Enhanced Catalytic Performance of PdOx/CuO Derived from Pd-Embedded CuBTC for Oxidative Carbonylation of Phenol
Abstract
1. Introduction
2. Results and Discussions
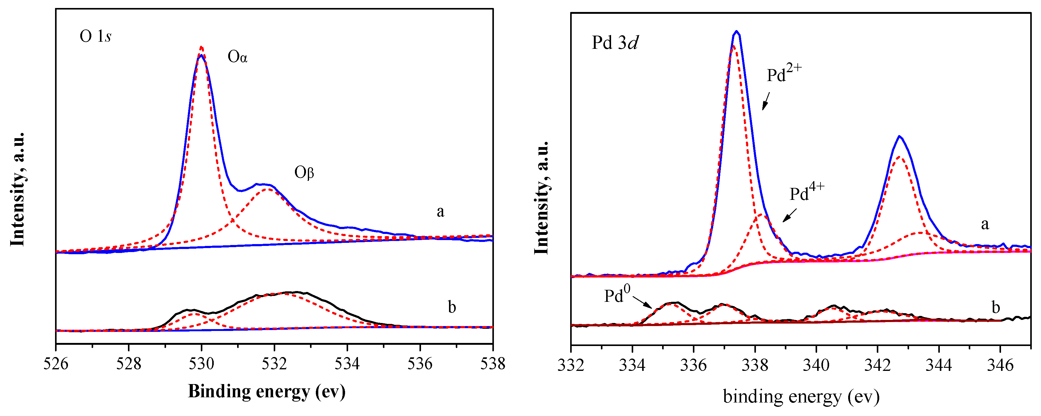
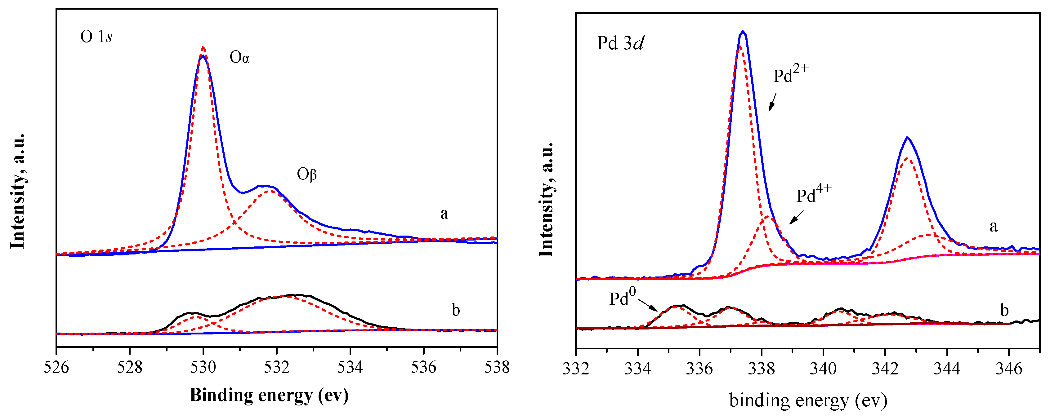
2.1. Characterization of Pd/CuBTC and PdOx/CuO
2.2. Catalytic Activity Evaluation
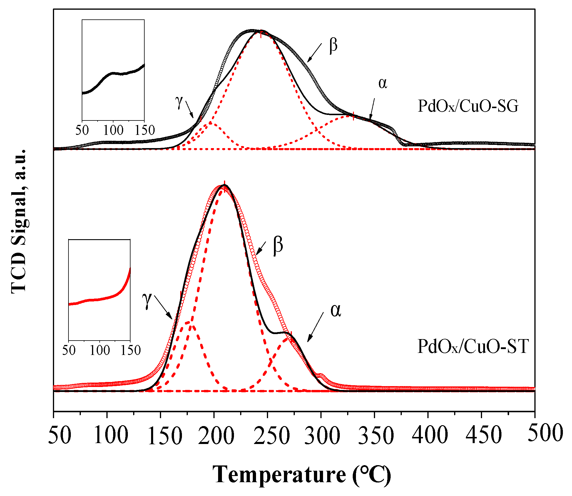
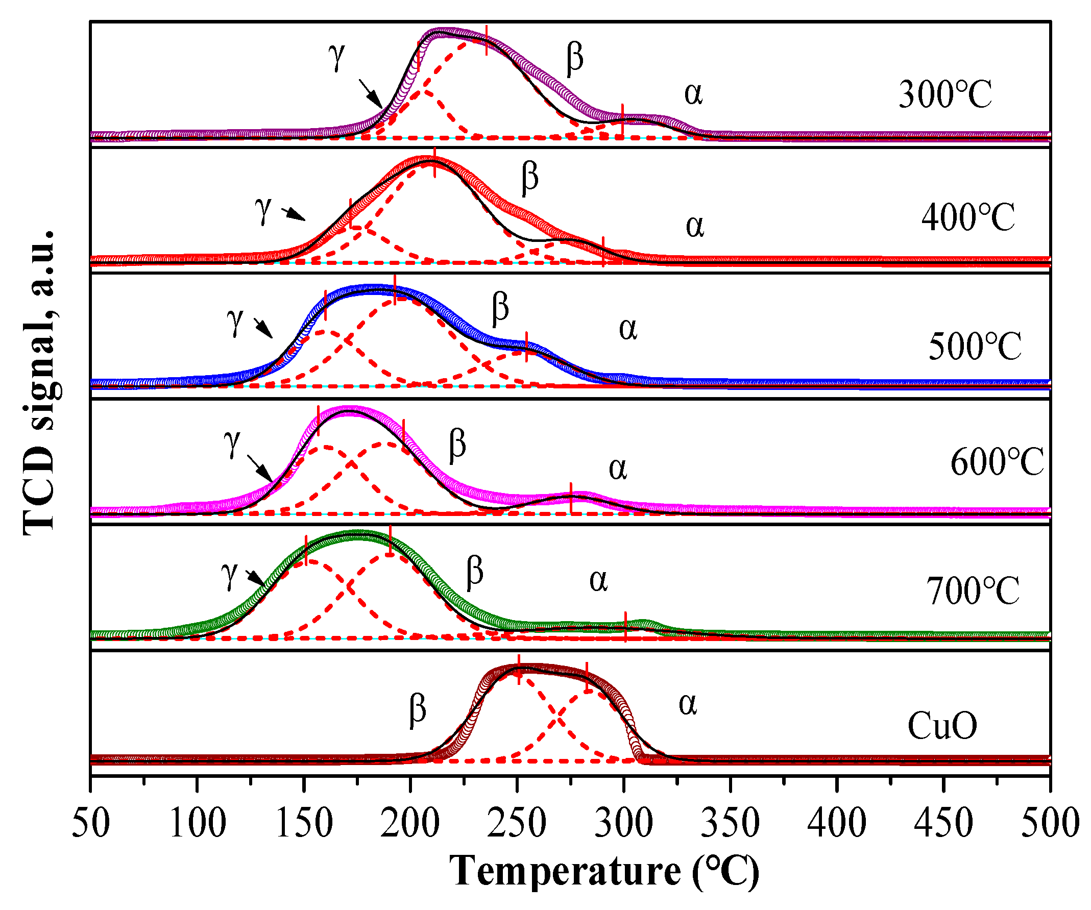
2.3. Analysis of the Impact of Calcination Temperature on PdOx/CuO Catalysts
2.4. Catalyst Stability
3. Materials and Methods
3.1. Catalyst Preparation
3.2. Catalyst Characterization
3.3. Catalyst Activity Evaluation
4. Conclusions
Supplementary Materials
Author Contributions
Funding
Data Availability Statement
Acknowledgments
Conflicts of Interest
References
- Wu, T.-W.; Ohno, H.; Wang, A.; Guzman-Urbina, A.; Shinkai, Y.; Furuhashi, H.; Umezu, R.; Lin, S.-T.; Fukushima, Y. Comparative analysis of CO2-based alternative pathways for diphenyl carbonate production. Chem. Eng. J. 2025, 520, 166354. [Google Scholar] [CrossRef]
- Fukuoka, S.; Kawamura, M.; Komiya, K.; Tojo, M.; Hachiya, H.; Hasegawa, K.; Aminaka, M.; Okamoto, H.; Fukawad, I.; Konno, S. A novel non-phosgene polycarbonate production process using by-product CO2 as starting material. Green Chem. 2003, 5, 497–507. [Google Scholar] [CrossRef]
- Wang, D.; Shi, F.; Yang, G. Diphenyl carbonate: Recent progress on its catalytic synthesis by transesterification. Catalysts 2024, 14, 250. [Google Scholar] [CrossRef]
- Tan, L.; Huang, Y.-F.; Mao, W.; Hu, X.-Y.; Huang, Y.-Q.; Chen, H.; Luo, X. Anatase-layered TiO2 for selective transesterification for diphenyl carbonate A study of the active site and deactivation mechanism. Ind. Eng. Chem. Res. 2024, 63, 16347–16355. [Google Scholar] [CrossRef]
- Akiyama, T.; Kita, Y.; Chen, P.; Tamura, M. Direct synthesis of diphenyl carbonate from CO2 and phenol with CeO2 and 2-cyanopyridine. Mol. Catal. 2025, 574, 114886. [Google Scholar] [CrossRef]
- Xing, M.; Hui, T.; Zhang, R.; Zheng, T.; Liu, Z.; Liu, H.; Xu, C.; Meng, X. Diphenyl carbonate synthesis from CO2 over a ZnCeZrOX ternary solid solution: Synergistic catalysis using oxygen vacancies and Lewis acid sites. Catal. Sci. Technol. 2025, 15, 4872–4884. [Google Scholar] [CrossRef]
