Transition Metal Oxides Supported on TiO2 as Catalysts for the Low-Temperature Selective Catalytic Reduction of NOx by NH3
Abstract
1. Introduction
2. Results and Discussion
2.1. Catalytic Activity During NH3-SCR
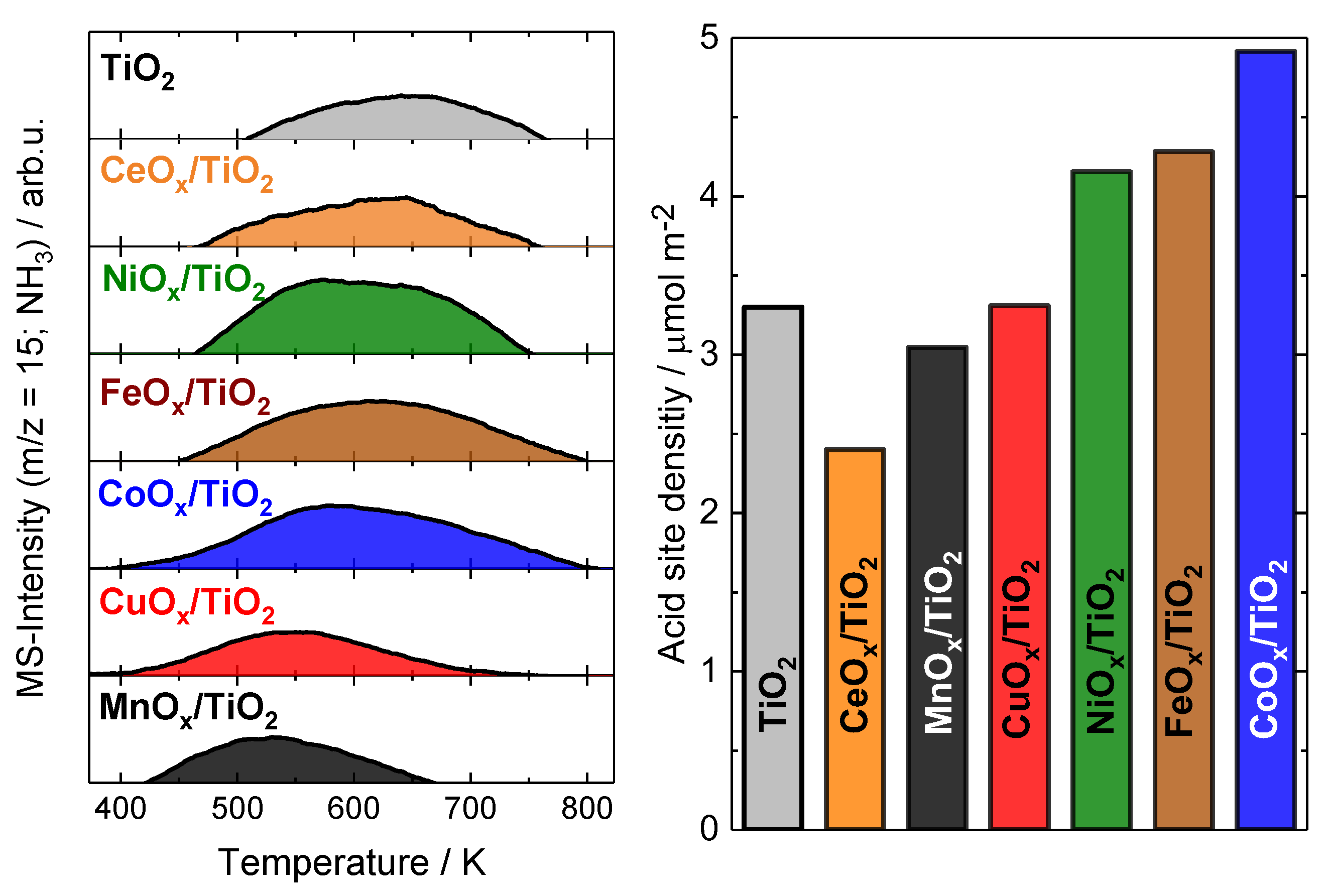
2.2. Impact of Adsorption Properties
2.3. Decomposition of Ammonium Nitrates
2.4. Reduction Properties
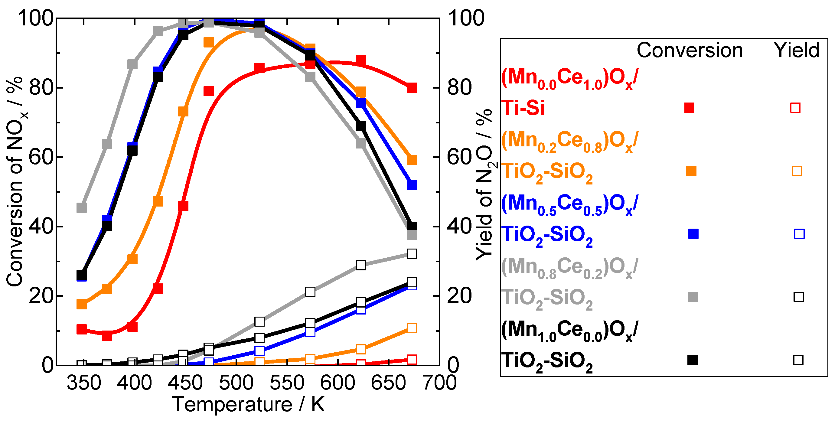
2.5. Application of Mixed-Oxide Catalysts
3. Materials and Methods
3.1. Catalyst Preparation
Loading with Ammonium Nitrate
3.2. Catalyst Characterization
Temperature-Programmed Methods
3.3. Catalytic Experiments
4. Conclusions
Author Contributions
Funding
Data Availability Statement
Acknowledgments
Conflicts of Interest
References
- Kröcher, Ö. Selective Catalytic Reduction of NOx. Catalysts 2018, 8, 459. [Google Scholar] [CrossRef]
- Damma, D.; Ettireddy, P.R.; Reddy, B.M.; Smirniotis, P.G. A Review of Low Temperature NH3-SCR for Removal of NOx. Catalysts 2019, 9, 349. [Google Scholar] [CrossRef]
- Lai, J.-K.; Wachs, I.E. A Perspective on the Selective Catalytic Reduction (SCR) of NO with NH3 by Supported V2O5–WO3/TiO2 Catalysts. ACS Catal. 2018, 8, 6537–6551. [Google Scholar] [CrossRef]
- Zhang, J.; Li, X.; Chen, P.; Zhu, B. Research Status and Prospect on Vanadium-Based Catalysts for NH3-SCR Denitration. Materials 2019, 11, 1632. [Google Scholar] [CrossRef]
- Lietti, L.; Nova, I.; Forzatti, P. Selective catalytic reduction (SCR) of NO by NH3 over TiO2-supported V2O5–WO3 and V2O5–MoO3catalysts. Top. Catal. 2000, 12, 111–122. [Google Scholar] [CrossRef]
- Koebel, M.; Elsener, M.; Kleemann, M. Urea-SCR: A promising technique to reduce NOx emissions from automotive diesel engines. Catal. Today 2000, 59, 335–345. [Google Scholar] [CrossRef]
- Qi, G.; Yang, R.T. A superior catalyst for low-temperature NO reduction with NH3. Chem. Commun. 2003, 7, 848–849. [Google Scholar] [CrossRef]
- Jin, R.; Liu, Y.; Wang, Y.; Cen, W.; Wu, Z.; Wang, H.; Wenig, X. The role of cerium in the improved SO2 tolerance for NO reduction with NH3 over Mn-Ce/TiO2 catalyst at low temperature. Appl. Catal. B 2014, 148, 582–588. [Google Scholar] [CrossRef]
- Peña, D.A.; Uphade, B.S.; Smirniotis, P.G. TiO2-supported metal oxide catalysts for low-temperature selective catalytic reduction of NO with NH3 I. Evaluation and characterization of first row transition metals. J. Catal. 2004, 221, 421–431. [Google Scholar] [CrossRef]
- Thirupathi, B.; Smirniotis, P.G. Co-doping a metal (Cr, Fe, Co, Ni, Cu, Zn, Ce, and Zr) on Mn/TiO2 catalyst and its effect on the selective reduction of NO with NH3 at low-temperatures. Appl. Catl. B 2011, 110, 195–206. [Google Scholar] [CrossRef]
