Environmental Remediation through Catalytic Inhibition of Steel Corrosion by Schiff’s Bases: Electrochemical and Biological Aspects
Abstract
:1. Introduction
2. Materials and Methods
2.1. Materials
2.2. Synthesis of Gemini Schiff Bases
2.3. Specimens
2.4. PDP and EIS Experiments
2.5. Biological Examination
2.6. DFT Calculation Details
2.7. Simulation Studies
3. Results and Discussion
3.1. OCP Details
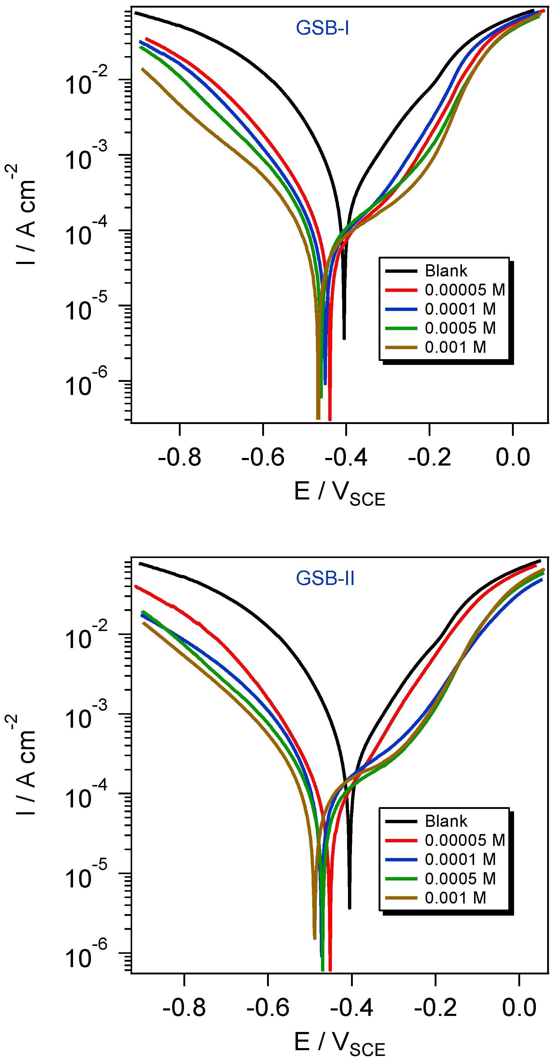
3.2. PDP Details
3.3. EIS Details
3.4. Adsorption Isotherm Details
3.5. Biological Activity
3.6. Quantum Chemical Calculations
3.6.1. Frontier Molecular Orbitals (FMOs) and Energy Details
3.6.2. Mulliken Scale, NBO Charge, and 3D MEP Details
3.7. MD Simulation Details
3.8. Mechanism of Inhibition
4. Conclusions
Author Contributions
Funding
Acknowledgments
Conflicts of Interest
References
- Javaherdashti, R. Environmental Impacts of Corrosion and Assessment Strategies. Corros. Policy Decis. Mak. 2022, 349–367. [Google Scholar]
- Vasant, P.C.; Bansal, C.K. An Investigation Into the Environmental Impacts of Atmospheric Corrosion of Building Materials. Int. J. Chem. Sci. Appl. 2013, 4, 1–6. [Google Scholar]
- Olasunkanmi, L.O.; Aniki, N.I.; Adekunle, A.S.; Durosinmi, L.M.; Durodola, S.S.; Wahab, O.O.; Ebenso, E.E. Investigating the Synergism of Some Hydrazinecarboxamides and Iodide Ions as Corrosion Inhibitor Formulations for Mild Steel in Hydrochloric Acid: Experimental and Computational Studies. J. Mol. Liq. 2021, 343, 117600. [Google Scholar] [CrossRef]
- Karki, N.; Neupane, S.; Gupta, D.K.; Das, A.K.; Singh, S.; Koju, G.M.; Chaudhary, Y.; Yadav, A.P. Berberine Isolated from Mahonia Nepalensis as an Eco-Friendly and Thermally Stable Corrosion Inhibitor for Mild Steel in Acid Medium. Arab. J. Chem. 2021, 14, 103423. [Google Scholar] [CrossRef]
- Elaryian, H.M.; Bedair, M.A.; Bedair, A.H.; Aboushahba, R.M.; Fouda, A.E.-A.S. Synthesis, Characterization of Novel Coumarin Dyes as Corrosion Inhibitors for Mild Steel in Acidic Environment: Experimental, Theoretical, and Biological Studies. J. Mol. Liq. 2022, 346, 118310. [Google Scholar] [CrossRef]
- Farag, A.A.; Badr, E.A. Non-Ionic Surfactant Loaded on Gel Capsules to Protect Downhole Tubes from Produced Water in Acidizing Oil Wells. Corros. Rev. 2020, 38, 151–164. [Google Scholar] [CrossRef]
- Khadom, A.A.; Jassim, S.A.; Kadhim, M.M.; Ali, N.B. Influence of Apricot Constituents as Eco-Friendly Corrosion Inhibitor for Mild Steel in Acidic Medium: A Theoretical Approach. J. Mol. Liq. 2022, 347, 117984. [Google Scholar] [CrossRef]
- Konno, Y.; Farag, A.A.; Tsuji, E.; Aoki, Y.; Habazaki, H. Formation of Porous Anodic Films on Carbon Steels and Their Application to Corrosion Protection Composite Coatings Formed with Polypyrrole. J. Electrochem. Soc. 2016, 163, C386. [Google Scholar] [CrossRef]
- Al-Gamal, A.G.; Farag, A.A.; Elnaggar, E.M.; Kabel, K.I. Comparative Impact of Doping Nano-Conducting Polymer with Carbon and Carbon Oxide Composites in Alkyd Binder as Anti-Corrosive Coatings. Compos. Interfaces 2018, 25, 959–980. [Google Scholar] [CrossRef]
- Al-Sabagh, A.M.; Abdou, M.I.; Migahed, M.A.; Fadl, A.M.; Farag, A.A.; Mohammedy, M.M.; Abd-Elwanees, S.; Deiab, A. Influence of Ilmenite Ore Particles as Pigment on the Anticorrosion and Mechanical Performance Properties of Polyamine Cured Epoxy for Internal Coating of Gas Transmission Pipelines. Egypt. J. Pet. 2018, 27, 427–436. [Google Scholar] [CrossRef]
