Solid-State Reaction Synthesis of CoSb2O6-Based Electrodes Towards Oxygen Evolution Reaction in Acidic Electrolytes: Effects of Calcination Time and Temperature
Abstract
1. Introduction
2. Results and Discussion
2.1. PXRD
2.2. EDX
2.3. BET
2.4. FESEM
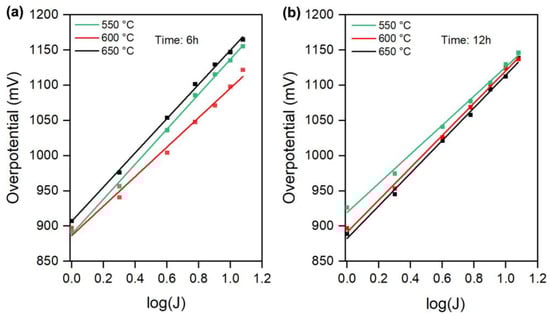
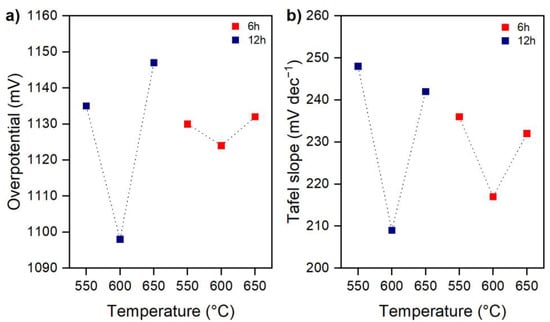
2.5. Electrochemical Performance
3. Materials and Methods
3.1. Materials
3.2. Synthesis of CoSb2O6
3.3. Electrode Preparation for Activity and Stability Evaluation on GC-RDE
3.4. Characterization Techniques
3.5. Electrochemical Measurements
4. Conclusions
Supplementary Materials
Author Contributions
Funding
Data Availability Statement
Acknowledgments
Conflicts of Interest
References
- Song, F.; Bai, L.; Moysiadou, A.; Lee, S.; Hu, C.; Liardet, L.; Hu, C. Transition Metal Oxides as Electrocatalysts for the Oxygen Evolution Reaction in Alkaline Solutions: An Application-Inspired Renaissance. J. Am. Chem. Soc. 2018, 140, 7748–7759. [Google Scholar] [CrossRef]
- Cook, T.R.; Dogutan, D.K.; Reece, S.Y.; Surendranath, Y.; Teets, T.S.; Nocera, D.G. Solar Energy Supply and Storage for the Legacy and Nonlegacy Worlds. Chem. Rev. 2010, 110, 6474–6502. [Google Scholar] [CrossRef] [PubMed]
- Suen, N.T.; Hung, S.F.; Quan, Q.; Zhang, N.; Xu, Y.J.; Chen, H.M. Electrocatalysis for the oxygen evolution reaction: Recent development and future perspectives. Chem. Soc. Rev. 2017, 46, 337–365. [Google Scholar] [CrossRef] [PubMed]
- Zhan, Y.; Lu, M.; Yang, S.; Xu, C.; Liu, Z.; Lee, J.Y. Activity of Transition-Metal (Manganese, Iron, Cobalt, and Nickel) Phosphates for Oxygen Electrocatalysis in Alkaline Solution. ChemCatChem 2016, 8, 372–379. [Google Scholar] [CrossRef]
- An, L.; Wei, C.; Lu, M.; Liu, H.; Chen, Y.; Scherer, G.G.; Fisher, A.C.; Xi, P.; Xu, Z.J.; Yan, C. Recent Development of Oxygen Evolution Electrocatalysts in Acidic Environment. Adv. Mater. 2021, 33, 2006328. [Google Scholar] [CrossRef]
- Lei, Z.; Wang, T.; Zhao, B.; Cai, W.; Liu, Y.; Jiao, S.; Li, Q.; Cao, R.; Liu, M. Recent Progress in Electrocatalysts for Acidic Water Oxidation. Adv. Energy Mater. 2020, 10, 2000478. [Google Scholar] [CrossRef]
- Liu, W.; Kawano, K.; Kamiko, M.; Kato, Y.; Okazaki, Y.; Yamada, I.; Yagi, S. Effects of A-site Cations in Quadruple Perovskite Ruthenates on Oxygen Evolution Catalysis in Acidic Aqueous Solutions. Small 2022, 18, 2202439. [Google Scholar] [CrossRef] [PubMed]
- Song, H.J.; Yoon, H.; Ju, B.; Kim, D.W. Highly Efficient Perovskite-Based Electrocatalysts for Water Oxidation in Acidic Environments: A Mini Review. Adv. Energy Mater. 2021, 11, 2002428. [Google Scholar] [CrossRef]