- Liu, F.; He, H. Selective catalytic reduction of NO with NH3 over manganese substituted iron titanate catalyst: Reaction mechanism and H2O/SO2 inhibition mechanism study. Catal. Today 2010, 153, 70–76. [Google Scholar] [CrossRef]
- Zhang, D.; Yang, R.T. NH3-SCR of NO over one-pot Cu-SAPO-34 catalyst: Performance enhancement by doping Fe and MnCe and insight into N2O formation. Appl. Catal. A General. 2017, 543, 247–256. [Google Scholar] [CrossRef]
- Shan, W.; Liu, F.; Yu, Y.; He, H. The use of ceria for the selective catalytic reduction of NOx with NH3. Chin. J. Catal. 2014, 35, 1251–1259. [Google Scholar] [CrossRef]
- Apostolescu, N.; Geiger, B.; Hizbullah, K.; Jan, M.T.; Kureti, S.; Reichert, D.; Schott, F.; Weisweiler, W. Selective catalytic reduction of nitrogen oxides by ammonia on iron oxide catalysts. Appl. Catal. B Environ. 2006, 62, 104–114. [Google Scholar] [CrossRef]
- Yang, Y.; Wang, M.; Tao, Z.; Liu, Q.; Fei, Z.; Chen, X.; Zhang, Z.; Tang, J.; Cui, M.; Qiao, X. Mesoporous Mn–Ti amorphous oxides: A robust low-temperature NH3-SCR catalyst. Catal. Sci. Technol. 2018, 8, 6396–6406. [Google Scholar] [CrossRef]
- Liu, C.; Shi, J.-W.; Gao, C.; Niu, C. Manganese oxide-based catalysts for low-temperature selective catalytic reduction of NOx with NH3: A review. Appl. Catal. A 2016, 522, 54–69. [Google Scholar] [CrossRef]
- Thirupathi, B.; Smirniotis, P.G. Impact of nitrogen oxides on the environment and human health: Mn-based materials for the NOx abatement. Curr. Opin. Chem. Eng. 2016, 13, 133–141. [Google Scholar] [CrossRef]
- Yao, X.; Kong, T.; Yu, S.; Li, L.; Yang, F.; Dong, L. Influence of different supports on the physicochemical properties and denitration performance of the supported Mn-based catalysts for NH3-SCR at low temperature. Appl. Surf. Sci. 2017, 402, 208–217. [Google Scholar] [CrossRef]
- Wang, D.; Yao, Q.; Hui, S.; Niu, Y. N2O and NO formation from NH3 oxidation over MnOx/TiO2 catalysts. Fuel 2018, 234, 650–655. [Google Scholar] [CrossRef]
- Hui, S.; Yao, Q.; Wang, D.; Niu, Y. Effect of oxygen on N2O and NO formation from NH3 oxidation over MnO /TiO2 catalysts. Energy Procedia 2019, 158, 1497–1501. [Google Scholar] [CrossRef]
- Shan, W.; Song, H. Catalysts for the selective catalytic reduction of NOx with NH3 at low temperature. Catal. Sci. Technol. 2015, 5, 4280–4288. [Google Scholar] [CrossRef]
