Pyrolysis of Biomass Pineapple Residue and Banana Pseudo-Stem: Kinetics, Mechanism and Valorization of Bio-Char
Abstract
:1. Introduction
2. Results and Discussion
2.1. Thermogravimetric Characteristics during Biomass Pyrolysis
2.2. Pyrolysis Kinetics
2.2.1. Kinetics Based on the Friedman Method
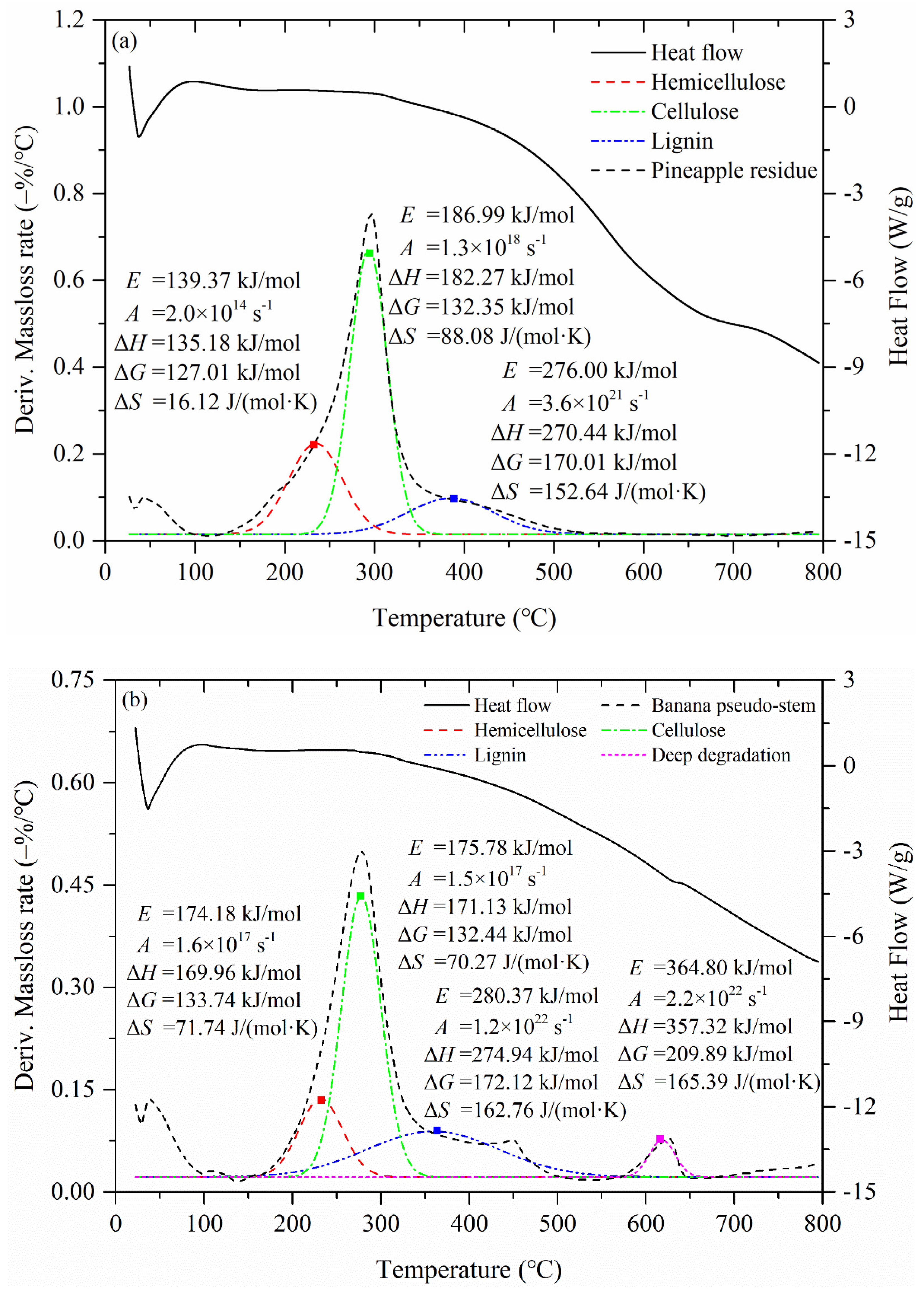
2.2.2. Kinetics Based on the Deconvolution Method
2.3. Evaluation of Thermodynamic Parameters
2.4. Characterization of Volatiles during Pyrolysis
2.5. Pyrolysis Mechanism
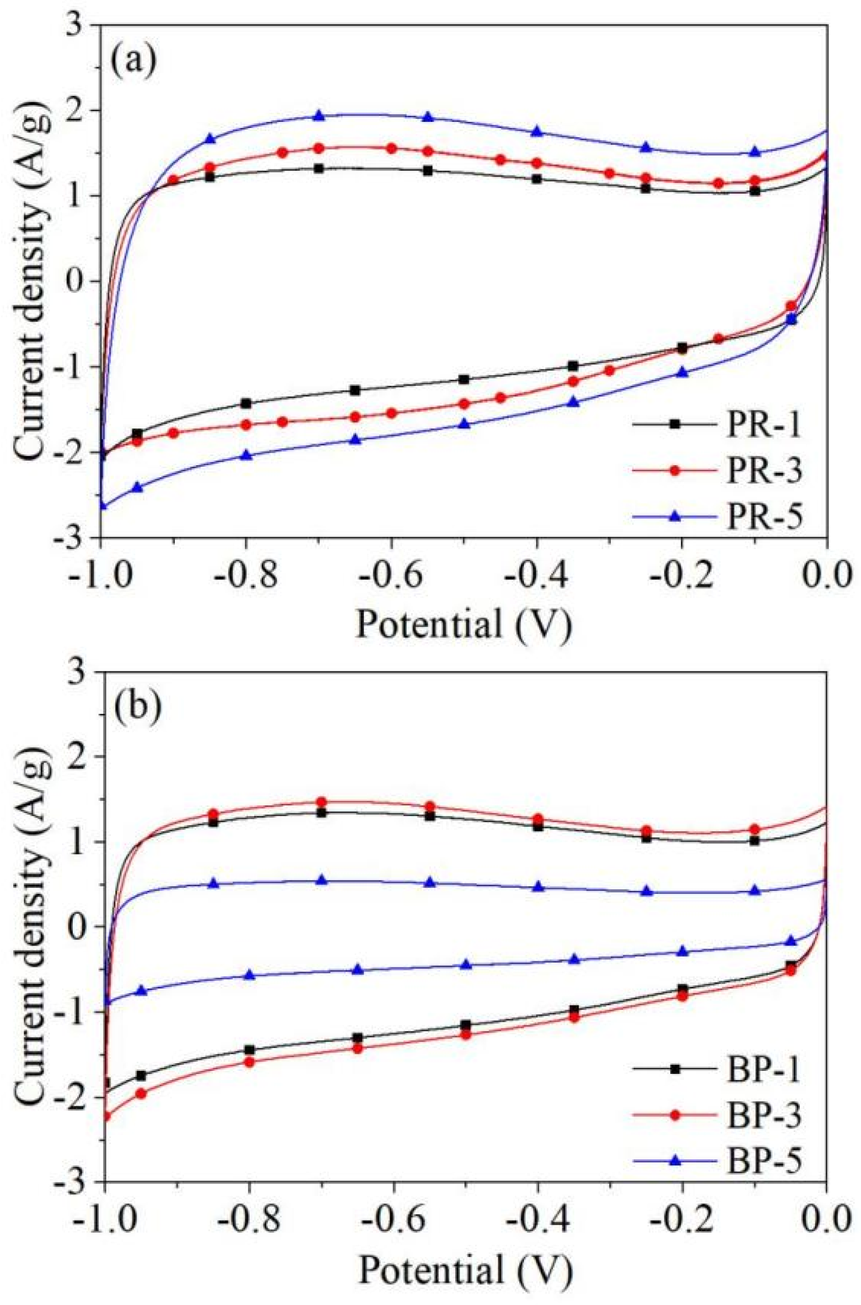
2.6. Electrochemical Performance of Biomass-Derived Porous Carbon
3. Materials and Methods
3.1. Materials
3.2. Thermogravimetric Experiments
3.3. Kinetic Models and Calculation
3.3.1. Friedman Method
3.3.2. Deconvolution Method
3.4. Thermodynamic Parameters Calculation
3.5. Online analysis of Volatiles during Pyrolysis
3.6. Electrochemical Analysis of Porous Carbons
4. Conclusions
Supplementary Materials
Author Contributions
Funding
Conflicts of Interest
References
- Dhyani, V.; Bhaskar, T. A comprehensive review on the pyrolysis of lignocellulosic biomass. Renew. Energy 2018, 129, 695–716. [Google Scholar] [CrossRef]
- Sánchez, J.D.; Ramírez, G.E.; Barajas, M.J. Comparative kinetic study of the pyrolysis of mandarin and pineapple peel. J. Anal. Appl. Pyrol. 2016, 118, 192–201. [Google Scholar] [CrossRef]
- Taib, R.M.; Abdullah, N.; Aziz, N.S.M. Bio-oil derived from banana pseudo-stem via fast pyrolysis process. Biomass Bioenergy 2021, 148, 106034. [Google Scholar] [CrossRef]
- Vyazovkin, S.; Burnham, A.K.; Favergeon, L.; Koga, N.; Moukhina, E.; Pérez-Maqueda, L.A.; Sbirrazzuoli, N. ICTAC Kinetics Committee recommendations for analysis of multi-step kinetics. Thermochim. Acta 2020, 689, 178597. [Google Scholar] [CrossRef]
- Taer, E.; Apriwandi, A.; Dalimunthe, B.K.L.; Taslim, R. A rod-like mesoporous carbon derived from agro-industrial cassava petiole waste for supercapacitor application. J. Chem. Technol. Biot. 2021, 96, 662–671. [Google Scholar] [CrossRef]
- Silva, J.E.D.; Calixto, G.Q.; De Almeida, C.C.; Melo, D.M.A.; Melo, M.A.F.; Freitas, J.C.D.O.; Braga, R.M. Energy potential and thermogravimetric study of pyrolysis kinetics of biomass wastes. J. Therm. Anal. Calorim. 2019, 137, 1635–1643. [Google Scholar] [CrossRef]
