Ultrathin-Shelled Zn-AgIn5S8/ZnS Quantum Dots with Partially Passivated Trap States for Efficient Hydrogen Production
Abstract
1. Introduction
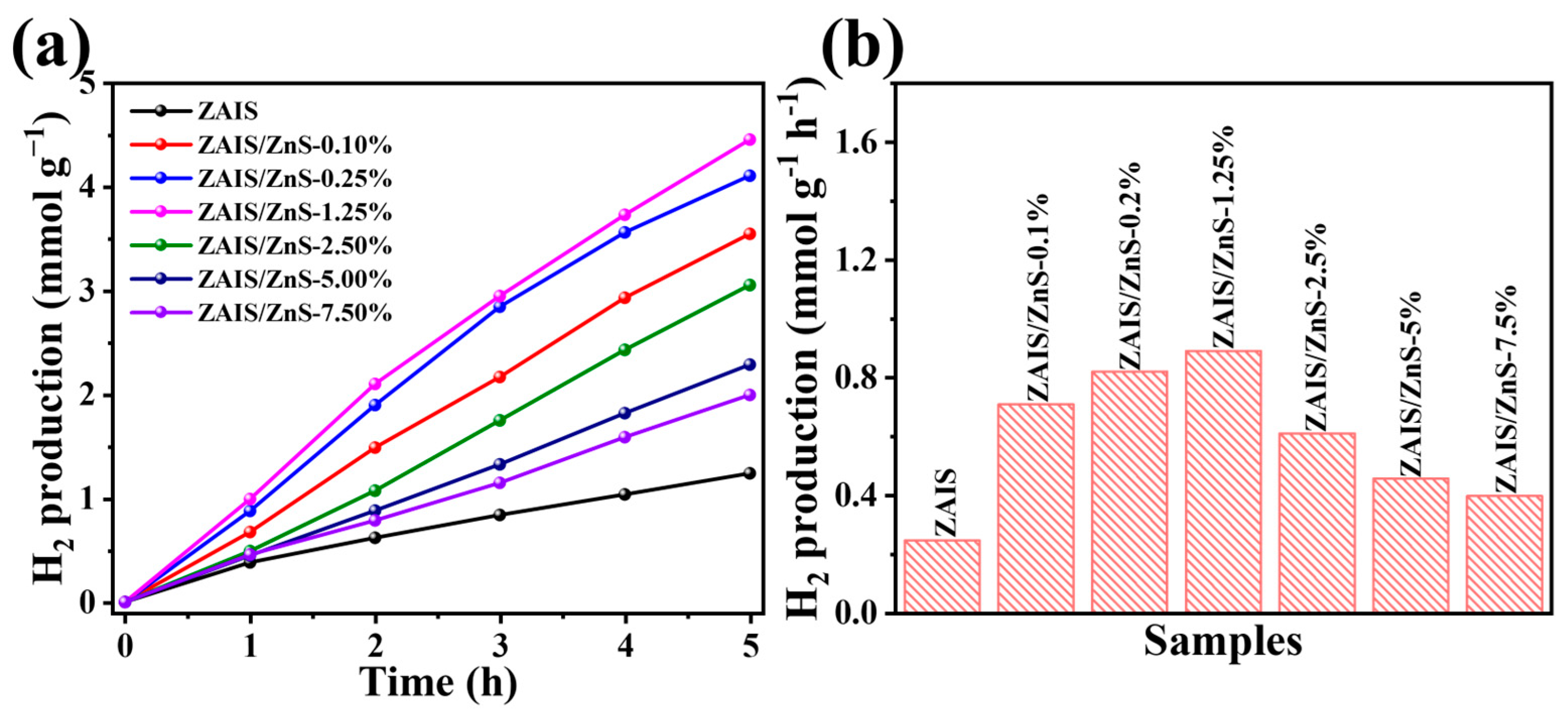
2. Results and Discussion
| Catalysts | Light Source | Reaction Conditions | H2 Evolution Rate (µmol g−1 h−1) | Ref. |
|---|---|---|---|---|
| ZAIS/ZnS | λ ≥ 420 nm | 0.35 M Na2S + 0.25 M Na2SO3 | 892.0 | This work |
| ZAIS/RGO | λ ≥ 400 nm | 0.35 M Na2S + 0.25 M Na2SO3 | 342.3 | [51] |
| Cu/ZnS/COF | λ ≥ 220 nm | Formic acid | 278.4 | [52] |
| CdS/ZnS core–shell | λ ≥ 430 nm | 0.35 M Na2S + 0.25 M Na2SO3 | 55.5 | [53] |
| Cu-Doped ZnS | λ ≥ 420 nm | 0.35 M Na2S + 0.25 M Na2SO3 | 283.8 | [54] |
| g-C3N4/ZnS | λ ≥ 400 nm | Glucose solution | 69.8 | [55] |
| ZnS(en)0.5-CdS | λ ≥ 400 nm | 0.18 M Na2S | 559.0 | [56] |
3. Experimental Procedure
3.1. Chemical Reagents
3.2. Synthesis of Zn-AgIn5S8 QDs
3.3. Synthesis of Zn-AgIn5S8/ZnS QDs
3.4. Characterizations
3.5. Photocatalytic Hydrogen Production Experiment
4. Conclusions
Author Contributions
Funding
Data Availability Statement
Conflicts of Interest
References
- Zhou, P.; Navid, I.A.; Ma, Y.; Xiao, Y.; Wang, P.; Ye, Z.; Zhou, B.; Sun, K.; Mi, Z. Solar-to-hydrogen efficiency of more than 9% in photocatalytic water splitting. Nature 2023, 613, 66–70. [Google Scholar] [CrossRef] [PubMed]
- Zhang, L.; Zhang, J.; Yu, H.; Yu, J. Emerging S-Scheme Photocatalyst. Adv. Mater. 2022, 34, 2107668. [Google Scholar] [CrossRef] [PubMed]
- Tao, X.; Zhao, Y.; Wang, S.; Li, C.; Li, R. Recent advances and perspectives for solar-driven water splitting using particulate photocatalysts. Chem. Soc. Rev. 2022, 51, 3561–3608. [Google Scholar] [CrossRef] [PubMed]
- Wang, Y.; Zhang, Y.; Xin, X.; Yang, J.; Wang, M.; Wang, R.; Guo, P.; Huang, W.; Sobrido, A.J.; Wei, B.; et al. In situ photocatalytically enhanced thermogalvanic cells for electricity and hydrogen production. Science 2023, 381, 291–296. [Google Scholar] [CrossRef] [PubMed]
- Chong, W.-K.; Ng, B.-J.; Lee, Y.J.; Tan, L.-L.; Putri, L.K.; Low, J.; Mohamed, A.R.; Chai, S.-P. Self-activated superhydrophilic green ZnIn2S4 realizing solar-driven overall water splitting: Close-to-unity stability for a full daytime. Nat. Commun. 2023, 14, 7676–7688. [Google Scholar] [CrossRef] [PubMed]
- Liu, B.; Li, X.; Zhao, Q.; Ke, J.; Tadé, M.; Liu, S. Preparation of AgInS2/TiO2 composites for enhanced photocatalytic degradation of gaseous o-dichlorobenzene under visible light. Appl. Catal. B 2016, 185, 1–10. [Google Scholar] [CrossRef]
