Application of Bioelectrochemical System and Magnetite Nanoparticles on the Anaerobic Digestion of Sewage Sludge: Effect of Electrode Configuration
Abstract
:1. Introduction
2. Results and Discussions
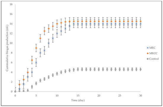
2.1. Biogas Production and Methane Composition
2.2. Electrochemical Characterization
2.3. Process Stability
2.4. Removal Efficiencies
2.5. Kinetic Analysis
3. Materials and Methods
3.1. Anaerobic Digester and Operation
3.2. Magnetite Nanoparticle (Fe3O4-NPs) Preparation and Substrate/Reagents
3.3. Analytical Methods and Calculations
4. Conclusions
Author Contributions
Funding
Data Availability Statement
Acknowledgments
Conflicts of Interest
References
- Abdel-Shafy, H.I.; Mansour, M.S.M. Solid waste issue: Sources, composition, disposal, recycling, and valorization. Egypt. J. Pet. 2018, 27, 1275–1290. [Google Scholar] [CrossRef]
- Ayeleru, O.O.; Olubambi, P.A. Chapter 13–Solid Waste Treatment Processes and Remedial Solution in the Developing Countries. In Soft Computing Techniques in Solid Waste and Wastewater Management; Elsevier: Amsterdam, The Netherlands, 2021; pp. 233–246. ISBN 9780128244630. [Google Scholar]
- Gielen, D.; Boshell, F.; Saygin, D.; Bazilian, M.D.; Wagner, N.; Gorini, R. The role of renewable energy in the global energy transformation. Energy Strategy Rev. 2019, 24, 38–50. [Google Scholar] [CrossRef]
- Bhatt, A.H.; Tao, L. Economic Perspectives of Biogas Production via Anaerobic Digestion. Bioengineering 2020, 7, 74. [Google Scholar] [CrossRef] [PubMed]
- Madondo, N.I.; Chetty, M. Anaerobic co-digestion of sewage sludge and bio-based glycerol: Optimisation of process variables using one-factor-at-a-time (OFAT) and Box-Behnken Design (BBD) techniques. S. Afr. J. Chem. Eng. 2022, 40, 87–99. [Google Scholar] [CrossRef]
- Kamperidou, V.; Terzopoulou, P. Anaerobic Digestion of Lignocellulosic Waste Materials. Sustainability 2021, 13, 12810. [Google Scholar] [CrossRef]
- Kasinath, A.; Fudala-Ksiazek, S.; Szopinska, M.; Bylinski, H.; Artichowicz, W.; Remiszewska-Skwarek, A.; Luczkiewicz, A. Biomass in biogas production: Pretreatment and codigestion. Renew. Sustain. Energy Rev. 2021, 150, 111509. [Google Scholar] [CrossRef]
- Cucchiella, F.; D’Adamo, I.; Gastaldi, M. Biomethane: A Renewable Resource as Vehicle Fuel. Resources 2017, 6, 58. [Google Scholar] [CrossRef]
- Hassanein, A.; Witarsa, F.; Lansing, S.; Qiu, L.; Liang, Y. Bio-Electrochemical Enhancement of Hydrogen and Methane Pro-duction in a Combined Anaerobic Digester (AD) and Microbial Electrolysis Cell (MEC) from Dairy Manure. Sustainability 2020, 12, 8491. [Google Scholar] [CrossRef]
- Guo, P.; Zhou, J.; Ma, R.; Yu, N.; Yuan, Y. Biogas Production and Heat Transfer Performance of a Multiphase Flow Digester. Energies 2019, 12, 1960. [Google Scholar] [CrossRef]
- Pawar, A.A.; Karthic, A.; Lee, S.; Pandit, S.; Jung, S.P. Microbial electrolysis cells for electromethanogenesis: Materials, configurations and operations. Environ. Eng. Res. 2020, 27, 200484. [Google Scholar] [CrossRef]
- Đurđević, D.; Blecich, P.; Jurić, Ž. Energy Recovery from Sewage Sludge: The Case Study of Croatia. Energies 2019, 12, 1927. [Google Scholar] [CrossRef]
- Rorat, A.; Courtois, P.; Vandenbulcke, F.; Lemiere, S. Sanitary and environmental aspects of sewage sludge management. In Industrial and Municipal Sludge; Butterworth-Heinemann: Oxford, UK, 2019; pp. 155–180. ISBN 9780128159071. [Google Scholar]