- Goyal, M.; Nagahata, R.; Sugiyama, J.-I.; Asai, M.; Ueda, M.; Takeuchi, K. Effect of inorganic redox cocatalyst on Pd-catalyzed oxidative carbonylation of phenol for direct synthesis of diphenyl carbonate. Catal. Lett. 1998, 54, 29–31. [Google Scholar] [CrossRef]
- Linsen, K.J.L.; Libens, J.; Jacobs, P.A. A new heterogeneous catalyst for the oxidative carbonylation of phenol to diphenyl carbonate. Chem. Commun. 2002, 34, 2728–2729. [Google Scholar] [CrossRef] [PubMed]
- Ronchin, L.; Vavasori, A.; Amadio, E.; Cavinato, G.; Toniolo, L. Oxidative carbonylation of phenols catalyzed by homogeneous and heterogeneous Pd precursors. J. Mol. Catal. A Chem. 2009, 298, 23–30. [Google Scholar] [CrossRef]
- Gong, J.L.; Ma, X.B.; Wang, S.P. Phosgene-free approaches to catalytic synthesis of diphenyl carbonate and its intermediates. Appl. Catal. A Gen. 2007, 316, 1–21. [Google Scholar] [CrossRef]
- Vavasori, A.; Toniolo, L. Multistep electron-transfer catalytic system for the oxidative carbonylation of phenol to diphenyl carbonate. J. Mol. Catal. A Chem. 1999, 139, 109–119. [Google Scholar] [CrossRef]
- Yin, C.F.; Zhou, J.; Chen, Q.M.; Han, J.; Wu, Y.; Yang, X. Deactivation causes of supported palladium catalysts for the oxidative carbonylation of phenol. J. Mol. Catal. A Chem. 2016, 424, 377–383. [Google Scholar] [CrossRef]
- Xue, W.; Zhang, J.C.; Wang, Y.J.; Zhao, Q.; Zhao, X. Effect of promoter copper on the oxidative carbonylation of phenol over the ultrafine embedded catalyst Pd-Cu-O/SiO2. J. Mol. Catal. A Chem. 2005, 232, 77–81. [Google Scholar] [CrossRef]
- Yuan, Y.; Wang, Z.M.; An, H.L.; Xue, W.; Wang, Y. Oxidative carbonylation of phenol with a Pd-O/CeO2-nanotube catalyst. Chin. J. Catal. 2015, 36, 1142–1152. [Google Scholar] [CrossRef]
- Fu, Z.J.; Wang, Z.M.; Wang, H.J.; Li, F.; Xue, W.; Wang, Y. Pd catalyst supported on CeO2 nanotubes with enhanced structural stability toward oxidative carbonylation of phenol. RSC Adv. 2019, 9, 11356–11364. [Google Scholar] [CrossRef]
- Zhou, L.C.; Feng, G.; Liu, X.J.; Wang, Z.; Li, F.; Xue, W.; Wang, Y. Effect of Zr-doping on Pd/CexZr1−xO2 catalysts for oxidative carbonylation of phenol. Chin. J. Chem. Eng. 2020, 28, 2592–2599. [Google Scholar] [CrossRef]