- Cheng, Q.; Jiang, M.; Chen, Z.; Wang, X.; Xiao, B. Pyrolysis and kinetic behavior of banana stem using thermogravimetric analysis. Energy Source Part A 2016, 38, 3383–3390. [Google Scholar] [CrossRef]
- Kumar, A.; Mylapilli, S.V.P.; Reddy, S.N. Thermogravimetric and kinetic studies of metal (Ru/Fe) impregnated banana pseudo-stem (Musa acuminate). Bioresour. Technol. 2019, 285, 121318. [Google Scholar] [CrossRef] [PubMed]
- Shakya, A.; Agarwal, T. Removal of Cr(VI) from water using pineapple peel derived biochars: Adsorption potential and re-usability assessment. J. Mol. Liq. 2019, 293, 111497. [Google Scholar] [CrossRef]
- Sivadas, D.L.; Damodaran, A.; Raghavan, R. Microporous carbon monolith and fiber from freeze-dried banana stems for high efficiency carbon dioxide adsorption. ACS Sustain. Chem. Eng. 2019, 7, 12807–12816. [Google Scholar] [CrossRef]
- Wang, C.; Wang, H.; Dang, B.; Wang, Z.; Shen, X.; Li, C.; Sun, Q. Ultrahigh yield of nitrogen doped porous carbon from biomass waste for supercapacitor. Renew. Energy 2020, 156, 370–376. [Google Scholar] [CrossRef]
- Li, Y.; Zhang, D.; Zhang, Y.; He, J.; Wang, Y.; Wang, K.; Xu, Y.; Li, H.; Wang, Y. Biomass-derived microporous carbon with large micropore size for high-performance supercapacitors. J. Power Sources 2020, 448, 227396. [Google Scholar] [CrossRef]
- Yakaboylu, G.A.; Jiang, C.; Yumak, T.; Zondlo, J.W.; Wang, J.; Sabolsky, E.M. Engineered hierarchical porous carbons for supercapacitor applications through chemical pretreatment and activation of biomass precursors. Renew. Energy 2021, 163, 276–287. [Google Scholar] [CrossRef]
- Slopiecka, K.; Bartocci, P.; Fantozzi, F. Thermogravimetric analysis and kinetic study of poplar wood pyrolysis. Appl. Energy 2012, 97, 491–497. [Google Scholar] [CrossRef]
- Xue, J.; Chellappa, T.; Ceylan, S.; Goldfarb, J.L. Enhancing biomass + coal Co-firing scenarios via biomass torrefaction and carbonization: Case study of avocado pit biomass and Illinois No. 6 coal. Renew. Energy 2018, 122, 152–162. [Google Scholar] [CrossRef]
