Genetic and Process Engineering for the Simultaneous Saccharification and Biocatalytic Conversion of Lignocellulose for Itaconic Acid Production by Myceliophthora thermophila
Abstract
1. Introduction
2. Results and Discussion
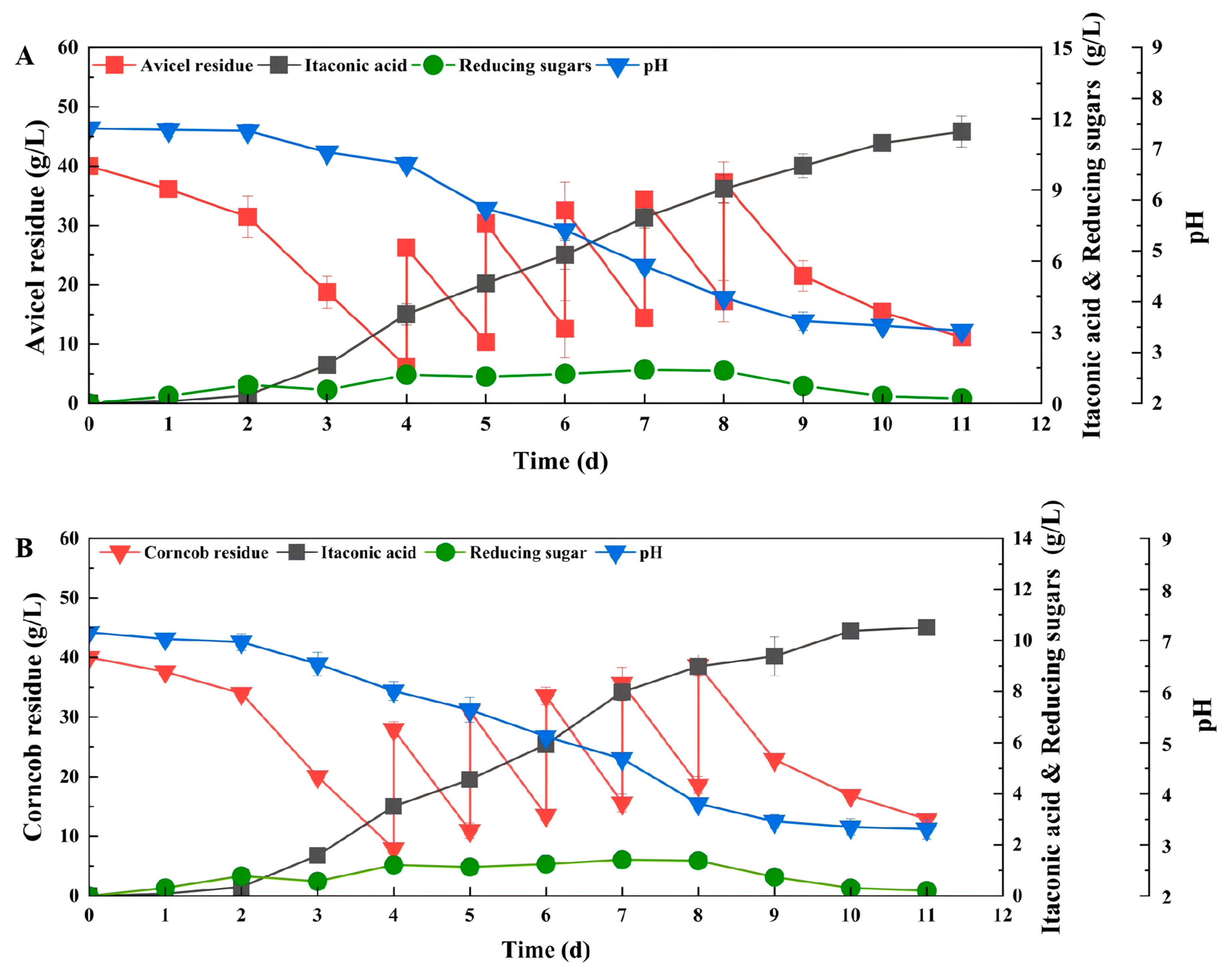
2.1. Evaluation of the Capacity of M. thermophila for Utilizing Lignocellulose
2.2. Engineering M. thermophila ATCC 42464 for IA Production
2.2.1. The Introduction of the Exogenous Synthesis Pathway of IA into M. thermophila ATCC 42464
2.2.2. Enhancement of CADA Expression to Promote IA Synthesis
2.3. Improvement of Precursor Supply to Promote IA Synthesis
2.4. Understanding the Mechanism of Temperature Regulation on IA Synthesis in M. thermophila
2.5. Development of a Two-Stage Temperature Control Strategy to Promote the Synthesis of IA
3. Materials and Methods
3.1. Strains and Culture Conditions
3.2. Plasmid and Strain Construction
3.3. Downregulation of IDH Using the CRISPR/dCas9 System
3.4. Transformation of Myceliophthora Protoplasts
3.5. Fed-Batch Fermentation
3.6. Analysis Methods
3.6.1. Assay of Enzyme Activity
3.6.2. Transcriptome and Quantitative PCR (qPCR) Analysis
3.6.3. Analysis of Carbon Sources Consumption, Metabolites and Dry Cell Weight
3.6.4. Determination of Lignocellulosic Composition
4. Conclusions
Supplementary Materials
Author Contributions
Funding
Data Availability Statement
Conflicts of Interest
References
- Midilli, A.; Dincer, I.; Ay, M. Green energy strategies for sustainable development. Energy Policy 2006, 34, 3623–3633. [Google Scholar] [CrossRef]
- Ezeako, E.C.; Nwiloh, B.I.; Odo, M.C.; Ozougwu, V.E. Harnessing synthetic biology for sustainable industrial innovation: Advances, challenges, and future direction. Biochem. Eng. J. 2025, 221, 109777. [Google Scholar] [CrossRef]
- Nascimento, M.F.; Marques, N.; Correia, J.; Faria, N.T.; Mira, N.P.; Ferreira, F.C. Integrated perspective on microbe-based production of itaconic acid: From metabolic and strain engineering to upstream and downstream strategies. Process. Biochem. 2022, 117, 53–67. [Google Scholar] [CrossRef]
- Robert, T.; Friebel, S. Itaconic acid—A versatile building block for renewable polyesters with enhanced functionality. Green Chem. 2016, 18, 2922–2934. [Google Scholar] [CrossRef]
- Sano, M.; Tanaka, T.; Ohara, H.; Aso, Y. Itaconic acid derivatives: Structure, function, biosynthesis, and perspectives. Appl. Microbiol. Biotechnol. 2020, 104, 9041–9051. [Google Scholar] [CrossRef]
- Zhang, R.; Liu, H.; Ning, Y.; Yu, Y.; Deng, L.; Wang, F. Recent Advances on the Production of Itaconic Acid via the Fermentation and Metabolic Engineering. Fermentation 2023, 9, 71. [Google Scholar] [CrossRef]