- Yang, X.J.; Han, J.Y.; Du, Z.P.; Yuan, H.; Jin, F.; Wu, Y.X. Effects of Pb dopant on structure and activity of Pd/K-OMS-2 catalysts for heterogeneous oxidative carbonylation of phenol. Catal. Commun. 2010, 11, 643–646. [Google Scholar] [CrossRef]
- Yang, X.J.; Bai, H.; Qian, M.M.; Wu, C.J.; Cao, S.; Yan, Z.G.; Tian, Q.F.; Du, Z.P. Enhanced activity of Pd-Cu(Ni) bimetallic catalysts for oxidative carbonylation of phenol. Mater. Chem. Phys. 2019, 234, 48–54. [Google Scholar] [CrossRef]
- Peng, M.; Hong, C.; Cai, N.; Hu, Y.; Yuan, H. Effect of metal doping on multi-step electron transfer and oxygen species of silicon-based nanocomposite aerogel supported Pd catalysts in oxidative carbonylation of phenol. Mol. Catal. 2020, 482, 110684. [Google Scholar] [CrossRef]
- Liu, X.J.; Zhao, R.H.; Zhao, H.; Wang, Z.M.; Li, F.; Xue, W.; Wang, Y.J. Enhanced stability of nitrogen-doped carbon-supported palladium catalyst for oxidative carbonylation of phenol. Chin. J. Chem. Eng. 2024, 65, 19–28. [Google Scholar] [CrossRef]
- Cai, G.R.; Yan, P.; Zhang, L.L.; Zhou, H.-C.; Jiang, H.-L. Metal-organic framework-based hierarchically porous materials: Synthesis and applications. Chem. Rev. 2021, 121, 12278–12326. [Google Scholar] [CrossRef] [PubMed]
- Gao, B.; Bi, F.K.; Zhou, Z.X.; Zhang, Y.F.; Wei, J.F.; Lv, X.T.; Liu, B.L.; Huang, Y.D.; Zhang, X.D. A bimetallic MOF-derived MnCo spinel oxide catalyst to enhance toluene catalytic degradation. Chem. Commun. 2024, 60, 7455–7458. [Google Scholar] [CrossRef]
- Sayidov, O.; Garzon-Tovar, L.; Patarroyo, J.; Bekmukhamedov, G.; Stewart, J.A.; Vandegehuchte, B.D.; Montroussier, N.; Ruiz-Martinez, J.; Gascon, J. An efficient titanomaghemite MOF-derived catalyst for reverse water-gas shift. Catal. Sci. Technol. 2025, 15, 2908–2918. [Google Scholar] [CrossRef]
- He, Y.C.; Zheng, X.; Mao, D.S.; Meng, T.; Mao, H.F.; Yu, J. Promoting catalytic CO2 methanation using Ru catalyst supported on Ce-MOF-derived CeO2. Renew. Energy 2025, 245, 122834. [Google Scholar] [CrossRef]