- Ruan, X.; Meng, D.; Huang, C.; Xu, M.; Jiao, D.; Cheng, H.; Cui, Y.; Li, Z.; Ba, K.; Xie, T.; et al. Artificial Photosynthetic System with Spatial Dual Reduction Site Enabling Enhanced Solar Hydrogen Production. Adv. Mater. 2023, 36, 2309199–2309208. [Google Scholar] [CrossRef] [PubMed]
- Lu, P.; Liu, K.; Liu, Y.; Ji, Z.; Wang, X.; Hui, B.; Zhu, Y.; Yang, D.; Jiang, L. Heterostructure with tightly-bound interface between In2O3 hollow fiber and ZnIn2S4 nanosheet toward efficient visible light driven hydrogen evolution. Appl. Catal. B 2024, 345, 123697–123705. [Google Scholar] [CrossRef]
- Stroyuk, O.; Raevskaya, A.; Gaponik, N. Solar light harvesting with multinary metal chalcogenide nanocrystals. Chem. Soc. Rev. 2018, 47, 5354–5422. [Google Scholar] [CrossRef]
- Sun, P.; Xing, Z.; Li, Z.; Zhou, W. Recent advances in quantum dots photocatalysts. Chem. Eng. J. 2023, 458, 141399–141423. [Google Scholar] [CrossRef]
- Yadav, S.; Yashas, S.R.; Shivaraju, H.P. Transitional metal chalcogenide nanostructures for remediation and energy: A review. Environ. Chem. Lett. 2021, 19, 3683–3700. [Google Scholar] [CrossRef]
- Li, S.; Tang, X.; Zang, Z.; Yao, Y.; Yao, Z.; Zhong, H.; Chen, B. I-III-VI chalcogenide semiconductor nanocrystals: Synthesis, properties, and applications. Chin. J. Catal. 2018, 39, 590–605. [Google Scholar] [CrossRef]
- Mamiyev, Z.; Balayeva, N.O. Metal Sulfide Photocatalysts for Hydrogen Generation: A Review of Recent Advances. Catalysts 2022, 12, 1316. [Google Scholar] [CrossRef]
- Lin, H.; Yang, J.; Liu, Y.-F.; Zeng, F.-J.; Tang, X.-S.; Yao, Z.-Q.; Guan, H.-L.; Xiong, Q.; Zhou, J.-E.; Wu, D.-F.; et al. Stable and efficient hybrid Ag-In-S/ZnS@SiO2-carbon quantum dots nanocomposites for white light-emitting diodes. Chem. Eng. J. 2020, 393, 124654–124662. [Google Scholar] [CrossRef]
- Azhniuk, Y.M.; Gomonnai, A.V.; Solonenko, D.; Lopushansky, V.V.; Loya, V.Y.; Voynarovych, I.M.; Roman, I.Y.; Zahn, D.R.T. Characterization of Ag–In–S films prepared by thermal evaporation. Mater. Today Proc. 2022, 62, 5745–5748. [Google Scholar] [CrossRef]
- Zhang, J.; Fan, T.; Huang, P.; Lian, X.; Guo, Y.; Chen, Z.; Yi, X. Electro-Reconstruction-Induced Strain Regulation and Synergism of Ag-In-S toward Highly Efficient CO2 Electrolysis to Formate. Adv. Funct. Mater. 2022, 32, 2113075–2113086. [Google Scholar] [CrossRef]
- Li, F.; Liu, Y.; Chen, Q.; Gu, X.; Dong, W.; Zhang, D.; Huang, H.; Mao, B.; Kang, Z.; Shi, W. Transient photovoltage study of the kinetics and synergy of electron/hole co-extraction in MoS2/Ag-In-Zn-S/carbon dot photocatalysts for promoted hydrogen production. Chem. Eng. J. 2022, 439, 135759–135770. [Google Scholar] [CrossRef]