- Cunha da Cruz, J.; Machado de Castro, A.; Camporese Sérvulo, E.F. World market and biotechnological production of itaconic acid. 3 Biotech 2018, 8, 138. [Google Scholar] [CrossRef]
- Wierckx, N.; Agrimi, G.; Lübeck, P.S.; Steiger, M.G.; Mira, N.P.; Punt, P.J. Metabolic specialization in itaconic acid production: A tale of two fungi. Curr. Opin. Biotechnol. 2020, 62, 153–159. [Google Scholar] [CrossRef]
- Wenger, J.; Stern, T. Reflection on the research on and implementation of biorefinery systems—A systematic literature review with a focus on feedstock. Biofuels Bioprod. Biorefining 2019, 13, 1347–1364. [Google Scholar] [CrossRef]
- Haq, I.U.; Qaisar, K.; Nawaz, A.; Akram, F.; Mukhtar, H.; Zohu, X.; Xu, Y.; Mumtaz, M.W.; Rashid, U.; Ghani, W.A.W.A.K.; et al. Advances in Valorization of Lignocellulosic Biomass towards Energy Generation. Catalysts 2021, 11, 309. [Google Scholar] [CrossRef]
- Singh, N.; Singhania, R.R.; Nigam, P.S.; Dong, C.-D.; Patel, A.K.; Puri, M. Global status of lignocellulosic biorefinery: Challenges and perspectives. Bioresour. Technol. 2022, 344, 126415. [Google Scholar] [CrossRef]
- Tramontina, R.; Galman, J.L.; Parmeggiani, F.; Derrington, S.R.; Bugg, T.D.H.; Turner, N.J.; Squina, F.M.; Dixon, N. Consolidated production of coniferol and other high-value aromatic alcohols directly from lignocellulosic biomass. Green Chem. 2020, 22, 144–152. [Google Scholar] [CrossRef]
- K.N, Y.; T.M, M.U.; S, K.; Sachdeva, S.; Thakur, S.; S, A.K.; J, R.B. Lignocellulosic Biorefinery Technologies: A Perception into Recent Advances in Biomass Fractionation, Biorefineries, Economic Hurdles and Market Outlook. Fermentation 2023, 9, 238. [Google Scholar] [CrossRef]
- Xu, C.; Zhang, X.; Hussein, Z.; Wang, P.; Chen, R.; Yuan, Q.; Gao, Y.; Song, N.; Gouda, S.G. Influence of the structure and properties of lignocellulose on the physicochemical characteristics of lignocellulose-based residues used as an environmentally friendly substrate. Sci. Total. Environ. 2021, 790, 148089. [Google Scholar] [CrossRef]
- Li, J.; Chen, B.; Gu, S.; Zhao, Z.; Liu, Q.; Sun, T.; Zhang, Y.; Wu, T.; Liu, D.; Sun, W.; et al. Coordination of consolidated bioprocessing technology and carbon dioxide fixation to produce malic acid directly from plant biomass in Myceliophthora thermophila. Biotechnol. Biofuels 2021, 14, 186. [Google Scholar] [CrossRef]
- Li, J.; Lin, L.; Sun, T.; Xu, J.; Ji, J.; Liu, Q.; Tian, C. Direct production of commodity chemicals from lignocellulose using Myceliophthora thermophila. Metab. Eng. 2020, 61, 416–426. [Google Scholar] [CrossRef]
- Jiang, Y.; Liu, Y.; Yang, X.; Pan, R.; Mou, L.; Jiang, W.; Zhang, W.; Xin, F.; Jiang, M. Compartmentalization of a synergistic fungal-bacterial consortium to boost lactic acid conversion from lignocellulose via consolidated bioprocessing. Green Chem. 2023, 25, 2011–2020. [Google Scholar] [CrossRef]
