Fabrication of a Heterobinuclear Redox Cycle to Enhance the Photocatalytic Activity of BiOCl
Abstract
:1. Introduction
2. Results and Discussion
2.1. Structure and Composition
2.2. Morphology and Microstructure
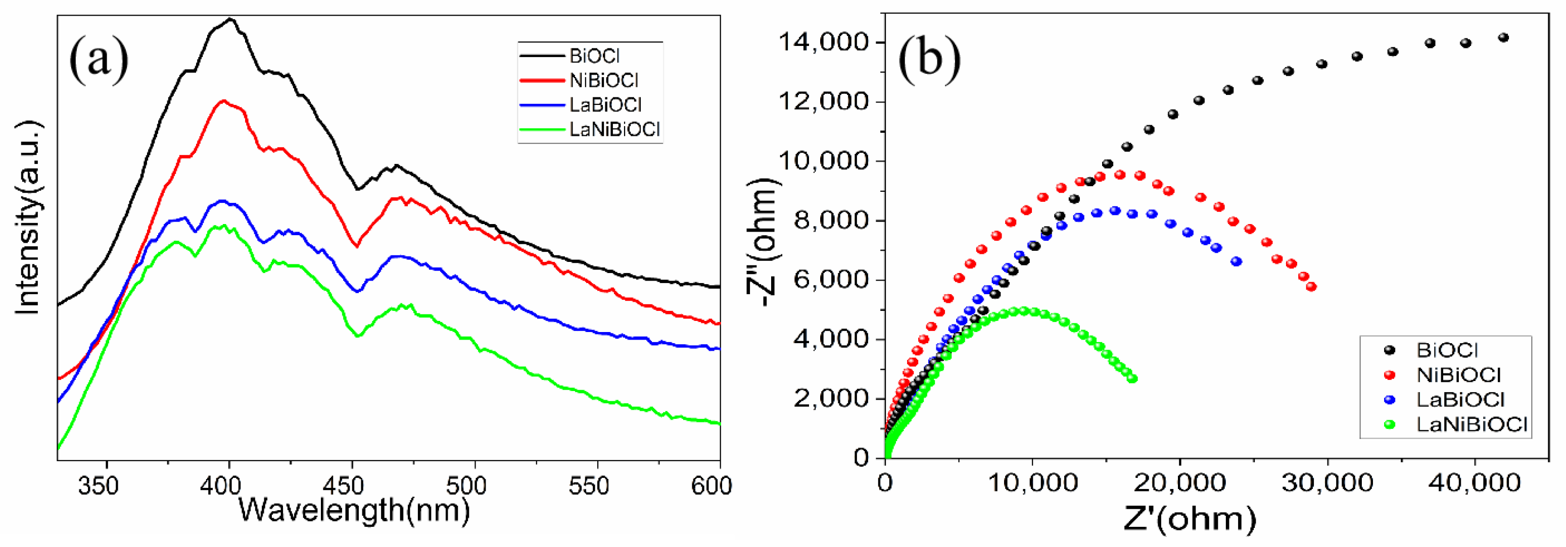
2.3. Optical and Electrical Properties
2.4. Photocatalytic Activity
3. Materials and Methods
3.1. Preparation of Photocatalysts
3.2. Characterization
3.3. Photocatalytic Activity Experiment and Stability Test
4. Conclusions
Author Contributions
Funding
Data Availability Statement
Conflicts of Interest
References
- Hassan, N.S.; Jalil, A.A. A review on self-modification of zirconium dioxide nanocatalysts with enhanced visible-light-driven photodegradation of organic pollutants. J. Hazard. Mater. 2022, 423, 126996. [Google Scholar] [CrossRef] [PubMed]
- Li, C.Y.; Wang, B.Q.; Zhang, F.J.; Song, N.N.; Liu, G.; Wang, C.; Zhong, S. Performance of Ag/BiOBr/GO composite photocatalyst for visible-light-driven dye pollutants degradation. J. Mater. Res. Technol. 2020, 9, 610–621. [Google Scholar] [CrossRef]
- Xu, H.Y.; Han, X.; Tan, Q.; He, X.L.; Qi, S.Y. Structure-dependent photocatalytic performance of BiOBrxI1-x nanoplate solid solutions. Catalysts 2017, 7, 153. [Google Scholar] [CrossRef] [Green Version]
- Arthur, R.B.; Ahern, J.C.; Patterson, H.H. Application of BiOX photocatalysts in remediation of persistent organic pollutants. Catalysts 2018, 8, 604. [Google Scholar] [CrossRef] [Green Version]
- Zhang, B.K.; Fu, S.W.; Wang, D.B.; Jiao, S.J.; Zeng, Z.; Zhang, X.Y.; Xu, Z.K.; Liu, Y.X.; Zhao, C.C.; Pan, J.W.; et al. Synthesis an enhanced light photocatalytic activity of modulating band BiOBrxI1−x nanosheets. Nanomaterials 2021, 11, 2940. [Google Scholar] [CrossRef]
- Cui, B.Y.; Cui, H.T.; Li, Z.R.; Dong, H.Y.; Li, X.; Zhao, L.F.; Wang, J.W. Novel Bi3O5I2 hollow microsphere and its enhanced photocatalytic activity. Catalysts 2019, 9, 709. [Google Scholar] [CrossRef] [Green Version]
- Zeng, Q.D.; Xie, W.; Chen, Z.H.; Wang, X.; Akinoglu, E.M.; Zhou, G.F.; Shui, L.L. Influence of the facets of Bi24O31Br10 naobelts and nanosheets on theire photocatalytic properties. Catalysts 2020, 10, 257. [Google Scholar] [CrossRef] [Green Version]
- Ganose, A.M.; Cuff, M.; Butler, K.T.; Walsh, A.; Scanlon, D.O. Interplay of orbital and relativistic effects in bismuth oxyhalides: BiOF, BiOCl, BiOBr, and BiOI. Chem Mater 2016, 28, 1980–1984. [Google Scholar] [CrossRef] [Green Version]
- Li, J.; Yu, Y.; Zhang, L. Bismuth oxyhalide nanomaterials: Layered structures meet photocatalysis. Nanoscale 2014, 6, 8473–8488. [Google Scholar] [CrossRef]
- Cheng, H.; Huang, B.; Dai, Y. Engineering BiOX (X = Cl, Br, I) nanostructures for highly efficient photocatalytic applications. Nanoscale 2014, 6, 2009–2026. [Google Scholar] [CrossRef]
