Iron-Modified Titanate Nanorods for Oxidation of Aqueous Ammonia Using Combined Treatment with Ozone and Solar Light Irradiation
Abstract
:1. Introduction
2. Results
2.1. Catalysts Synthesis
2.2. Catalysts Characterisation
2.2.1. Scanning Electron Microscopy (SEM)
2.2.2. X-ray Diffraction (XRD) and X-ray Fluorescence (XRF)
2.2.3. UV–Vis Spectroscopy
2.2.4. Photoluminescence Measurements
2.2.5. Reactive Oxygen Species Generation: Hydroxyl Radical (·OH) and Superoxide Anion (O2−)
Hydroxyl Radical (·OH)
Superoxide Anion (O2−)
2.2.6. Electrokinetic Potential Measurements
2.2.7. Photoelectrochemical Measurements
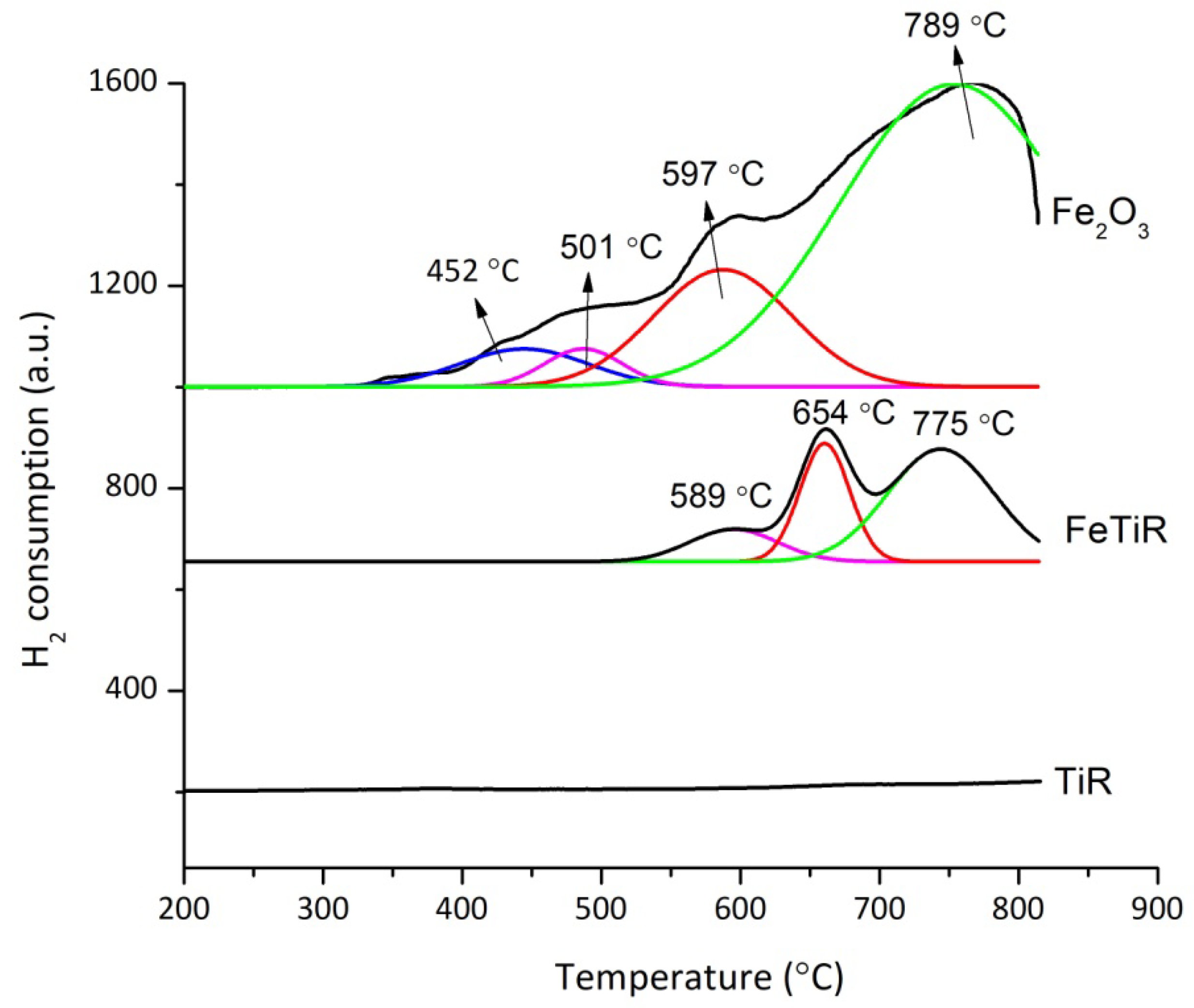
2.2.8. Temperature-Programmed Reduction Measurements (H2-TPR)
2.2.9. Temperature-Programmed Desorption Measurements (NH3-TPD)
3. Catalytic Assays
3.1. Ammonia Oxidation with Ozone
- −
- An equilibrium reaction (Equation (1)):
- −
- Direct oxidation with ozone, especially for low pH (pH < Pka):
- −
- The reaction of ·OH radicals resulting from the decomposition of O3 (Equation (3)) (pH > Pka):
3.2. Photocatalytic Assays
- −
- The investigated ROS (both hydroxyl radicals and superoxide anions) are not fully involved in the degradative pathway.
- −
- The photogenerated charges on the catalyst surface play a major role in ammonia oxidation.
- −
- The highest photocatalytic activity of the Fe-modified titanate nanorods can be related to the increased light absorption relative to the bare samples.
4. Materials and Methods
4.1. Synthesis of Materials
4.2. Structural and Functional Characterization of the Obtained Materials
4.2.1. SEM—Scanning Electron Microscopy
4.2.2. X-ray Diffraction (XRD) and X-ray Fluorescence (XRF)
4.2.3. UV–Vis Spectrophotometry
4.2.4. Photoluminescence (PL) Measurements
4.2.5. Identification of Reactive Oxygen Species (ROS) Generation under Solar Irradiation
4.2.6. Electrokinetic Potential Measurements
4.2.7. Photoelectrochemical (PEC) Tests
4.2.8. H2-TPR-Hydrogen Temperature-Programmed Reduction
4.2.9. NH3-TPD Temperature-Programmed Desorption
4.3. Catalytic Ozonation and Photocatalytic Tests
5. Conclusions
Author Contributions
Funding
Conflicts of Interest
References
- Oller, I.; Malato, S.; Sánchez-Pérez, J.A. Combination of Advanced Oxidation Processes and biological treatments for wastewater decontamination—A review. Sci. Total Environ. 2011, 409, 4141–4166. [Google Scholar] [CrossRef] [PubMed]
