Study of Chiral Center Effect on CaLB-Catalyzed Hydrolysis of (±)-1-(Acetoxymethyl)-3, 4, 5-methylpyrrolidin-2-ones
Abstract
1. Introduction
2. Results and Discussion
2.1. γ-Lactams Syntheses
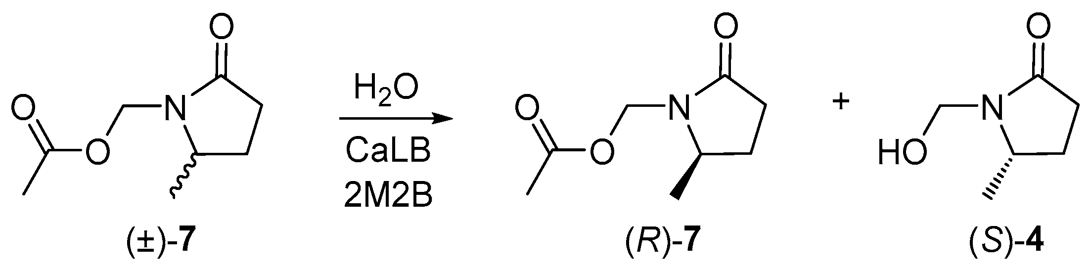
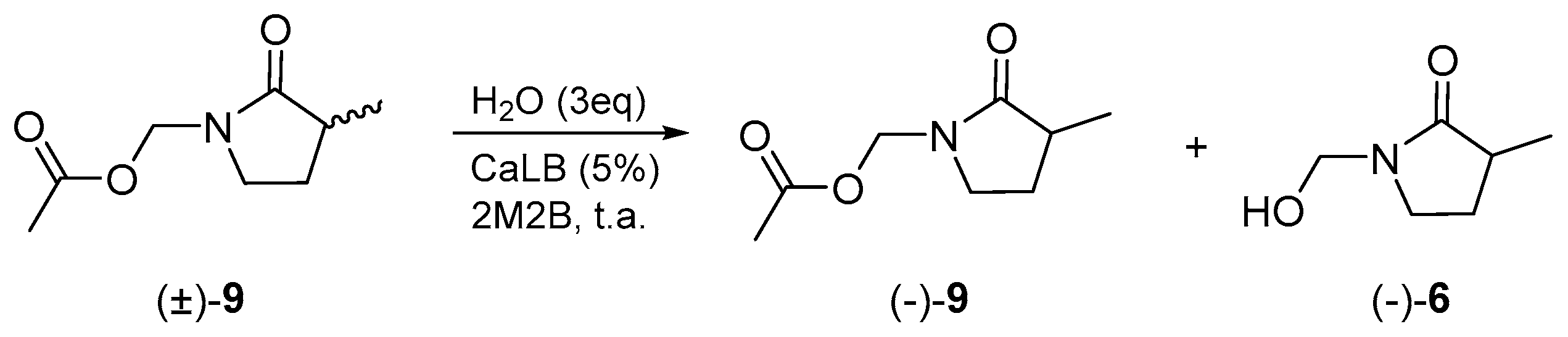
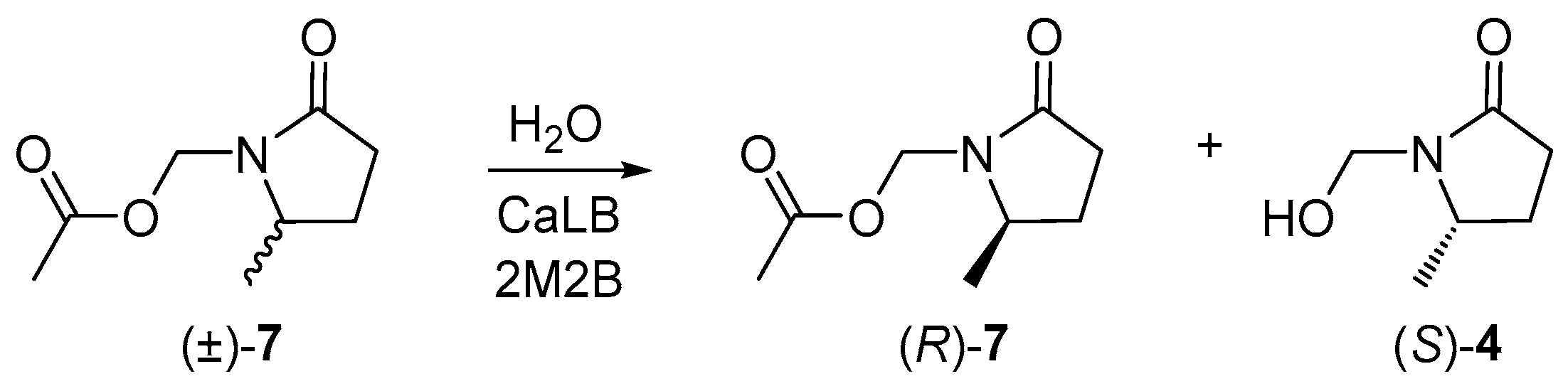
2.2. Enzymatic Resolution of γ-Lactams (±)-7-9
3. Materials and Methods
4. Conclusions
Supplementary Materials
Author Contributions
Funding
Data Availability Statement
Acknowledgments
Conflicts of Interest
References
- Fenteany, G.; Standaert, R.F.; Lane, W.S.; Choi, S.; Corey, E.J.; Schreiber, S.L. Inhibition of proteasome activities and subunit-specific amino-terminal threonine modification by lactacystin. Science 1995, 268, 726–731. [Google Scholar] [CrossRef] [PubMed]
- Zhu, J.; Mix, E.; Winblad, B. The antidepressant and antiinflammatory effects of rolipram in the central nervous system. CNS Drug Rev. 2001, 7, 387–398. [Google Scholar] [CrossRef] [PubMed]
- Lunsford, C.D.; Cale, A.D.; Ward, J.W.; Franko, B.V.; Jenkins, H. 4-(β-Substituted ethyl)-3,3-diphenyl-2-pyrrolidinones. A New Series of CNS Stimulants. J. Med. Chem. 1964, 7, 302–310. [Google Scholar] [CrossRef] [PubMed]
- Akram, M.; Asif, H.M.; Uzair, M.; Akhtar, N.; Madni, A.; Ali-Shah, S.M.; Hasan, Z.; Ullah, A. Amino acids: A review article. J. Med. Plants Res. 2011, 5, 3997–4000. [Google Scholar]
- Kozhuharova, P.; Diaconescu, A.O.; Allen, P. Reduced cortical GABA and glutamate in high schizotypy. Psychopharmacology 2021, 238, 2459–2470. [Google Scholar] [CrossRef]
- Edden, R.A.E.; Crocetti, D.; Zhu, H.; Gilbert, D.L.; Mostofsky, S.H. Reduced GABA Concentration in Attention-Deficit/Hyperactivity Disorder. Arch. Gen. Psychiatry 2012, 69, 750–753. [Google Scholar] [CrossRef]
- Sarawagi, A.; Soni, N.D.; Patel, A.B. Glutamate and GABA homeostasis and neurometabolism in major depressive disorder. Front. Psychiatry 2021, 12, 637863. [Google Scholar] [CrossRef]
- Lauria-Horner, B.A.; Pohl, R.B. Pregabalin: A new anxiolytic. Expert Opin. Investig. Drugs 2003, 12, 663–672. [Google Scholar] [CrossRef]
- Ramesh, P.; Suman, D.; Reddy, K.S.N. Asymmetric Synthetic Strategies of (R)-Baclofen: An Antispastic Drug. Synthesis 2018, 50, 211–226. [Google Scholar] [CrossRef]
- Rivas, F.; Ling, T. Advanceds toward the Synthesis of Functionalized y-Lactams. Org. Prep. Proced. Int. 2016, 48, 254–295. [Google Scholar] [CrossRef]