- Yuan, Y.-J.; Chen, D.-Q.; Xiong, M.; Zhong, J.-S.; Wan, Z.-Y.; Zhou, Y.; Liu, S.; Yu, Z.-T.; Yang, L.-X.; Zou, Z.-G. Bandgap engineering of (AgIn)xZn2(1−x)S2 quantum dot photosensitizers for photocatalytic H2 generation. Appl. Catal. B 2017, 204, 58–66. [Google Scholar] [CrossRef]
- Yang, J.; Fu, H.; Yang, D.; Gao, W.; Cong, R.; Yang, T. ZnGa2–xInxS4 (0 ≤ x ≤ 0.4) and Zn1–2y(CuGa)yGa1.7In0.3S4 (0.1 ≤ y ≤ 0.2): Optimize Visible Light Photocatalytic H2 Evolution by Fine Modulation of Band Structures. Inorg. Chem. 2015, 54, 2467–2473. [Google Scholar] [CrossRef]
- Shi, L.; Ren, X.; Zhang, Z.; Wang, Q.; Li, Y.; Ye, J. Non-stoichiometric Ag-In-S quantum dots for efficient photocatalytic CO2 reduction: Ag/In molar ratio dependent activity and selectivity. J. Catal. 2021, 401, 271–278. [Google Scholar] [CrossRef]
- Zeng, B.; Chen, F.; Liu, Z.; Guan, Z.; Li, X.; Teng, F.; Tang, A. Seeded-mediated growth of ternary Ag–In–S and quaternary Ag–In–Zn–S nanocrystals from binary Ag2S seeds and the composition-tunable optical properties. J. Mater. Chem. C 2019, 7, 1307–1315. [Google Scholar] [CrossRef]
- Kameyama, T.; Kishi, M.; Miyamae, C.; Sharma, D.K.; Hirata, S.; Yamamoto, T.; Uematsu, T.; Vacha, M.; Kuwabata, S.; Torimoto, T. Wavelength-Tunable Band-Edge Photoluminescence of Nonstoichiometric Ag–In–S Nanoparticles via Ga3+ Doping. ACS Appl. Mater. Interfaces 2018, 10, 42844–42855. [Google Scholar] [CrossRef] [PubMed]
- Kameyama, T.; Takahashi, T.; Machida, T.; Kamiya, Y.; Yamamoto, T.; Kuwabata, S.; Torimoto, T. Controlling the Electronic Energy Structure of ZnS–AgInS2 Solid Solution Nanocrystals for Photoluminescence and Photocatalytic Hydrogen Evolution. J. Phys. Chem. C 2015, 119, 24740–24749. [Google Scholar] [CrossRef]
- Li, F.; Xia, Z.; Liu, Q. Controllable Synthesis and Optical Properties of ZnS:Mn2+/ZnS/ZnS:Cu2+/ZnS Core/Multishell Quantum Dots toward Efficient White Light Emission. ACS Appl. Mater. Interfaces 2017, 9, 9833–9839. [Google Scholar] [CrossRef] [PubMed]
- Reddy, N.L.; Rao, V.N.; Kumari, M.M.; Sathish, M.; Muthukonda Venkatakrishnan, S. Development of high quantum efficiency CdS/ZnS core/shell structured photocatalyst for the enhanced solar hydrogen evolution. Int. J. Hydrogen Energy 2018, 43, 22315–22328. [Google Scholar] [CrossRef]
- Chen, Q.; Liu, Y.; Mao, B.; Wu, Z.; Yan, W.; Zhang, D.; Li, Q.; Huang, H.; Kang, Z.; Shi, W. Carbon-Dot-Mediated Highly Efficient Visible-Driven Photocatalytic Hydrogen Evolution Coupled with Organic Oxidation. Adv. Funct. Mater. 2023, 33, 2305318. [Google Scholar] [CrossRef]