- Shiskowski, D.M.; Mavinic, D.S. Biological treatment of a high ammonia leachate: Influence of external carbon during initial startup. Water Res. 1998, 32, 2533–2541. [Google Scholar] [CrossRef]
- Malone, R.F.; Pfeiffer, T.J. Rating fixed film nitrifying biofilters used in recirculating aquaculture systems. Aquacult. Eng. 2006, 34, 389–402. [Google Scholar] [CrossRef]
- Yuan, M.-H.; Chen, Y.-H.; Tsai, J.-Y.; Chang, C.-Y. Removal of ammonia from wastewater by air stripping process in laboratory and pilot scales using a rotating packed bed at ambient temperature. J. Taiwan Inst. Chem. Eng. 2016, 60, 488–495. [Google Scholar] [CrossRef]
- Devi, P.; Dalai, A.K. Implications of breakpoint chlorination on chloramines decay and disinfection by-products formation in brine solution. Desalination 2021, 504, 114961. [Google Scholar] [CrossRef]
- Bhuiyan, M.I.H.; Mavinic, D.; Beckie, R. Nucleation and growth kinetics of struvite in a fluidized bed reactor. J. Cryst. Growth 2008, 310, 1187–1194. [Google Scholar] [CrossRef]
- Pansini, M. Natural zeolites as cation exchangers for environmental protection. Miner. Depos. 1996, 31, 563–575. [Google Scholar] [CrossRef]
- Ichikawa, S.I.; Mahardiani, L.; Kamiya, Y. Catalytic oxidation of ammonium ion in water with ozone over metal oxide catalysts. Catal. Today 2014, 232, 192–197. [Google Scholar] [CrossRef]
- Krisbiantoro, P.A.; Togawa, T.; Kato, K.; Zhang, J.; Otomo, R.; Kamiya, Y. Ceria-supported palladium as a highly active and selective catalyst for oxidative decomposition of ammonium ion in water with ozone. Catal. Commun. 2021, 149, 106204. [Google Scholar] [CrossRef]
- Chen, Y.; Wu, Y.; Liu, C.; Guo, L.; Nie, J.; Chen, Y.; Qiu, T. Low-temperature conversion of ammonia to nitrogen in water 2 with ozone over composite metal oxide catalyst. J. Environ. Sci. 2018, 66, 265–273. [Google Scholar] [CrossRef]
- Taguchi, J.; Okuhara, T. Selective oxidative decomposition of ammonia in neutral water to nitrogen over titania-supported platinum or palladium catalyst. Appl. Catal. A Gen. 2000, 194, 89–97. [Google Scholar] [CrossRef]
- Ukropec, R.; Kuster, B.F.M.; Schouten, J.C.; van Santen, R.A. Low temperature oxidation of ammonia to nitrogen in liquid phase. Appl. Catal. B Environ. 1999, 23, 45–47. [Google Scholar] [CrossRef]
- Wang, Y.; Xu, W.; Li, C.; Yang, Y.; Geng, Z.; Zhu, T. Effects of IrO2 nanoparticle sizes on Ir/Al2O3 catalysts for the selective oxidation of ammonia. Chem. Eng. J. 2022, 437, 135398. [Google Scholar] [CrossRef]
