Substrate Specificity of an Aminopropyltransferase and the Biosynthesis Pathway of Polyamines in the Hyperthermophilic Crenarchaeon Pyrobaculum calidifontis
Abstract
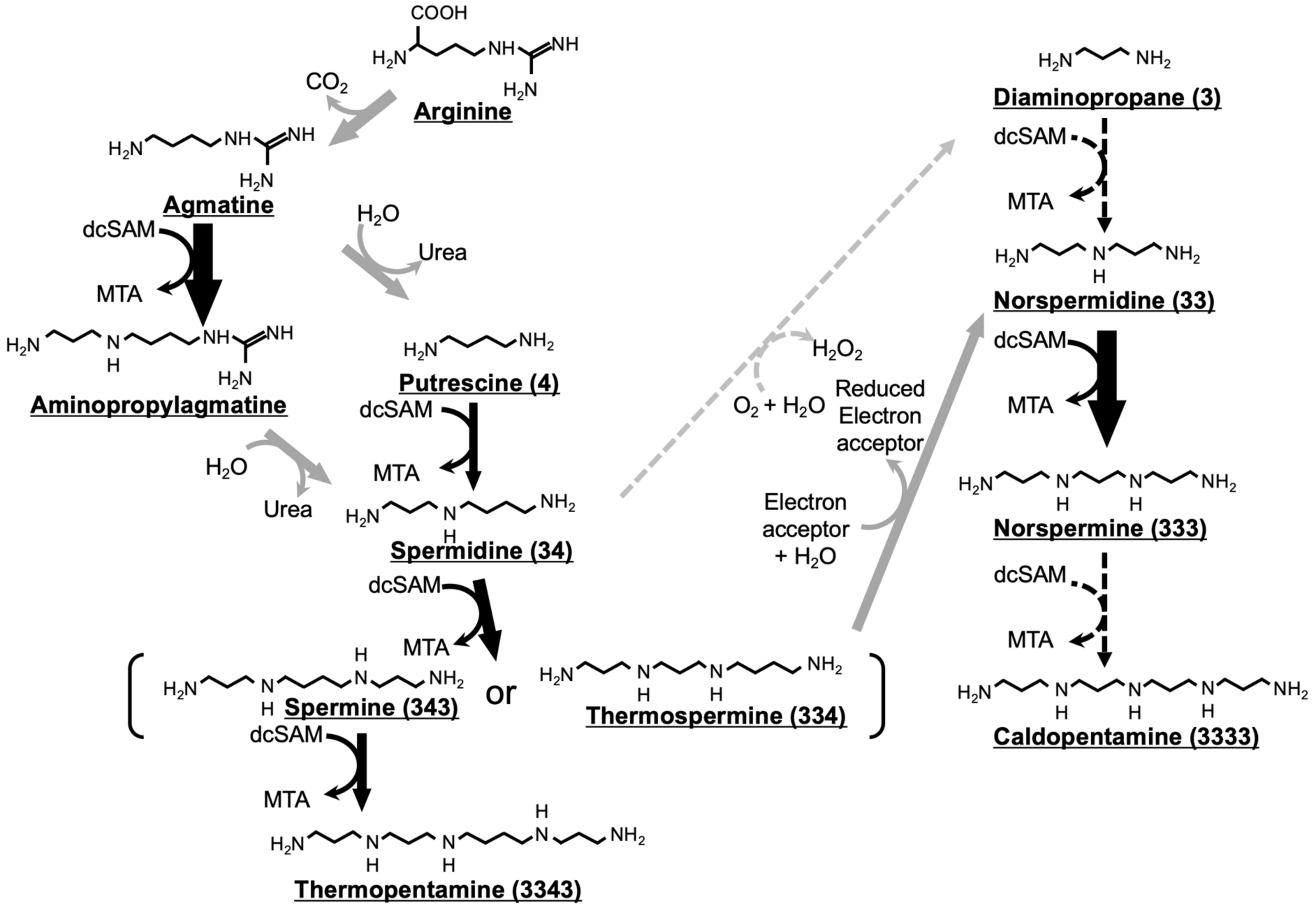
:1. Introduction
2. Experimental Procedures
2.1. Strains, Culture Conditions, and Polyamine Composition
2.2. DNA Manipulation and Sequencing
2.3. Expression and Purification of Pc-SpeE
2.4. Enzymatic Assay Condition of Pc-SpeE
2.5. X-ray Crystallography of Pc-SpeE
2.6. Enzymatic Assay of Oxidative Polyamine Degradation
3. Results
3.1. Phylogenetic Analysis of Pc-SpeE
3.2. Enzymatic Properties
3.3. X-ray Structural Analysis of Pc-SpeE Complexes
3.4. Polyamine Oxidase Activity and the Polyamine Compositions in P. calidifontis Cells
4. Discussion
5. Conclusions
Author Contributions
Funding
Institutional Review Board Statement
Informed Consent Statement
Data Availability Statement
Acknowledgments
Conflicts of Interest
Abbreviations
| dcSAM | decarboxylated S-adenosyladenosine |
| Hb-SpeEI | aminopropyltransferase I from Hyperthermus butylicus |
| Hb-SpeEII | aminopropyltransferase II from Hyperthermus butylicus |
| HPLC | high-performance liquid chromatography |
| MTA | 5′-methylthioadenosine |
| NAD+ | nicotinamide adenine dinucleotide |
| NADP+ | nicotinamide adenine dinucleotide phosphate |
| Pa-SpeE | aminopropyltransferase from Pyrobaculum aerophilum |
| Pc-SpeE | aminopropyltransferase from Pyrobaculum calidifontis |
| PDB | Protein Data Bank |
| PIPES | piperazine-1,4-bis(2-ethanesulfonic acid) |
| RMSD | root mean square deviation |
| Tk-BpsA | branched-chain polyamine synthase from Thermococcus kodakarensis |
References
- Wang, Y.; Casero, R.A., Jr. Mammalian polyamine catabolism: A therapeutic target, a pathological problem, or both? J. Biochem. 2006, 139, 17–25. [Google Scholar] [CrossRef]
- Janne, J.; Alhonen, L.; Keinanen, T.A.; Pietila, M.; Uimari, A.; Pirinen, E.; Hyvonen, M.T.; Jarvinen, A. Animal disease models generated by genetic engineering of polyamine metabolism. J. Cell. Mol. Med. 2005, 9, 865–882. [Google Scholar] [CrossRef] [PubMed] [Green Version]
- Dasu, V.V.; Nakada, Y.; Ohnishi-Kameyama, M.; Kimura, K.; Itoh, Y. Characterization and a role of Pseudomonas aeruginosa spermidine dehydrogenase in polyamine catabolism. Microbiology 2006, 152, 2265–2272. [Google Scholar] [CrossRef] [PubMed] [Green Version]
- Okada, K.; Hidese, R.; Fukuda, W.; Niitsu, M.; Takao, K.; Horai, Y.; Umezawa, N.; Higuchi, T.; Oshima, T.; Yoshikawa, Y.; et al. Identification of a novel aminopropyltransferase involved in the synthesis of branched-chain polyamines in hyperthermophiles. J. Bacteriol. 2014, 196, 1866–1876. [Google Scholar] [CrossRef] [PubMed] [Green Version]
