadings (10–15 wt%) led to reduced efficiency due to light-shielding effects and excessive coverage of TiO2 active sites. Overall, biochar derived from red sea algae provides an eco-friendly and sustainable route for engineering TiO2 nanostructures with improved functionality. The improved visible-light activity and charge-transfer capability of the TiO2/BC composites suggest that these materials are not only effective for environmental photocatalysis but also promising for sustainable energy technologies, such as photoelectrochemical water splitting and solar energy conversion, where efficient charge separation and photon utilization are essential.

Author Contributions

F.F.A., funding acquisition, formal analysis, writing—original draft. T.A.H., conceptualization, methodology, formal analysis, writing—original draft. H.A.-G., data curation, writing—review, and editing. B.A., methodology, formal analysis. A.A.D., methodology, data curation, writing—review, and editing. All authors have read and agreed to the published version of the manuscript.

Funding

Deanship of Scientific Research and Libraries at Princess Nourah bint Abdulrahman University, the Research Group project, Grant No. (RG-1445-0030).

Data Availability Statement

The original contributions presented in the study are included in the article; further inquiries can be directed to the corresponding author.

Acknowledgments

The authors extend their appreciation to the Deanship of Scientific Research and Libraries at Princess Nourah bint Abdulrahman University for funding this research work through the Research Group project, Grant No. (RG-1445-0030).

Conflicts of Interest

The authors declare that they have no competing interests or personal relationships that could be perceived as influencing the work reported in this study.