- Bentley, R.; Thiessen, C.P. Biosynthesis of itaconic acid in Aspergillus terreus: I. Tracer studies with C14-labeled substrates. J. Biol. Chem. 1957, 226, 673–687. [Google Scholar] [CrossRef]
- Jaklitsch, W.M.; Kubicek, C.P.; Scrutton, M.C. The subcellular organization of itaconate biosynthesis in Aspergillus terreus. J. Gen. Microbiol. 1991, 137, 533–539. [Google Scholar] [CrossRef][Green Version]
- Li, A.; van Luijk, N.; ter Beek, M.; Caspers, M.; Punt, P.; van der Werf, M. A clone-based transcriptomics approach for the identification of genes relevant for itaconic acid production in Aspergillus. Fungal Genet. Biol. 2011, 48, 602–611. [Google Scholar] [CrossRef]
- Tevž, G.; Benčina, M.; Legiša, M. Enhancing itaconic acid production by Aspergillus terreus. Appl. Microbiol. Biotechnol. 2010, 87, 1657–1664. [Google Scholar] [CrossRef] [PubMed]
- Fu, J.; Zaghen, S.; Lu, H.; Konzock, O.; Poorinmohammad, N.; Kornberg, A.; Ledesma-Amaro, R.; Koseto, D.; Wentzel, A.; Di Bartolomeo, F.; et al. Reprogramming Yarrowia lipolytica metabolism for efficient synthesis of itaconic acid from flask to semipilot scale. Sci. Adv. 2024, 10, eadn0414. [Google Scholar] [CrossRef]
- Xie, H.; Ma, Q.; Wei, D.; Wang, F. Metabolic engineering of an industrial Aspergillus niger strain for itaconic acid production. 3 Biotech 2020, 10, 113. [Google Scholar] [CrossRef]
- Chen, Y.; Wang, Z.; Chen, C.; Xiao, S.; Lv, J.; Lin, L.; Liu, J.; Li, X.; Wang, W.; Wei, D. Metabolic Engineering of Filamentous Fungus Trichoderma reesei for Itaconic Acid Production. J. Agric. Food Chem. 2025, 73, 4716–4724. [Google Scholar] [CrossRef]
- Zhao, C.; Chen, S.; Fang, H. Consolidated bioprocessing of lignocellulosic biomass to itaconic acid by metabolically engineering Neurospora crassa. Appl. Microbiol. Biotechnol. 2018, 102, 9577–9584. [Google Scholar] [CrossRef]
- Zhao, J.; Ma, C.; Mei, Y.; Han, J.; Zhao, C. Effect of itaconic acid production on Neurospora crassa in consolidated bioprocessing of cellulose. Microb. Cell Factories 2023, 22, 28. [Google Scholar] [CrossRef]
- Zhao, C.; Zhao, J.; Han, J.; Mei, Y.; Fang, H. Improved consolidated bioprocessing for itaconic acid production by simultaneous optimization of cellulase and metabolic pathway of Neurospora crassa. Biotechnol. Biofuels Bioprod. 2024, 17, 57. [Google Scholar] [CrossRef]
- Berka, R.M.; Grigoriev, I.V.; Otillar, R.; Salamov, A.; Grimwood, J.; Reid, I.; Ishmael, N.; John, T.; Darmond, C.; Moisan, M.-C.; et al. Comparative genomic analysis of the thermophilic biomass-degrading fungi Myceliophthora thermophila and Thielavia terrestris. Nat. Biotechnol. 2011, 29, 922–927. [Google Scholar] [CrossRef]