- Dobrescu, G.; Papa, F.; State, R.; Balint, I. Characterization of bimetallic nanoparticles by fractal analysis. Powder Technol. 2018, 338, 905–914. [Google Scholar] [CrossRef]
- State, R.; Papa, F.; Dobrescu, G.; Munteanu, C.; Atkinson, I.; Balint, I.; Volceanov, A. Green synthesis and characterization of gold nanoparticles obtained by a direct reduction method and their fractal dimension. Environ. Eng. Manag. J. 2015, 14, 587–593. [Google Scholar] [CrossRef]
- Shavisi, Y.; Sharifnia, S.; Mohamadi, Z. Solar-Light-Harvesting Degradation of Aqueous Ammonia by CuO/ZnO Immobilized on Pottery Plate: Linear Kinetic Modeling for Adsorption and Photocatalysis Process. J. Environ. Chem. Eng. 2016, 4, 2736–2744. [Google Scholar] [CrossRef]
- Bahadori, E.; Conte, F.; Tripodi, A.; Ramis, G.; Rossetti, I. Photocatalytic Selective Oxidation of Ammonia in a Semi-Batch Reactor: Unravelling the Effect of Reaction Conditions and Metal Co-Catalysts. Catalysts 2021, 11, 209. [Google Scholar] [CrossRef]
- Wang, I.; Edwards, J.G.; Davies, J.A. Photooxidation of aqueous ammonia with titania-based heterogeneous catalysts. Sol. Energy 1994, 52, 459–466. [Google Scholar] [CrossRef]
- Bavykin, D.V.; Friedrich, J.M.; Walsh, F.C. Protonated Titanates and TiO2 Nanostructured Materials: Synthesis, Properties and Applications. Adv. Mater. 2006, 18, 2807–2824. [Google Scholar] [CrossRef]
- Amy, L.; Favre, S.; Gau, D.L.; Faccio, R. The effect of morphology on the optical and electrical properties of sodium titanate nanostructures. Appl. Surf. Sci. 2021, 555, 149610. [Google Scholar] [CrossRef]
- Sayahi, H.; Aghappor, K.; Mohsenzadeh, F.; Morad, M.M.; Darabi, H.R. TiO2 nanorods integrated with titania nanoparticles: Large specific surface area 1D nanostructures for improved efficiency of dye-sensitized solar cells (DSSCs). Sol. Energy 2021, 215, 311–320. [Google Scholar] [CrossRef]
- Kerkez, O.; Boz, I. Photo(electro)catalytic Activity of Cu2+-Modified TiO2 Nanorod, Array Thin Films under Visible Light Irradiation. J. Phys. Chem. Solids 2014, 75, 611–618. [Google Scholar] [CrossRef]
- Preda, S.; Anastasescu, C.; Balint, I.; Umek, P.; Sluban, M.; Negrila, C.; Angelescu, D.G.; Bratan, V.; Rusu, A.; Zaharescu, M. Charge separation and ROS generation on tubular sodium titanates exposed to simulated solar light. Appl. Surf. Sci. 2019, 470, 1053–1063. [Google Scholar] [CrossRef]
- Ma, J.; Lian, J.; Duan, X.; Liu, X.; Zheng, W. α-Fe2O3: Hydrothermal Synthesis, Magnetic and Electrochemical Properties. J. Phys. Chem. C 2010, 114, 10671–10676. [Google Scholar] [CrossRef]