- Zhang, S.; Zhang, B.; Liu, B.; Sun, S. A review of Mn-containing oxide catalysts for low temperature selective catalytic reduction of NOx with NH3: Reaction mechanism and catalyst deactivation. RSC Adv. 2017, 7, 26226–26242. [Google Scholar] [CrossRef]
- Shakya, B.M.; Harold, M.P.; Balakotaiah, V. Simulations and optimization of combined Fe- and Cu-zeolite SCR monolith catalysts. Chem. Eng. J. 2015, 278, 374–384. [Google Scholar] [CrossRef]
- Metkar, P.S.; Harold, M.P.; Balakotaiah, V. Experimental and kinetic modeling study of NH3-SCR of NOx on Fe-ZSM-5, Cu-chabazite and combined Fe- and Cu-zeolite monolithic catalysts. Chem. Eng. Sci. 2013, 87, 51–66. [Google Scholar] [CrossRef]
- Grossale, A.; Nova, I.; Tronconi, E.; Chatterjee, D.; Weibel, M. The chemistry of the NO/NO2–NH3 “fast” SCR reaction over Fe-ZSM5 investigated by transient reaction analysis. J. Catal. 2008, 256, 312–322. [Google Scholar] [CrossRef]
- Hammershøi, P.S.; Jangjou, Y.; Epling, W.S.; Jensen, A.D.; Janssens, T.V.W. Reversible and irreversible deactivation of Cu-CHA NH3-SCRcatalysts by SO2 and SO3. Appl. Catal. B Environ. 2018, 226, 38–45. [Google Scholar] [CrossRef]
- Xie, G.; Liu, Z.; Zhu, Z.; Liu, Q.; Ge, J.; Huang, Z. Simultaneous removal of SO2 and NOx from flue gas using a CuO/Al2O3 catalyst sorbentII. Promotion of SCR activity by SO2 at high temperatures. J. Catal. 2004, 224, 42–49. [Google Scholar] [CrossRef]
- Sreekanth, P.M.; Peña, D.A.; Smirniotis, P.G. Titania Supported Bimetallic Transition Metal Oxides for Low-Temperature SCR of NO with NH3. Ind. Eng. Chem. Res. 2006, 45, 6444–6449. [Google Scholar] [CrossRef]
- Zhang, L.; Wang, D.; Liu, Y.; Kamasamudram, K.; Li, J.; Epling, W. SO2 poisoning impact on the NH3-SCR reaction over a commercial Cu-SAPO-34 SCR catalyst. Appl. Catal. B Environ. 2014, 156–157, 371–377. [Google Scholar] [CrossRef]
- Villamaina, R.; Nova, I.; Tronconi, E.; Maunula, T.; Keenan, M. The deactivation of an NH3-SCR Cu-SAPO catalyst upon exposure to non-oxidizing conditions. Appl. Catal. A General. 2019, 580, 11–16. [Google Scholar] [CrossRef]
- Qi, X.; Wang, Y.; Liu, C.; Liu, Q. The Challenges and Comprehensive Evolution of Cu-Based Zeolite Catalysts for SCR Systems in Diesel Vehicles: A Review. Catal. Surv. Asia 2023, 27, 181–206. [Google Scholar] [CrossRef]
- Kwak, J.H.; Tran, D.; Burton, S.D.; Szanyi, J.; Lee, J.H.; Peden, C.H.F. Effects of hydrothermal aging on NH3-SCR reaction over Cu/zeolites. J. Catal. 2012, 287, 203–209. [Google Scholar] [CrossRef]
- Shan, Y.; Du, J.; Zhang, Y.; Shan, W.; Shi, X.; Yu, Y.; Zhang, R.; Meng, X.; Xiao, F.-S.; He, H. Selective catalytic reduction of NOx with NH3: Opportunities and challenges of Cu-based small-pore zeolites. Natl. Sci. Rev. 2021, 8, nwab010. [Google Scholar] [CrossRef] [PubMed]