- Li, F.; Liu, Y.; Mao, B.; Li, L.; Huang, H.; Zhang, D.; Dong, W.; Kang, Z.; Shi, W. Carbon-dots-mediated highly efficient hole transfer in I-III-VI quantum dots for photocatalytic hydrogen production. Appl. Catal. B 2021, 292, 120154. [Google Scholar] [CrossRef]
- Chen, Q.; Liu, Y.; Gu, X.; Li, D.; Zhang, D.; Zhang, D.; Huang, H.; Mao, B.; Kang, Z.; Shi, W. Carbon dots mediated charge sinking effect for boosting hydrogen evolution in Cu-In-Zn-S QDs/MoS2 photocatalysts. Appl. Catal. B 2022, 301, 120755–120767. [Google Scholar] [CrossRef]
- Zhang, D.; Dong, W.; Liu, Y.; Gu, X.; Yang, T.; Hong, Q.; Li, D.; Zhang, D.; Zhou, H.; Huang, H.; et al. Ag–In–Zn–S Quantum Dot-Dominated Interface Kinetics in Ag–In–Zn–S/NiFe LDH Composites toward Efficient Photoassisted Electrocatalytic Water Splitting. ACS Appl. Mater. Interfaces 2021, 13, 42125–42137. [Google Scholar] [CrossRef]
- Cui, C.; Fu, J.; Kou, D.; Li, Y.; Wei, H.; Wu, Z.; Zhou, W.; Zhou, Z.; Yuan, S.; Qi, Y.; et al. Heterojunction reconstruction via In doping towards high-efficiency CZTSSe solar cells. Chem. Eng. J. 2023, 476, 146701–146708. [Google Scholar] [CrossRef]
- Benayas, A.; Ren, F.; Carrasco, E.; Marzal, V.; del Rosal, B.; Gonfa, B.A.; Juarranz, Á.; Sanz-Rodríguez, F.; Jaque, D.; García-Solé, J.; et al. PbS/CdS/ZnS Quantum Dots: A Multifunctional Platform for In Vivo Near-Infrared Low-Dose Fluorescence Imaging. Adv. Funct. Mater. 2015, 25, 6650–6659. [Google Scholar] [CrossRef]
- Zhang, W.; Ding, S.; Zhuang, W.; Wu, D.; Liu, P.; Qu, X.; Liu, H.; Yang, H.; Wu, Z.; Wang, K.; et al. InP/ZnS/ZnS Core/Shell Blue Quantum Dots for Efficient Light-Emitting Diodes. Adv. Funct. Mater. 2020, 30, 2005303. [Google Scholar] [CrossRef]
- Li, X.; Chen, Y.; Tao, Y.; Shen, L.; Xu, Z.; Bian, Z.; Li, H. Challenges of photocatalysis and their coping strategies. Chem Catal. 2022, 2, 1315–1345. [Google Scholar] [CrossRef]
- Xu, Q.; Zhang, L.; Cheng, B.; Fan, J.; Yu, J. S-Scheme Heterojunction Photocatalyst. Chem 2020, 6, 1543–1559. [Google Scholar] [CrossRef]
- Wu, K.; Lian, T. Quantum confined colloidal nanorod heterostructures for solar-to-fuel conversion. Chem. Soc. Rev. 2016, 45, 3781–3810. [Google Scholar] [CrossRef]
- Ahmad, I.; Zou, Y.; Yan, J.; Liu, Y.; Shukrullah, S.; Naz, M.Y.; Hussain, H.; Khan, W.Q.; Khalid, N.R. Semiconductor photocatalysts: A critical review highlighting the various strategies to boost the photocatalytic performances for diverse applications. Adv. Colloid Interface Sci. 2023, 311, 102830–102852. [Google Scholar] [CrossRef]