- Liu, W.L.; Li, Q.; Yang, X.L.; Chen, X.F.; Xu, X.G. Synthesis of SiC/BiOCl composites and its efficient photocatalytic activity. Catalysts 2020, 10, 946. [Google Scholar] [CrossRef]
- Ding, L.; Wei, R.; Chen, H.; Hu, J.; Li, J. Controllable synthesis of highly active BiOCl hierarchical microsphere self-assembled by nanosheets with tunable thickness. Appl. Catal. B-Environ. 2015, 172, 91–99. [Google Scholar] [CrossRef]
- Li, Z.; Qu, Y.; Hu, K.; Humayun, M.; Chen, S.; Jing, L. Improved photoelectrocatalytic activities of BiOCl with high stability for water oxidation and MO degradation by coupling RGO and modifying phosphate groups to prolong carrier lifetime. Appl. Catal. B-Environ. 2017, 203, 355–362. [Google Scholar] [CrossRef]
- Guo, L.; Han, X.X.; Zhang, K.L.; Zhang, Y.Y.; Zhao, Q.; Wang, D.J.; Fu, F. In-situ construction of 2D/2D ZnIn2S4/BiOCl heterostructure with enhanced photocatalytic activity for N2 fixation and phenol degradation. Catalysts 2019, 9, 729. [Google Scholar] [CrossRef] [Green Version]
- Liu, Y.Z.; Xu, J.; Wang, L.Q.; Zhang, H.Y.; Xu, P.; Duan, X.G.; Sun, H.Q.; Wang, S.B. Three-diemensional BiOI/BiOX (X = Cl or Br) nanohybrids for enhanced visible-light photocatalytic activity. Nanomaterials 2017, 7, 64. [Google Scholar] [CrossRef] [Green Version]
- Li, S.J.; Hu, S.W.; Xu, K.B.; Jiang, W.; Liu, J.S.; Wang, Z.H. A novel heterostructure of BiOI nanosheets anchored onto MWCNTs with excellent visible-light photocatalytic activity. Nanomaterials 2017, 7, 22. [Google Scholar] [CrossRef] [Green Version]
- Jiang, J.; Zhang, X.; Sun, P.; Zhang, L. ZnO/BiOI Heterostructures: Photoinduced charge-transfer property and enhanced visiblelight photocatalytic activity. J. Phys. Chem. C 2011, 115, 20555–20564. [Google Scholar] [CrossRef]
- Wang, X.J.; Yang, W.Y.; Li, F.T.; Zhao, J.; Liu, R.H.; Liu, S.J.; Li, B. Construction of amorphous TiO2/BiOBr heterojunctions via facets coupling for enhanced photocatalytic activity. J. Hazard. Mater. 2015, 292, 126–136. [Google Scholar] [CrossRef]
- Viruthagiri, G.; Kannan, P. Visible light mediated photocatalytic activity of cobalt doped Bi2O3 nanoparticles. J. Mater. Res. Technol. 2019, 8, 127–133. [Google Scholar] [CrossRef]
- Sheng, H.; Wang, W.; Dai, R.; Ning, J.; Zhang, L.; Wu, Q.; Zhang, F.C.; Yan, J.F.; Zhang, W.B. New insight into Cd2+/Fe3+ co-doped BiOBr for enhancing the photocatalysis efficiency of dye decompositon under visible-light. Nanomaterials 2021, 11, 423. [Google Scholar] [CrossRef]
- Sun, X.; Zhang, Y.; Li, C.; Zhang, Z.; Peng, Z.; Si, H.; Zhang, J.M.; Li, Y.T. BiOClxBryIz (x+y+z=1) solid solutions with controllable band gap and highly enhanced visible light photocatalytic performances. J. Alloys Compd. 2015, 638, 254–260. [Google Scholar] [CrossRef]
