Effects of Phosphorus Addition on the Hydrophobicity and Catalytic Performance in Methane Combustion of θ-Al2O3 Supported Pd Catalysts
Abstract
1. Introduction
2. Results and Discussion
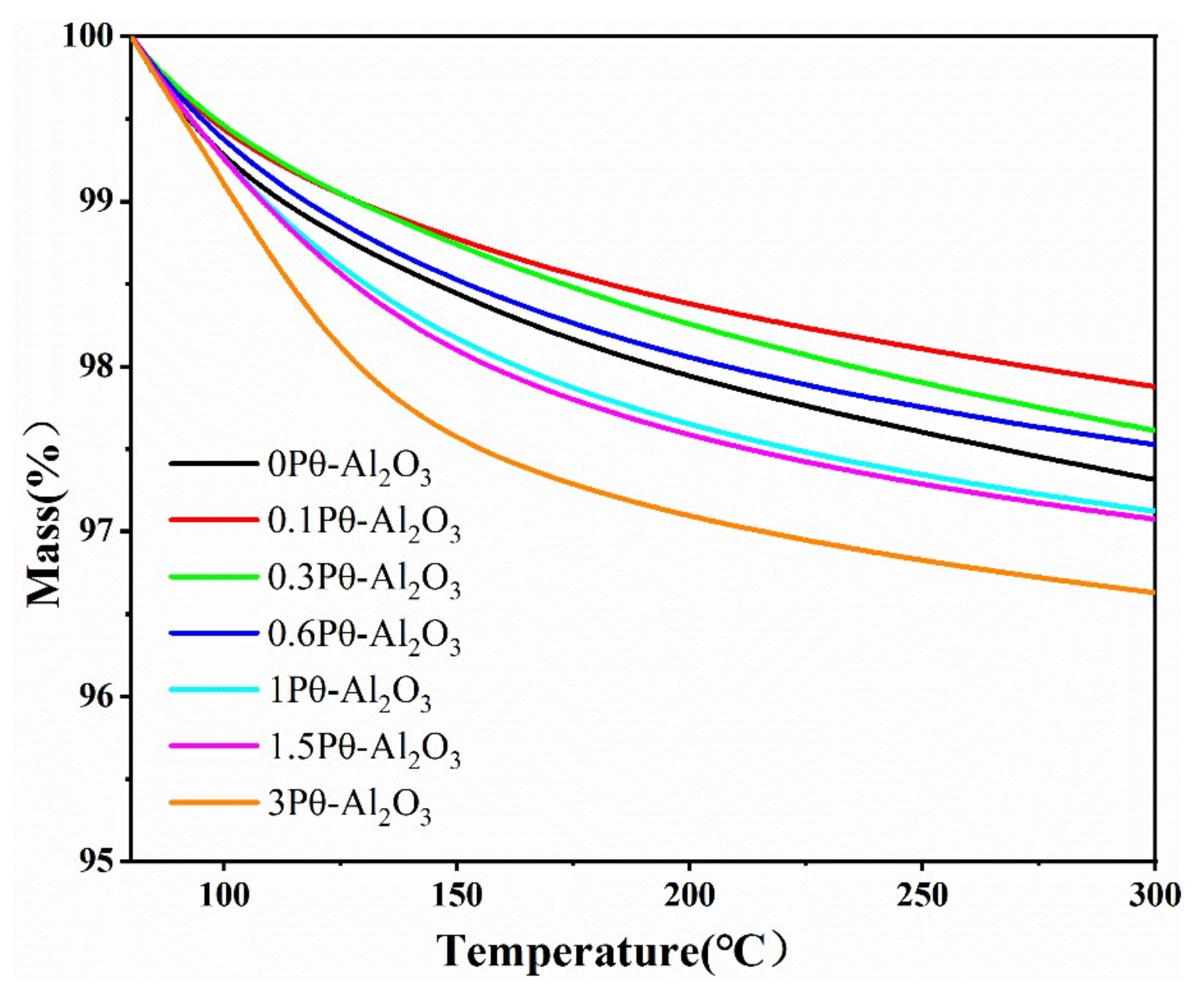
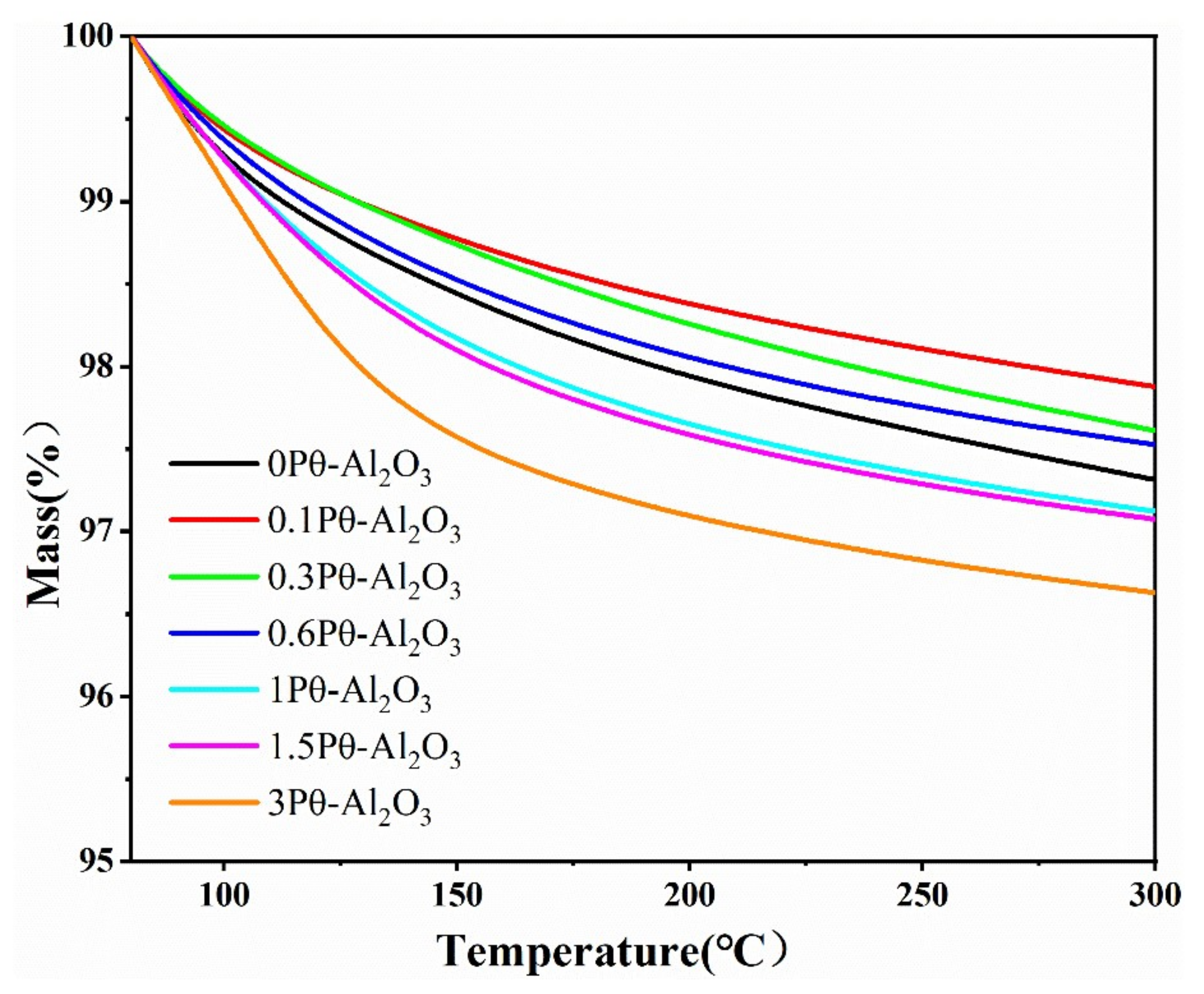
2.1. Characterization of the Supports
2.2. Characterization of Catalysts
3. Materials and Methods
3.1. Catalysts Preparation
3.2. Characterization
3.3. Catalytic Activity Test
4. Conclusions
Supplementary Materials
Author Contributions
Funding
Data Availability Statement
Acknowledgments
Conflicts of Interest
References
- Liu, H.; Zhao, B.; Chen, Y.; Ren, C.; Chen, Y. Rare earths (Ce, Y, Pr) modified Pd/La2O3ZrO2Al2O3 catalysts used in lean-burn natural gas fueled vehicles. J. Rare Earths 2017, 35, 1077–1082. [Google Scholar] [CrossRef]
- Auvray, X.; Lindholm, A.; Milh, M.; Olsson, L. The addition of alkali and alkaline earth metals to Pd/Al2O3 to promote methane combustion. Effect of Pd and Ca loading. Catal. Today 2018, 299, 212–218. [Google Scholar] [CrossRef]
- Mirkelamoglu, B.; Ozkan, U.S. Effect of water vapor on the activity and stability of Pd/SZ and Co/ZrO2 in dual-catalyst treatment of simulated exhaust from lean-burn natural gas engines. Appl. Catal. B Environ. 2010, 96, 421–433. [Google Scholar] [CrossRef]
- Hutter, R.; De Libero, L.; Elbert, P.; Onder, C.H. Catalytic methane oxidation in the exhaust gas aftertreatment of a lean-burn natural gas engine. Chem. Eng. J. 2018, 349, 156–167. [Google Scholar] [CrossRef]
- Hong, E.; Kim, C.; Lim, D.-H.; Cho, H.-J.; Shin, C.-H. Catalytic methane combustion over Pd/ZrO2 catalysts: Effects of crystalline structure and textural properties. Appl. Catal. B Environ. 2018, 232, 544–552. [Google Scholar] [CrossRef]
- Mowery, D.L.; Graboski, M.S.; Ohno, T.R.; McCormick, R.L. Deactivation of PdO-Al2O3 oxidation catalyst in lean-burn natural gas engine exhaust: Aged catalyst characterization and studies of poisoning by H2O and SO2. Appl. Catal. B Environ. 1999, 21, 157–169. [Google Scholar] [CrossRef]
- Fan, C.; Yang, L.; Luo, L.; Wu, Z.W.; Qin, Z.F.; Zhu, H.Q.; Fan, W.B.; Wang, J.G. A highly active Pd/H-ZSM-5 catalyst in lean methane combustion prepared via a sol-gel method and treated by reduction-oxidation. New J. Chem. 2020, 44, 3940–3949. [Google Scholar] [CrossRef]