- Phan, D.-P.; Seo, P.W.; Pham, D.V.; Bhatti, A.H.; Yun, D.; Ro, I.; Park, S.; Kang, K.H. Aquathermolysis of polyolefin plastic wastes over a MOF-derived TiO2 anatase catalyst: Enhancing C–N bond cleavage and coke suppression. Fuel 2025, 381, 133337. [Google Scholar] [CrossRef]
- Świrk Da Costa, K.; Delahay, G.; Zaki, A.; Adil, K.; Cadiau, A. Facile modifications of HKUST-1 by V, Nb and Mn for low-temperature selective catalytic reduction of nitrogen oxides by NH3. Catal. Today 2022, 384–386, 25–32. [Google Scholar] [CrossRef]
- Liu, Y.X.; Zhang, J.L.; Song, L.X.; Xu, W.Y.; Guo, Z.R.; Yang, X.M.; Wu, X.X.; Chen, X. Au-HKUST-1 composite nanocapsules: Synthesis with a coordination replication strategy and catalysis on CO oxidation. ACS Appl. Mater. Interfaces 2016, 8, 22745–22750. [Google Scholar] [CrossRef]
- Yang, H.; Wang, Z.M.; Fu, Z.J.; Wang, X.F.; Xue, W. Oxidative carbonylation of phenol to diphenyl carbonate catalyzed by Pd//HKUST-1. J. Chem. Eng. Chin. Univ. 2023, 37, 581–590. [Google Scholar] [CrossRef]
- Chen, L.; Chen, H.; Luque, R.; Li, Y. Metal−organic framework encapsulated Pd nanoparticles: Towards advanced heterogeneous catalysts. Chem. Sci. 2014, 5, 3708–3714. [Google Scholar] [CrossRef]
- Dhakshinamoorthy, A.; Garcia, H. Catalysis by metal nanoparticles embedded on metal–organic frameworks. Chem. Soc. Rev. 2012, 41, 5262–5284. [Google Scholar] [CrossRef]
- Schlichte, K.; Kratzke, T.; Kaskel, S. Improved synthesis, thermal stability and catalytic properties of the metal-organic framework compound Cu3(BTC)2. Micropor. Mesopor. Mater. 2004, 73, 81–88. [Google Scholar] [CrossRef]
- Liu, H.; Zhang, S.; Liu, Y.; Yang, Z.; Feng, X.; Lu, X.; Huo, F. Well-dispersed and size-controlled supported metal oxide nanoparticles derived from MOF composites and further application in catalysis. Small 2015, 11, 3130–3134. [Google Scholar] [CrossRef]
- Li, G.; Li, L.; Yuan, Y.; Shi, J.; Yuan, Y.; Li, Y.; Zhao, W.; Shi, J. Highly efficient mesoporous Pd/CeO2 catalyst for low temperature CO oxidation especially under moisture condition. Appl. Catal. B Environ. 2014, 158–159, 341–347. [Google Scholar] [CrossRef]
- Hu, X.; Zhu, Z.; Chen, C.; Wen, T.; Zhao, X.; Xie, L. Highly sensitive H2S gas sensors based on Pd-doped CuO nanoflowers with low operating temperature. Sens. Actuators B Chem. 2017, 253, 809–817. [Google Scholar] [CrossRef]