- Park, J.; Jiang, D.; Lee, B.; Jun, H.B. Towards the practical application of bioelectrochemical anaerobic digestion (BEAD): In-sights into electrode materials, reactor configurations, and process designs. Water Res. 2020, 184, 116214. [Google Scholar] [CrossRef] [PubMed]
- Oh, G.-G.; Song, Y.-C.; Bae, B.-U.; Lee, C.-Y. Electric Field-Driven Direct Interspecies Electron Transfer for Bioelectrochemical Methane Production from Fermentable and Non-Fermentable Substrates. Processes 2020, 8, 1293. [Google Scholar] [CrossRef]
- Sleutels, T.H.J.A.; Molenaar, S.D.; Ter Heijne, A.; Buisman, C.J.N. Low Substrate Loading Limits Methanogenesis and Leads to High Coulombic Efficiency in Bioelectrochemical Systems. Microorganisms 2016, 4, 7. [Google Scholar] [CrossRef] [PubMed]
- Dębowski, M.; Zieliński, M. Technological Effectiveness of Sugar-Industry Effluent Methane Fermentation in a Fluidized Active Filling Reactor (FAF-R). Energies 2020, 13, 6626. [Google Scholar] [CrossRef]
- Zielinski, M.; Debowski, M.; Krzemieniewski, M.; Dudek, M.; Grala, A. Effect of constant magnetic field with various values of magnetic induction on effectiveness of dairy wastewaters treatment under anaerobic conditions. Pol. J. Environ. Stud. 2014, 23, 255–261. [Google Scholar]
- Madondo, N.I.; Tetteh, E.K.; Rathilal, S.; Bakare, B.F. Synergistic Effect of Magnetite and Bioelectrochemical Systems on An-aerobic Digestion. Bioengineering 2021, 8, 198. [Google Scholar] [CrossRef]
- An, Z.; Feng, Q.; Zhao, R.; Wang, X. Bioelectrochemical Methane Production from Food Waste in Anaerobic Digestion Using a Carbon-Modified Copper Foam Electrode. Processes 2020, 8, 416. [Google Scholar] [CrossRef]
- Zieliński, M.; Dębowski, M.; Kazimierowicz, J. The Effect of Static Magnetic Field on Methanogenesis in the Anaerobic Digestion of Municipal Sewage Sludge. Energies 2021, 14, 590. [Google Scholar] [CrossRef]
- Paritosh, K.; Yadav, M.; Chawade, A.; Sahoo, D.; Kesharwani, N.; Pareek, N.; Vivekanand, V. Additives as a Support Structure for Specific Biochemical Activity Boosts in Anaerobic Digestion: A Review. Front. Energy Res. 2020, 8, 88. [Google Scholar] [CrossRef]
- Baek, G.; Kim, J.; Kim, S.; Lee, C. Role and Potential of Direct Interspecies Electron Transfer in Anaerobic Digestion. Energies 2018, 11, 107. [Google Scholar] [CrossRef]
- Kumar, S.S.; Ghosh, P.; Kataria, N.; Kumar, D.; Thakur, S.; Pathania, D.; Kumar, V.; Nasrullah, M.; Singh, L. The role of conductive nanoparticles in anaerobic digestion: Mechanism, current status and future perspectives. Chemosphere 2021, 280, 130601. [Google Scholar] [CrossRef]
- Yang, Z.; Guo, R.; Shi, X.; Wang, C.; Wang, L.; Dai, M. Magnetite nanoparticles enable a rapid conversion of volatile fatty acids to methane. RSC Adv. 2016, 6, 25662–25668. [Google Scholar] [CrossRef]
- Dange, P.; Pandit, S.; Jadhav, D.; Shanmugam, P.; Gupta, P.K.; Kumar, S.; Kumar, M.; Yang, Y.H.; Bhatia, S.K. Recent De-velopments in Microbial Electrolysis Cell-Based Biohydrogen Production Utilizing Wastewater as a Feedstock. Sustainability 2021, 13, 8796. [Google Scholar] [CrossRef]
- Paulo, L.M.; Stams, A.J.M.; Sousa, D.Z. Methanogens, sulphate and heavy metals: A complex system. Rev. Environ. Sci. Bio/Technol. 2015, 14, 537–553. [Google Scholar] [CrossRef]
- Glass, J.B.; Orphan, V.J. Trace Metal Requirements for Microbial Enzymes Involved in the Production and Consumption of Methane and Nitrous Oxide. Front. Microbiol. 2012, 3, 61. [Google Scholar] [CrossRef]