- Huang, W.; Zhang, X.; Yang, A.-C.; Goodman, E.D.; Kao, K.-C.; Cargnello, M. Enhanced Catalytic Activity for Methane Combustion through in Situ Water Sorption. ACS Catal. 2020, 10, 8157–8167. [Google Scholar] [CrossRef]
- Gholami, R.; Alyani, M.; Smith, K. Deactivation of Pd Catalysts by Water during Low Temperature Methane Oxidation Relevant to Natural Gas Vehicle Converters. Catalysts 2015, 5, 561–594. [Google Scholar] [CrossRef]
- Gao, D.; Wang, S.; Zhang, C.; Yuan, Z.; Wang, S. Methane Combustion over Pd/Al2O3 Catalyst: Effects of Chlorine Ions and Water on Catalytic Activity. Chin. J. Catal. 2008, 29, 1221–1225. [Google Scholar] [CrossRef]
- Ciuparu, D.; Perkins, E.; Pfefferle, L. In situ DR-FTIR investigation of surface hydroxyls on gamma-Al2O3 supported PdO catalysts during methane combustion. Appl. Catal. A Gen. 2004, 263, 145–153. [Google Scholar] [CrossRef]
- Losch, P.; Huang, W.; Vozniuk, O.; Goodman, E.D.; Schmidt, W.; Cargnello, M. Modular Pd/Zeolite Composites Demonstrating the Key Role of Support Hydrophobic/Hydrophilic Character in Methane Catalytic Combustion. ACS Catal. 2019, 9, 4742–4753. [Google Scholar] [CrossRef]
- Cui, Y.; Chen, J.Z.; Peng, B.; Kovarik, L.; Devaraj, A.; Li, Z.; Ma, T.; Wang, Y.; Szanyi, J.; Miller, J.T.; et al. Onset of High Methane Combustion Rates over Supported Palladium Catalysts: From Isolated Pd Cations to PdO Nanoparticles. JACS Au 2021, 1, 396–408. [Google Scholar] [CrossRef]
- Chen, X.; Lin, J.; Zheng, Y.; Zhan, Y.; Zhang, W.; Xiao, Y.; Zheng, Y.; Jiang, L. Catalytic methane oxidation performance over Pd/γ-Al2O3 catalyst optimized by the synergy of phosphorus and MOx (M = La, Ba and Zr). Fuel 2021, 299, 120933. [Google Scholar] [CrossRef]
- Friberg, I.; Sadokhina, N.; Olsson, L. Complete methane oxidation over Ba modified Pd/Al2O3: The effect of water vapor. Appl. Catal. B Environ. 2018, 231, 242–250. [Google Scholar] [CrossRef]
- Zou, X.; Rui, Z.; Song, S.; Ji, H. Enhanced methane combustion performance over NiAl2O4-interface-promoted Pd/γ-Al2O3. J. Catal. 2016, 338, 192–201. [Google Scholar] [CrossRef]