- Kim, W.J.; Pradhan, D.; Min, B.K.; Sohn, Y. Adsorption/photocatalytic activity and fundamental natures of BiOCl and BiOClxI1-x prepared in water and ethylene glycol environments, and Ag and Au-doping effects. Appl. Catal. B-Environ. 2014, 147, 711–725. [Google Scholar] [CrossRef]
- Zhang, J.; Wang, Z.W.; Fan, M.G.; Tong, P.P.; Sun, J.Y.; Dong, S.Y.; Sun, J.H. Ultra-light and compressible 3D BiOCl/RGO aerogel with enriched synergistic effect of adsorption and photocatalytic degradation of oxytetracycline. J. Mater. Res. Technol. 2019, 8, 4577–4587. [Google Scholar] [CrossRef]
- Jiang, J.; Zhang, L.; Li, H.; He, W.; Yin, J.J. Self-doping and surface plasmon modification induced visible light photocatalysis of BiOCl. Nanoscale 2013, 5, 10573–10581. [Google Scholar] [CrossRef] [PubMed]
- Xia, J.X.; Xu, L.; Zhang, J.; Yin, S.; Li, H.M.; Xu, H.; Di, J. Improved visible light photocatalytic properties of Fe/BiOCl microspheres synthesized via self-doped reactable ionic liquids. Cryst. Eng. Commun. 2013, 15, 10132–10141. [Google Scholar] [CrossRef]
- Mi, Y.; Wen, L.Y.; Wang, Z.J.; Cao, D.W.; Xu, R.; Fang, Y.G.; Zhou, Y.L.; Lei, Y. Fe(III) modified BiOCl ultrathin nanosheet towards high-efficient visible-light photocatalyst. Nano Energy 2016, 30, 109–117. [Google Scholar] [CrossRef]
- Huang, C.J.; Hua, J.L.; Cong, S.; Zhao, Z.G.; Qiu, X.Q. Hierarchical BiOCl microflowers with improved visiblelight-driven photocatalytic activity by Fe(III) modification. Appl. Catal. B 2015, 174–175, 105–112. [Google Scholar] [CrossRef]
- Cui, J.; Tao, S.S.; Yang, X.L.; Yu, X.J.; Sun, S.D.; Yang, Q.; Wei, W.; Liang, S.H. Facile construction of nickel-doped hierarchical BiOCl architectures for enhanced visible-light-driven photocatalytic activities. Mater. Res. Bull. 2021, 138, 111208. [Google Scholar] [CrossRef]
- Di, J.; Xia, J.X.; Yin, S.; Xu, H.; Xu, L.; Xu, Y.G.; He, M.Q.; Li, H.M. One-pot solvothermal synthesis of Cu-modified BiOCl via a Cu-containing ionic liquid and its visible-light photocatalytic properties. RSC Adv 2014, 4, 14281–14290. [Google Scholar] [CrossRef]
- Pare, B.; Sarwan, B.; Jonnalagadda, S.B. Photocatalytic mineralization study of malachite green on the surface of Mn-doped BiOCl activated by visible light under ambient condition. Appl. Surf. Sci. 2011, 258, 247–253. [Google Scholar] [CrossRef]
- Li, W.T.; Huang, W.Z.; Zhou, H.; Yin, H.Y.; Zheng, Y.F.; Song, X.C.S. Synthesis of Zn2+ doped BiOCl hierarchical nanostructures and their exceptional visible light photocatalytic properties. J. Alloys Compd. 2015, 638, 148–154. [Google Scholar] [CrossRef]