- Andrusenko, I.; Mugnaioli, E.; Gorelika, T.E.; Koll, D.; Panthöfer, M.; Tremelb, W.; Kolb, U. Structure analysis of titanate nanorods by automated electron diffraction tomography. Acta Crystallogr. Sect. B Struct. Sci. 2011, 67, 218–225. [Google Scholar] [CrossRef]
- Shirpour, M.; Cabana, J.; Doef, M. New materials based on a layered sodium titanate for dual electrochemical Na and Li intercalation systems. Energy Environ. Sci. 2013, 6, 2538–2547. [Google Scholar] [CrossRef] [Green Version]
- Liqiang, J.; Yichun, Q.; Baiqi, W.; Shudan, L.; Baojiang, J.; Libin, Y.; Wei, F.; Honggang, F.; Jiazhong, S. Review of photoluminescence performance of nano-sized semiconductor materials and its relationships with photocatalytic activity. Sol. Energy Mater. Sol. Cells 2006, 90, 1773–1787. [Google Scholar] [CrossRef]
- Anastasescu, C.; Negrila, C.; Angelescu, D.G.; Atkinson, I.; Anastasescu, M.; Spataru, N.; Zaharescu, M.; Balint, I. Distinct and interrelated facets bound to photocatalysis and ROS generation on insulators and semiconductors: Cases of SiO2, TiO2 and their composite SiO2-TiO2. Catal. Sci. Technol. 2018, 8, 5657–5668. [Google Scholar] [CrossRef]
- Liu, B.; Geng, S.; Zheng, J.; Jia, X.; Jiang, F.; Liu, X. Unravelling the new roles of Na and Mn promoter in CO2 hydrogenation over Fe3O4-Based catalysts for enhanced selectivity to light α-olefins. ChemCatChem 2018, 10, 4718–4732. [Google Scholar] [CrossRef]
- Stoicescu, C.S.; Culita, D.; Stanica, N.; Papa, F.; State, R.N.; Munteanu, G. Temperature programmed reduction of a core-shell synthetic magnetite: Dependence on the heating rate of the reduction mechanism. Termochim. Acta. 2022, 709, 179146. [Google Scholar] [CrossRef]
- Wang, X.; Zhao, Z.; Xu, Y.; Li, Q. Promoting effect of Ti addition on three-dimensionally ordered macroporous Mn-Ce catalysts for NH3-SCR reaction: Enhanced N2 selectivity and remarkable water resistance. Appl. Surf. Sci. 2021, 569, 151047. [Google Scholar] [CrossRef]
- Shibuya, S.; Aoki, S.; Sekine, Y.; Mikami, I. Influence of oxygen addition on photocatalytic oxidation of aqueous ammonia over platinum-loaded TiO2. Appl. Catal. B Environ. 2013, 138–139, 294–298. [Google Scholar] [CrossRef]

















| Sample | (001) Crystal Plane | Unit Cell Parameters | ||||||
|---|---|---|---|---|---|---|---|---|
| 2θ | d-Value | a | b | c | α | β | γ | |
| (°) | (Å) | (Å) | (Å) | (Å) | (°) | (°) | (°) | |
| TiR | 10.195(4) | 8.670(4) | 21.461(10) | 3.757(7) | 12.113(7) | 90 | 135.59(2) | 90 |