- Shen, J.; Hayes, R.E.; Wu, X.; Semagina, N. 100° Temperature Reduction of Wet Methane Combustion: Highly Active Pd–Ni/Al2O3 Catalyst versus Pd/NiAl2O4. ACS Catal. 2015, 5, 2916–2920. [Google Scholar] [CrossRef]
- Wang, J.; Wang, Y.; Wen, J.; Shen, M.; Wang, W. Effect of phosphorus introduction strategy on the surface texture and structure of modified alumina. Microporous Mesoporous Mater. 2009, 121, 208–218. [Google Scholar] [CrossRef]
- Li, A.; Wang, Y.-H.; Ren, J.; Zhang, J.-L.; Li, W.; Guo, C.-L. Enhanced catalytic activity and stability over P-modified alumina supported Pd for anthraquinone hydrogenation. Appl. Catal. A Gen. 2020, 593, 117422. [Google Scholar] [CrossRef]
- Murata, K.; Ohyama, J.; Yamamoto, Y.; Arai, S.; Satsuma, A. Methane Combustion over Pd/Al2O3 Catalysts in the Presence of Water: Effects of Pd Particle Size and Alumina Crystalline Phase. ACS Catal. 2020, 10, 8149–8156. [Google Scholar] [CrossRef]
- Wang, J.; Bokhimi, X.; Morales, A.; Novaro, O.; Lopez, T.; Gomez, R. Aluminum local environment and defects in the crystalline structure of Sol− Gel alumina catalyst. J. Phys. Chem. B 1999, 103, 299–303. [Google Scholar] [CrossRef]
- Chen, X.; Zheng, Y.; Huang, F.; Xiao, Y.; Cai, G.; Zhang, Y.; Zheng, Y.; Jiang, L. Catalytic Activity and Stability over Nanorod-Like Ordered Mesoporous Phosphorus-Doped Alumina Supported Palladium Catalysts for Methane Combustion. ACS Catal. 2018, 8, 11016–11028. [Google Scholar] [CrossRef]
- Keshavarz, A.R.; Rezaei, M.; Yaripour, F. Preparation of nanocrystalline γ-Al2O3 catalyst using different procedures for methanol dehydration to dimethyl ether. J. Nat. Gas Chem. 2011, 20, 334–338. [Google Scholar] [CrossRef]
- Wang, D.; Jangjou, Y.; Liu, Y.; Sharma, M.K.; Luo, J.; Li, J.; Kamasamudram, K.; Epling, W.S. A comparison of hydrothermal aging effects on NH3-SCR of NOx over Cu-SSZ-13 and Cu-SAPO-34 catalysts. Appl. Catal. B Environ. 2015, 165, 438–445. [Google Scholar] [CrossRef]
- Klimov, O.; Nadeina, K.; Vatutina, Y.V.; Stolyarova, E.; Danilova, I.; Gerasimov, E.Y.; Prosvirin, I.; Noskov, A. CoMo/Al2O3 hydrotreating catalysts of diesel fuel with improved hydrodenitrogenation activity. Catal. Today 2018, 307, 73–83. [Google Scholar] [CrossRef]