- Yang, J.; Liang, Y.J.; Li, K.; Yang, G.; Zhu, Y.L.; Liu, S.Q.; Lei, W. New reaction pathway induced by the synergistic effects of Bi plasmon and La3+ doping for efficient visible light photocatalytic reaction on BiOCl. Appl. Surf. Sci. 2018, 458, 769–780. [Google Scholar] [CrossRef]
- Jia, T.K.; Liu, M.; Zheng, C.Y.; Long, F.; Min, Z.Y.; Fu, F.; Yu, D.S.; Li, J.L.; Lee, J.H.; Kim, N.H. One-pot hydrothermal synthesis of la-doped ZnIn2S4 microspheres with improved visible-light photocatalytic performance. Nanomaterials 2021, 10, 2026. [Google Scholar] [CrossRef] [PubMed]
- Feng, H.N.; Xu, D.Y.; Wang, Q.W.; Dong, Y.L.; Zhang, G.M.; Lv, L.Y.; Ren, Z.J.; Wang, P.F.; Campos, L.C. Enhancement of superoxide evolution by nickel-doped for the removal of organic pollutants and cyanobacteria. J. Taiwan Inst. Chem. Eng. 2020, 113, 396–405. [Google Scholar] [CrossRef]
- Chen, J.C.; Yu, C.L.; Li, J.D.; Fang, W.; He, H.B. Preparation by grinding-calcination and photocatalytic performance of La2O3/BiOCl composite photocatalysts. J. Inorg. Mater. 2015, 30, 943–949. [Google Scholar]
- Xu, K.K.; Fu, X.L.; Peng, Z.J. Facile synthesis and photocatalytic activity of La-doped BiOCl hierarchical, flower-like nano-/micro-structures. Mater. Res. Bull. 2017, 98, 103–110. [Google Scholar] [CrossRef]
- Yu, N.; Chen, Y.; Zhang, W.H.; Wen, M.; Zhang, L.S.; Chen, Z.G. Preparation of Yb3+/Er3+ co-doped BiOCl sheets as efficient visible-light-driven photocatalysts. Mater. Lett. 2016, 179, 154–157. [Google Scholar] [CrossRef]
- Niu, S.Y.; Zhang, R.Y.; Zhou, X.J.; Zhao, X.Q.; Suo, H.; Jiao, Y.; Yao, H.B.; Guo, C.F. The enhanced photocatalytic activity of Yb3+-Ho3+/Er3+ co-doped 3D BiOCl flower. Dyes Pigments 2018, 149, 462–469. [Google Scholar] [CrossRef]
- Nussbaum, M.; Shaham-Waldmann, N.; Paz, Y. Synergistic photocatalytic effect in Fe,Nb-doped BiOCl. J. Photochem. Photobiol. A 2014, 290, 11–21. [Google Scholar] [CrossRef]
- Zhong, Y.X.; Liu, Y.H.; Wu, S.; Zhu, Y.; Chen, H.B.; Yu, X.; Zhang, Y.M. Facile fabrication of BiOI/BiOCl immobilized films with improved visible light photocatalytic performance. Front. Chem. 2018, 6, 58. [Google Scholar] [CrossRef] [Green Version]
- Shi, R.; Huang, G.; Lin, J.; Zhu, Y. Photocatalytic activity enhancement for Bi2WO6 by fluorine substitution. J. Phys. Chem. C 2009, 113, 19633–19638. [Google Scholar] [CrossRef]
- Li, X.K.; Yang, J.; Zhang, W.J. Influence of tetrabutylammonium hydroxide on the microstructural, optical and photocatalytic properties of sol-gel derived Gd2Ti2O7 for RBR X-3B degradation. J. Mater. Res. Technol. 2021, 12, 202–209. [Google Scholar] [CrossRef]
- Lu, T.; Liu, G.; Li, C.X.; Zhang, W.T.; Fan, J.J.; Wu, L.S.; Liu, J.H. Photocatalytic degradation of methylene blue in water by BiOCl/SiO2/Fe3O4 composites. Acta Sci. Circumstantiae 2019, 39, 352–358. [Google Scholar]