- Fukuda, W.; Yamori, Y.; Hamakawa, M.; Osaki, M.; Fukuda, M.; Hidese, R.; Kanesaki, Y.; Okamoto-Kainuma, A.; Kato, S.; Fujiwara, S. Genes regulated by branched-chain polyamine in the hyperthermophilic archaeon Thermococcus kodakarensis. Amino Acids 2020, 52, 287–299. [Google Scholar] [CrossRef]
- Yamori, Y.; Hamakawa, M.; Hidese, R.; Fukuda, M.; Atomi, H.; Fukuda, W.; Fujiwara, S. Branched-chain polyamine stabilizes RNA polymerase at elevated temperatures in hyperthermophiles. Amino Acids 2020, 52, 275–285. [Google Scholar] [CrossRef]
- Oshima, T. Enigmas of biosyntheses of unusual polyamines in an extreme thermophile, Thermus thermophilus. Plant. Physiol. Biochem. 2010, 48, 521–526. [Google Scholar] [CrossRef]
- Hamana, K.; Hosoya, R.; Itoh, T. Polyamine analysis of methanogens, thermophiles and extreme halophiles belonging to the domain Archaea. J. Jpn. Soc. Extrem. 2007, 6, 25–31. [Google Scholar] [CrossRef] [Green Version]
- Amo, T.; Paje, M.L.; Inagaki, A.; Ezaki, S.; Atomi, H.; Imanaka, T. Pyrobaculum calidifontis sp. nov., a novel hyperthermophilic archaeon that grows in atmospheric air. Archaea 2002, 1, 113–121. [Google Scholar] [CrossRef] [Green Version]
- Amo, T.; Atomi, H.; Imanaka, T. Unique presence of a manganese catalase in a hyperthermophilic archaeon, Pyrobaculum calidifontis VA1. J. Bacteriol. 2002, 184, 3305–3312. [Google Scholar] [CrossRef] [Green Version]
- Giles, T.N.; Graham, D.E. Crenarchaeal arginine decarboxylase evolved from an S-adenosylmethionine decarboxylase enzyme. J. Biol. Chem. 2008, 283, 25829–25838. [Google Scholar] [CrossRef] [Green Version]
- Sambrook, J.; Russell, D.W. (Eds.) Molecular Cloning: A Laboratory Manual, 3rd ed.; Cold Spring Harbor Laboratory Press: New York, NY, USA, 2001. [Google Scholar]
- Kabsch, W. XDS. Acta Crystallogr. Sect. D Biol. Crystallogr. 2010, 66, 125–132. [Google Scholar] [CrossRef] [Green Version]
- Winn, M.D.; Ballard, C.C.; Cowtan, K.D.; Dodson, E.J.; Emsley, P.; Evans, P.R.; Keegan, R.M.; Krissinel, E.B.; Leslie, A.G.; McCoy, A.; et al. Overview of the CCP4 suite and current developments. Acta Crystallogr. Sect. D Biol. Crystallogr. 2011, 67, 235–242. [Google Scholar] [CrossRef] [Green Version]
- Vagin, A.; Teplyakov, A. Molecular replacement with MOLREP. Acta Crystallogr. Sect. D Biol. Crystallogr. 2010, 66, 22–25. [Google Scholar] [CrossRef]
- Murshudov, G.N.; Skubak, P.; Lebedev, A.A.; Pannu, N.S.; Steiner, R.A.; Nicholls, R.A.; Winn, M.D.; Long, F.; Vagin, A.A. REFMAC5 for the refinement of macromolecular crystal structures. Acta Crystallogr. Sect. D Biol. Crystallogr. 2011, 67, 355–367. [Google Scholar] [CrossRef] [Green Version]