- Oubaaqa, M.; Ouakki, M.; Rbaa, M.; Abousalem, A.S.; Maatallah, M.; Benhiba, F.; Jarid, A.; Ebn Touhami, M.; Zarrouk, A. Insight into the Corrosion Inhibition of New Amino-Acids as Efficient Inhibitors for Mild Steel in HCl Solution: Experimental Studies and Theoretical Calculations. J. Mol. Liq. 2021, 334, 116520. [Google Scholar] [CrossRef]
- Farag, A.A.; Mohamed, E.A.; Sayed, G.H.; Anwer, K.E. Experimental/Computational Assessments of API Steel in 6 M H2SO4 Medium Containing Novel Pyridine Derivatives as Corrosion Inhibitors. J. Mol. Liq. 2021, 330, 115705. [Google Scholar] [CrossRef]
- Belghiti, E.; Benhiba, F.; Benzbiria, N.; Lai, C.-H.; Echihi, S.; Salah, M.; Zeroual, A.; Karzazi, Y.; Tounsi, A.; Abbiche, K.; et al. Performance of Triazole Derivatives as Potential Corrosion Inhibitors for Mild Steel in a Strong Phosphoric Acid Medium: Combining Experimental and Computational (DFT, MDs & QSAR) Approaches. J. Mol. Struct. 2022, 1256, 132515. [Google Scholar] [CrossRef]
- Saraswat, V.; Yadav, M. Improved Corrosion Resistant Performance of Mild Steel under Acid Environment by Novel Carbon Dots as Green Corrosion Inhibitor. Colloids Surf. A Physicochem. Eng. Asp. 2021, 627, 127172. [Google Scholar] [CrossRef]
- Farag, A.A. Oil-in-Water Emulsion of a Heterocyclic Adduct as a Novel Inhibitor of API X52 Steel Corrosion in Acidic Solution. Corros. Rev. 2018, 36, 575–588. [Google Scholar] [CrossRef]
- Guruprasad, A.M.; Sachin, H.P. Novel Cost-Effective Aqueous Amorphophallus Paeoniifolius Leaves Extract as a Green Corrosion Inhibitor for Mild Steel Corrosion in Hydrochloric Acid Medium: A Detailed Experimental and Surface Characterization Studies. Chem. Data Collect. 2021, 34, 100734. [Google Scholar] [CrossRef]
- Kabel, K.I.; Farag, A.A.; Elnaggar, E.M.; Al-Gamal, A.G. Improvement of Graphene Oxide Characteristics Depending on Base Washing. J. Superhard Mater. 2015, 37, 327–334. [Google Scholar] [CrossRef]
- Kabel, K.I.; Farag, A.A.; Elnaggar, E.M.; Al-Gamal, A.G. Removal of Oxidation Fragments from Multi-Walled Carbon Nanotubes Oxide Using High and Low Concentrations of Sodium Hydroxide. Arab. J. Sci. Eng. 2016, 41, 2211–2220. [Google Scholar] [CrossRef]
- Arifa Farzana, B.; Mushira Banu, A.; Riaz Ahamed, K. Andrographis Echioides Leaves Extract as an Eco-Friendly Corrosion Inhibitor for Mild Steel in Acid Medium. Mater. Today Proc. 2021, 47, 2080–2090. [Google Scholar] [CrossRef]
- Guo, W.; Talha, M.; Lin, Y.; Kong, X. Schiff’s Base with Center of Symmetry as an Effective Corrosion Inhibitor for Mild Steel in Acid Medium: Electrochemical & Simulation Studies. Colloids Surf. A Physicochem. Eng. Asp. 2021, 615, 126234. [Google Scholar] [CrossRef]
- Messali, M.; Larouj, M.; Lgaz, H.; Rezki, N.; Al-Blewi, F.F.; Aouad, M.R.; Chaouiki, A.; Salghi, R.; Chung, I.-M. A New Schiff Base Derivative as an Effective Corrosion Inhibitor for Mild Steel in Acidic Media: Experimental and Computer Simulations Studies. J. Mol. Struct. 2018, 1168, 39–48. [Google Scholar] [CrossRef]
- Migahed, M.A.; Farag, A.A.; Elsaed, S.M.; Kamal, R.; Abd El-Bary, H. Corrosion Inhibition of Carbon Steel in Formation Water of Oil Wells by Some Schiff Base Non Ionic Surfactants. In Proceedings of the European Corrosion Congress 2009, EUROCORR, Nice, France, 6–10 September 2009. [Google Scholar]