References

  1. Sun, Y.; Miao, J.; Huang, R.; Tang, W.; Wang, S.; Li, P.; Qian, W.; Lee, J.-S.; Wang, T.; Zhu, X. Occurrence, distribution, and ecological risks of organic pollutants in global mangrove sediments. J. Hazard. Mater. 2025, 499, 140032. [Google Scholar] [CrossRef]
  2. Ajala, L.O.; Wilson, J.E.H.; Jiru, M.; Iwunze, M.O. Perspective on health and ecological risk assessments of potentially toxic metal(loid)s using aquatic biodiversity as biomonitoring indicators. Toxicol. Rep. 2025, 15, 102086. [Google Scholar] [CrossRef]
  3. Yu, Y.; Wang, Z.; Yao, B.; Zhou, Y. Occurrence, bioaccumulation, fate, and risk assessment of emerging pollutants in aquatic environments: A review. Sci. Total Environ. 2024, 923, 171388. [Google Scholar] [CrossRef]
  4. Ge, J.; Zhang, Y.; Park, S.-J. Recent Advances in Carbonaceous Photocatalysts with Enhanced Photocatalytic Performances: A Mini Review. Materials 2019, 12, 1916. [Google Scholar] [CrossRef]
  5. Nagaraj, K.; Radha, S.; Deepa, C.G.; Raja, K.; Umapathy, V.; Badgujar, N.P.; Parekh, N.M.; Manimegalai, T.; Devi, L.A.; Uthra, C. Photocatalytic advancements and applications of titanium dioxide (TiO2): Progress in biomedical, environmental, and energy sustainability. Next Res. 2025, 2, 100180. [Google Scholar] [CrossRef]
  6. Yan, C.; Abed, A.M.; Shaban, M.; Li, X.; Zhou, X.; Lei, G.; Abdullaev, S.; Mahariq, I. Superb photocatalytic H2 production/tetracycline pollutant degradation by synthesizing novel and recyclable ternary g-C3N4-based photocatalyst: Characterization/optimization/mechanism/toxicity assessment. J. Water Process Eng. 2025, 69, 106642. [Google Scholar] [CrossRef]
  7. Xiao, Y.; Tian, X.; Chen, Y.; Xiao, X.; Chen, T.; Wang, Y. Recent Advances in Carbon Nitride-Based S-scheme Photocatalysts for Solar Energy Conversion. Materials 2023, 16, 3745. [Google Scholar] [CrossRef]
  8. Parrino, F.; Palmisano, L. (Eds.) Titanium Dioxide (TiO2) and Its Applications; Elsevier: Amsterdam, The Netherlands, 2020. [Google Scholar]
  9. Kang, X.; Liu, S.; Dai, Z.; He, Y.; Song, X.; Tan, Z. Titanium dioxide: From engineering to applications. Catalysts 2019, 9, 191. [Google Scholar] [CrossRef]
  10. Armaković, S.J.; Savanović, M.M.; Armaković, S. Titanium dioxide as the most used photocatalyst for water purification: An overview. Catalysts 2022, 13, 26. [Google Scholar] [CrossRef]
  11. Jain, A.; Bora, B.J.; Kumar, R.; Sharma, P.; Medhi, B.J.; Farooque, A.A.; Tirth, V.; Senthilkumar, N.; Peyyala, P.K. Impact of titanium dioxide (TiO2) nanoparticles addition in Eichhornia Crassipes biodiesel used to fuel compression ignition engine at variable injection pressure. Case Stud. Therm. Eng. 2023, 49, 103295. [Google Scholar] [CrossRef]
  12. Taneja, Y.; Dube, D.; Singh, R. Recent Advances in Elemental Doping and Simulation Techniques: Improving Structural, Photophysical and Electronic Properties of Titanium Oxide. J. Mater. Chem. C 2024, 12, 14774–14808. [Google Scholar] [CrossRef]
  13. Liu, Y.; Wang, L.; Dai, X.; Zhang, J.; Li, J.; Ma, Y.; Han, Q.; Dong, Y. Research on the adsorption-photocatalytic synergistic degradation of tetracycline by Au nanoparticles/TiO2 nanorods/biochar. J. Alloys Compd. 2024, 976, 172985. [Google Scholar] [CrossRef]
  14. Zhao, M.; Luo, J.; Li, W.; Zhang, Y.; Xu, H.; Fan, S. Unveiling the critical role of functional groups in pristine biochar for photocatalytic Cr (VI) remediation under visible light. J. Environ. Chem. Eng. 2025, 13, 118001. [Google Scholar] [CrossRef]
  15. Arumugam, T.; Dhandapani, B. Experimental Mixture Design for Optimization of CeO2/TiO2/Biochar Composite Catalyst for Enhanced Brewery Wastewater Treatment Using an Integrated Adsorption–Photocatalytic Process. Arab. J. Sci. Eng. 2024, 50, 4095–4114. [Google Scholar] [CrossRef]
  16. Castilla-Caballero, D.; Hernandez-Ramirez, A.; Vazquez-Rodriguez, S.; Colina-Márquez, J.; Machuca-Martínez, F.; Barraza-Burgos, J.; Roa-Espinosa, A.; Medina-Guerrero, A.; Gunasekaran, S. Effect of pyrolysis, impregnation, and calcination conditions on the physicochemical properties of TiO2/Biochar composites intended for photocatalytic applications. J. Environ. Chem. Eng. 2023, 11, 110274. [Google Scholar] [CrossRef]
  17. Rajkumar, R.; Singh, N. To Study the Effect of the Concentration of Carbon on Ultraviolet and visible Light Photo Catalytic Activity and Characterization of CarbonDoped TiO2. J. Nanomed. Nanotechnol. 2015, 6, 1. [Google Scholar]