- Liu, K.; Zhang, B.; Zhang, J.; Lin, W.; Wang, J.; Xu, Y.; Xiang, Y.; Hisatomi, T.; Domen, K.; Ma, G. Synthesis of Narrow-Band-Gap GaN:ZnO Solid Solution for Photocatalytic Overall Water Splitting. ACS Catal. 2022, 12, 14637–14646. [Google Scholar] [CrossRef]
- Hinterding, S.O.M.; Salzmann, B.B.V.; Vonk, S.J.W.; Vanmaekelbergh, D.; Weckhuysen, B.M.; Hutter, E.M.; Rabouw, F.T. Single Trap States in Single CdSe Nanoplatelets. ACS Nano 2021, 15, 7216–7225. [Google Scholar] [CrossRef]
- Wang, T.; Xu, L.; Cui, J.; Wu, J.; Li, Z.; Wu, Y.; Tian, B.; Tian, Y. Enhanced Charge Separation for Efficient Photocatalytic H2 Production by Long-Lived Trap-State-Induced Interfacial Charge Transfer. Nano Lett. 2022, 22, 6664–6670. [Google Scholar] [CrossRef]
- Long, Z.; Yang, G.; Shao, R.; Chen, Z.; Liu, Y.; Liu, R.; Zhong, H. The Strain Effects and Interfacial Defects of Large ZnSe/ZnS Core/Shell Nanocrystals. Small 2023, 20, 2306602–2306610. [Google Scholar] [CrossRef]
- Huang, R.-J.; Qin, Z.-K.; Shen, L.-L.; Lv, G.; Tao, F.; Wang, J.; Gao, Y.-J. Interface engineering of InP/ZnS core/shell quantum dots by the buffer monolayer for exceptional photocatalytic H2 evolution. J. Mater. Chem. A 2023, 11, 6217–6225. [Google Scholar] [CrossRef]
- Jin, N.; Sun, Y.; Shi, W.; Wang, P.; Nagaoka, Y.; Cai, T.; Wu, R.; Dube, L.; Nyiera, H.N.; Liu, Y.; et al. Type-I CdS/ZnS Core/Shell Quantum Dot-Gold Heterostructural Nanocrystals for Enhanced Photocatalytic Hydrogen Generation. J. Am. Chem. Soc. 2023, 145, 21886–21896. [Google Scholar] [CrossRef]
- Kang, C.; Prodanov, M.F.; Gao, Y.; Mallem, K.; Yuan, Z.; Vashchenko, V.V.; Srivastava, A.K. Quantum-Rod On-Chip LEDs for Display Backlights with Efficacy of 149 lm W−1: A Step toward 200 lm W−1. Adv. Mater. 2021, 33, 2104685–2104694. [Google Scholar] [CrossRef]
- Jawhar, N.N.; Soheyli, E.; Yazici, A.F.; Mutlugun, E.; Sahraei, R. Preparation of highly emissive and reproducible Cu–In–S/ZnS core/shell quantum dots with a mid-gap emission character. J. Alloys Compd. 2020, 824, 153906–153915. [Google Scholar] [CrossRef]
- Weigert, F.; Müller, A.; Häusler, I.; Geißler, D.; Skroblin, D.; Krumrey, M.; Unger, W.; Radnik, J.; Resch-Genger, U. Combining HR-TEM and XPS to elucidate the core–shell structure of ultrabright CdSe/CdS semiconductor quantum dots. Sci. Rep. 2020, 10, 20712–20725. [Google Scholar] [CrossRef]
- Song, J.; Jiang, T.; Guo, T.; Liu, L.; Wang, H.; Xia, T.; Zhang, W.; Ye, X.; Yang, M.; Zhu, L.; et al. Facile Synthesis of Water-Soluble Zn-Doped AgIn5S8/ZnS Core/Shell Fluorescent Nanocrystals and Their Biological Application. Inorg. Chem. 2015, 54, 1627–1633. [Google Scholar] [CrossRef]