- Ma, C.L.; Wang, Z.Q.; Sun, W.; Cao, L.M.; Gong, X.Q.; Yang, J. Surface Reconstruction for Forming the [IrO6]–[IrO6] Framework: Key Structure for Stable and Activated OER Performance in Acidic Media. ACS Appl. Mater. Interfaces 2021, 13, 29654–29663. [Google Scholar] [CrossRef] [PubMed]
- Liu, Y.; Chen, Y.; Mu, X.; Wu, Z.; Jin, X.; Li, J.; Xu, Y.; Yang, L.; Xi, X.; Jang, H.; et al. Spinel-Anchored Iridium Single Atoms Enable Efficient Acidic Water Oxidation via Intermediate Stabilization Effect. ACS Catal. 2023, 13, 3757–3767. [Google Scholar] [CrossRef]
- Zhao, Y.; Wan, W.; Erni, R.; Pan, L.; Patzke, G.R. Operando Spectroscopic Monitoring of Metal Chalcogenides for Overall Water Splitting: New Views of Active Species and Sites. Angew. Chem. Int. Ed. Engl. 2024, 63, e202400048. [Google Scholar] [CrossRef] [PubMed]
- Chen, D.; Liu, T.; Wang, P.; Zhao, J.; Zhang, C.; Cheng, R.; Li, W.; Ji, P.; Pu, Z.; Mu, S. Ionothermal Route to Phase-Pure RuB2 Catalysts for Efficient Oxygen Evolution and Water Splitting in Acidic Media. ACS Energy Lett. 2020, 5, 2909–2915. [Google Scholar] [CrossRef]
- Gao, X.; Zhou, H.; Wang, Z.; Zhou, G.; Wang, J.; Wu, Y. Acid-Stable Antimonate based Catalysts for the Electrocatalytic Oxygen Evolution Reaction. Nano Res. 2023, 16, 4691–4697. [Google Scholar] [CrossRef]
- Parsons, R. Atlas of electrochemical equilibria in aqueous solutions. J. Electroanal. Chem. Interfacial Electrochem. 1967, 13, 471. [Google Scholar] [CrossRef]
- Weber, M.F.; Dignam, M.J. Efficiency of Splitting Water with Semiconducting Photoelectrodes. J. Electrochem. Soc. 1984, 131, 1258. [Google Scholar] [CrossRef]
- Mondschein, J.S.; Callejas, J.F.; Read, C.G.; Chen, J.Y.C.; Holder, C.F.; Badding, C.K.; Schaak, R.E. Crystalline Cobalt Oxide Films for Sustained Electrocatalytic Oxygen Evolution under Strongly Acidic Conditions. Chem. Mater. 2017, 29, 950–957. [Google Scholar] [CrossRef]
- Tamaki, J.; Yamada, Y.; Yamamoto, Y.; Matsuoka, M.; Ota, I. Sensing properties to dilute hydrogen sulfide of ZnSb2O6 thick-film prepared by dip-coating method. Sens. Actuators B Chem. 2000, 66, 70–73. [Google Scholar] [CrossRef]
- Wu, S.; Li, G.; Zhang, Y.; Zhang, W. Surface photoelectric and visible light driven photocatalytic properties of zinc antimonate-based photocatalysts. Mater. Res. Bull. 2013, 48, 1117–1121. [Google Scholar] [CrossRef]
- Jang, J.; Kim, S.J. Photoelectrochemical Properties of Nanocrystalline Sb6O13, MgSb2O6, and ZnSb2O6-Based Electrodes for Dye-Sensitized Solar Cells. Jpn. J. Appl. Phys. 2012, 51, 10NE23. [Google Scholar] [CrossRef]
- Evans, T.A.; Choi, K.S. Electrochemical Synthesis and Investigation of Stoichiometric, Phase-Pure CoSb2O6 and MnSb2O6 Electrodes for the Oxygen Evolution Reaction in Acidic Media. ACS Appl. Energy Mater. 2020, 3, 5563–5571. [Google Scholar] [CrossRef]