- Rugmini Ammal, P.; Prajila, M.; Joseph, A. Physicochemical Studies on the Inhibitive Properties of a 1,2,4-Triazole Schiff’s Base, HMATD, on the Corrosion of Mild Steel in Hydrochloric Acid. Egypt. J. Pet. 2018, 27, 307–317. [Google Scholar] [CrossRef]
- Boukazoula, S.; Haffar, D.; Bourzami, R.; Toukal, L.; Dorcet, V. Synthesis, Characterizations, Crystal Structure, Inhibition Effects and Theoretical Study of Novel Schiff Base on the Corrosion of Carbon Steel in 1 M HCl. J. Mol. Struct. 2022, 1261, 132852. [Google Scholar] [CrossRef]
- Li, X.-L.; Xie, B.; Feng, J.-S.; Lai, C.; Bai, X.-X.; Li, T.; Zhang, D.-L.; Mou, W.-Y.; Wen, L.; Gu, Y.-T. 2-Pyridinecarboxaldehyde-Based Schiff Base as an Effective Corrosion Inhibitor for Mild Steel in HCl Medium: Experimental and Computational Studies. J. Mol. Liq. 2022, 345, 117032. [Google Scholar] [CrossRef]
- El Aatiaoui, A.; Koudad, M.; Chelfi, T.; Erkan, S.; Azzouzi, M.; Aouniti, A.; Savaş, K.; Kaddouri, M.; Benchat, N.; Oussaid, A. Experimental and Theoretical Study of New Schiff Bases Based on Imidazo(1,2-a)Pyridine as Corrosion Inhibitor of Mild Steel in 1M HCl. J. Mol. Struct. 2021, 1226, 129372. [Google Scholar] [CrossRef]
- Sengupta, S.; Murmu, M.; Murmu, N.C.; Banerjee, P. Adsorption of Redox-Active Schiff Bases and Corrosion Inhibiting Property for Mild Steel in 1 MolL−1 H2SO4: Experimental Analysis Supported by Ab Initio DFT, DFTB and Molecular Dynamics Simulation Approach. J. Mol. Liq. 2021, 326, 115215. [Google Scholar] [CrossRef]
- Saha, S.K.; Murmu, M.; Murmu, N.C.; Banerjee, P. Synthesis, Characterization and Theoretical Exploration of Pyrene Based Schiff Base Molecules as Corrosion Inhibitor. J. Mol. Struct. 2021, 1245, 131098. [Google Scholar] [CrossRef]
- El Azzouzi, M.; Azzaoui, K.; Warad, I.; Hammouti, B.; Shityakov, S.; Sabbahi, R.; Saoiabi, S.; Youssoufi, M.H.; Akartasse, N.; Jodeh, S.; et al. Moroccan, Mauritania, and Senegalese Gum Arabic Variants as Green Corrosion Inhibitors for Mild Steel in HCl: Weight Loss, Electrochemical, AFM and XPS Studies. J. Mol. Liq. 2022, 347, 118354. [Google Scholar] [CrossRef]
- Berrissoul, A.; Ouarhach, A.; Benhiba, F.; Romane, A.; Guenbour, A.; Outada, H.; Dafali, A.; Zarrouk, A. Exploitation of a New Green Inhibitor against Mild Steel Corrosion in HCl: Experimental, DFT and MD Simulation Approach. J. Mol. Liq. 2022, 349, 118102. [Google Scholar] [CrossRef]
- Zhang, K.; Xu, B.; Yang, W.; Yin, X.; Liu, Y.; Chen, Y. Halogen-Substituted Imidazoline Derivatives as Corrosion Inhibitors for Mild Steel in Hydrochloric Acid Solution. Corros. Sci. 2015, 90, 284–295. [Google Scholar] [CrossRef]
- Mashuga, M.E.; Olasunkanmi, L.O.; Lgaz, H.; Sherif, E.-S.M.; Ebenso, E.E. Aminomethylpyridazine Isomers as Corrosion Inhibitors for Mild Steel in 1 M HCl: Electrochemical, DFT and Monte Carlo Simulation Studies. J. Mol. Liq. 2021, 344, 117882. [Google Scholar] [CrossRef]
- Strachan, A.; Çağin, T.; Goddard, W.A. Phase Diagram of MgO from Density-Functional Theory and Molecular-Dynamics Simulations. Phys. Rev. B 1999, 60, 15084–15093. [Google Scholar] [CrossRef]
- Riggs, O.L., Jr.; Nathan, C.C. Corrosion Inhibitors; CC Nathan: Houston, TX, USA, 1973; Available online: https://www.scirp.org/(S(lz5mqp453edsnp55rrgjct55))/reference/ReferencesPapers.aspx?ReferenceID=209587 (accessed on 8 June 2022).