- Lu, H.J.; Xu, L.L.; Wei, B.; Zhang, M.Y.; Gao, H.; Sun, W.J. Enhanced photosensitization process induced by the p-n junction of Bi2O2CO3/BiOCl heterojunctions on the degradation of rhodamine B. Appl. Surf. Sci. 2014, 303, 360–366. [Google Scholar] [CrossRef]
- Zhong, S.; Li, C.Y.; Shen, M.N.; Lv, C.; Zhang, S.Y. Synthesis of modified bismuth tungstate and the photocatlytic properties on tetracycline degradation and pathways. J. Mater. Res. Technol. 2019, 8, 1849–1858. [Google Scholar] [CrossRef]
- Ai, Z.H.; Ho, W.K.; Lee, S.C. Efficient visible light photocatalytic removal of NO with BiOBr-graphene nanocomposites. J. Phys. Chem. C 2011, 115, 25330–25337. [Google Scholar] [CrossRef]
- Shinde, N.M.; Xia, Q.X.; Yun, J.M.; Singh, S.; Mane, R.S.; Kim, K.H. A binder-free wet chemical synthesis approach to decorate nanoflowers of bismuth oxide on Ni-foam for fabricating laboratory scale potential pencil-type asymmetric supercapacitor device. Dalton Trans. 2017, 46, 6601–6611. [Google Scholar] [CrossRef]
- Chen, P.; Chen, L.; Zeng, Y.; Ding, F.; Jinag, X.; Liu, N.; Au, C.T.; Yin, S.F. Three-dimension hierarchical heterostructure of CdWO4 microrods decorated with Bi2WO6 nanoplates for high-selectivity photocatalytic benzene hydroxylation to phenol. Appl. Catal. B Environ. 2018, 234, 311–317. [Google Scholar] [CrossRef]
- Meng, X.C.; Zhang, Z.S. New insight into BiOX (X = Cl, Br, and I) hierarchical microspheres in photocatalysis. Mater. Lett. 2018, 225, 152–156. [Google Scholar] [CrossRef]
- Li, S.J.; Chen, J.L.; Hu, S.W.; Jiang, W.; Liu, Y.P.; Liu, J.S. Bi2WO6 and its excellent photocatalytic performance for the degradation of toxic pharmaceutical antibiotics. Inorg. Chem. Front. 2020, 7, 529–541. [Google Scholar] [CrossRef]
- Nie, J.; Hassan, J.L.; Jia, Q.; Gao, Y.F.; Peng, J.Z.; Lu, J.H.; Zhang, F.C.; Zhu, G.Q.; Wang, Q.Z. La-doped ZnWO4 nanorods with enhanced photocatalytic activity for NO removal: Effects of La doping and oxygen vacancies. Inorg. Chem. Front. 2020, 7, 356–368. [Google Scholar] [CrossRef]
- Xiong, F.; Yin, L.-L.; Wang, Z.; Jin, Y.; Sun, G.; Gong, X.-Q.; Huang, W. Surface reconstruction-induced site-specific charge separation and photocatalytic reaction on anatase TiO2 (001) surface. J. Phys. Chem. C 2017, 121, 9991–9999. [Google Scholar] [CrossRef]
- Lv, Z.; Zhou, H.; Liu, H.; Liu, B.; Liang, M.; Guo, H. Controlled assemble of oxygen vacant CeO2@ Bi2WO6 hollow magnetic microcapsule heterostructures for visible-light photocatalytic activity. Chem. Eng. J. 2017, 330, 1297–1305. [Google Scholar] [CrossRef]
- Chinh, V.; Bavasso, I.; Palma, L.; Felici, A.; Scarsella, M.; Vilardi, G.; Bracciale, M.; Van, N. Enhancing the photocatalytic activity of TiO2 and TiO2-SiO2 by coupling with graphene-gold nanocomposites. J. Mater. Sci. Mater. Electron. 2021, 32, 5082–5093. [Google Scholar] [CrossRef]