- Emsley, P.; Lohkamp, B.; Scott, W.G.; Cowtan, K. Features and development of Coot. Acta Crystallogr. Sect. D Biol. Crystallogr. 2010, 66, 486–501. [Google Scholar] [CrossRef] [Green Version]
- Knott, J.M. Biosynthesis of long-chain polyamines by crenarchaeal polyamine synthases from Hyperthermus butylicus and Pyrobaculum aerophilum. FEBS Lett. 2009, 583, 3519–3524. [Google Scholar] [CrossRef] [Green Version]
- Minguet, E.G.; Vera-Sirera, F.; Marina, A.; Carbonell, J.; Blazquez, M.A. Evolutionary diversification in polyamine biosynthesis. Mol. Biol. Evol. 2008, 25, 2119–2128. [Google Scholar] [CrossRef] [Green Version]
- Ohnuma, M.; Ganbe, T.; Terui, Y.; Niitsu, M.; Sato, T.; Tanaka, N.; Tamakoshi, M.; Samejima, K.; Kumasaka, T.; Oshima, T. Crystal structures and enzymatic properties of a triamine/agmatine aminopropyltransferase from Thermus thermophilus. J. Mol. Biol. 2011, 408, 971–986. [Google Scholar] [CrossRef]
- Guedez, G.; Pothipongsa, A.; Siren, S.; Liljeblad, A.; Jantaro, S.; Incharoensakdi, A.; Salminen, T.A. Crystal structure of dimeric Synechococcus spermidine synthase with bound polyamine substrate and product. Biochem. J. 2019, 476, 1009–1020. [Google Scholar] [CrossRef]
- Secula, B.; Dauter, Z. Crystal structure of thermospermine synthase from Medicago truncatula and substrate discriminatory features of plant aminopropyltransferases. Biochem. J. 2018, 475, 789–802. [Google Scholar] [CrossRef] [PubMed]
- Salvi, D.; Tavladoraki, P. The tree of life of polyamine oxidases. Sci. Rep. 2020, 10, 17858. [Google Scholar] [CrossRef] [PubMed]
- Ikeuchi, Y.; Kimura, S.; Numata, T.; Nakamura, D.; Yokogawa, T.; Ogata, T.; Wada, T.; Suzuki, T. Agmatine-conjugated cytidine in a tRNA anticodon is essential for AUA decoding in archaea. Nat. Chem. Biol. 2010, 6, 277–282. [Google Scholar] [CrossRef] [PubMed]
- Suzuki, T.; Numata, T. Convergent evolution of AUA decoding in bacteria and archaea. RNA Biol. 2014, 11, 1586–1596. [Google Scholar] [CrossRef] [Green Version]
- Fukuda, W.; Morimoto, N.; Imanaka, T.; Fujiwara, S. Agmatine is essential for the cell growth of Thermococcus kodakaraensis. FEMS Microbiol. Lett. 2008, 287, 113–120. [Google Scholar] [CrossRef] [Green Version]
- Ohnuma, M.; Terui, Y.; Tamakoshi, M.; Mitome, H.; Niitsu, M.; Samejima, K.; Kawashima, E.; Oshima, T. N1-aminopropylagmatine, a new polyamine produced as a key intermediate in polyamine biosynthesis of an extreme thermophile, Thermus thermophilus. J. Biol. Chem. 2005, 280, 30073–30082. [Google Scholar] [CrossRef] [Green Version]