- Hammershøi, P.S.; Jensen, A.D.; Janssens, T.V.W. Impact of SO2-poisoning over the lifetime of a Cu-CHA catalyst for NH3-SCR. Appl. Catal. B Environ. 2018, 238, 104–110. [Google Scholar] [CrossRef]
- Shan, Y.; Shi, X.; Yan, Z.; Liu, J.; Yu, Y.; He, H. Deactivation of Cu-SSZ-13 in the presence of SO2 during hydrothermal aging. Catal. Today 2019, 320, 84–90. [Google Scholar] [CrossRef]
- Bergman, S.L.; Dahlin, D.; Mesilov, V.V.; Xiao, Y.; Englund, J.; Xi, S.; Tang, C.; Skoglundh, M.; Pettersson, L.J.; Bernasek, S.L. In-situ studies of oxidation/reduction of copper in Cu-CHA SCR catalysts: Comparison of fresh and SO2-poisoned catalysts. Appl. Catal. B Environ. 2020, 269, 118722. [Google Scholar] [CrossRef]
- Xiong, S.; Liao, Y.; Dang, H.; Qi, F.; Yang, S. Promotion mechanism of CeO2 addition on the low temperature SCR reaction over MnOx/TiO2: A new insight from the kinetic study. RSC Adv. 2015, 5, 27785–27793. [Google Scholar] [CrossRef]
- Xiong, Y.; Tang, C.; Yao, X.; Zhang, L.; Li, L.; Wang, X.; Deng, Y.; Gao, F.; Dong, L. Effect of metal ions doping (M = Ti 4+, Sn 4+ ) on the catalytic performance of MnOx /CeO2 catalyst for low temperature selective catalytic reduction of NO with NH3. Appl. Catal. A General. 2015, 495, 206–216. [Google Scholar] [CrossRef]
- Liu, Z.; Zhu, J.; Li, J.; Ma, L.; Woo, S.I. Novel Mn-Ce-Ti mixed-oxide catalyst for the selective catalytic reduction of NOx with NH₃. ACS Appl. Mater. Interfaces 2014, 6, 14500–14508. [Google Scholar] [CrossRef]
- Liu, Z.; Feng, X.; Zhou, Z.; Feng, Y.; Li, J. Ce-Sn binary oxide catalyst for the selective catalytic reduction of NOx by NH3. Appl. Surf. Sci. 2018, 428, 526–533. [Google Scholar] [CrossRef]
- Shen, B.; Zhang, X.; Ma, H.; Yao, Y.; Liu, T. A comparative study of Mn/CeO2, Mn/ZrO2 and Mn/Ce-ZrO2 for low temperature selective catalytic reduction of NO with NH3 in the presence of SO2 and H2O. J. Environ. Sci. 2013, 25, 791–800. [Google Scholar] [CrossRef] [PubMed]
- Qiu, L.; Wang, Y.; Pang, D.; Ouyang, F.; Zhang, C. SO42−–Mn–Co–Ce supported on TiO2/SiO2 with high sulfur durability for low-temperature SCR of NO with NH3. Catal. Commun. 2016, 78, 22–25. [Google Scholar] [CrossRef]
- Wang, F.; Shen, B.; Zhu, S.; Wang, Z. Promotion of Fe and Co doped Mn-Ce/TiO2 catalysts for low temperature NH3-SCR with SO2 tolerance. Fuel 2019, 249, 54–60. [Google Scholar] [CrossRef]