- Persson, P.; Nilsson, N.; Sjöberg, S. Structure and bonding of orthophosphate ions at the iron oxide–aqueous interface. J. Colloid Interface Sci. 1996, 177, 263–275. [Google Scholar] [CrossRef] [PubMed]
- Dong, J.; Wang, J.; Wang, J.; Yang, M.; Li, W.; Shen, M. Enhanced thermal stability of palladium oxidation catalysts using phosphate-modified alumina supports. Catal. Sci. Technol. 2017, 7, 5038–5048. [Google Scholar] [CrossRef]
- Sigurdson, S.; Sundaramurthy, V.; Dalai, A.; Adjaye, J. Phosphorus promoted trimetallic NiMoW/γ-Al2O3 sulfide catalysts in gas oil hydrotreating. J. Mol. Catal. A Chem. 2008, 291, 30–37. [Google Scholar] [CrossRef]
- Puziy, A.; Poddubnaya, O.; Ziatdinov, A. On the chemical structure of phosphorus compounds in phosphoric acid-activated carbon. Appl. Surf. Sci. 2006, 252, 8036–8038. [Google Scholar] [CrossRef]
- Fitz, C.W., Jr.; Rase, H.F. Effects of phosphorus on nickel-molybdenum hydrodesulfurization/hydrodenitrogenation catalysts of varying metals content. Ind. Eng. Chem. Prod. Res. Dev. 1983, 22, 40–44. [Google Scholar] [CrossRef]
- Kikuchi, R.; Maeda, S.; Sasaki, K.; Wennerström, S.; Eguchi, K. Low-temperature methane oxidation over oxide-supported Pd catalysts: Inhibitory effect of water vapor. Appl. Catal. A Gen. 2002, 232, 23–28. [Google Scholar] [CrossRef]
- Persson, K.; Pfefferle, L.D.; Schwartz, W.; Ersson, A.; Järås, S.G. Stability of palladium-based catalysts during catalytic combustion of methane: The influence of water. Appl. Catal. B Environ. 2007, 74, 242–250. [Google Scholar] [CrossRef]
- Friberg, I.; Sadokhina, N.; Olsson, L. The effect of Si/Al ratio of zeolite supported Pd for complete CH4 oxidation in the presence of water vapor and SO2. Appl. Catal. B Environ. 2019, 250, 117–131. [Google Scholar] [CrossRef]
- Bunting, R.J.; Cheng, X.; Thompson, J.; Hu, P. Amorphous Surface PdOX and Its Activity toward Methane Combustion. ACS Catal. 2019, 9, 10317–10323. [Google Scholar] [CrossRef]
- Stotz, H.; Maier, L.; Boubnov, A.; Gremminger, A.T.; Grunwaldt, J.D.; Deutschmann, O. Surface reaction kinetics of methane oxidation over PdO. J. Catal. 2019, 370, 152–175. [Google Scholar] [CrossRef]