- Sunku, M.; Gundeboina, R.; Shilpa Chakra, C.H.; Kaniki Reddy, V.; Vithal, M. Preparation, characterization and photocatalytic activity studies of C- and N- doped CoSb2O6. Inorg. Chem. Commun. 2021, 134, 109064. [Google Scholar] [CrossRef]
- Li, D.-H.; He, S.-F.; Chen, J.; Jiang, C.-Y.; Yang, C. Solid-state Chemical Reaction Synthesis and Characterization of Lanthanum Tartrate Nanocrystallites Under Ultrasonication Spectra. IOP Conf. Ser. Mater. Sci. Eng. 2017, 242, 012023. [Google Scholar] [CrossRef]
- Babaei, A.; Rezaei, M. Development of a highly stable and active non-precious anode electrocatalyst for oxygen evolution reaction in acidic medium based on nickel and cobalt-containing antimony oxide. J. Electroanal. Chem. 2023, 935, 117319. [Google Scholar] [CrossRef]
- Michel, C.R.; Martínez-Preciado, A.H.; Morán-Lázaro, J.P. Effect of the frequency on the gas sensing response of CoSb2O6 prepared by a colloidal method. Sens. Actuators B Chem. 2009, 140, 149–154. [Google Scholar] [CrossRef]
- Jovic, M.; Dasic, M.; Holl, K.; Ilic, D.; Mentus, S. Gel-combustion synthesis of CoSb2O6 and its reduction to powdery Sb2Co alloy. J. Serb. Chem. Soc. 2009, 74, 53–60. [Google Scholar] [CrossRef]
- Michel, C.R.; Guillén-Bonilla, H.; Martínez-Preciado, A.H.; Morán-Lázaro, J.P. Synthesis and gas sensing properties of nanostructured CoSb2O6 microspheres. Sens. Actuators B Chem. 2009, 143, 278–285. [Google Scholar] [CrossRef]
- Guillén-Bonilla, A.; Rodríguez-Betancourtt, V.-M.; Flores-Martínez, M.; Blanco-Alonso, O.; Reyes-Gómez, J.; Gildo-Ortiz, L.; Guillén-Bonilla, H. Dynamic Response of CoSb2O6 Trirutile-Type Oxides in a CO2 Atmosphere at Low-Temperatures. Sensors 2014, 14, 15802–15814. [Google Scholar] [CrossRef]
- Degen, T.; Sadki, M.; Bron, E.; König, U.; Nénert, G. The HighScore suite. Powder Diffr. 2014, 29, S13–S18. [Google Scholar] [CrossRef]
- Gunasooriya, G.T.K.K.; Kreider, M.E.; Liu, Y.; Zeledón, J.A.Z.; Wang, Z.; Valle, E.; Yang, A.-C.; Gallo, A.; Sinclair, R.; Stevens, M.B.; et al. First-Row Transition Metal Antimonates for the Oxygen Reduction Reaction. ACS Nano 2022, 16, 6334–6348. [Google Scholar] [CrossRef]
- Mondschein, J.S.; Kumar, K.; Holder, C.F.; Seth, K.; Kim, H.; Schaak, R.E. Intermetallic Ni2Ta Electrocatalyst for the Oxygen Evolution Reaction in Highly Acidic Electrolytes. Inorg. Chem. 2018, 57, 6010–6015. [Google Scholar] [CrossRef] [PubMed]
- Safdar, M.; Iftikhar, M.; Rashid, S.; Awais, M.; Iqbal, A.; Bilal, A.; Aslam, S.; Mirza, M. Synthesis and investigation of catalytic HER/OER performances of Al2SSe in alkaline/acidic media and water detoxification behavior. Int. J. Hydrogen Energy 2023, 50, 107–117. [Google Scholar] [CrossRef]