- Chen, L.; Yuan, F.; Li, Z.; Niu, X.; Zhu, Y. Synergistic effect between the redox property and acidity on enhancing the low temperature NH3-SCR activity for NO removal over the Co0.2CexMn0.8-xTi10 (x = 0–0.40) oxides catalysts. Chem. Eng. J. 2018, 354, 393–406. [Google Scholar] [CrossRef]
- Si, Z.; Weng, D.; Wu, X.; Yang, J.; Wang, B. Modifications of CeO2–ZrO2 solid solutions by nickel and sulfate as catalysts for NO reduction with ammonia in excess O2. Catal. Commun. 2010, 11, 1045–1048. [Google Scholar] [CrossRef]
- Liu, C.; Chen, L.; Li, J.; Ma, L.; Arandiyan, H.; Du, Y.; Xu, J.; Hao, J. Enhancement of activity and sulfur resistance of CeO2 supported on TiO2-SiO2 for the selective catalytic reduction of NO by NH3. Environ. Sci. Technol. 2012, 46, 6182–6189. [Google Scholar] [CrossRef]
- Yu, S.; Jiang, N.; Zou, W.; Li, L.; Tang, C.; Dong, L. A general and inherent strategy to improve the water tolerance of low temperature NH3-SCR catalysts via trace SiO2 deposition. Catal. Commun. 2016, 84, 75–79. [Google Scholar] [CrossRef]
- Zhao, W.; Tang, Y.; Wan, Y.; Li, L.; Yao, S.; Li, X.; Gu, J.; Li, Y.; Shi, J. Promotion effects of SiO2 or/and Al2O3 doped CeO2/TiO2 catalysts for selective catalytic reduction of NO by NH3. J. Hazard. Mater. 2014, 278, 350–359. [Google Scholar] [CrossRef]
- Savara, A.; Li, M.-J.; Sachtler, W.M.H.; Weitz, E. Catalytic reduction of NH4NO3 by NO: Effects of solid acids and implications for low temperature DeNOx processes. Appl. Catal. B Environ. 2008, 81, 251–257. [Google Scholar] [CrossRef]
- Nova, I.; Ciardelli, C.; Tronconi, E.; Chatterjee, D.; Bandl-Konrad, B. NH3–NO/NO2 chemistry over V-based catalysts and its role in the mechanism of the Fast SCR reaction. Catal. Today 2006, 114, 3–12. [Google Scholar] [CrossRef]
- Chen, Z.; Si, Z.; Cao, L.; Wu, X.; Ran, R.; Wenig, D. Decomposition behavior of ammonium nitrate on ceria catalysts and its role in the NH3 -SCR reaction. Catal. Sci. Technol. 2017, 7, 2531–2541. [Google Scholar] [CrossRef]
- Chaturvedi, S.; Dave, P.N. Review on Thermal Decomposition of Ammonium Nitrate. J. Energetic Mater. 2013, 31, 1–26. [Google Scholar] [CrossRef]
- Skordilis, C.S.; Pomonis, P.J. The influence of Mn, Co and Cu cations on the thermal decomposition of NH4N03 in pure form and supported on alumina. Thermochim. Acta 1993, 216, 137–146. [Google Scholar] [CrossRef]
- Luo, J.; Tang, Y.; Joshi, S.; Kamasamudram, K.; Currier, N.; Yezerets, A. The Impact of Ammonium Nitrate Species on Low Temperature NOx Conversion Over Cu/CHA SCR Catalyst. SAE Int. J. Engines 2017, 10, 1691–1696. [Google Scholar] [CrossRef]