- Zhang, W.; Nie, B.; Li, H.-J.; Li, Q.; Li, C.; Wu, Y.-C. Inhibition of Mild Steel Corrosion in 1 M HCl by Chondroitin Sulfate and Its Synergistic Effect with Sodium Alginate. Carbohydr. Polym. 2021, 260, 117842. [Google Scholar] [CrossRef] [PubMed]
- Zhang, D.; Li, L.; Cao, L.; Yang, N.; Huang, C. Studies of Corrosion Inhibitors for Zinc–Manganese Batteries: Quinoline Quaternary Ammonium Phenolates. Corros. Sci. 2001, 43, 1627–1636. [Google Scholar] [CrossRef]
- Ferreira, E.S.; Giacomelli, C.; Giacomelli, F.C.; Spinelli, A. Evaluation of the Inhibitor Effect of L-Ascorbic Acid on the Corrosion of Mild Steel. Mater. Chem. Phys. 2004, 83, 129–134. [Google Scholar] [CrossRef]
- Shaban, S.M.; Badr, E.a.; Shenashen, M.A.; Farag, A.A. Fabrication and Characterization of Encapsulated Gemini Cationic Surfactant as Anticorrosion Material for Carbon Steel Protection in Down-Hole Pipelines. Environ. Technol. Innov. 2021, 23, 101603. [Google Scholar] [CrossRef]
- Abbout, S.; Chebabe, D.; Zouarhi, M.; Rehioui, M.; Lakbaibi, Z.; Hajjaji, N. Ceratonia Siliqua L Seeds Extract as Eco-Friendly Corrosion Inhibitor for Carbon Steel in 1 M HCl: Characterization, Electrochemical, Surface Analysis, and Theoretical Studies. J. Mol. Struct. 2021, 1240, 130611. [Google Scholar] [CrossRef]
- Haruna, K.; Obot, I.B.; Ankah, N.K.; Sorour, A.A.; Saleh, T.A. Gelatin: A Green Corrosion Inhibitor for Carbon Steel in Oil Well Acidizing Environment. J. Mol. Liq. 2018, 264, 515–525. [Google Scholar] [CrossRef]
- Al-Gamal, A.G.; Chowdhury, T.H.; Kabel, K.I.; Farag, A.A.; Abd El-Sattar, N.E.A.; Rabie, A.M.; Islam, A. N-Functionalized Graphene Derivatives as Hole Transport Layers for Stable Perovskite Solar Cell. Sol. Energy 2021, 228, 670–677. [Google Scholar] [CrossRef]
- Kumar, B.; Vashisht, H.; Goyal, M.; Kumar, A.; Benhiba, F.; Prasad, A.K.; Kumar, S.; Bahadur, I.; Zarrouk, A. Study of Adsorption Mechanism of Chalcone Derivatives on Mild Steel-Sulfuric Acid Interface. J. Mol. Liq. 2020, 318, 113890. [Google Scholar] [CrossRef]
- Wang, C.; Zou, C.; Cao, Y. Electrochemical and Isothermal Adsorption Studies on Corrosion Inhibition Performance of β-Cyclodextrin Grafted Polyacrylamide for X80 Steel in Oil and Gas Production. J. Mol. Struct. 2021, 1228, 129737. [Google Scholar] [CrossRef]
- Bentiss, F.; Lebrini, M.; Lagrenée, M. Thermodynamic Characterization of Metal Dissolution and Inhibitor Adsorption Processes in Mild Steel/2,5-Bis(n-Thienyl)-1,3,4-Thiadiazoles/Hydrochloric Acid System. Corros. Sci. 2005, 47, 2915–2931. [Google Scholar] [CrossRef]
- Bayol, E.; Gürten, T.; Gürten, A.A.; Erbil, M. Interactions of Some Schiff Base Compounds with Mild Steel Surface in Hydrochloric Acid Solution. Mater. Chem. Phys. 2008, 112, 624–630. [Google Scholar] [CrossRef]
- Qiang, Y.; Zhang, S.; Tan, B.; Chen, S. Evaluation of Ginkgo Leaf Extract as an Eco-Friendly Corrosion Inhibitor of X70 Steel in HCl Solution. Corros. Sci. 2018, 133, 6–16. [Google Scholar] [CrossRef]
- Farag, A.A.; Abdallah, H.E.; Badr, E.A.; Mohamed, E.A.; Ali, A.I.; El-Etre, A.Y. The Inhibition Performance of Morpholinium Derivatives on Corrosion Behavior of Carbon Steel in the Acidized Formation Water: Theoretical, Experimental and Biocidal Evaluations. J. Mol. Liq. 2021, 341, 117348. [Google Scholar] [CrossRef]
- Mohamed, E.A.; Hashem, H.E.; Azmy, E.M.; Negm, N.A.; Farag, A.A. Synthesis, Structural Analysis, and Inhibition Approach of Novel Eco-Friendly Chalcone Derivatives on API X65 Steel Corrosion in Acidic Media Assessment with DFT & MD Studies. Environ. Technol. Innov. 2021, 24, 101966. [Google Scholar] [CrossRef]
- Hamani, H.; Douadi, T.; Daoud, D.; Al-Noaimi, M.; Rikkouh, R.A.; Chafaa, S. 1-(4-Nitrophenylo-Imino)-1-(Phenylhydrazono)-Propan-2-One as Corrosion Inhibitor for Mild Steel in 1M HCl Solution: Weight Loss, Electrochemical, Thermodynamic and Quantum Chemical Studies. J. Electroanal. Chem. 2017, 801, 425–438. [Google Scholar] [CrossRef]