- Karnaouri, A.; Topakas, E.; Antonopoulou, I.; Christakopoulos, P. Genomic insights into the fungal lignocellulolytic system of Myceliophthora thermophila. Front. Microbiol. 2014, 5, 281. [Google Scholar] [CrossRef]
- Gu, S.; Li, J.; Chen, B.; Sun, T.; Liu, Q.; Xiao, D.; Tian, C. Metabolic engineering of the thermophilic filamentous fungus Myceliophthora thermophila to produce fumaric acid. Biotechnol. Biofuels 2018, 11, 323. [Google Scholar] [CrossRef]
- Gu, S.; Zhao, Z.; Yao, Y.; Li, J.; Tian, C. Designing and Constructing a Novel Artificial Pathway for Malonic Acid Production Biologically. Front. Bioeng. Biotechnol. 2022, 9, 820507. [Google Scholar] [CrossRef] [PubMed]
- Luo, Z.; Gao, Y.; Guo, X.; Chen, Y.; Rao, Y. Myceliophthora thermophila as promising fungal cell factories for industrial bioproduction: From rational design to industrial applications. Bioresour. Technol. 2025, 419, 132051. [Google Scholar] [CrossRef]
- Guo, T.; Li, X.; Liu, X.; Guo, Y.; Wang, Y. Catalytic Transformation of Lignocellulosic Biomass into Arenes, 5-Hydroxymethylfurfural, and Furfural. ChemSusChem 2018, 11, 2758–2765. [Google Scholar] [CrossRef]
- Xie, L.Y.; Xu, Y.B.; Ding, X.Q.; Liang, S.; Li, D.L.; Fu, A.K.; Zhan, X.A. Itaconic acid and dimethyl itaconate exert antibacterial activity in carbon-enriched environments through the TCA cycle. Biomed. Pharmacother. 2023, 167, 115487. [Google Scholar] [CrossRef]
- Huang, X.; Lu, X.; Li, Y.; Li, X.; Li, J.-J. Improving itaconic acid production through genetic engineering of an industrial Aspergillus terreus strain. Microb. Cell Factories 2014, 13, 119. [Google Scholar] [CrossRef]
- Hossain, A.H.; van Gerven, R.; Overkamp, K.M.; Lübeck, P.S.; Taşpınar, H.; Türker, M.; Punt, P.J. Metabolic engineering with ATP-citrate lyase and nitrogen source supplementation improves itaconic acid production in Aspergillus niger. Biotechnol. Biofuels 2019, 12, 233. [Google Scholar] [CrossRef]
- Zhao, C.; Cui, Z.; Zhao, X.; Zhang, J.; Zhang, L.; Tian, Y.; Qi, Q.; Liu, J. Enhanced itaconic acid production in Yarrowia lipolytica via heterologous expression of a mitochondrial transporter MTT. Appl. Microbiol. Biotechnol. 2019, 103, 2181–2192. [Google Scholar] [CrossRef]
- Chen, M.; Huang, X.; Zhong, C.; Li, J.; Lu, X. Identification of an itaconic acid degrading pathway in itaconic acid producing Aspergillus terreus. Appl. Microbiol. Biotechnol. 2016, 100, 7541–7548. [Google Scholar] [CrossRef]
- Li, A.; Caspers, M.; Punt, P. A systems biology approach for the identification of target genes for the improvement of itaconic acid production in Aspergillus species. BMC Res. Notes 2013, 6, 505. [Google Scholar] [CrossRef]