- Nishio, T.; Yoshikawa, Y.; Shew, C.Y.; Umezawa, N.; Higuchi, T.; Yoshikawa, K. Specific effects of antitumor active norspermidine on the structure and function of DNA. Sci. Rep. 2019, 9, 14971. [Google Scholar] [CrossRef] [Green Version]
- Terui, Y.; Ohnuma, M.; Hiraga, K.; Kawashima, E.; Oshima, T. Stabilization of nucleic acids by unusual polyamines produced by an extreme thermophile, Thermus thermophilus. Biochem. J. 2005, 388, 427–433. [Google Scholar] [CrossRef] [Green Version]
- Nunoura, T.; Sako, Y.; Wakagi, T.; Uchida, A. Regulation of the aerobic respiratory chain in the facultatively aerobic and hyperthermophilic archaeon Pyrobaculum oguniense. Microbiology 2003, 149, 673–688. [Google Scholar] [CrossRef] [Green Version]





| Donor | Acceptor | Composition of Mother Liquor Solution |
|---|---|---|
| dcSAM | Putrescine | 0.4 M Ammonium acetate pH 8.0, 16% (w/v) PEG 2000MME |
| Spermidine | 0.34 M Ammonium sulfate, 0.1 M Sodium citrate pH 5.2, 11% (w/v) PEG 4000 | |
| Spermine | 0.15 M Sodium formate, 0.1 M HEPES pH 7.2, 18% (w/v) PEG 3350 | |
| Agmatine | 0.15 M Sodium formate, 0.1 M HEPES pH 6.8, 15% (w/v) PEG 3350 |
| PDB IDs | 7XIF | 7XIG | 7XIH | 7XII |
|---|---|---|---|---|
| Substrates added in crystallization conditions | dcSAM and spermidine | dcSAM and spermine | dcSAM and putrescine | dcSAM and agmatine |
| Ligands observed in catalytic pockets | MTA alone or together with spermidine or thermospermine | MTA and spermine | MTA and spermidine | MTA and aminopropylagmatine |
| Data collection | ||||
| Synchrotron beamline | SPring-8 BL44XU | SPring-8 BL44XU | SPring-8 BL44XU | SPring-8 BL44XU |
| No. of measured crystal(s) | 1 | 2 | 1 | 3 |
| Wavelength (Å) | 0.90000 | 0.90000 | 0.90000 | 0.90000 |
| Space group | P31 | P1 | C2 | P1 |
| Unit cell a, b, c (Å) α, β, γ (°) | 166.16, 166.16, 149.59 90.00, 90.00, 120.00 | 77.83, 80.39, 97.84 72.46, 89.13, 88.08 | 176.57, 57.26, 54.49 90.00, 98.50, 90.00 | 55.16, 57.17, 97.31 77.19, 78.32, 88.49 |
| Resolution range (Å) | 47.97–2.14 (2.18–2.14) | 46.65–2.25 (2.29–2.25) | 43.10–1.20 (1.22–1.20) | 46.47–2.25 (2.32–2.25) |
| Completeness (%) | 99.8 (100.0) | 99.5 (97.6) | 99.2 (99.7) | 99.5 (96.1) |
| No. of total reflections | 1118,232 | 379,621 | 557,761 | 531,582 |
| No. of unique reflections | 254,276 (12,626) | 106,737 (5243) | 166,200 (8259) | 53,669 (4661) |
| Redundancy | 4.4 (4.5) | 3.6 (3.1) | 3.4 (3.4) | 9.9 (9.8) |
| Rmerge (all I+ and I−) (%) | 6.5 (95.2) | 13.8 (391.9) | 3.4 (70.5) | 14.5 (41.8) |
| <I/<σ(I)> | 15.2 (1.7) | 5.4 (1.2) | 15.1 (2.1) | 13.3 (7.5) |
| CC1/2 | 0.999 (0.526) | 0.989 (0.813) | 0.999 (0.778) | 0.995 (0.961) |
| Refinement | ||||
| Resolution range (Å) | 47.11–2.14 | 46.69–2.25 | 39.23–1.20 | 46.51–2.25 |