- Tahir, M.H.; Zhao, Z.; Ren, J.; Rasool, T.; Naqvi, S.R. Thermo-kinetics and gaseous product analysis of banana peel pyrolysis for its bioenergy potential. Biomass Bioenergy 2019, 122, 193–201. [Google Scholar] [CrossRef]
- Wang, S.; Dai, G.; Yang, H.; Luo, Z. Lignocellulosic biomass pyrolysis mechanism: A state-of-the-art review. Prog. Energy Combust. 2017, 62, 33–86. [Google Scholar] [CrossRef]
- Yeo, J.Y.; Chin, B.L.F.; Tan, J.K.; Loh, Y.S. Comparative studies on the pyrolysis of cellulose, hemicellulose, and lignin based on combined kinetics. J. Energy Inst. 2019, 92, 27–37. [Google Scholar] [CrossRef]
- Reza, M.S.; Islam, S.N.; Afroze, S.; Bakar, M.S.A.; Taweekun, J.; Azad, A.K. Data on FTIR, TGA—DTG, DSC of invasive pennisetum purpureum grass. Data Brief 2020, 30, 105536. [Google Scholar] [CrossRef]
- Maia, A.A.D.; de Morais, L.C. Kinetic parameters of red pepper waste as biomass to solid biofuel. Bioresour. Technol. 2016, 204, 157–163. [Google Scholar] [CrossRef]
- Yang, X.; Wang, X.; Zhao, B.; Li, Y. Simulation model of pyrolysis biofuel yield based on algal components and pyrolysis kinetics. Bioenergy Res. 2014, 7, 1293–1304. [Google Scholar] [CrossRef]
- Yuan, X.; He, T.; Cao, H.; Yuan, Q. Cattle manure pyrolysis process: Kinetic and thermodynamic analysis with isoconversional methods. Renew. Energy 2017, 107, 489–496. [Google Scholar] [CrossRef]
- Kan, T.; Strezov, V.; Evans, T.J. Lignocellulosic biomass pyrolysis: A review of product properties and effects of pyrolysis parameters. Renew. Sustain. Energy Rev. 2016, 57, 1126–1140. [Google Scholar] [CrossRef]
- Quan, C.; Gao, N.; Song, Q. Pyrolysis of biomass components in a TGA and a fixed-bed reactor: Thermochemical behaviors, kinetics, and product characterization. J. Anal. Appl. Pyrol. 2016, 121, 84–92. [Google Scholar] [CrossRef]
- Ahmad, M.S.; Mehmood, M.A.; Al Ayed, O.S.; Ye, G.; Luo, H.; Ibrahim, M.; Rashid, U.; Arbi Nehdi, I.; Qadir, G. Kinetic analyses and pyrolytic behavior of Para grass (Urochloa mutica) for its bioenergy potential. Bioresour. Technol. 2017, 224, 708–713. [Google Scholar] [CrossRef]
- Müsellim, E.; Tahir, M.H.; Ahmad, M.S.; Ceylan, S. Thermokinetic and TG/DSC-FTIR study of pea waste biomass pyrolysis. Appl. Therm. Eng. 2018, 137, 54–61. [Google Scholar] [CrossRef]