- Solmaz, R.; Kardaş, G.; Çulha, M.; Yazıcı, B.; Erbil, M. Investigation of Adsorption and Inhibitive Effect of 2-Mercaptothiazoline on Corrosion of Mild Steel in Hydrochloric Acid Media. Electrochim. Acta 2008, 53, 5941–5952. [Google Scholar] [CrossRef]
- Ashassi-Sorkhabi, H.; Shaabani, B.; Seifzadeh, D. Corrosion Inhibition of Mild Steel by Some Schiff Base Compounds in Hydrochloric Acid. Appl. Surf. Sci. 2005, 239, 154–164. [Google Scholar] [CrossRef]
- Lagrenée, M.; Mernari, B.; Bouanis, M.; Traisnel, M.; Bentiss, F. Study of the Mechanism and Inhibiting Efficiency of 3,5-Bis (4-Methylthiophenyl)-4H-1,2,4-Triazole on Mild Steel Corrosion in Acidic Media. Corros. Sci. 2002, 44, 573–588. [Google Scholar] [CrossRef]
- Amer, A.; Sayed, G.H.; Ramadan, R.M.; Rabie, A.M.; Negm, N.A.; Farag, A.A.; Mohammed, E.A. Assessment of 3-Amino-1H-1,2,4-Triazole Modified Layered Double Hydroxide in Effective Remediation of Heavy Metal Ions from Aqueous Environment. J. Mol. Liq. 2021, 314, 116935. [Google Scholar] [CrossRef]
- Altalhi, A.A.; Mohammed, E.A.; Morsy, S.S.M.; Negm, N.A.; Farag, A.A. Catalyzed Production of Different Grade Biofuels Using Metal Ions Modified Activated Carbon of Cellulosic Wastes. Fuel 2021, 295, 120646. [Google Scholar] [CrossRef]
- Abubshait, H.A.; Farag, A.A.; El-Raouf, M.A.; Negm, N.A.; Mohamed, E.A. Graphene Oxide Modified Thiosemicarbazide Nanocomposite as an Effective Eliminator for Heavy Metal Ions. J. Mol. Liq. 2021, 327, 114790. [Google Scholar] [CrossRef]
- Martinez, S.; Stern, I. Thermodynamic Characterization of Metal Dissolution and Inhibitor Adsorption Processes in the Low Carbon Steel/Mimosa Tannin/Sulfuric Acid System. Appl. Surf. Sci. 2002, 199, 83–89. [Google Scholar] [CrossRef]
- Dutta, A.; Saha, S.K.; Adhikari, U.; Banerjee, P.; Sukul, D. Effect of Substitution on Corrosion Inhibition Properties of 2-(Substituted Phenyl) Benzimidazole Derivatives on Mild Steel in 1M HCl Solution: A Combined Experimental and Theoretical Approach. Corros. Sci. 2017, 123, 256–266. [Google Scholar] [CrossRef]
- Galai, M.; Rbaa, M.; Ouakki, M.; Abousalem, A.S.; Ech-chihbi, E.; Dahmani, K.; Dkhireche, N.; Lakhrissi, B.; EbnTouhami, M. Chemically Functionalized of 8-Hydroxyquinoline Derivatives as Efficient Corrosion Inhibition for Steel in 1.0 M HCl Solution: Experimental and Theoretical Studies. Surf. Interfaces 2020, 21, 100695. [Google Scholar] [CrossRef]
- Wang, D.-Y.; Nie, B.-L.; Li, H.-J.; Zhang, W.-W.; Wu, Y.-C. Anticorrosion Performance of Grape Seed Proanthocyanidins Extract and Tween-80 for Mild Steel in Hydrochloric Acid Medium. J. Mol. Liq. 2021, 331, 115799. [Google Scholar] [CrossRef]
- Khaled, K.F. Molecular Simulation, Quantum Chemical Calculations and Electrochemical Studies for Inhibition of Mild Steel by Triazoles. Electrochim. Acta 2008, 53, 3484–3492. [Google Scholar] [CrossRef]
- Torres, V.V.; Rayol, V.A.; Magalhães, M.; Viana, G.M.; Aguiar, L.C.S.; Machado, S.P.; Orofino, H.; D’Elia, E. Study of Thioureas Derivatives Synthesized from a Green Route as Corrosion Inhibitors for Mild Steel in HCl Solution. Corros. Sci. 2014, 79, 108–118. [Google Scholar] [CrossRef]
- Solmaz, R. Investigation of the Inhibition Effect of 5-((E)-4-Phenylbuta-1,3-Dienylideneamino)-1,3,4-Thiadiazole-2-Thiol Schiff Base on Mild Steel Corrosion in Hydrochloric Acid. Corros. Sci. 2010, 52, 3321–3330. [Google Scholar] [CrossRef]
- Saranya, J.; Benhiba, F.; Anusuya, N.; Subbiah, R.; Zarrouk, A.; Chitra, S. Experimental and Computational Approaches on the Pyran Derivatives for Acid Corrosion. Colloids Surf. A Physicochem. Eng. Asp. 2020, 603, 125231. [Google Scholar] [CrossRef]
- Palanimurugan, A.; Kulandaisamy, A. DNA, in Vitro Antimicrobial/Anticancer Activities and Biocidal Based Statistical Analysis of Schiff Base Metal Complexes Derived from Salicylalidene-4-Imino-2,3-Dimethyl-1-Phenyl-3-Pyrazolin-5-One and 2-Aminothiazole. J. Organomet. Chem. 2018, 861, 263–274. [Google Scholar] [CrossRef]