| No. of reflections | 241,370 | 100,802 | 158,009 | 51,035 |
| Rwork/Rfree (%) | 16.0/19.0 | 17.3/20.7 | 11.9/15.4 | 14.9/17.0 |
| Mean B value (Å2) | 46.2 | 47.3 | 21.4 | 24.4 |
| No. of non-H atoms | 28,933 | 19,343 | 5290 | 9834 |
| RMSD from ideal | ||||
| bond length (Å)/angle (°) | 0.011/1.597 | 0.007/1.467 | 0.017/2.045 | 0.010/1.684 |
| Ramachandran (%) | ||||
| Favored | 95.70 | 96.14 | 97.07 | 96.32 |
| Allowed | 3.59 | 3.51 | 2.56 | 3.16 |
| Outliers | 0.71 | 0.35 | 0.37 | 0.53 |
| Substrate | Km (μM) | Vmax (Unit/mg) | kcat (/s/Site) |
|---|---|---|---|
| Agmatine | 54.4 | 1.00 × 103 | 0.580 |
| 1,3-diaminopropane | 2.55 × 103 | 3.73 | 0.00216 |
| Putrescine (0–1000 μM) | 745 | 434 | 0.252 |
| Putrescine (2000–3000 μM) | - | 833 | 0.483 |
| Norspermidine | 33.7 | 769 | 0.446 |
| Spermidine | 99.5 | 40.7 | 0.0236 |
| Norspermine | ND | ND | ND |
| Spermine | 192 | 25.7 | 0.0149 |
Publisher’s Note: MDPI stays neutral with regard to jurisdictional claims in published maps and institutional affiliations. |
© 2022 by the authors. Licensee MDPI, Basel, Switzerland. This article is an open access article distributed under the terms and conditions of the Creative Commons Attribution (CC BY) license (https://creativecommons.org/licenses/by/4.0/).
Share and Cite
Fukuda, W.; Osaki, M.; Yasuda, Y.; Hidese, R.; Higuchi, T.; Umezawa, N.; Fujiwara, S.; Mizohata, E. Substrate Specificity of an Aminopropyltransferase and the Biosynthesis Pathway of Polyamines in the Hyperthermophilic Crenarchaeon Pyrobaculum calidifontis. Catalysts 2022, 12, 567. https://doi.org/10.3390/catal12050567
Fukuda W, Osaki M, Yasuda Y, Hidese R, Higuchi T, Umezawa N, Fujiwara S, Mizohata E. Substrate Specificity of an Aminopropyltransferase and the Biosynthesis Pathway of Polyamines in the Hyperthermophilic Crenarchaeon Pyrobaculum calidifontis. Catalysts. 2022; 12(5):567. https://doi.org/10.3390/catal12050567
Chicago/Turabian StyleFukuda, Wakao, Mamoru Osaki, Yusuke Yasuda, Ryota Hidese, Tsunehiko Higuchi, Naoki Umezawa, Shinsuke Fujiwara, and Eiichi Mizohata. 2022. "Substrate Specificity of an Aminopropyltransferase and the Biosynthesis Pathway of Polyamines in the Hyperthermophilic Crenarchaeon Pyrobaculum calidifontis" Catalysts 12, no. 5: 567. https://doi.org/10.3390/catal12050567
APA StyleFukuda, W., Osaki, M., Yasuda, Y., Hidese, R., Higuchi, T., Umezawa, N., Fujiwara, S., & Mizohata, E. (2022). Substrate Specificity of an Aminopropyltransferase and the Biosynthesis Pathway of Polyamines in the Hyperthermophilic Crenarchaeon Pyrobaculum calidifontis. Catalysts, 12(5), 567. https://doi.org/10.3390/catal12050567