- Shen, Q.; Zhang, L.; Sun, N.; Wang, H.; Zhong, L.; He, C.; Wei, W.; Sun, Y. Hollow MnOx-CeO2 mixed oxides as highly efficient catalysts in NO oxidation. Chem. Eng. J. 2017, 322, 46–55. [Google Scholar] [CrossRef]
- Wang, Z.; Yang, M.; Shen, G.; Liu, H.; Chen, Y.; Wang, Q. Catalytic removal of benzene over CeO2-MnOx composite oxides with rod-like morphology supporting PdO. J. Nanopart. Res. 2014, 16, 2367–2375. [Google Scholar] [CrossRef]
- Ivanova, A.S.; Slavinskaya, E.M.; Gulyaev, R.V.; Zaikovskii, V.I.; Stonkus, O.A.; Danilova, I.G.; Plyasova, L.M.; Polukhina, I.A.; Boronin, A.I. Metal-support interactions in Pt/Al2O3 and Pd/Al2O3 catalysts for CO oxidation. Appl. Catal. B Environ. 2010, 97, 57–71. [Google Scholar] [CrossRef]
- Guimarães, A.L.; Dieguez, L.C.; Schmal, M. The effect of precursors salts on surface state of Pd/Al2O3 and Pd/CeO2/Al2O3 catalysts. An. Acad. Bras. Cienc. 2004, 76, 825–832. [Google Scholar] [CrossRef]
- Zhang, S.; Guo, Y. Effects of large CuO contents on the performance of Pd/Al2O3-CuO catalysts in ethanol oxidation reaction. Chem. Phys. Lett. 2019, 722, 26–31. [Google Scholar] [CrossRef]
- Han, L.; Zhang, L.; Zhao, G.; Chen, Y.; Zhang, Q.; Chai, R.; Liu, Y.; Lu, Y. Copper-fiber-structured Pd-Au-CuOx: Preparation and catalytic performance in the vapor-phase hydrogenation of dimethyl oxalate to ethylene glycol. Chemcatchem 2016, 8, 1065–1073. [Google Scholar] [CrossRef]
- Zhu, H.; Qin, Z.; Shan, W.; Shen, W.; Wang, J. Pd/CeO2-TiO2 catalyst for CO oxidation at low temperature: A TPR study with H2 and CO as reducing agents. J. Catal. 2004, 225, 267–277. [Google Scholar] [CrossRef]
- Guo, Y.; Xu, Y.; Zhao, B.; Wang, T.; Zhang, K.; Yuen, M.M.F.; Fu, X.-Z.; Sun, R.; Wong, C.-P. Urchin-like Pd@CuO-Pd yolk-shell nanostructures: Synthesis, characterization and electrocatalysis. J. Mater. Chem. A 2015, 3, 13653–13661. [Google Scholar] [CrossRef]
- Guo, J.; Zhang, Z.; An, X.; Zhang, Y. Designed synthesis CuO hollow microboxes coated with Pd nanosheets and SnO2 nanoparticles as a highly efficient Rochow reaction catalyst. Appl. Surf. Sci. 2017, 426, 714–724. [Google Scholar] [CrossRef]