- Abdel Aziz, A.A.; Sayed, M.A. Some Novel Rare Earth Metal Ions Complexes: Synthesis, Characterization, Luminescence and Biocidal Efficiency. Anal. Biochem. 2020, 598, 113645. [Google Scholar] [CrossRef] [PubMed]
- Shaban, M.M.; Negm, N.A.; Farag, R.K.; Fadda, A.A.; Gomaa, A.E.; Farag, A.A.; Migahed, M.A. Anti-Corrosion, Antiscalant and Anti-Microbial Performance of Some Synthesized Trimeric Cationic Imidazolium Salts in Oilfield Applications. J. Mol. Liq. 2022, 351, 118610. [Google Scholar] [CrossRef]
- Sainis, I.; Banti, C.N.; Owczarzak, A.M.; Kyros, L.; Kourkoumelis, N.; Kubicki, M.; Hadjikakou, S.K. New Antibacterial, Non-Genotoxic Materials, Derived from the Functionalization of the Anti-Thyroid Drug Methimazole with Silver Ions. J. Inorg. Biochem. 2016, 160, 114–124. [Google Scholar] [CrossRef] [PubMed]
- Hashem, H.E.; Mohamed, E.A.; Farag, A.A.; Negm, N.A.; Azmy, E.A.M. New Heterocyclic Schiff Base-Metal Complex: Synthesis, Characterization, Density Functional Theory Study, and Antimicrobial Evaluation. Appl. Organomet. Chem. 2021, 35, e6322. [Google Scholar] [CrossRef]
- Murmu, M.; Saha, S.K.; Murmu, N.C.; Banerjee, P. Effect of Stereochemical Conformation into the Corrosion Inhibitive Behaviour of Double Azomethine Based Schiff Bases on Mild Steel Surface in 1 Mol L−1 HCl Medium: An Experimental, Density Functional Theory and Molecular Dynamics Simulation Study. Corros. Sci. 2019, 146, 134–151. [Google Scholar] [CrossRef]
- Farag, A.A.; Migahed, M.A.; Badr, E.A. Thiazole Ionic Liquid as Corrosion Inhibitor of Steel in 1 M HCl Solution: Gravimetrical, Electrochemical, and Theoretical Studies. J. Bio-Tribo-Corros. 2019, 5, 53. [Google Scholar] [CrossRef]
- Saxena, A.; Prasad, D.; Haldhar, R. Investigation of Corrosion Inhibition Effect and Adsorption Activities of Cuscuta Reflexa Extract for Mild Steel in 0.5 M H2SO4. Bioelectrochemistry 2018, 124, 156–164. [Google Scholar] [CrossRef] [PubMed]
- Lgaz, H.; Subrahmanya Bhat, K.; Salghi, R.; Shubhalaxmi; Jodeh, S.; Algarra, M.; Hammouti, B.; Ali, I.H.; Essamri, A. Insights into Corrosion Inhibition Behavior of Three Chalcone Derivatives for Mild Steel in Hydrochloric Acid Solution. J. Mol. Liq. 2017, 238, 71–83. [Google Scholar] [CrossRef]
- Li, W.; He, Q.; Pei, C.; Hou, B. Experimental and Theoretical Investigation of the Adsorption Behaviour of New Triazole Derivatives as Inhibitors for Mild Steel Corrosion in Acid Media. Electrochim. Acta 2007, 52, 6386–6394. [Google Scholar] [CrossRef]
- Singh, D.K.; Ebenso, E.E.; Singh, M.K.; Behera, D.; Udayabhanu, G.; John, R.P. Non-Toxic Schiff Bases as Efficient Corrosion Inhibitors for Mild Steel in 1M HCl: Electrochemical, AFM, FE-SEM and Theoretical Studies. J. Mol. Liq. 2018, 250, 88–99. [Google Scholar] [CrossRef]
- Bhardwaj, N.; Sharma, P.; Guo, L.; Dagdag, O.; Kumar, V. Molecular Dynamic Simulation, Quantum Chemical Calculation and Electrochemical Behaviour of Punica Granatum Peel Extract as Eco-Friendly Corrosion Inhibitor for Stainless Steel (SS-410) in Acidic Medium. J. Mol. Liq. 2022, 346, 118237. [Google Scholar] [CrossRef]
- Momeni, M.J.; Behzadi, H.; Roonasi, P.; Sadjadi, S.A.S.; Mousavi-Khoshdel, S.M.; Mousavi, S.V. Ab Initio Study of Two Quinoline Derivatives as Corrosion Inhibitor in Acidic Media: Electronic Structure, Inhibitor–Metal Interaction, and Nuclear Quadrupole Resonance Parameters. Res. Chem. Intermed. 2015, 41, 6789–6802. [Google Scholar] [CrossRef]
- Srivastava, V.; Haque, J.; Verma, C.; Singh, P.; Lgaz, H.; Salghi, R.; Quraishi, M.A. Amino Acid Based Imidazolium Zwitterions as Novel and Green Corrosion Inhibitors for Mild Steel: Experimental, DFT and MD Studies. J. Mol. Liq. 2017, 244, 340–352. [Google Scholar] [CrossRef]
- Yadav, M.; Behera, D.; Kumar, S.; Yadav, P. Experimental and Quantum Chemical Studies on Corrosion Inhibition Performance of Thiazolidinedione Derivatives for Mild Steel in Hydrochloric Acid Solution. Chem. Eng. Commun. 2015, 202, 303–315. [Google Scholar] [CrossRef]