- Zhang, J.; Lu, T.; Wang, Z.; Wang, Y.; Zhong, H.; Shen, P.; Wei, Y. Effects of magnetite on anaerobic digestion of swine manure: Attention to methane production and fate of antibiotic resistance genes. Bioresour. Technol. 2019, 291, 121847. [Google Scholar] [CrossRef]
- Feng, Q.; Song, Y.-C.; Ahn, Y. Electroactive microorganisms in bulk solution contribute significantly to methane production in bioelectrochemical anaerobic reactor. Bioresour. Technol. 2018, 259, 119–127. [Google Scholar] [CrossRef]
- Shen, L.; Zhao, Q.; Wu, X.; Li, X.; Li, Q.; Wang, Y. Interspecies electron transfer in syntrophic methanogenic consortia: From cultures to bioreactors. Renew. Sustain. Energy Rev. 2015, 54, 1358–1367. [Google Scholar] [CrossRef]
- Yao, J.; Mei, Y.; Xia, G.; Lu, Y.; Xu, D.; Sun, N.; Wang, J.; Chen, J. Process Optimization of Electrochemical Oxidation of Ammonia to Nitrogen for Actual Dyeing Wastewater Treatment. Int. J. Environ. Res. Public Heal. 2019, 16, 2931. [Google Scholar] [CrossRef]
- Tokonami, S.; Kurita, S.; Yoshikawa, R.; Sakurai, K.; Suehiro, T.; Yamamoto, Y.; Tamura, M.; Karthaus, O.; Iida, T. Light-induced assembly of living bacteria with honeycomb substrate. Sci. Adv. 2020, 6, eaaz5757. [Google Scholar] [CrossRef] [PubMed]
- Zhang, L.; Zhu, X.; Li, J.; Liao, Q.; Ye, D. Biofilm formation and electricity generation of a microbial fuel cell started up under different external resistances. J. Power Sources 2011, 196, 6029–6035. [Google Scholar] [CrossRef]
- Halim, A.; Rahman, O.; Ibrahim, M.; Kundu, R.; Biswas, B.K. Effect of Anolyte pH on the Performance of a Dual-Chambered Microbial Fuel Cell Operated with Different Biomass Feed. J. Chem. 2021, 2021, 5465680. [Google Scholar] [CrossRef]
- Nelabhotla, A.B.T.; Dinamarca, C. Bioelectrochemical CO2 Reduction to Methane: MES Integration in Biogas Production Processes. Appl. Sci. 2019, 9, 1056. [Google Scholar] [CrossRef]
- Villano, M.; Aulenta, F.; Ciucci, C.; Ferri, T.; Giuliano, A.; Majone, M. Bioelectrochemical reduction of CO2 to CH4 via direct and indirect extracellular electron transfer by a hydrogenophilic methanogenic culture. Bioresour. Technol. 2010, 101, 3085–3090. [Google Scholar] [CrossRef] [PubMed]
- Moreno, M.C. Anaerobic Digestion and Bioelectrochemical Systems Combination for Energy and Nitrogen Recovery Optimization. Ph.D. Thesis, The Polytechnic University of Catalonia, Barcelona, Spain, 2016. [Google Scholar]
- Hamed, M.S.; Majdi, H.S.; Hasan, B.O. Effect of Electrode Material and Hydrodynamics on the Produced Current in Double Chamber Microbial Fuel Cells. ACS Omega 2020, 5, 10339–10348. [Google Scholar] [CrossRef]
- Chopart, J.-P.; Douglade, J.; Fricoteaux, P.; Olivier, A. Electrodeposition and electrodissolution of copper with a magnetic field: Dynamic and stationary investigations. Electrochim. Acta 1991, 36, 459–463. [Google Scholar] [CrossRef]
- Mao, C.; Wang, X.; Xi, J.; Feng, Y.; Ren, G. Linkage of kinetic parameters with process parameters and operational conditions during anaerobic digestion. Energy 2017, 135, 352–360. [Google Scholar] [CrossRef]
- Amo-Duodu, G.; Tetteh, E.K.; Rathilal, S.; Chollom, M. Synthesis and characterization of magnetic nanoparticles: Biocatalytic effects on wastewater treatment. Mater. Today Proc. 2022, in press. [Google Scholar] [CrossRef]
- APHA; AWWA; WEF. Standard Methods for Examination of Water and Wastewater, 22nd ed.; American Public Health Association: Washington, WA, USA, 2012. [Google Scholar]