- Forzatti, P.; Nova, I.; Tronconi, E. New “Enhanced NH3 -SCR” Reaction for NOx Emission Control. Ind. Eng. Chem. Res. 2010, 49, 10386–10391. [Google Scholar] [CrossRef]
- Topsoe, N.Y. Mechanism of the selective catalytic reduction of nitric oxide by ammonia elucidated by in situ on-line fourier transform infrared spectroscopy. Science 1994, 265, 1217–1219. [Google Scholar] [CrossRef]
- Zhao, Q.; Chen, B.; Li, J.; Wang, X.; Crocker, M.; Shi, C. Insights into the structure-activity relationships of highly efficient CoMn oxides for the low temperature NH3-SCR of NOx. Appl. Catal. B Environ. 2020, 277, 119215. [Google Scholar] [CrossRef]
- Zhang, H.; Ding, L.; Long, H.; Li, J.; Tan, W.; Ji, J.; Sun, J.; Tang, C.; Dong, L. Influence of CeO2 loading on structure and catalytic activity for NH3-SCR over TiO2-supported CeO2. J. Rare Earths 2020, 38, 883–890. [Google Scholar] [CrossRef]
- Gao, F.; Walter, E.D.; Karp, E.M.; Luo, J.; Tonkyn, R.G.; Kwak, J.H.; Szanyi, J.; Peden, C.H.F. Structure–activity relationships in NH3-SCR over Cu-SSZ-13 as probed by reaction kinetics and EPR studies. J. Catal. 2013, 300, 20–29. [Google Scholar] [CrossRef]
- Zhuang, K.; Qiu, J.; Tang, F.; Xu, B.; Fan, Y. The structure and catalytic activity of anatase and rutile titania supported manganese oxide catalysts for selective catalytic reduction of NO by NH3. Phys. Chem. Chem. Phys. 2011, 13, 4463–4469. [Google Scholar] [CrossRef]
- Qu, R.; Peng, Y.; Sun, X.; Li, J.; Gao, X.; Cen, K. Identification of the reaction pathway and reactive species for the selective catalytic reduction of NO with NH3 over cerium–niobium oxide catalysts. Catal. Sci. Technol. 2016, 6, 2136–2142. [Google Scholar] [CrossRef]
- Liu, F.; He, H.; Zhang, C.; Shan, W.; Shi, X. Mechanism of the selective catalytic reduction of NOx with NH3 over environmental-friendly iron titanate catalyst. Catal. Today 2011, 175, 18–25. [Google Scholar] [CrossRef]
- Chen, L.; Ren, S.; Liu, L.; Su, B.; Yang, J.; Chen, Z.; Wang, M.; Liu, Q. Catalytic performance over Mn-Ce catalysts for NH3-SCR of NO at low temperature: Different zeolite supports. J. Environ. Chem. Eng. 2022, 10, 107167. [Google Scholar] [CrossRef]
- Kato, A.; Matsuda, S.; Kamo, T.; Nakajima, F.; Kuroda, H.; Narita, T. Reaction between nitrogen oxide (NOx) and ammonia on iron oxide-titanium oxide catalyst. J. Phy. Chem. 1981, 85, 4099–4102. [Google Scholar] [CrossRef]
- Wang, D.; Yao, Q.; Hui, S.; Niu, Y. Source of N and O in N2O formation during selective catalytic reduction of NO with NH3 over MnO /TiO2. Fuel 2019, 251, 23–29. [Google Scholar] [CrossRef]