- Zhan, C.-G.; Nichols, J.A.; Dixon, D.A. Ionization Potential, Electron Affinity, Electronegativity, Hardness, and Electron Excitation Energy: Molecular Properties from Density Functional Theory Orbital Energies. J. Phys. Chem. A 2003, 107, 4184–4195. [Google Scholar] [CrossRef]
- Hashem, H.E.; Farag, A.A.; Mohamed, E.A.; Azmy, E.M. Experimental and Theoretical Assessment of Benzopyran Compounds as Inhibitors to Steel Corrosion in Aggressive Acid Solution. J. Mol. Struct. 2022, 1249, 131641. [Google Scholar] [CrossRef]
- Singh, A.; Ansari, K.R.; Banerjee, P.; Murmu, M.; Quraishi, M.A.; Lin, Y. Corrosion Inhibition Behavior of Piperidinium Based Ionic Liquids on Q235 Steel in Hydrochloric Acid Solution: Experimental, Density Functional Theory and Molecular Dynamics Study. Colloids Surf. A Physicochem. Eng. Asp. 2021, 623, 126708. [Google Scholar] [CrossRef]
- Yang, X.; Li, F.; Zhang, W. 4-(Pyridin-4-Yl)Thiazol-2-Amine as an Efficient Non-Toxic Inhibitor for Mild Steel in Hydrochloric Acid Solutions. RSC Adv. 2019, 9, 10454–10464. [Google Scholar] [CrossRef]
- Layla Mehdi, B.; Gu, M.; Parent, L.R.; Xu, W.; Nasybulin, E.N.; Chen, X.; Unocic, R.R.; Xu, P.; Welch, D.A.; Abellan, P.; et al. In-Situ Electrochemical Transmission Electron Microscopy for Battery Research. Microsc. Microanal. 2014, 20, 484–492. [Google Scholar] [CrossRef] [PubMed]
- Farag, A.A.; Eid, A.M.; Shaban, M.M.; Mohamed, E.A.; Raju, G. Integrated Modeling, Surface, Electrochemical, and Biocidal Investigations of Novel Benzothiazoles as Corrosion Inhibitors for Shale Formation Well Stimulation. J. Mol. Liq. 2021, 336, 116315. [Google Scholar] [CrossRef]
- Anwer, K.E.; Farag, A.A.; Mohamed, E.A.; Azmy, E.M.; Sayed, G.H. Corrosion Inhibition Performance and Computational Studies of Pyridine and Pyran Derivatives for API X-65 Steel in 6M H2SO4. J. Ind. Eng. Chem. 2021, 97, 523–538. [Google Scholar] [CrossRef]
- Farag, A.A.; Ismail, A.S.; Migahed, M.A. Squid By-Product Gelatin Polymer as an Eco-Friendly Corrosion Inhibitor for Carbon Steel in 0.5 M H2SO4 Solution: Experimental, Theoretical, and Monte Carlo Simulation Studies. J. Bio- Tribo-Corros. 2020, 6, 16. [Google Scholar] [CrossRef]
- Liang, C.; Liu, Z.; Liang, Q.; Han, G.-C.; Han, J.; Zhang, S.; Feng, X.-Z. Synthesis of 2-Aminofluorene Bis-Schiff Base and Corrosion Inhibition Performance for Carbon Steel in HCl. J. Mol. Liq. 2019, 277, 330–340. [Google Scholar] [CrossRef]
- Abdallah, M.; Alfakeer, M.; Altass, H.M.; Alharbi, A.M.; Althagafi, I.; Hasan, N.F.; Mabrouk, E.M. The Polarographic and Corrosion Inhibition Performance of Some Schiff Base Compounds Derived from 2-Amino-3-Hydroxypyridine in Aqueous Media. Egypt. J. Pet. 2019, 28, 393–399. [Google Scholar] [CrossRef]
- Bedair, M.A.; Soliman, S.A.; Bakr, M.F.; Gad, E.S.; Lgaz, H.; Chung, I.-M.; Salama, M.; Alqahtany, F.Z. Benzidine-Based Schiff Base Compounds for Employing as Corrosion Inhibitors for Carbon Steel in 1.0 M HCl Aqueous Media by Chemical, Electrochemical and Computational Methods. J. Mol. Liq. 2020, 317, 114015. [Google Scholar] [CrossRef]










| Inhibitor | Concentration (M) | βa (mV d−1) | βc (mV d−1) | −Ecorr (mV vs. SCE) | icorr (μA cm−2) | ηPDP (%) |
|---|---|---|---|---|---|---|
| 1 M HCl | blank | 107.44 | 170.86 | 404.91 | 710.64 | — |
| GSB-I | 0.00005 | 99.18 | 155.83 | 439.24 | 158.47 | 77.7 |
| 0.0001 | 87.35 | 158.71 | 450.59 | 112.28 | 84.2 | |
| 0.0005 | 92.65 | 160.58 | 460.57 | 96.65 | 86.4 | |
| 0.001 | 91.44 | 159.66 | 466.22 | 71.77 | 89.9 | |
| GSB-II | 0.00005 | 105.11 | 161.47 | 451.57 | 110.86 | 84.4 |
| 0.0001 | 98.13 | 163.88 | 467.60 | 83.14 | 88.3 | |
| 0.0005 | 81.93 | 162.51 | 470.58 | 64.67 | 90.9 | |
| 0.001 | 80.22 | 161.33 | 489.35 | 47.61 | 93.3 |
| Inhibitor | Concentration (M) | Rs (Ω) | Y0 (ohm−1 sn cm−2) | n | Rct (Ω cm2) | ηi (%) | χ2 |
|---|---|---|---|---|---|---|---|
| 1 M HCl | Blank | 2.004 | 2.546 × 10−4 | 0.843 | 57.7 | — | 1.978 × 10−3 |
| GSB-I | 0.00005 | 1.140 | 4.121 × 10−4 | 0.749 | 269.9 | 78.6 | 4.267 × 10−3 |
| 0.0001 | 1.444 | 3.397 × 10−4 | 0.742 | 399.1 | 85.5 | 5.956 × 10−3 | |