- Wang, M.; Yan, Z.; Huang, B.; Zhao, J.; Liu, R. Electricity Generation by Microbial Fuel Cells Fuelled with Enteromorpha Prolifera Hydrolysis. Int. J. Electrochem. Sci. 2013, 8, 2104–2111. [Google Scholar]
- Nandy, A.; Kumar, V.; Mondal, S.; Dutta, K.; Salah, M.; Kundu, P.P. Performance evaluation of microbial fuel cells: Effect of varying electrode configuration and presence of a membrane electrode assembly. New Biotechnol. 2015, 32, 272–281. [Google Scholar] [CrossRef] [PubMed]
- Madondo, N.I.; Kweinor Tetteh, E.; Rathilal, S.; Bakare, B.F. Effect of an Electromagnetic Field on Anaerobic Digestion: Comparing an Electromagnetic System (ES), a Microbial Electrolysis System (MEC), and a Control with No External Force. Molecules 2022, 27, 3372. [Google Scholar] [CrossRef] [PubMed]











| Digester Type | Methane (%) | Methane Conversion Rate (mL CH4/g CODremoved) |
|---|---|---|
| MECC | 88.2 | 409.2 |
| MEC | 83.0 | 337.4 |
| Control | 39.1 | 96.1 |
| Parameter | Unit | MECC | MEC | Control |
|---|---|---|---|---|
| Coefficient of determination (R2) | - | 1.004 | 0.991 | 0.987 |
| Constant rate (k) | 1/day | 0.427 | 0.350 | 0.306 |
| Lag phase (λ) | day | 1.086 | 1.425 | 2.469 |
| Maximum biogas yield rate (Bm) | mL/g VSfed day | 86.01 | 60.44 | 21.94 |
| Maximum biogas potential (Bp) | mL/g VSfed | 548.0 | 537.7 | 170.2 |
| Maximum biogas yield measured | mL/g VSfed | 548.0 | 537.0 | 170.0 |
| Percentage difference | % | 0.00 | 0.13 | 0.12 |
| Parameter | Quantity |
|---|---|
| pH | 6.71 ± 0.52 |
| Density (kg/m3) | 1080.00 ± 29.10 |
| Ammonia nitrogen (NH3-N, mg/L) | 39.69 ± 2.77 |
| Total organic carbon (TOC, mg/L) | 3675.22 ± 48.23 |
| Phosphate (mg/L) | 9.74 ± 0.15 |
| Total suspended solids (TSS, mg/L) | 38.12 ± 1.35 |
| Chemical oxygen demand (COD, mg/L) | 2311.00 ± 199.57 |
| Color (Pt.Co) | 241.73 ± 5.29 |
| Turbidity (NTU) | 522.27 ± 7.86 |
Publisher’s Note: MDPI stays neutral with regard to jurisdictional claims in published maps and institutional affiliations. |
© 2022 by the authors. Licensee MDPI, Basel, Switzerland. This article is an open access article distributed under the terms and conditions of the Creative Commons Attribution (CC BY) license (https://creativecommons.org/licenses/by/4.0/).
Share and Cite
Madondo, N.I.; Tetteh, E.K.; Rathilal, S.; Bakare, B.F. Application of Bioelectrochemical System and Magnetite Nanoparticles on the Anaerobic Digestion of Sewage Sludge: Effect of Electrode Configuration. Catalysts 2022, 12, 642. https://doi.org/10.3390/catal12060642
Madondo NI, Tetteh EK, Rathilal S, Bakare BF. Application of Bioelectrochemical System and Magnetite Nanoparticles on the Anaerobic Digestion of Sewage Sludge: Effect of Electrode Configuration. Catalysts. 2022; 12(6):642. https://doi.org/10.3390/catal12060642
Chicago/Turabian StyleMadondo, Nhlanganiso Ivan, Emmanuel Kweinor Tetteh, Sudesh Rathilal, and Babatunde Femi Bakare. 2022. "Application of Bioelectrochemical System and Magnetite Nanoparticles on the Anaerobic Digestion of Sewage Sludge: Effect of Electrode Configuration" Catalysts 12, no. 6: 642. https://doi.org/10.3390/catal12060642
APA StyleMadondo, N. I., Tetteh, E. K., Rathilal, S., & Bakare, B. F. (2022). Application of Bioelectrochemical System and Magnetite Nanoparticles on the Anaerobic Digestion of Sewage Sludge: Effect of Electrode Configuration. Catalysts, 12(6), 642. https://doi.org/10.3390/catal12060642
