Xylene and n-Hexane Adsorption Performance of a Waste Methanol-to-Propylene Catalyst under Acid-Base Treatment
Abstract
:1. Introduction
2. Results and Discussion
2.1. XRD Characterization of the Adsorbent Products
2.2. XRF Analysis
2.3. Specific Surface Area and Pore Structure Parameters
2.4. FT-IR Characterization
2.5. SEM Characterization
2.6. 27Al MAS-NMR Analysis
2.7. Adsorption Performance of Waste Catalyst under Acid Treatment
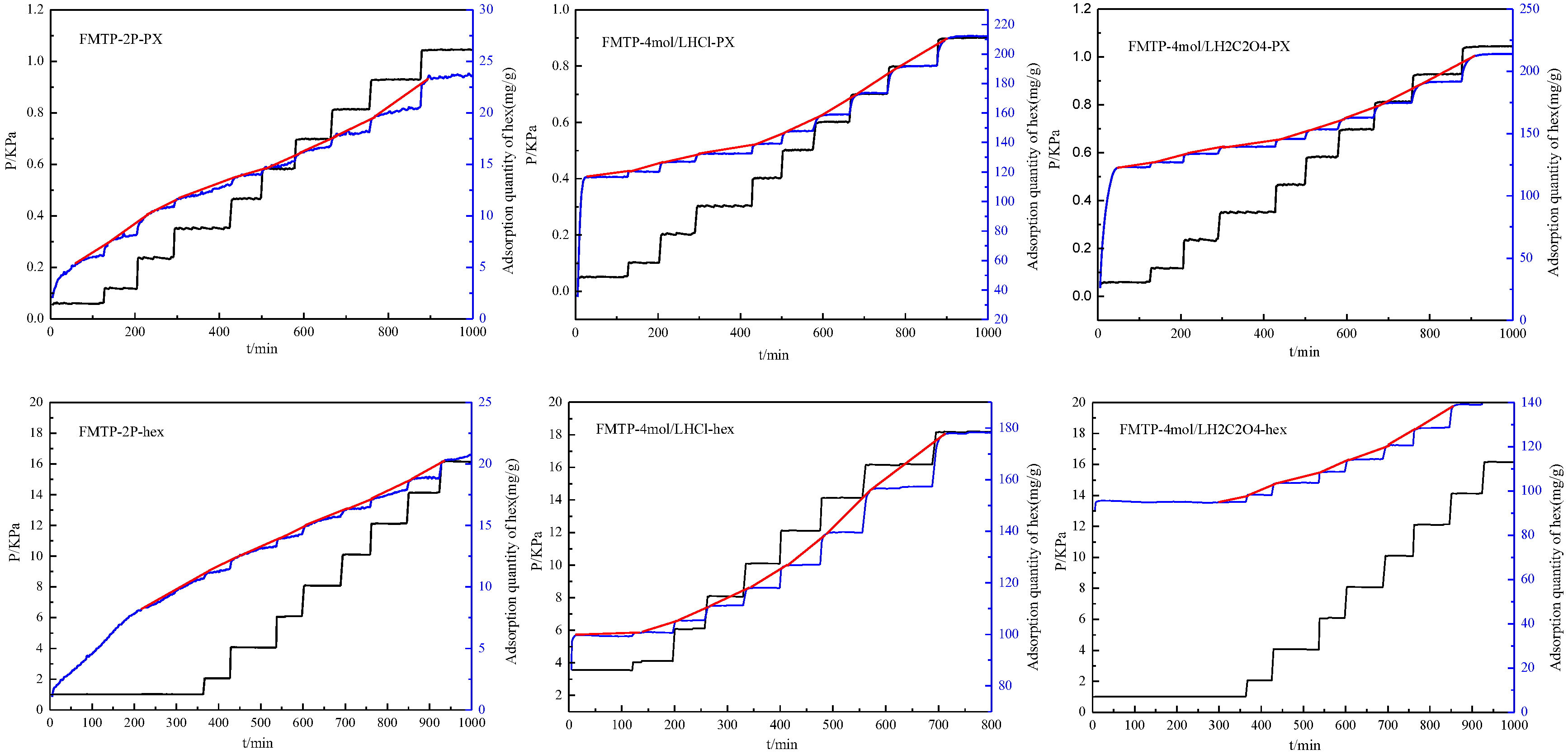
2.8. Change in the Adsorption Rate of Acid-Treated Spent Catalysts under Different Pressures
2.9. Adsorption Performance of Waste Catalyst Subjected to Acid-Base Combined Treatment
3. Preparation of a VOC Adsorbent from Waste MTP Catalyst
3.1. Raw Materials
3.2. Preparation of Adsorbent
3.3. Analysis and Characterization Methods
4. Conclusions
Author Contributions
Funding
Conflicts of Interest
References
- Wei, Y.; Parmentier, T.E.; De Jong, K.P.; Zečević, J. Tailoring and visualizing the pore architecture of hierarchical zeolites. Chem. Soc. Rev. 2015, 44, 7234–7261. [Google Scholar] [CrossRef]
- Betke, U.; Lieb, A. Micro-macroporous composite materials – Preparation techniques and selected applications: A review. Adv. Eng. Mater. 2018, 20, 1800252. [Google Scholar] [CrossRef]
- Srivastava, R. Synthesis and applications of ordered and disordered mesoporous zeolites: Present and future prospective. Catal. Today 2018, 309, 172–188. [Google Scholar] [CrossRef]
- Luo, H.; Law, W.W.; Wu, Y.; Zhu, W.; Yang, E.H. Hydrothermal synthesis of needle-like nanocrystalline zeolites from metakaolin and their applications for efficient removal of organic pollutants and heavy metals. Microporous Mesoporous Mater. 2018, 272, 8–15. [Google Scholar] [CrossRef]
- Cundy, C.S.; Cox, P.A. The hydrothermal synthesis of zeolites: history and development from the earliest days to the present time. Chem. Rev. 2003, 103, 663–702. [Google Scholar] [CrossRef] [PubMed]
- Shi, J.; Wang, Y.; Yang, W.; Tang, Y.; Xie, Z. Recent advances of pore system construction in zeolite-catalyzed chemical industry processes. Chem. Soc. Rev. 2015, 44, 8877–8903. [Google Scholar] [CrossRef] [PubMed]
- Bayat, M.; Javanbakht, V.; Esmaili, J. Synthesis of zeolite/nickel ferrite/sodium alginate bionanocomposite via a co-precipitation technique for efficient removal of water-soluble methylene blue dye. Int. J. Biol. Macromol. 2018, 116, 607–619. [Google Scholar] [CrossRef]