- Kim, J.; Seo, H.-M.; Bhatia, S.K.; Song, H.-S.; Kim, J.-H.; Jeon, J.-M.; Choi, K.-Y.; Kim, W.; Yoon, J.-J.; Kim, Y.-G.; et al. Production of itaconate by whole-cell bioconversion of citrate mediated by expression of multiple cis-aconitate decarboxylase (cadA) genes in Escherichia coli. Sci. Rep. 2017, 7, 39768. [Google Scholar] [CrossRef]
- Qi, H.; Du, Y.; Zhou, X.; Zheng, W.; Zhang, L.; Wen, J.; Liu, L. Engineering a new metabolic pathway for itaconate production in Pichia stipitis from xylose. Biochem. Eng. J. 2017, 126, 101–108. [Google Scholar] [CrossRef]
- Yang, Z.; Wang, H.; Wang, Y.; Ren, Y.; Wei, D.-Z. Manufacturing Multienzymatic Complex Reactors In Vivo by Self-Assembly To Improve the Biosynthesis of Itaconic Acid in Escherichia coli. ACS Synth. Biol. 2018, 7, 1244–1250. [Google Scholar] [CrossRef]
- Zhao, M.; Li, Y.; Wang, F.; Ren, Y.; Wei, D. A CRISPRi mediated self-inducible system for dynamic regulation of TCA cycle and improvement of itaconic acid production in Escherichia coli. Synth. Syst. Biotechnol. 2022, 7, 982–988. [Google Scholar] [CrossRef]
- Wang, Y.; Guo, Y.; Cao, W.; Liu, H. Synergistic effects on itaconic acid production in engineered Aspergillus niger expressing the two distinct biosynthesis clusters from Aspergillus terreus and Ustilago maydis. Microb. Cell Factories 2022, 21, 158. [Google Scholar] [CrossRef] [PubMed]
- Tsuge, Y.; Yamamoto, S.; Kato, N.; Suda, M.; Vertès, A.A.; Yukawa, H.; Inui, M. Overexpression of the phosphofructokinase encoding gene is crucial for achieving high production of D-lactate in Corynebacterium glutamicum under oxygen deprivation. Appl. Microbiol. Biotechnol. 2015, 99, 4679–4689. [Google Scholar] [CrossRef] [PubMed]
- Singh, A.; Soh, K.C.; Hatzimanikatis, V.; Gill, R.T. Manipulating redox and ATP balancing for improved production of succinate in E. coli. Metab. Eng. 2011, 13, 76–81. [Google Scholar] [CrossRef]
- Molnár, Á.P.; Németh, Z.; Kolláth, I.S.; Fekete, E.; Flipphi, M.; Ág, N.; Soós, Á.; Kovács, B.; Sándor, E.; Kubicek, C.P.; et al. High oxygen tension increases itaconic acid accumulation, glucose consumption, and the expression and activity of alternative oxidase in Aspergillus terreus. Appl. Microbiol. Biotechnol. 2018, 102, 8799–8808. [Google Scholar] [CrossRef]
- Sharma, B.D.; Hon, S.; Thusoo, E.; Stevenson, D.M.; Amador-Noguez, D.; Guss, A.M.; Lynd, L.R.; Olson, D.G. Pyrophosphate-free glycolysis in Clostridium thermocellum increases both thermodynamic driving force and ethanol titers. Biotechnol. Biofuels Bioprod. 2024, 17, 146. [Google Scholar] [CrossRef]
- Zhou, L.; Zhu, Y.; Yuan, Z.; Liu, G.; Sun, Z.; Du, S.; Liu, H.; Li, Y.; Liu, H.; Zhou, Z. Evaluation of Metabolic Engineering Strategies on 2-Ketoisovalerate Production by Escherichia coli. Appl. Environ. Microbiol. 2022, 88, e00976-22. [Google Scholar] [CrossRef]