| Samples | T50/°C | ∆T50/°C | |
|---|---|---|---|
| 0%H2O | 8%H2O | ||
| Pd/θAl2O3 | 328 | 455 | 127 |
| Pd/0.1Pθ-Al2O3 | 320 | 428 | 108 |
| Pd/0.3Pθ-Al2O3 | 326 | 431 | 105 |
| Pd/0.6Pθ-Al2O3 | 328 | 449 | 121 |
| Pd/1Pθ-Al2O3 | 330 | 458 | 128 |
| Pd/1.5Pθ-Al2O3 | 341 | 468 | 127 |
| Pd/3Pθ-Al2O3 | 349 | 485 | 136 |
Disclaimer/Publisher’s Note: The statements, opinions and data contained in all publications are solely those of the individual author(s) and contributor(s) and not of MDPI and/or the editor(s). MDPI and/or the editor(s) disclaim responsibility for any injury to people or property resulting from any ideas, methods, instructions or products referred to in the content. |
© 2023 by the authors. Licensee MDPI, Basel, Switzerland. This article is an open access article distributed under the terms and conditions of the Creative Commons Attribution (CC BY) license (https://creativecommons.org/licenses/by/4.0/).
Share and Cite
Xiong, W.; Wang, J.; Wang, Y.; Wang, J.; Wang, C.; Shen, G.; Shen, M. Effects of Phosphorus Addition on the Hydrophobicity and Catalytic Performance in Methane Combustion of θ-Al2O3 Supported Pd Catalysts. Catalysts 2023, 13, 709. https://doi.org/10.3390/catal13040709
Xiong W, Wang J, Wang Y, Wang J, Wang C, Shen G, Shen M. Effects of Phosphorus Addition on the Hydrophobicity and Catalytic Performance in Methane Combustion of θ-Al2O3 Supported Pd Catalysts. Catalysts. 2023; 13(4):709. https://doi.org/10.3390/catal13040709
Chicago/Turabian StyleXiong, Wei, Jun Wang, Yunhao Wang, Jianqiang Wang, Chen Wang, Gurong Shen, and Meiqing Shen. 2023. "Effects of Phosphorus Addition on the Hydrophobicity and Catalytic Performance in Methane Combustion of θ-Al2O3 Supported Pd Catalysts" Catalysts 13, no. 4: 709. https://doi.org/10.3390/catal13040709
APA StyleXiong, W., Wang, J., Wang, Y., Wang, J., Wang, C., Shen, G., & Shen, M. (2023). Effects of Phosphorus Addition on the Hydrophobicity and Catalytic Performance in Methane Combustion of θ-Al2O3 Supported Pd Catalysts. Catalysts, 13(4), 709. https://doi.org/10.3390/catal13040709