- Zhang, T.; Nishiura, Y.; Cusumano, A.Q.; Stoltz, B.M. Palladium-Catalyzed Asymmetric Conjugate Addition of Arylboronic Acids to α,β-Unsaturated Lactams: Enantioselective Construction of All-Carbon Quaternary Stereocenters in Saturated Nitrogen-Containing Heterocycles. Org. Lett. 2023, 23, 6479–6484. [Google Scholar] [CrossRef] [PubMed]
- Lang, Q.; Gu, G.; Cheng, Y.; Yin, Q.; Zhang, X. Highly Enantioselective Synthesis of Chiral γ-Lactams by Rh-Catalyzed Asymmetric Hydrogenation. ACS Catal. 2018, 8, 4824–4828. [Google Scholar] [CrossRef]
- Shi, Y.; Tan, X.; Gao, S.; Zhang, Y.; Wang, J.; Zhang, X.; Yin, Q. Direct Synthesis of Chiral NH Lactams via Ru-Catalyzed Asymmetric Reductive Amination/Cyclization Cascade of Keto Acids/Esters. Org. Lett. 2020, 22, 2707–2713. [Google Scholar] [CrossRef]
- Sukhanova, A.A.; Nelyubina, Y.V.; Zlotin, S.G. Asymmetric synthesis of 3-prenyl-substituted pyrrolidin-2-ones. Mendeleev Commun. 2016, 26, 471–473. [Google Scholar] [CrossRef]
- Ates, C.; Lurquin, F.; Quesnel, Y.; Schule, A. 4-Substituted Pyrrolidin-2-ones and Their Use. WO 2007/031263 A1, 22 March 2007. [Google Scholar]
- Fuchs, C.S.; Farnberger, J.E.; Steinkellner, G.; Sattler, J.H.; Pickl, M.; Simon, R.C.; Zepeck, F.; Gruber, K.; Kroutil, W. Asymmetric Amination of α-Chiral Aliphatic Aldehydes via Dynamic Kinetic Resolution to Acces Stereocomplementary Brivaracetam and Pregabalin Precursors. Adv. Synth. Catal. 2018, 360, 768–778. [Google Scholar] [CrossRef]
- Jouglet, B.; Rousseau, G. Enzymic resolution of N-Hydroxymethyl γ-Butyrolactams. An Access to optically active γ-Butyrolactams. Tetrahedron Lett. 1993, 34, 2307–2310. [Google Scholar] [CrossRef]
- Galla, Z.; Forró, E.; Fülöp, F. Enhanced enzymatic synthesis of the enantiopure intermediate for the blockbuster drug intermediate abacavir through a two-step enzymatic cascade reaction. Tetrahedron Asymm. 2016, 27, 729–731. [Google Scholar] [CrossRef]
- Evans, C.; McCague, R.; Roberts, S.M.; Sutherland, A.G. Synthesis of Either Enantiomer of cis-3-Aminocyclopebtanecarboxylic Acid from Both Enantiomers of Racemic 2-Azabicyclo[2.2.1]hept-5-en-3-one. J. Chem. Soc. Perkin Trans. 1 1991, 656–657. [Google Scholar] [CrossRef]
- Ortiz, C.; Ferreira, M.L.; Barbosa, O.; dos Santos, J.C.; Rodrigues, R.C.; Berenguer-Murcia, A.; Briand, L.E.; Fernandez-Lafuente, R. Novozym 435: The “perfect” lipase immobilized biocatalyst? Catal. Sci. Technol. 2019, 9, 2380–2420. [Google Scholar] [CrossRef]