- Wang, Z.; Ning, P.; Hu, L.; Nie, Q.; Liu, Y.; Zhou, Y.; Yang, J. Efficient ethanol production from paper mulberry pretreated at high solid loading in Fed-nonisothermal-simultaneous saccharification and fermentation. Renew. Energy 2020, 160, 211–219. [Google Scholar] [CrossRef]
- Yang, F.; Gong, Y.; Liu, G.; Zhao, S.; Wang, J. Enhancing Cellulase Production in Thermophilic Fungus Myceliophthora thermophila ATCC42464 by RNA Interference of cre1 Gene Expression. J. Microbiol. Biotechnol. 2015, 25, 1101–1107. [Google Scholar] [CrossRef]
- Sluiter, J.B.; Ruiz, R.O.; Scarlata, C.J.; Sluiter, A.D.; Templeton, D.W. Compositional Analysis of Lignocellulosic Feedstocks. Review and Description of Methods. J. Agric. Food Chem. 2010, 58, 9043–9053. [Google Scholar] [CrossRef]







Disclaimer/Publisher’s Note: The statements, opinions and data contained in all publications are solely those of the individual author(s) and contributor(s) and not of MDPI and/or the editor(s). MDPI and/or the editor(s) disclaim responsibility for any injury to people or property resulting from any ideas, methods, instructions or products referred to in the content. |
© 2025 by the authors. Licensee MDPI, Basel, Switzerland. This article is an open access article distributed under the terms and conditions of the Creative Commons Attribution (CC BY) license (https://creativecommons.org/licenses/by/4.0/).
Share and Cite
Zhang, R.; Zhao, C.; Ning, Y.; Deng, J.; Wang, F.; Liu, H.; Deng, L. Genetic and Process Engineering for the Simultaneous Saccharification and Biocatalytic Conversion of Lignocellulose for Itaconic Acid Production by Myceliophthora thermophila. Catalysts 2025, 15, 1066. https://doi.org/10.3390/catal15111066
Zhang R, Zhao C, Ning Y, Deng J, Wang F, Liu H, Deng L. Genetic and Process Engineering for the Simultaneous Saccharification and Biocatalytic Conversion of Lignocellulose for Itaconic Acid Production by Myceliophthora thermophila. Catalysts. 2025; 15(11):1066. https://doi.org/10.3390/catal15111066
Chicago/Turabian StyleZhang, Renwei, Chenbiao Zhao, Yuchen Ning, Jianqi Deng, Fang Wang, Huan Liu, and Li Deng. 2025. "Genetic and Process Engineering for the Simultaneous Saccharification and Biocatalytic Conversion of Lignocellulose for Itaconic Acid Production by Myceliophthora thermophila" Catalysts 15, no. 11: 1066. https://doi.org/10.3390/catal15111066
APA StyleZhang, R., Zhao, C., Ning, Y., Deng, J., Wang, F., Liu, H., & Deng, L. (2025). Genetic and Process Engineering for the Simultaneous Saccharification and Biocatalytic Conversion of Lignocellulose for Itaconic Acid Production by Myceliophthora thermophila. Catalysts, 15(11), 1066. https://doi.org/10.3390/catal15111066