- Burakov, A.E.; Galunin, E.V.; Burakova, I.V.; Kucherova, A.E.; Agarwal, S.; Tkachev, A.G.; Gupta, V.K. Adsorption of heavy metals on conventional and nanostructured materials for wastewater treatment purposes: A review. Ecotoxicol. Environ. Saf. 2018, 148, 702–712. [Google Scholar] [CrossRef]
- Zhang, S.; Gong, Y.; Zhang, L.; Liu, Y.; Dou, T.; Xu, J.; Deng, F. Hydrothermal treatment on ZSM-5 extrudates catalyst for methanol to propylene reaction: Finely tuning the acidic property. Fuel Process. Technol. 2015, 129, 130–138. [Google Scholar] [CrossRef]
- Chen, X.D.; Li, X.G.; Li, H.; Han, J.J.; Xiao, W.D. Interaction between binder and high silica HZSM-5 zeolite for methanol to olefins reactions. Chem. Eng. Sci. 2018, 192, 1081–1090. [Google Scholar] [CrossRef]
- Flores, C.; Batalha, N.; Ordomsky, V.V.; Zholobenko, V.L.; Baaziz, W.; Marcilio, N.R.; Khodakov, A.Y. Direct production of iso-paraffins from syngas over hierarchical cobalt-ZSM-5 nanocomposites synthetized by using carbon nanotubes as sacrificial templates. ChemCatChem 2018, 10, 2291–2299. [Google Scholar] [CrossRef]
- Hu, Z.; Zhang, H.; Wang, L.; Zhang, H.; Zhang, Y.; Xu, H.; Shen, W.; Tang, Y. Highly stable boron-modified hierarchical nanocrystalline ZSM-5 zeolite for the methanol to propylene reaction. Catal. Sci. Technol. 2014, 4, 2891–2895. [Google Scholar] [CrossRef]
- Yao, L.; Zhou, Y.; Guo, S.; Huangfu, C.; Ma, Y.; Liu, Y.; Yu, Z.; Chen, J.; Jin, K.; Jiang, H.; et al. Comparison of VOCs adsorption performance between Y and ZSM-5 zeolite. Chin. J. Environ. Eng. 2022, 16, 182–189. [Google Scholar]
- Wang, Q.; Yang, Y.; Yu, C.; Huang, H.; Kim, M.; Feng, C.; Zhang, Z. Study on a fixed zeolite bioreactor for anaerobic digestion of ammonium-rich swine wastes. Bioresour. Technol. 2011, 102, 7064–7068. [Google Scholar] [CrossRef]
- Gruszecka-Kosowska, A.; Baran, P.; Wdowin, M.; Franus, W. Waste dolomite powder as an adsorbent of Cd, Pb(II), and Zn from aqueous solutions. Environ. Earth Sci. 2017, 76, 521. [Google Scholar] [CrossRef]
- Zhang, Y.; Dong, J.; Guo, F.; Shao, Z.; Wu, J. Zeolite synthesized from coal fly ash produced by a gasification process for Ni2+ removal from water. Minerals 2018, 8, 116. [Google Scholar] [CrossRef]