| FeTiR | 10.291(5) | 8.589(4) | 21.497(9) | 3.7305(16) | 12.051(6) | 90 | 135.592(18) | 90 |
| Fe2O3 | - | - | 5.038(2) | 5.038(2) | 13.780(6) | 90 | 90 | 120 |
| Catalyst | H2 Consumption TPR (µmol/g) | Total H2 Consumption (µmol/g) | |||
|---|---|---|---|---|---|
| I FeO(OH) | II Fe2O3→Fe3O4 | III IV Fe2+,3+→Fe0 | |||
| TiR | 0 | 0 | 0 | 0 | |
| FeTiR | 0 | 128 | 244 | 232 | 604 |
| Fe2O3 | 1625 | 3092 | 4098 | 9352 | 18,167 |
| Catalysts | Weak Acid Sites µmol·g−1 T < 300 °C | Moderate Acid Sites µmol·g−1 300 °C < T < 600 °C | Strong Acid Sites µmol·g−1 T > 600 °C | Total Acid Sites µmol·g−1 |
|---|---|---|---|---|
| TiR | 0.185 | 0.682 | 9.764 | 10.631 |
| FeTiR | 0.714 | 2.204 | 11.989 | 14.907 |
| Fe2O3 | 0.329 | 0.964 | 1.306 | 2.599 |
Publisher’s Note: MDPI stays neutral with regard to jurisdictional claims in published maps and institutional affiliations. |
© 2022 by the authors. Licensee MDPI, Basel, Switzerland. This article is an open access article distributed under the terms and conditions of the Creative Commons Attribution (CC BY) license (https://creativecommons.org/licenses/by/4.0/).
Share and Cite
Preda, S.; Umek, P.; Zaharescu, M.; Anastasescu, C.; Petrescu, S.V.; Gîfu, C.; Eftemie, D.-I.; State, R.; Papa, F.; Balint, I. Iron-Modified Titanate Nanorods for Oxidation of Aqueous Ammonia Using Combined Treatment with Ozone and Solar Light Irradiation. Catalysts 2022, 12, 666. https://doi.org/10.3390/catal12060666
Preda S, Umek P, Zaharescu M, Anastasescu C, Petrescu SV, Gîfu C, Eftemie D-I, State R, Papa F, Balint I. Iron-Modified Titanate Nanorods for Oxidation of Aqueous Ammonia Using Combined Treatment with Ozone and Solar Light Irradiation. Catalysts. 2022; 12(6):666. https://doi.org/10.3390/catal12060666
Chicago/Turabian StylePreda, Silviu, Polona Umek, Maria Zaharescu, Crina Anastasescu, Simona Viorica Petrescu, Cătălina Gîfu, Diana-Ioana Eftemie, Razvan State, Florica Papa, and Ioan Balint. 2022. "Iron-Modified Titanate Nanorods for Oxidation of Aqueous Ammonia Using Combined Treatment with Ozone and Solar Light Irradiation" Catalysts 12, no. 6: 666. https://doi.org/10.3390/catal12060666
APA StylePreda, S., Umek, P., Zaharescu, M., Anastasescu, C., Petrescu, S. V., Gîfu, C., Eftemie, D.-I., State, R., Papa, F., & Balint, I. (2022). Iron-Modified Titanate Nanorods for Oxidation of Aqueous Ammonia Using Combined Treatment with Ozone and Solar Light Irradiation. Catalysts, 12(6), 666. https://doi.org/10.3390/catal12060666