- Chen, L.; Janssens, T.V.W.; Skoglundh, M.; Grönbeck, H. Interpretation of NH3-TPD Profiles from Cu-CHA Using First-Principles Calculations. Top. Catal. 2019, 62, 93–99. [Google Scholar] [CrossRef]
- Zhang, B.; Liebau, M.; Suprun, W.; Liu, B.; Zhang, S.; Gläser, R. Suppression of N2O formation by H2O and SO2 in the selective catalytic reduction of NO with NH3 over a Mn/Ti–Si catalyst. Catal. Sci. Technol. 2019, 9, 4759–4770. [Google Scholar] [CrossRef]
- Zhu, M.; Lai, J.-K.; Wachs, I.E. Formation of N2O greenhouse gas during SCR of NO with NH3 by supported vanadium oxide catalysts. Appl. Catal. B Environ. 2018, 224, 836–840. [Google Scholar] [CrossRef]
- Liu, B.; Yao, D.; Wu, F.; Wei, L.; Li, X.; Wang, X. Experimental Investigation on N2O Formation during the Selective Catalytic Reduction of NOx with NH3 over Cu-SSZ-13. Ind. Eng. Chem. Res. 2019, 58, 20516–20527. [Google Scholar] [CrossRef]
- Zhang, D.; Yang, R.T. N2OFormation Pathways over Zeolite-Supported Cu and Fe Catalysts in NH3-SCR. Energy Fuels 2018, 32, 2170–2182. [Google Scholar] [CrossRef]
- Ruggeri, M.P.; Luo, J.; Nova, I.; Tronconi, E.; Kamasamudram, K.; Yezerets, A. Novel method of ammonium nitrate quantification in SCR catalysts. Catal. Today 2018, 307, 48–54. [Google Scholar] [CrossRef]
- Russel, T.P.; Brill, T.B. Thermal decomposition of energetic materials 31—Fast thermolysis of ammonium nitrate, ethylenediammonium dinitrate and hydrazinium nitrate and the relationship to the burning rate. Combust. Flame 1989, 76, 393–401. [Google Scholar] [CrossRef]
- Patil, D.G.; Jain, S.R.; Brill, T.B. Thermal Decomposition of Energetic Materials 56. On the fast thermolysis mechanism of ammonium nitrate and its mixtures with mangnesium and carbon. Propellants Explos. Pyrotech. 1992, 17, 99–105. [Google Scholar] [CrossRef]
- Forzatti, P.; Nova, I.; Tronconi, E.; Kustov, A.; Thøgersen, J.R. Effect of operating variables on the enhanced SCR reaction over a commercial V2O5–WO3/TiO2 catalyst for stationary applications. Catal. Today 2012, 184, 153–159. [Google Scholar] [CrossRef]
- Lin, C.-J.; Chang, C.-L.; Tseng, C.-F.; Lin, H.-P.; Hsi, H.-C. Preparation of Cu-Mn and Cu-Mn-Ce Oxide/Mesoporous Silica via Silicate Exfoliation for Removal of NO and Hg0. Aerosol. Air Qual. Res. 2019, 19, 1421–1438. [Google Scholar] [CrossRef]
- Chang, H.; Li, J.; Chen, X.; Ma, L.; Yang, S.; Schwank, J.W.; Hao, J. Effect of Sn on MnOx–CeO2 catalyst for SCR of NOx by ammonia: Enhancement of activity and remarkable resistance to SO2. Catal. Commun. 2012, 27, 54–57. [Google Scholar] [CrossRef]