- Jiménez-Castañeda, M.E.; Medina, D.I. Use of surfactant-modified zeolites and clays for the removal of heavy metals from water. Water 2017, 9, 235. [Google Scholar] [CrossRef]
- Chen, Y.; Wang, H.; Zhao, W.; Huang, S. Four different kinds of peels as adsorbents for the removal of Cd (II) from aqueous solution: Kinetics, isotherm and mechanism. J. Taiwan Inst. Chem. Eng. 2018, 88, 146–151. [Google Scholar] [CrossRef]
- Jiang, N.; Shang, R.; Heijman SG, J.; Rietveld, L.C. High-silica zeolites for adsorption of organic micro-pollutants in water treatment: A review. Water Res. 2018, 144, 145–161. [Google Scholar] [CrossRef]
- Mohamadi, M.; Salimi, F.; Sadeghi, S. Reduction of oil, COD and turbidity of Kermanshah oil refinery effluent using modified nano-zeolite by bismuth and iron. Desalin. Water Treat. 2017, 97, 151–157. [Google Scholar] [CrossRef]
- Sui, H.; Liu, J.; He, L.; Li, X.; Jani, A. Adsorption and desorption of binary mixture of acetone and ethyl acetate on silica gel. J. Chem. Eng. Sci. 2019, 197, 185–194. [Google Scholar] [CrossRef]
- Gao, J.; Wang, W.; Zhang, J.; Lei, Z.; Shi, D.; Qu, L. Study on synthesis and adsorption performance of hydrophobic ZSM-5 zeolites for removal of toluene in high-humidity exhaust gas. CIESC J. 2020, 71, 337–343. [Google Scholar]
- Arancibia-Miranda, N.; Baltazar, S.E.; García, A.; Muñoz-Lira, D.; Sepúlveda, P.; Rubio, M.A.; Altbir, D. Nanoscale zero valent supported by zeolite and montmorillonite: Template effect of the removal of lead ion from an aqueous solution. J. Hazard. Mater. 2016, 301, 371–380. [Google Scholar] [CrossRef] [PubMed]
- Carrott, M.R.; Russo, P.A.; Carvalhal, C.; Carrott PJ, M.; Marques, J.P.; Lopes, J.M.; Gerner, I.; Guisnet, M.; Ribeiro, F.R. Adsorption of n-pentane and iso-octane for the evaluation of the porosity of dealuminated BEA zeolites. Microporous Mesoporous Mater. 2005, 81, 259–267. [Google Scholar] [CrossRef]
- Caicedo-Realpe, R.; Pérez-Ramírez, J. Mesoporous ZSM-5 zeolites prepared by a two-step route comprising sodium aluminate and acid treatments. Microporous Mesoporous Mater. 2010, 128, 91–100. [Google Scholar] [CrossRef]
- Wei, Z.; Xia, T.; Liu, M.; Cao, Q.; Xu, Y.; Zhu, K.; Zhu, X. Alkaline modification of ZSM-5 catalysts for methanol aromatization: The effect of the alkaline concentration. Front. Chem. Sci. Eng. 2015, 9, 450–460. [Google Scholar] [CrossRef]