- Chen, S.; Ahmadiantehrani, M.; Zhao, J.; Zhu, S.; Mamalis, A.G.; Zhu, X. Heat-up synthesis of Ag–In–S and Ag–In–S/ZnS nanocrystals: Effect of indium precursors on their optical properties. J. Alloys Compd. 2016, 665, 137–143. [Google Scholar] [CrossRef]
- Dai, J.; Zhang, X. Chemical Regulation of Fluorescence Lifetime. Chem. Biomed. Imaging 2023, 1, 796–816. [Google Scholar] [CrossRef]
- Wang, Y.; Nie, Z.; Wang, F. Modulation of photocarrier relaxation dynamics in two-dimensional semiconductors. Light Sci. Appl. 2020, 9, 192–207. [Google Scholar] [CrossRef] [PubMed]
- May, B.M.; Bambo, M.F.; Hosseini, S.S.; Sidwaba, U.; Nxumalo, E.N.; Mishra, A.K. A review on I–III–VI ternary quantum dots for fluorescence detection of heavy metals ions in water: Optical properties, synthesis and application. RSC Adv. 2022, 12, 11216–11232. [Google Scholar] [CrossRef]
- Deng, B.; Yang, Y.; Khan, A.U.; Chen, Q.; Wang, X.; Ren, T.; Li, J.; Liu, Y.; Li, L.; Mao, B. In Situ Preparation of 0D/2D Zn-Ag-In-S Quantum Dots/RGO Heterojunctions for Efficient Photocatalytic Hydrogen Production. Catalysts 2023, 13, 1471. [Google Scholar] [CrossRef]
- Wang, W.; Li, B.; Yang, H.-J.; Liu, Y.; Gurusamy, L.; Karuppasamy, L.; Wu, J.J. Photocatalytic Hydrogen Evolution from Water Splitting Using Core-Shell Structured Cu/ZnS/COF Composites. Nanomaterials 2021, 11, 3380. [Google Scholar] [CrossRef] [PubMed]
- Su, J.; Zhang, T.; Wang, L.; Shi, J.; Chen, Y. Surface treatment effect on the photocatalytic hydrogen generation of CdS/ZnS core-shell microstructures. Chin. J. Catal. 2017, 38, 489–497. [Google Scholar] [CrossRef]
- Liu, X.; Zhang, Y.; Matsushima, S.; Sugiyama, T.; Hojo, H.; Einaga, H. Rational Design of Cu-Doped ZnS Nanospheres for Photocatalytic Evolution of H2 with Visible Light. ACS Appl. Energy Mater. 2022, 5, 1849–1857. [Google Scholar] [CrossRef]
- Xu, X.; Zhang, J.; Wang, S.; Yao, Z.; Wu, H.; Shi, L.; Yin, Y.; Wang, S.; Sun, H. Photocatalytic reforming of biomass for hydrogen production over ZnS nanoparticles modified carbon nitride nanosheets. J. Colloid Interface Sci. 2019, 555, 22–30. [Google Scholar] [CrossRef] [PubMed]
- Kang, H.; Kim, J.H. Utilization of a ZnS(en)0.5 photocatalyst hybridized with a CdS component for solar energy conversion to hydrogen. Adv. Powder Technol. 2017, 28, 2438–2444. [Google Scholar] [CrossRef]
- Zhang, S.; Ou, X.; Xiang, Q.; Carabineiro, S.A.C.; Fan, J.; Lv, K. Research progress in metal sulfides for photocatalysis: From activity to stability. Chemosphere 2022, 303, 135085. [Google Scholar] [CrossRef]