- Escalante, J.; Díaz-Coutiño, F.D. Synthesis of γ-Nitro Aliphatic Methyl Esters Via Michael Additions Promoted by Microwave Irradiation. Molecules 2009, 14, 1595–1604. [Google Scholar] [CrossRef]
- Martelli, G.; Cirillo, M.; Giraldi, V.; Giacomini, D. Chemoenzymatic enantioselective route to get (+) and (−) 4-acetoxy-azetidin-2-one by lipase-catalysed kinetic resolution and their applications. Bioorg. Chem. 2022, 120, 105580. [Google Scholar] [CrossRef]
- Spartan’14; Wavefunction, Inc.: Irvine, CA, USA, 2014.
- Becke, A.D. Density-functional thermochemistry. III. The role of exact exchange. J. Chem. Phys. 1993, 98, 5648. [Google Scholar] [CrossRef]
- Lee, C.; Yang, W.; Parr, R.G. Development of the Colle-Salvetti correlation-energy formula into a functional of the electron density. Phys. Rev. B 1988, 37, 785. [Google Scholar] [CrossRef] [PubMed]
- Thomsen, R.; Christensen, M.H. MolDock: A new Technique for High-Accuracy Molecular Docking. J. Med. Chem. 2006, 49, 3315–3321. [Google Scholar] [CrossRef] [PubMed]
- Uppenberg, J.; Öhrner, N.; Norin, M.; Hult, K.; Kleywegt, G.J.; Patkar, S.; Waagen, V.; Anthonsen, T.; Jones, T.A. Crystallographic and Molecular-Modeling Studies of Lipase B from Candida antarctica Reveal a Stereospecificity Pocket for Secondary Alcohols. Biochemistry 1995, 34, 16838–16851. [Google Scholar] [CrossRef]
- BIOVIA, Dassault Systèmes. Discovery Studio Visualizer, Discovery Studio 2019 Client; Dassault Systèmes: San Diego, CA, USA, 2019. [Google Scholar]
- Díaz-Coutiño, F.D.; Escalante, J. Efficient ‘One Pot’ Nitro Reduction-Protection of γ-Nitro Aliphatic Methyl Esters. J. Mex. Chem. Soc. 2009, 53, 93–95. [Google Scholar] [CrossRef]
- Brenner, M.; Seebach, D. Enantioselective Preparation of γ-Amino Acids and γ-Lactams from Nitro Olefins and Carboxylic Acids, with the Valine-Derived 4-Isopropyl-5,5-diphenyl-1,3-oxazolidin-2-one as an Auxiliary. Helv. Chim. Acta 1999, 82, 2365–2379. [Google Scholar] [CrossRef]











| Entry | CaLB | H2O (eq) | Temp (°C) | Time (h) | NMR Conversion 1 | (S-)-4 (%) | e.e 2 | E 3 |
|---|---|---|---|---|---|---|---|---|
| 1 | 5% | 3 | 40 | 2 | 25 | 30 | 74 | 8 |
| 2 | 5% | 3 | 40 | 4 | 44 | 48 | 81 | 18 |
| 3 | 10% | 3 | 40 | 2 | 40 | 40 | 82 | 17 |