- Kaur, R.; Gera, P.; Jha, M.K.; Bhaskar, T. Pyrolysis kinetics and thermodynamic parameters of castor (Ricinus communis) residue using thermogravimetric analysis. Bioresour. Technol. 2018, 250, 422–428. [Google Scholar] [CrossRef]
- Xu, Y.; Chen, B. Investigation of thermodynamic parameters in the pyrolysis conversion of biomass and manure to biochars using thermogravimetric analysis. Bioresour. Technol. 2013, 146, 485–493. [Google Scholar] [CrossRef]
- Liu, Q.; Wang, S.; Zheng, Y.; Luo, Z.; Cen, K. Mechanism study of wood lignin pyrolysis by using TG–FTIR analysis. J. Anal. Appl. Pyrol. 2008, 82, 170–177. [Google Scholar] [CrossRef]
- Wang, Z.; Mcdonald, A.G.; Westerhof, R.J.M.; Kersten, S.R.A.; Cuba-Torres, C.M.; Ha, S.; Pecha, B.; Garcia-Perez, M. Effect of cellulose crystallinity on the formation of a liquid intermediate and on product distribution during pyrolysis. J. Anal. Appl. Pyrol. 2013, 100, 56–66. [Google Scholar] [CrossRef]
- Brillard, A.; Brilhac, J.F. Improvements of global models for the determination of the kinetic parameters associated to the thermal degradation of lignocellulosic materials under low heating rates. Renew. Energy 2020, 146, 1498–1509. [Google Scholar] [CrossRef]
- Alves, J.L.F.; Da Silva, J.C.G.; Da Silva Filho, V.F.; Alves, R.F.; de Araujo Galdino, W.V.; De Sena, R.F. Kinetics and thermodynamics parameters evaluation of pyrolysis of invasive aquatic macrophytes to determine their bioenergy potentials. Biomass Bioenergy 2019, 121, 28–40. [Google Scholar] [CrossRef]
- Du, W.; Zhang, Z.; Du, L.; Fan, X.; Shen, Z.; Ren, X.; Zhao, Y.; Wei, C.; Wei, S. Designing synthesis of porous biomass carbon from wheat straw and the functionalizing application in flexible, all-solid-state supercapacitors. J. Alloys Compd. 2019, 797, 1031–1040. [Google Scholar] [CrossRef]











| Items | Pineapple Residue | Banana Pseudo-Stem |
|---|---|---|
| Water (wt. %) | 2.15 ± 0.01 | 1.93 ± 0.01 |
| Ash (wt. %) | 6.24 ± 0.01 | 23.53 ± 0.07 |
| Volatile (wt. %) | 72.12 ± 0.58 | 59.77 ± 0.48 |
| Fixed carbon (wt. %) | 19.50 ± 0.06 | 14.78 ± 0.04 |
| Heating value (MJ/kg) | 17.73 ± 0.04 | 13.28 ± 0.03 |
| C (wt. %) a | 44.95 ± 0.05 | 33.93 ± 0.03 |
| H (wt. %) a | 5.50 ± 0.01 | 4.02 ± 0.01 |