  18. Al-atawi, S.; Aljohani, M.M.; Hamdalla, T.A.; Al-Ghamdi, S.A.; Alsharari, A.M.; Khasim, S. Novel Biochar-Modified ZIF-8 Metal-Organic Frameworks as a Potential Material for Optoelectronic and Electrochemical Energy Storage Applications. Catalysts 2024, 14, 705. [Google Scholar] [CrossRef]
  19. Rosa, D.; Remmani, R.; Bavasso, I.; Bracciale, M.P.; Di Palma, L. Biochar supported Fe–TiO2 composite for wastewater treatment: Solid-state synthesis and mechanistic insights. Chem. Eng. Sci. 2025, 317, 122076. [Google Scholar] [CrossRef]
  20. Widjonarko, N.E. Introduction to Advanced X-ray Diffraction Techniques for Polymeric Thin Films. Coatings 2016, 6, 54. [Google Scholar] [CrossRef]
  21. Lv, K.; Xiang, Q.; Yu, J. Effect of calcination temperature on morphology and photocatalytic activity of anatase TiO2 nanosheets with exposed {0 0 1} facets. Appl. Catal. B Environ. 2021, 104, 275–281. [Google Scholar] [CrossRef]
  22. Mandić, V.; Kurajica, S.; Panžić, I.; Bafti, A.; Šipušić, J.; Mužina, K.; Brleković, F.; Gigli, L.; Gaboardi, M. Utilization of conventional PXRD apparatus for characterization of thin films using reconsidered equations for XRR. Surf. Interfaces 2023, 36, 102554. [Google Scholar] [CrossRef]
  23. Masuda, Y.; Kato, K. Synthesis and phase transformation of TiO2 nano-crystals in aqueous solutions. J. Ceram. Soc. Jpn. 2009, 117, 373–376. [Google Scholar] [CrossRef]
  24. Mousa, M.; Dong, Y. Strong poly (vinyl alcohol) (PVA)/bamboo charcoal (BC) nanocomposite films with particle size effect. ACS Sustain. Chem. Eng. 2018, 6, 467–479. [Google Scholar] [CrossRef]
  25. Wei, X.; Zhu, G.; Fang, J.; Chen, J. Synthesis, Characterization, and Photocatalysis of Well-Dispersible Phase-Pure Pure TiO2 Nanoparticles. Int. J. Photoenergy 2013, 2013, 726872. [Google Scholar] [CrossRef]
  26. Hamdalla, T.A.; Hanafy, T.A. Optical properties studies for PVA/Gd, La, Er or Y chlorides based on structural modification. Optik 2016, 127, 878–882. [Google Scholar] [CrossRef]
  27. Joshi, P.; Tiwari, S.; Punia, K.; Kumar, S. Defect mediated mechanism in greenly synthesized undoped, Al+3, Cu+2 and Zn+2 doped TiO2 nanoparticles for tailoring bandgap, luminescence, magnetic and electrical properties. Opt. Mater. 2022, 132, 112778. [Google Scholar] [CrossRef]
  28. Kim, S.Y. Simultaneous determination of refractive index, extinction coefficient, and void distribution of titanium dioxide thin film by optical methods. Appl. Opt. 1996, 35, 6703–6707. [Google Scholar] [CrossRef]
  29. Hamdalla, T.A.; Aljohani, M.M.; Alsharari, A.M. Synthesis and characterization of PANI/ZnFe2O4 nRs with different doping concentrations for potential applications in various fields. J. Spectrosc. 2023, 2023, 1679035. [Google Scholar] [CrossRef]
  30. Wang, S.; Yang, Y.; Dong, Y.; Zhang, Z.; Tang, Z. Recent progress in Ti-based nanocomposite anodes for lithium-ion batteries. J. Adv. Ceram. 2019, 8, 1–18. [Google Scholar] [CrossRef]
  31. Qiu, J.; Lai, C.; Wang, Y.; Li, S.; Zhang, S. Resilient mesoporous TiO2/graphene nanocomposite for high rate performance lithium-ion batteries. Chem. Eng. J. 2014, 256, 247–254. [Google Scholar] [CrossRef]
  32. Zhang, S.; Lu, X. Treatment of wastewater containing Reactive Brilliant Blue KN-R using TiO2/BC composite as heterogeneous photocatalyst and adsorbent. Chemosphere 2018, 206, 777–783. [Google Scholar] [CrossRef]
  33. Dong, L.; Li, M.; Zhao, M.; Feng, J.; Han, Y.; Deng, J.; Li, X.; Li, D.; Sun, X. Hydrothermal synthesis of mixed crystal phases TiO2 ereduced graphene oxide nanocomposites with small particle size for lithium-ion batteries. Int. J. Hydrogen Energy 2014, 39, e16122. [Google Scholar] [CrossRef]
  34. Xie, S.; Jiang, L.; Liu, W.; Lu, Q.; Zeng, G.; Wang, H.; Wang, J.; Yuan, X.; Chen, H.; Jiang, H. Network capture effect-driven enhanced activation of peroxymonosulfate by iron-doped carbon quantum dots derived from ferrous gluconate for efficient ciprofloxacin degradation: DFT calculations and mechanism analysis. J. Mater. Chem. A 2025, 13, 20868–20883. [Google Scholar] [CrossRef]
  35. Chen, W.; Kuang, Y. Enhanced visible-light photocatalytic activity of TiO2/carbon composites: Role of carbonaceous surface states and charge transfer. Appl. Surf. Sci. 2022, 572, 151456. [Google Scholar] [CrossRef]