- Lei, C.; Chen, H.; Cao, J.; Yang, J.; Qiu, M.; Xia, Y.; Yuan, C.; Yang, B.; Li, Z.; Zhang, X.; et al. Fe-N4 Sites Embedded into Carbon Nanofiber Integrated with Electrochemically Exfoliated Graphene for Oxygen Evolution in Acidic Medium. Adv. Energy Mater. 2018, 8, 1801912. [Google Scholar] [CrossRef]
- Doan, T.L.L.; Nguyen, D.C.; Prabhakaran, S.; Kim, D.H.; Tran, D.T.; Kim, N.H.; Lee, J.H. Single-Atom Co-Decorated MoS2 Nanosheets Assembled on Metal Nitride Nanorod Arrays as an Efficient Bifunctional Electrocatalyst for pH-Universal Water Splitting. Adv. Funct. Mater. 2021, 31, 2100233. [Google Scholar] [CrossRef]
- Chang, S.Q.; Cheng, C.C.; Cheng, P.Y.; Huang, C.L.; Lu, S.Y. Pulse electrodeposited FeCoNiMnW high entropy alloys as efficient and stable bifunctional electrocatalysts for acidic water splitting. Chem. Eng. J. 2022, 446, 137452. [Google Scholar] [CrossRef]
- Wang, Y.; Jiao, Y.; Yan, H.; Yang, G.; Tian, C.; Wu, A.; Liu, Y.; Fu, H. Vanadium-Incorporated CoP2 with Lattice Expansion for Highly Efficient Acidic Overall Water Splitting. Angew. Chem. 2022, 134, e202116233. [Google Scholar] [CrossRef]













Disclaimer/Publisher’s Note: The statements, opinions and data contained in all publications are solely those of the individual author(s) and contributor(s) and not of MDPI and/or the editor(s). MDPI and/or the editor(s) disclaim responsibility for any injury to people or property resulting from any ideas, methods, instructions or products referred to in the content. |
© 2025 by the authors. Licensee MDPI, Basel, Switzerland. This article is an open access article distributed under the terms and conditions of the Creative Commons Attribution (CC BY) license (https://creativecommons.org/licenses/by/4.0/).
Share and Cite
Vanzetti, F.; Guzmán, H.; Hernández, S. Solid-State Reaction Synthesis of CoSb2O6-Based Electrodes Towards Oxygen Evolution Reaction in Acidic Electrolytes: Effects of Calcination Time and Temperature. Catalysts 2025, 15, 68. https://doi.org/10.3390/catal15010068
Vanzetti F, Guzmán H, Hernández S. Solid-State Reaction Synthesis of CoSb2O6-Based Electrodes Towards Oxygen Evolution Reaction in Acidic Electrolytes: Effects of Calcination Time and Temperature. Catalysts. 2025; 15(1):68. https://doi.org/10.3390/catal15010068
Chicago/Turabian StyleVanzetti, Francesco, Hilmar Guzmán, and Simelys Hernández. 2025. "Solid-State Reaction Synthesis of CoSb2O6-Based Electrodes Towards Oxygen Evolution Reaction in Acidic Electrolytes: Effects of Calcination Time and Temperature" Catalysts 15, no. 1: 68. https://doi.org/10.3390/catal15010068
APA StyleVanzetti, F., Guzmán, H., & Hernández, S. (2025). Solid-State Reaction Synthesis of CoSb2O6-Based Electrodes Towards Oxygen Evolution Reaction in Acidic Electrolytes: Effects of Calcination Time and Temperature. Catalysts, 15(1), 68. https://doi.org/10.3390/catal15010068