- Nie, J.; Wu, X.; Ma, Z.; Xu, T.; Si, Z.; Chen, L.; Wenig, D. Tailored temperature window of MnOx-CeO2 SCR catalyst by addition of acidic metal oxides. Chin. J. Catal. 2014, 35, 1281–1288. [Google Scholar] [CrossRef]
- Shi, J.-W.; Wang, Y.; Duan, R.; Gao, C.; Wang, B.; He, C.; Niu, C. The synergistic effects between Ce and Cu in CuyCe1−yW5Ox catalysts for enhanced NH3 -SCR of NOx and SO2 tolerance. Catal. Sci. Technol. 2019, 9, 718–730. [Google Scholar] [CrossRef]
- Liu, Z.; Li, Y.; Zhu, T.; Su, H.; Zhu, J. Selective Catalytic Reduction of NOx by NH3 over Mn-Promoted V2O5/TiO2 Catalyst. Ind. Eng. Chem. Res. 2014, 53, 12964–12970. [Google Scholar] [CrossRef]
- Tronconi, E.; Nova, I.; Ciardelli, C.; Chatterjee, D.; Weibel, M. Redox features in the catalytic mechanism of the standard and fast NH3-SCR of NOx over a V-based catalyst investigated by dynamic methods. J. Catal. 2007, 245, 1–10. [Google Scholar] [CrossRef]











Disclaimer/Publisher’s Note: The statements, opinions and data contained in all publications are solely those of the individual author(s) and contributor(s) and not of MDPI and/or the editor(s). MDPI and/or the editor(s) disclaim responsibility for any injury to people or property resulting from any ideas, methods, instructions or products referred to in the content. |
© 2024 by the authors. Licensee MDPI, Basel, Switzerland. This article is an open access article distributed under the terms and conditions of the Creative Commons Attribution (CC BY) license (https://creativecommons.org/licenses/by/4.0/).
Share and Cite
Liebau, M.; Suprun, W.; Kasprick, M.; Gläser, R. Transition Metal Oxides Supported on TiO2 as Catalysts for the Low-Temperature Selective Catalytic Reduction of NOx by NH3. Catalysts 2025, 15, 22. https://doi.org/10.3390/catal15010022
Liebau M, Suprun W, Kasprick M, Gläser R. Transition Metal Oxides Supported on TiO2 as Catalysts for the Low-Temperature Selective Catalytic Reduction of NOx by NH3. Catalysts. 2025; 15(1):22. https://doi.org/10.3390/catal15010022
Chicago/Turabian StyleLiebau, Michael, Wolodymyr Suprun, Marcus Kasprick, and Roger Gläser. 2025. "Transition Metal Oxides Supported on TiO2 as Catalysts for the Low-Temperature Selective Catalytic Reduction of NOx by NH3" Catalysts 15, no. 1: 22. https://doi.org/10.3390/catal15010022
APA StyleLiebau, M., Suprun, W., Kasprick, M., & Gläser, R. (2025). Transition Metal Oxides Supported on TiO2 as Catalysts for the Low-Temperature Selective Catalytic Reduction of NOx by NH3. Catalysts, 15(1), 22. https://doi.org/10.3390/catal15010022