Figure 1. XRD pattern of Biochar, TiO2, and TiO2/biochar composite (15 wt%).
Figure 1. XRD pattern of Biochar, TiO2, and TiO2/biochar composite (15 wt%).
Catalysts 15 01065 g001
Figure 2. SEM image for (a) TiO2 and (b) TiO2/biochar composite (15 wt%).
Figure 2. SEM image for (a) TiO2 and (b) TiO2/biochar composite (15 wt%).
Catalysts 15 01065 g002
Figure 3. Optical transmission variation with wavelength for pure TiO2 and TiO2/biochar composites (5 wt%, 10 wt%, and 15 wt%).
Figure 3. Optical transmission variation with wavelength for pure TiO2 and TiO2/biochar composites (5 wt%, 10 wt%, and 15 wt%).
Catalysts 15 01065 g003
Figure 4. Optical reflection variation with wavelength for pure TiO2 and TiO2/biochar composites (5 wt%, 10 wt%, and 15 wt%).
Figure 4. Optical reflection variation with wavelength for pure TiO2 and TiO2/biochar composites (5 wt%, 10 wt%, and 15 wt%).
Catalysts 15 01065 g004
Figure 5. Refractive index variation with wavelength for pure TiO2 and TiO2/biochar composites (5 wt%, 10 wt%, and 15 wt%).
Figure 5. Refractive index variation with wavelength for pure TiO2 and TiO2/biochar composites (5 wt%, 10 wt%, and 15 wt%).
Catalysts 15 01065 g005
Figure 6. (αhν)2 variation with () for pure TiO2 and TiO2/biochar composites (5 wt%, 10 wt%, and 15 wt%).
Figure 6. (αhν)2 variation with () for pure TiO2 and TiO2/biochar composites (5 wt%, 10 wt%, and 15 wt%).
Catalysts 15 01065 g006
Figure 7. Extinction index variation with wavelength for pure TiO2 and TiO2/biochar composites (5 wt%, 10 wt%, and 15 wt%).
Figure 7. Extinction index variation with wavelength for pure TiO2 and TiO2/biochar composites (5 wt%, 10 wt%, and 15 wt%).
Catalysts 15 01065 g007
Figure 8. (n2 − 1)−1 variation with ()2 for pure TiO2 and TiO2/biochar composites (5 wt%, 10 wt%, and 15 wt%).
Figure 8. (n2 − 1)−1 variation with ()2 for pure TiO2 and TiO2/biochar composites (5 wt%, 10 wt%, and 15 wt%).
Catalysts 15 01065 g008
Figure 9. The charge and discharge of (A) pure TiO2 and (B) TiO2/biochar composites (5 wt%, 10 wt%, and 15 wt%).
Figure 9. The charge and discharge of (A) pure TiO2 and (B) TiO2/biochar composites (5 wt%, 10 wt%, and 15 wt%).
Catalysts 15 01065 g009
Figure 10. The cathodic peak current of pure TiO2 and TiO2/biochar composites (5 wt%, 10 wt%, and 15 wt%).
Figure 10. The cathodic peak current of pure TiO2 and TiO2/biochar composites (5 wt%, 10 wt%, and 15 wt%).
Catalysts 15 01065 g010
Figure 11. Z’ plotted against Z” for pure TiO2 and TiO2/biochar composites (5 wt%, 10 wt%, and 15 wt%).
Figure 11. Z’ plotted against Z” for pure TiO2 and TiO2/biochar composites (5 wt%, 10 wt%, and 15 wt%).
Catalysts 15 01065 g011
Figure 12. (a) Absorption spectra of MB solution during photocatalytic degradation and (b) Photocatalytic degradation efficiency as a function of irradiation time for pure TiO2 and TiO2/biochar composites (5 wt%, 10 wt%, and 15 wt%).
Figure 12. (a) Absorption spectra of MB solution during photocatalytic degradation and (b) Photocatalytic degradation efficiency as a function of irradiation time for pure TiO2 and TiO2/biochar composites (5 wt%, 10 wt%, and 15 wt%).
Catalysts 15 01065 g012
Figure 13. (a) Ct/C0 versus irradiation time for MB degradation and (b) ln(Ct/C0) versus irradiation time showing pseudo-first-order kinetic analysis for pure TiO2 and TiO2/biochar composites (5 wt%, 10 wt%, and 15 wt%).
Figure 13. (a) Ct/C0 versus irradiation time for MB degradation and (b) ln(Ct/C0) versus irradiation time showing pseudo-first-order kinetic analysis for pure TiO2 and TiO2/biochar composites (5 wt%, 10 wt%, and 15 wt%).
Catalysts 15 01065 g013
Figure 14. Recyclability test for the photocatalytic degradation of MB using pure TiO2 and TiO2/biochar composites (5 wt%, 10 wt%, and 15 wt%) over three successive cycles.
Figure 14. Recyclability test for the photocatalytic degradation of MB using pure TiO2 and TiO2/biochar composites (5 wt%, 10 wt%, and 15 wt%) over three successive cycles.
Catalysts 15 01065 g014
Disclaimer/Publisher’s Note: The statements, opinions and data contained in all publications are solely those of the individual author(s) and contributor(s) and not of MDPI and/or the editor(s). MDPI and/or the editor(s) disclaim responsibility for any injury to people or property resulting from any ideas, methods, instructions or products referred to in the content.