- Caudillo-Flores, U.; Fuentes-Moyado, S.; Alonso-Núñez, G.; Barba-Nieto, I.; Fernández-García, M.; Kubacka, A. Pd-Sn promoted NbOx/TiO2 catalysts for hydrogen photoproduction: Effect of Pd-Sn interaction on charge handling and reaction mechanism. Chem. Eng. J. 2023, 457, 141134. [Google Scholar] [CrossRef]
- Caudillo-Flores, U.; Fuentes-Moyado, S.; Fernández-García, M.; Kubacka, A. Effect of niobium on the performance of Pd-TiO2 photocatalysts for hydrogen production. Catal. Today 2023, 419, 114147. [Google Scholar] [CrossRef]





| ZAIS | ZAIS/ZnS-1.25% | ZAIS/ZnS-7.50% | |
|---|---|---|---|
| A1/% | 36.10 | 43.81 | 54.87 |
| τ1/ns | 9.95 | 9.90 | 77.59 |
| A2/% | 63.90 | 56.19 | 45.13 |
| τ2/ns | 238.75 | 316.12 | 602.42 |
| τave/ns | 156.05 | 181.95 | 314.41 |
Disclaimer/Publisher’s Note: The statements, opinions and data contained in all publications are solely those of the individual author(s) and contributor(s) and not of MDPI and/or the editor(s). MDPI and/or the editor(s) disclaim responsibility for any injury to people or property resulting from any ideas, methods, instructions or products referred to in the content. |
© 2024 by the authors. Licensee MDPI, Basel, Switzerland. This article is an open access article distributed under the terms and conditions of the Creative Commons Attribution (CC BY) license (https://creativecommons.org/licenses/by/4.0/).
Share and Cite
Liu, Y.; Wang, X.; Gong, G.; Khan, A.U.; Li, G.; Ren, T.; Chen, Q.; Li, L.; Mao, B. Ultrathin-Shelled Zn-AgIn5S8/ZnS Quantum Dots with Partially Passivated Trap States for Efficient Hydrogen Production. Catalysts 2024, 14, 298. https://doi.org/10.3390/catal14050298
Liu Y, Wang X, Gong G, Khan AU, Li G, Ren T, Chen Q, Li L, Mao B. Ultrathin-Shelled Zn-AgIn5S8/ZnS Quantum Dots with Partially Passivated Trap States for Efficient Hydrogen Production. Catalysts. 2024; 14(5):298. https://doi.org/10.3390/catal14050298
Chicago/Turabian StyleLiu, Yanhong, Xianjin Wang, Guan Gong, Afaq Ullah Khan, Geru Li, Tong Ren, Qitao Chen, Lixia Li, and Baodong Mao. 2024. "Ultrathin-Shelled Zn-AgIn5S8/ZnS Quantum Dots with Partially Passivated Trap States for Efficient Hydrogen Production" Catalysts 14, no. 5: 298. https://doi.org/10.3390/catal14050298
APA StyleLiu, Y., Wang, X., Gong, G., Khan, A. U., Li, G., Ren, T., Chen, Q., Li, L., & Mao, B. (2024). Ultrathin-Shelled Zn-AgIn5S8/ZnS Quantum Dots with Partially Passivated Trap States for Efficient Hydrogen Production. Catalysts, 14(5), 298. https://doi.org/10.3390/catal14050298