- Groen, J.C.; Zhu, W.; Brouwer, S.; Huynink, S.J.; Kapteijn, F.; Moulijn, J.A.; Pérez-Ramírez, J. Direct demonstration of enhanced diffusion in mesoporous ZSM-5 zeolite obtained via controlled desilication. J. Am. Chem. Soc. 2007, 129, 355–360. [Google Scholar] [CrossRef]









| Sample | Element Composition (wt%) | SAR | |||||
|---|---|---|---|---|---|---|---|
| SiO2 | Al2O3 | Fe2O3 | CaO | SO3 | TiO2 | ||
| FMTP-2P | 79.02 | 20.64 | 0.0291 | 0.137 | 0.133 | 0.047 | 6.51 |
| FMTP-2 mol/L HCl | 85.24 | 13.9 | 0.0246 | 0.324 | 0.464 | 0.026 | 10.41 |
| FMTP-4 mol/L HCl | 87.9 | 11.5 | 0.019 | 0.214 | 0.245 | 0.034 | 12.99 |
| FMTP-6 mol/L HCl | 88.35 | 10.8 | 0.022 | 0.313 | 0.479 | 0.036 | 13.88 |
| FMTP-4 mol/L HCl + 0.1 mol/L NaOH | 87.33 | 12.2 | 0.0208 | 0.16 | 0.245 | 0.044 | 12.17 |
| FMTP-4 mol/L HCl + 0.2 mol/L NaOH | 87.85 | 11.8 | 0.016 | 0.15 | 0.174 | 0.034 | 12.66 |
| FMTP-4 mol/L HCl + 0.4 mol/L NaOH | 80.87 | 18.68 | 0.0277 | 0.15 | 0.23 | 0.051 | 7.36 |
| FMTP-4 mol/L HCl + 0.8 mol/L NaOH | 20.99 | 78.41 | 0.085 | 0.168 | 0.252 | 0.102 | 0.45 |
| FMTP-4 mol/L HCl + 1.2 mol/L NaOH | 7.77 | 91.58 | 0.0943 | 0.16 | 0.275 | 0.118 | 0.14 |
| Sample | Element Composition (wt%) | SAR | |||||
|---|---|---|---|---|---|---|---|
| SiO2 | Al2O3 | Fe2O3 | CaO | SO3 | TiO2 | ||
| FMTP-2P | 79.02 | 20.64 | 0.029 | 0.137 | 0.133 | 0.047 | 6.51 |
| FMTP-2 mol/L H2C2O4 | 91.08 | 8.03 | 0.023 | 0.332 | 0.503 | 0.029 | 19.25 |
| FMTP-4 mol/L H2C2O4 | 93.71 | 5.88 | 0.014 | 0.157 | 0.201 | 0.026 | 27.09 |
| FMTP-6 mol/L H2C2O4 | 87.66 | 11.5 | 0.025 | 0.329 | 0.476 | 0.037 | 12.94 |
| FMTP-4 mol/L H2C2O4 + 0.1 mol/L NaOH | 92.41 | 7.26 | 0.013 | 0.129 | 0.156 | 0.031 | 21.64 |
| FMTP-4 mol/L H2C2O4 + 0.2 mol/L NaOH | 93.85 | 5.81 | 0.012 | 0.139 | 0.164 | 0.026 | 27.46 |
| FMTP-4 mol/L H2C2O4 + 0.4 mol/L NaOH | 90.36 | 9.31 | 0.013 | 0.127 | 0.156 | 0.028 | 16.50 |
| FMTP-4 mol/L H2C2O4 + 0.8 mol/L NaOH | 43.73 | 55.1 | 0.467 | 0.181 | 0.338 | 0.149 | 1.35 |
| FMTP-4 mol/L H2C2O4 + 1.2 mol/L NaOH | 12.7 | 86.27 | 0.464 | 0.16 | 0.295 | 0.129 | 0.25 |
| Sample | SBET (m2/g) | Smicro (m2/g) | Smeso (m2/g) | Vtotal (cm3/g) | Vmicro (cm3/g) | Vmeso (cm3/g) | Pore Width (nm) |
|---|---|---|---|---|---|---|---|
| FMTP-2P | 303.956 | 105.549 | 198.407 | 0.287 | 0.051 | 0.236 | 3.7714 |