| Sample | Crystallite Size (nm) [a] | Lattice Parameter (Å) | ||
|---|---|---|---|---|
| CuO | 29.7 | 4.673 | 3.418 | 5.138 |
| PdOx/CuO-ST | 15.5 | 4.709 | 3.424 | 5.114 |
| PdOx/CuO-SG | 20.8 | 4.681 | 3.422 | 5.121 |
| Sample | Calcination Temperature (°C) | Atomic Ratio (%) [a] | Atomic Content (%) [b] | |
|---|---|---|---|---|
| Oα/(Oα + Oβ) | Pd2+/Pd4+ | Pd | ||
| PdOx/CuO-ST | 300 | 57.4 | 78.1 | 2.37 |
| 400 | 60.4 | 79.7 | 2.27 | |
| 500 | 58.6 | 78.9 | 1.93 | |
| 600 | 56.1 | 77.7 | 1.68 | |
| 700 | 54.9 | 77.2 | 1.46 | |
| PdOx/CuO-SG | 400 | 70.5 | 88.7 | 0.98 |
Disclaimer/Publisher’s Note: The statements, opinions and data contained in all publications are solely those of the individual author(s) and contributor(s) and not of MDPI and/or the editor(s). MDPI and/or the editor(s) disclaim responsibility for any injury to people or property resulting from any ideas, methods, instructions or products referred to in the content. |
© 2025 by the authors. Licensee MDPI, Basel, Switzerland. This article is an open access article distributed under the terms and conditions of the Creative Commons Attribution (CC BY) license (https://creativecommons.org/licenses/by/4.0/).
Share and Cite
Feng, Y.; Fu, Z.; Liu, H.; Wang, Z.; Xue, W. Enhanced Catalytic Performance of PdOx/CuO Derived from Pd-Embedded CuBTC for Oxidative Carbonylation of Phenol. Catalysts 2025, 15, 1039. https://doi.org/10.3390/catal15111039
Feng Y, Fu Z, Liu H, Wang Z, Xue W. Enhanced Catalytic Performance of PdOx/CuO Derived from Pd-Embedded CuBTC for Oxidative Carbonylation of Phenol. Catalysts. 2025; 15(11):1039. https://doi.org/10.3390/catal15111039
Chicago/Turabian StyleFeng, Yuxin, Zengjie Fu, Honglin Liu, Zhimiao Wang, and Wei Xue. 2025. "Enhanced Catalytic Performance of PdOx/CuO Derived from Pd-Embedded CuBTC for Oxidative Carbonylation of Phenol" Catalysts 15, no. 11: 1039. https://doi.org/10.3390/catal15111039
APA StyleFeng, Y., Fu, Z., Liu, H., Wang, Z., & Xue, W. (2025). Enhanced Catalytic Performance of PdOx/CuO Derived from Pd-Embedded CuBTC for Oxidative Carbonylation of Phenol. Catalysts, 15(11), 1039. https://doi.org/10.3390/catal15111039