| O (wt. %) a | 47.65 ± 0.05 | 60.49 ± 0.06 |
| N (wt. %) a | 1.68 ± 0.01 | 1.47 ± 0.01 |
| S (wt. %) a | 0.22 ± 0.01 | 0.09 ± 0.01 |
| Cellulose (wt. %) | 27.35 ± 1.83 | 17.17 ± 0.79 |
| Hemicellulose (wt. %) | 21.15 ± 0.34 | 8.11 ± 0.24 |
| Lignin (wt. %) | 10.25 ± 0.30 | 35.00 ± 0.67 |
| Conversion Rates α | Pineapple Residue | Banana Pseudo-Stem | ||||
|---|---|---|---|---|---|---|
| Activation Energy Eα (kJ/mol) | Pre-Exponential Factor a A (s−1) | Correlation Coefficient R2 | Activation Energy Eα (kJ/mol) | Pre-Exponential Factor A (s−1) | Correlation Coefficient R2 | |
| 0.10 | 157 | 1.98 × 1015 | 0.992 | 178 | 2.04 × 1017 | 0.990 |
| 0.15 | 159 | 2.50 × 1015 | 0.991 | 169 | 2.64 × 1016 | 0.993 |
| 0.20 | 162 | 4.88 × 1015 | 0.991 | 170 | 3.25 × 1016 | 0.991 |
| 0.25 | 172 | 4.49 × 1016 | 0.993 | 174 | 1.10 × 1017 | 0.996 |
| 0.30 | 177 | 1.56 × 1017 | 0.992 | 176 | 1.83 × 1017 | 0.996 |
| 0.35 | 191 | 3.45 × 1018 | 1.000 | 181 | 6.17 × 1017 | 0.996 |
| 0.40 | 184 | 8.09 × 1017 | 0.996 | 185 | 1.81 × 1018 | 0.996 |
| 0.45 | 187 | 1.54 × 1018 | 0.997 | 192 | 8.60 × 1018 | 0.995 |
| 0.50 | 189 | 3.19 × 1018 | 0.995 | 201 | 5.40 × 1019 | 0.995 |
| 0.55 | 198 | 2.22 × 1019 | 0.996 | 217 | 1.39 × 1021 | 0.995 |
| 0.60 | 215 | 6.08 × 1020 | 0.995 | 240 | 1.17 × 1023 | 0.994 |
| 0.65 | 243 | 1.60 × 1023 | 0.995 | 276 | 1.24 × 1026 | 0.993 |
| 0.70 | 292 | 1.37 × 1027 | 0.995 | 321 | 4.06 × 1029 | 0.998 |
| 0.75 | 305 | 1.43 × 1027 | 0.993 | 334 | 3.01 × 1029 | 0.995 |
| 0.80 | 315 | 1.75 × 1029 | 0.990 | 345 | 2.78 × 1031 | 0.993 |
| 0.85 | 330 | 1.66 × 1029 | 0.990 | 350 | 2.16 × 1033 | 0.990 |
| 0.90 | 335 | 2.03 × 1031 | 0.991 | 364 | 1.68 × 1034 | 0.995 |
| Feedstock | Peak Temperature (°C) | Activation Energy a | Pre-exponential Factor | Mechanism Functions | |||
|---|---|---|---|---|---|---|---|
| Eα (kJ/mol) | R2 | A (s−1) | f(α) | Slope b | R2 | ||
| Pineapple residue | 233 | 139.37 | 0.994 | 2.0 × 1014 | 1.04 | 0.91 | |
| 294 | 186.99 | 0.997 | 1.3 × 1018 | 1.09 | 0.96 | ||
| 385 | 276.00 | 0.998 | 3.6 × 1021 | 1.02 | 0.98 | ||
| Banana pseudo-stem | 232 | 174.18 | 0.989 | 1.6 × 1017 | 1.03 | 0.95 | |
| 278 | 175.78 | 0.993 | 1.5 × 1017 | 1.04 | 0.93 | ||