| FMTP-4 mol/L HCl | 332.671 | 103.730 | 228.940 | 0.321 | 0.050 | 0.271 | 3.8539 |
| FMTP-4 mol/L HCl + 0.1 mol/L NaOH | 411.710 | 144.580 | 267.131 | 0.709 | 0.063 | 0.646 | 6.8857 |
| FMTP-4 mol/L HCl + 0.2 mol/L NaOH | 357.638 | 121.853 | 235.785 | 0.436 | 0.064 | 0.372 | 4.8711 |
| FMTP-4 mol/L HCl + 0.4 mol/L NaOH | 380.460 | 97.136 | 283.325 | 0.799 | 0.050 | 0.749 | 8.4058 |
| FMTP-4 mol/L HCl + 0.8 mol/L NaOH | 174.996 | 52.078 | 122.918 | 0.433 | 0.025 | 0.408 | 9.8956 |
| FMTP-4 mol/L H2C2O4 | 355.558 | 95.656 | 259.902 | 0.327 | 0.045 | 0.282 | 3.6792 |
| FMTP-4 mol/L H2C2O4 + 0.1 mol/L NaOH | 404.337 | 143.700 | 260.636 | 0.302 | 0.056 | 0.246 | 2.9834 |
| FMTP-4 mol/L H2C2O4 + 0.2 mol/L NaOH | 426.766 | 174.458 | 252.309 | 0.435 | 0.071 | 0.364 | 4.0732 |
| FMTP-4 mol/L H2C2O4 + 0.4 mol/L NaOH | 424.101 | 117.667 | 306.434 | 0.938 | 0.059 | 0.879 | 8.8502 |
| FMTP-4 mol/L H2C2O4 + 0.8 mol/L NaOH | 119.542 | 32.651 | 86.891 | 0.474 | 0.016 | 0.458 | 17.7150 |
Publisher’s Note: MDPI stays neutral with regard to jurisdictional claims in published maps and institutional affiliations. |
© 2022 by the authors. Licensee MDPI, Basel, Switzerland. This article is an open access article distributed under the terms and conditions of the Creative Commons Attribution (CC BY) license (https://creativecommons.org/licenses/by/4.0/).
Share and Cite
Yong, X.; Su, H.; Zhao, N.; Jin, Z.; Yao, M.; Ma, Y. Xylene and n-Hexane Adsorption Performance of a Waste Methanol-to-Propylene Catalyst under Acid-Base Treatment. Catalysts 2022, 12, 1028. https://doi.org/10.3390/catal12091028
Yong X, Su H, Zhao N, Jin Z, Yao M, Ma Y. Xylene and n-Hexane Adsorption Performance of a Waste Methanol-to-Propylene Catalyst under Acid-Base Treatment. Catalysts. 2022; 12(9):1028. https://doi.org/10.3390/catal12091028
Chicago/Turabian StyleYong, Xiaojing, Hui Su, Nana Zhao, Zhengwei Jin, Min Yao, and Yulong Ma. 2022. "Xylene and n-Hexane Adsorption Performance of a Waste Methanol-to-Propylene Catalyst under Acid-Base Treatment" Catalysts 12, no. 9: 1028. https://doi.org/10.3390/catal12091028
APA StyleYong, X., Su, H., Zhao, N., Jin, Z., Yao, M., & Ma, Y. (2022). Xylene and n-Hexane Adsorption Performance of a Waste Methanol-to-Propylene Catalyst under Acid-Base Treatment. Catalysts, 12(9), 1028. https://doi.org/10.3390/catal12091028