Share and Cite

MDPI and ACS Style

Alharbi, F.F.; Hamdalla, T.A.; Al-Ghamdi, H.; Albarzan, B.; Darwish, A.A. Biochar-Modified TiO2 Composites: Enhanced Optical and Photocatalytic Properties for Sustainable Energy and Environmental Applications. Catalysts 2025, 15, 1065. https://doi.org/10.3390/catal15111065

AMA Style

Alharbi FF, Hamdalla TA, Al-Ghamdi H, Albarzan B, Darwish AA. Biochar-Modified TiO2 Composites: Enhanced Optical and Photocatalytic Properties for Sustainable Energy and Environmental Applications. Catalysts. 2025; 15(11):1065. https://doi.org/10.3390/catal15111065

Chicago/Turabian Style

Alharbi, Fatma. F., Taymour A. Hamdalla, Hanan Al-Ghamdi, Badriah Albarzan, and Ahmed. A. Darwish. 2025. "Biochar-Modified TiO2 Composites: Enhanced Optical and Photocatalytic Properties for Sustainable Energy and Environmental Applications" Catalysts 15, no. 11: 1065. https://doi.org/10.3390/catal15111065

APA Style

Alharbi, F. F., Hamdalla, T. A., Al-Ghamdi, H., Albarzan, B., & Darwish, A. A. (2025). Biochar-Modified TiO2 Composites: Enhanced Optical and Photocatalytic Properties for Sustainable Energy and Environmental Applications. Catalysts, 15(11), 1065. https://doi.org/10.3390/catal15111065

Note that from the first issue of 2016, this journal uses article numbers instead of page numbers. See further details here.

Article Metrics

Back to TopTop