| 359 | 280.37 | 0.965 | 1.2 × 1022 | 0.98 | 0.90 | ||
| 618 | 364.80 | 0.980 | 2.2 × 1022 | 0.98 | 0.95 | ||
| Samples | Surface Area (m2/g) | Micropore Area (m2/g) | Pore Volume (cm3/g) | Correlation Coefficient |
|---|---|---|---|---|
| PR a | 329.3 | 249.6 | 0.200 | 0.991 |
| PR-1 | 1072.2 | 914.4 | 0.489 | 0.997 |
| PR-3 | 1634.1 | 1287.4 | 0.831 | 0.995 |
| PR-5 | 2377.7 | 1192.5 | 1.267 | 0.996 |
| BP b | 308.1 | 178.3 | 0.204 | 0.995 |
| BP-1 | 1260.4 | 1000.5 | 0.683 | 0.997 |
| BP-3 | 2312.6 | 1390.9 | 1.147 | 0.998 |
| BP-5 | 1276.4 | 328.1 | 0.933 | 0.997 |
| Samples | Specific Capacitance (F/g) | |||||
|---|---|---|---|---|---|---|
| 0.5A/g | 1A/g | 2A/g | 4A/g | 6A/g | 8A/g | |
| PR-5 | 374.5 ± 4.1 | 358.1 ± 0.4 | 321.8 ± 3.5 | 298.8 ± 3.3 | 283.2 ± 3.1 | 268.8 ± 3.0 |
| BP-3 | 296.7 ± 3.3 | 280.3 ± 3.1 | 247.0 ± 2.7 | 229.6 ± 2.5 | 220.2 ± 2.4 | 212.8 ± 2.3 |
Publisher’s Note: MDPI stays neutral with regard to jurisdictional claims in published maps and institutional affiliations. |
© 2022 by the authors. Licensee MDPI, Basel, Switzerland. This article is an open access article distributed under the terms and conditions of the Creative Commons Attribution (CC BY) license (https://creativecommons.org/licenses/by/4.0/).
Share and Cite
Wang, X.; Yang, S.; Shen, B.; Yang, J.; Xu, L. Pyrolysis of Biomass Pineapple Residue and Banana Pseudo-Stem: Kinetics, Mechanism and Valorization of Bio-Char. Catalysts 2022, 12, 840. https://doi.org/10.3390/catal12080840
Wang X, Yang S, Shen B, Yang J, Xu L. Pyrolysis of Biomass Pineapple Residue and Banana Pseudo-Stem: Kinetics, Mechanism and Valorization of Bio-Char. Catalysts. 2022; 12(8):840. https://doi.org/10.3390/catal12080840
Chicago/Turabian StyleWang, Xin, Shuo Yang, Boxiong Shen, Jiancheng Yang, and Lianfei Xu. 2022. "Pyrolysis of Biomass Pineapple Residue and Banana Pseudo-Stem: Kinetics, Mechanism and Valorization of Bio-Char" Catalysts 12, no. 8: 840. https://doi.org/10.3390/catal12080840
APA StyleWang, X., Yang, S., Shen, B., Yang, J., & Xu, L. (2022). Pyrolysis of Biomass Pineapple Residue and Banana Pseudo-Stem: Kinetics, Mechanism and Valorization of Bio-Char. Catalysts, 12(8), 840. https://doi.org/10.3390/catal12080840