| 0.0005 | 1.497 | 3.467 × 10−4 | 0.729 | 507.4 | 88.6 | 1.190 × 10−3 | |
| 0.001 | 1.547 | 2.146 × 10−4 | 0.740 | 610.6 | 90.6 | 3.507 × 10−3 | |
| GSB-II | 0.00005 | 1.538 | 3.061 × 10−4 | 0.749 | 364.0 | 84.1 | 4.248 × 10−3 |
| 0.0001 | 1.321 | 3.031 × 10−4 | 0.713 | 475.6 | 87.9 | 3.383 × 10−3 | |
| 0.0005 | 1.780 | 1.878 × 10−4 | 0.738 | 698.1 | 91.7 | 3.634 × 10−3 | |
| 0.001 | 2.040 | 2.052 × 10−4 | 0.728 | 933.9 | 93.8 | 5.223 × 10−3 |
| Inhibitors | Diameter Inhibition Zone in mm (% Activity Index) | |||||
|---|---|---|---|---|---|---|
| Gram-Positive Bacteria | Gram-Negative Bacteria | Fungi | ||||
| Bacillus subtilis (ATCC 6633) | Staphylococcus aureus (ATCC 29,737) | Pseudomonas aeruginosa (ATCC 9027) | Escherichia coli (ATCC 8739) | Candida albicans (ATCC 10,231) | Aspergillus niger (ATCC 16,404) | |
| GSB-I | 25 (92.6) | 27 (96.4) | 24 (80.0) | 17 (58.6) | 20 (105.3) | 17 (94.4) |
| GSB-II | 27 (100) | 29 (103.6) | 25 (83.3) | 19 (65.5) | 21 (110.5) | 18 (100) |
| Gentamycin | 27 (100) | 28 (100) | 30 (100) | 29 (100) | – | – |
| Ketoconazol | – | – | – | – | 19 (100) | 18 (100) |
| Inhibitors Concentration (ppm) | SRB Count (Cell mL−1) | |
|---|---|---|
| GSB-I | GSB-II | |
| Blank (107) | – | – |
| 10 | 106 | 106 |
| 20 | 105 | 104 |
| 30 | 104 | 103 |
| 40 | 103 | 102 |
| 50 | 102 | 102 |
| Parameters | GSB-I | GSB-II |
|---|---|---|
| EHOMO | −0.2491 | −0.2334 |
| ELUMO | −0.0196 | −0.0448 |
| ΔE | 0.2295 | 0.1886 |
| Ionization (I) | 0.2491 | 0.2334 |
| Affinity (A) | 0.0196 | 0.0448 |
| Absolute electronegativity (χ) | 0.1343 | 0.1391 |
| Global hardness (η) | 0.1148 | 0.0943 |
| Softness (σ) | 8.7135 | 10.6073 |
| ΔN | 57.4082 | 62.1786 |
| System | Einteraction (kcal/mol) | Ebinding (kcal/mol) |
|---|---|---|
| Fe + GSB-I + H2O | −492.743 | 492.743 |
| Fe + GSB-II + H2O | −990.275 | 990.275 |
| Schiff Bases Inhibitors | Metal/Solution | η (%) | Ref. |
|---|---|---|---|
| (1E,2E)-N1,N2-di(9H-fluoren-2-yl)ethane-1,2-diimine | CS/1M HCl | 68 | [87] |
| (1E,1′E)-1,1′-(1,4-phenylene)bis(N-(9H-fluoren-2-yl)methanimine) | 59 | ||
| (1E,1′E)-1,1′-([1,1′-biphenyl]-4,4′-diyl)bis(N-(9H-fluoren-2-yl)methanimine) | 77 | ||
| (E)-2-(benzylideneamino)pyridin-3-ol | 76 | [88] | |
| (E)-2-((2-hydroxybenzylidene)amino)pyridin-3-ol | 84 | ||
| (E)-2-((4-methoxybenzylidene)amino)pyridin-3-ol | 86 | ||
| (E)-2-((4-(dimethylamino)benzylidene)amino)pyridin-3-ol | 90 | ||
| 4,4′-((1E,1′E)-([1,1′-biphenyl]-4,4′-diylbis(azaneylylidene))bis(methaneylylidene))bis(N,N-dimethylaniline) | 92 | [89] | |
| GSB-II | 94 | Current inhibitor |
Publisher’s Note: MDPI stays neutral with regard to jurisdictional claims in published maps and institutional affiliations. |
© 2022 by the authors. Licensee MDPI, Basel, Switzerland. This article is an open access article distributed under the terms and conditions of the Creative Commons Attribution (CC BY) license (https://creativecommons.org/licenses/by/4.0/).
Share and Cite
Farag, A.A.; Toghan, A.; Mostafa, M.S.; Lan, C.; Ge, G. Environmental Remediation through Catalytic Inhibition of Steel Corrosion by Schiff’s Bases: Electrochemical and Biological Aspects. Catalysts 2022, 12, 838. https://doi.org/10.3390/catal12080838
Farag AA, Toghan A, Mostafa MS, Lan C, Ge G. Environmental Remediation through Catalytic Inhibition of Steel Corrosion by Schiff’s Bases: Electrochemical and Biological Aspects. Catalysts. 2022; 12(8):838. https://doi.org/10.3390/catal12080838
Chicago/Turabian StyleFarag, Ahmed A., Arafat Toghan, Mohsen S. Mostafa, Chen Lan, and Guanglu Ge. 2022. "Environmental Remediation through Catalytic Inhibition of Steel Corrosion by Schiff’s Bases: Electrochemical and Biological Aspects" Catalysts 12, no. 8: 838. https://doi.org/10.3390/catal12080838
APA StyleFarag, A. A., Toghan, A., Mostafa, M. S., Lan, C., & Ge, G. (2022). Environmental Remediation through Catalytic Inhibition of Steel Corrosion by Schiff’s Bases: Electrochemical and Biological Aspects. Catalysts, 12(8), 838. https://doi.org/10.3390/catal12080838