- Liang, S.J.; Zhu, S.Y.; Chen, Y.; Wu, W.M.; Wang, X.C.; Wu, L. Rapid template-free synthesis and photocatalytic performance of visible light-activated SnNb2O6 nanosheets. J. Mater. Chem. 2012, 22, 2670–2678. [Google Scholar] [CrossRef]
- Qiao, Q.; Huang, W.Q.; Li, Y.Y.; Li, B.; Hu, W.; Peng, W.; Fan, X.; Huang, G.F. In-situ construction of 2D direct Z-scheme g-C3N4/g-C3N4 homojunction with high photocatalytic activity. J. Mater. Sci. 2018, 53, 15882–15894. [Google Scholar] [CrossRef]
- Cao, Q.W.; Zheng, Y.F.; Song, X.C. Enhanced visible-light-driven photocatalytic degradation of RhB by AgIO3/WO3 composites. J. Taiwan Inst. Chem. Eng. 2017, 70, 359–365. [Google Scholar] [CrossRef]
- Liu, Y.B.; Zhu, G.Q.; Gao, J.Z.; Hojamberdiev, M.; Zhu, R.L.; Wei, X.M.; Guo, Q.M.; Liu, P. Enhanced photocatalytic activity of Bi4Ti3O12 nanosheets by Fe3+-doping and the addition of Au nanoparticles: Photodegradation of phenol and bisphenol A. Appl. Catal. B-Environ. 2017, 200, 72–82. [Google Scholar] [CrossRef]
- Achola, L.A.; Ghevrehiwet, A.; Macharia, J.; Kerns, P.; He, J.; Fee, J.; Tinson, C.; Shi, J.; March, S.; Jain, M.; et al. Enhanced visible-light-assisted peroxymonosulfate activation on cobaltdoped mesoporous iron oxide for orange II degradation. Appl. Catal. B 2020, 263, 118332. [Google Scholar] [CrossRef]







Publisher’s Note: MDPI stays neutral with regard to jurisdictional claims in published maps and institutional affiliations. |
© 2022 by the authors. Licensee MDPI, Basel, Switzerland. This article is an open access article distributed under the terms and conditions of the Creative Commons Attribution (CC BY) license (https://creativecommons.org/licenses/by/4.0/).
Share and Cite
Li, D.; Liu, G.; Li, X.; Gao, Z.; Shao, H.; Tian, Z. Fabrication of a Heterobinuclear Redox Cycle to Enhance the Photocatalytic Activity of BiOCl. Catalysts 2022, 12, 512. https://doi.org/10.3390/catal12050512
Li D, Liu G, Li X, Gao Z, Shao H, Tian Z. Fabrication of a Heterobinuclear Redox Cycle to Enhance the Photocatalytic Activity of BiOCl. Catalysts. 2022; 12(5):512. https://doi.org/10.3390/catal12050512
Chicago/Turabian StyleLi, Dongmei, Guisheng Liu, Xiaojie Li, Zhuo Gao, Hangqi Shao, and Zhongzhen Tian. 2022. "Fabrication of a Heterobinuclear Redox Cycle to Enhance the Photocatalytic Activity of BiOCl" Catalysts 12, no. 5: 512. https://doi.org/10.3390/catal12050512
APA StyleLi, D., Liu, G., Li, X., Gao, Z., Shao, H., & Tian, Z. (2022). Fabrication of a Heterobinuclear Redox Cycle to Enhance the Photocatalytic Activity of BiOCl. Catalysts, 12(5), 512. https://doi.org/10.3390/catal12050512