| 4 | 5% | 3 | 27 | 4 | 32 | 33 | 86 | 20 |
| 5 | 5% | 1.5 | 27 | 4 | 29 | 29 | 85 | 17 |
| Entry | Time (h) | NMR Conversion 1 | (±)-8 (%) | (±)-5 (%) | e.e 2 | E 3 |
|---|---|---|---|---|---|---|
| 1 | 1 | 37 | 60 | 36 | 1 | 1 |
| 2 | 1.17 | 42 | 55 | 40 | 1 | 1 |
| 3 | 1.34 | 62 | 37 | 60 | 0.4 | 1 |
| Entry | Time (h) | NMR Conversion 1 | (-)-9 (%) | (-)-6 (%) | e.e 2 | E 3 |
|---|---|---|---|---|---|---|
| 1 | 0.75 | 30 | 68 | 28 | 65 | 6 |
| 2 | 1 | 37 | 61 | 36 | 57 | 1 |
| Lactam | Temp. (°C) | Time (h) | NMR Conversion | Acetoxy- (%) | Hidroxy- (%) | e.e | E |
|---|---|---|---|---|---|---|---|
| γ4 | 27 | 4 | 32 | 67 | 33 | 86 | 20 |
| γ3 | 27 | 1 | 37 | 60 | 36 | 1 | 1 |
| γ2 | 27 | 1 | 30 | 61 | 36 | 65 | 6 |
Disclaimer/Publisher’s Note: The statements, opinions and data contained in all publications are solely those of the individual author(s) and contributor(s) and not of MDPI and/or the editor(s). MDPI and/or the editor(s) disclaim responsibility for any injury to people or property resulting from any ideas, methods, instructions or products referred to in the content. |
© 2024 by the authors. Licensee MDPI, Basel, Switzerland. This article is an open access article distributed under the terms and conditions of the Creative Commons Attribution (CC BY) license (https://creativecommons.org/licenses/by/4.0/).
Share and Cite
Hernández-Vázquez, L.G.; Sánchez-Muñoz, G.K.; Escalante, J. Study of Chiral Center Effect on CaLB-Catalyzed Hydrolysis of (±)-1-(Acetoxymethyl)-3, 4, 5-methylpyrrolidin-2-ones. Catalysts 2024, 14, 861. https://doi.org/10.3390/catal14120861
Hernández-Vázquez LG, Sánchez-Muñoz GK, Escalante J. Study of Chiral Center Effect on CaLB-Catalyzed Hydrolysis of (±)-1-(Acetoxymethyl)-3, 4, 5-methylpyrrolidin-2-ones. Catalysts. 2024; 14(12):861. https://doi.org/10.3390/catal14120861
Chicago/Turabian StyleHernández-Vázquez, Luis G., Grecia Katherine Sánchez-Muñoz, and Jaime Escalante. 2024. "Study of Chiral Center Effect on CaLB-Catalyzed Hydrolysis of (±)-1-(Acetoxymethyl)-3, 4, 5-methylpyrrolidin-2-ones" Catalysts 14, no. 12: 861. https://doi.org/10.3390/catal14120861
APA StyleHernández-Vázquez, L. G., Sánchez-Muñoz, G. K., & Escalante, J. (2024). Study of Chiral Center Effect on CaLB-Catalyzed Hydrolysis of (±)-1-(Acetoxymethyl)-3, 4, 5-methylpyrrolidin-2-ones. Catalysts, 14(12), 861. https://doi.org/10.3390/catal14120861

