Next Article in Journal
Fabrication of a Heterobinuclear Redox Cycle to Enhance the Photocatalytic Activity of BiOCl
Next Article in Special Issue
Evolving New Chemistry: Biocatalysis for the Synthesis of Amine-Containing Pharmaceuticals
Previous Article in Journal
C−H Methylation Using Sustainable Approaches
Previous Article in Special Issue
Computational-Designed Enzyme for β-Tyrosine Production in Lignin Valorization
 
 
Font Type:
Arial Georgia Verdana
Font Size:
Aa Aa Aa
Line Spacing:
Column Width:
Background:
Article

Novel Enzymatic Method for Imine Synthesis via the Oxidation of Primary Amines Using D-Amino Acid Oxidase from Porcine Kidney

by
Nobuhiro Kawahara
1,2,
Kunwadee Palasin
1 and
Yasuhisa Asano
1,2,*
1
Biotechnology Research Center, and Department of Biotechnology, Toyama Prefectural University, 5180 Kurokawa, Imizu 939-0398, Japan
2
Asano Active Enzyme Molecule Project, ERATO, JST, Toyama Prefectural University, 5180 Kurokawa, Imizu 939-0398, Japan
*
Author to whom correspondence should be addressed.
Catalysts 2022, 12(5), 511; https://doi.org/10.3390/catal12050511
Submission received: 1 April 2022 / Revised: 27 April 2022 / Accepted: 30 April 2022 / Published: 4 May 2022
(This article belongs to the Special Issue Application of Biocatalysis for the Synthesis of Chiral Amines)

Abstract

:
During studies on the oxidative cyanation reaction catalyzed by a variant of D-amino acid oxidase from porcine kidney (pkDAO) (Y228L/R283G), an unexpected formation of 1-phenyl-N-(1-phenylethylidene)ethanamine (PPEA) was detected. The optimal reaction conditions for the synthesis of PPEA and the reaction mechanism were investigated using the pkDAO variant. The highest PPEA synthesis was obtained in the reaction with 150 mM (R)-MBA at pH 9.0 and at 20 °C. Since PPEA synthesis proceeded by trapping the intermediate 1-phenylethanimine (1-PEI) by 15N-labeled n-hexylamine, which is not a substrate for the pKDAO variant, it was deduced that PPEA would be synthesized by a nucleophilic substitution of 1-PEI by another molecule of (R)-MBA. PPEA was further identified by its conversion to bis(1-phenylethyl)amine (BPEA) through reduction with NaBH4. Thus, a new enzymatic method of imine synthesis by oxidation of primary amine by the variant pkDAO was achieved for the first time.

Graphical Abstract

1. Introduction

Imines are a group of compounds useful for the synthesis of biologically active molecules, such as amides, chiral amines, oxazolidines, hydroxyamines, nitrones, and aminonitriles [1,2]. In addition, complex β-lactams are synthesized from imine intermediates [3].
To date, numerous chemical methods have been developed to synthesize imines by the oxidation of primary [4] or secondary amines [5,6], condensation of amines with aldehydes or ketones, and oxidative condensation of amines with alcohols [7,8]. In particular, researchers have made extensive efforts to develop efficient methods for selective imine synthesis from primary amines so that the formation of other undesired nitrogen-containing compounds may be prevented. One technique for the production of imine and amino nitrile compounds involves the photo oxidation of primary amines in an organic solvent [9]. This oxidation reaction is achieved using copper sulfate and hydrogen peroxide in an aqueous solution at room temperature [10]. Another method of imine synthesis utilizes an ortho-quinone catalyst for the oxidation of the primary amine. This method draws inspiration from topaquinone, the cofactor in copper amine oxidase [11].
Enzymatic reactions can be performed under mild conditions and at normal temperatures without using toxic chemical compounds or organic solvents. However, the synthesis and isolation of imines is challenging in water because of the instability owing to the hydrolysis of imines. The intermediate imines formed during the enzymatic oxidation of amines are active species. Some of the amine oxidase reactions that are believed to proceed through imine intermediates are listed: the action of monoamine oxidase variants from Aspergillus niger (MAO-N) on the deracemization of racemic amines and the synthesis of several chiral amines [12]; the catalysis by monoamine oxidase variants from Brevibacterium oxydans (CHAO) in the deracemization of 1,2,3,4-tetrahydroquinoline [13]; the reactions of 1-Hydroxy-D-nicotine oxidase (6-HDNO) from Arthrobacter nicotinovorans involving a range of racemic amines to yield S-configured products, such as (S)-nicotine [14]; and the reactions of lysine oxidase and lysine dehydrogenase in the synthesis of cyclic imine Δ1-piperideine-2-carboxylate from L-lysine [15].
Our recent work focused on the utilization of imine intermediates via our mechanism-based synthesis of optically active amines and amino acids, through deracemization reactions, and α-alkyl-aminonitriles, through oxidative cyanation reactions, targeting the active imine intermediate [16]. We successfully created a new R-stereoselective enzyme exhibiting amine oxidase activity from pkDAO using site-directed mutagenesis based on X-ray crystallographic structures [17]. We demonstrated that the mutated enzyme pkDAO (the pkDAO variant (Y228L/R283G) is referred to as the “variant pkDAO”) can catalyze the oxidation of certain primary amines, such as (R)-α-methylbenzylamine ((R)-MBA), (R)-4-fuloro-α-methylbenzylamine ((R)-FMBA), and (R)-α-ethylbenzylamine ((R)-EBA). We used the variant pkDAO for the synthesis of (S)-MBA from racemic MBA by a deracemization reaction in the presence of reductants such as NaCNBH4 [17]. Furthermore, we obtained a variant I230A/R283G from pkDAO by protein engineering based on our X-ray crystallographic analyses of the variant Y228L/R283G and utilized it in the synthesis of (R)-4-chloro-benzhydrylamine by the deracemization method with NaBH4 [18]. Additionally, we showed how the stereoselectivity of the variant pkDAO is originated by our combinational approach of X-ray crystallography, FMO analysis, and biochemical assay [19]. We have been studying the new amine oxidase, not only for applications, but also for claririfying the mechanism of the enzyme in detail [20,21,22].
We also discovered that wild-type pkDAO and the variant pkDAO (Y228L/R283G) are capable of synthesizing primary α-aminonitriles and unnatural amino acids from primary amines via a cascade reaction involving nitrilase. During studies on the enzymatic production of racemic 2-methyl-2-phenylglycinonitrile (2MePGN, primary α-alkylaminonitriles) from (R)-MBA using the variant pkDAO, PPEA was unexpectedly formed. PPEA was identified as a reaction product by gas chromatography–mass spectrometry (GC/MS) analysis [17]. Since there is little literature on the enzymatic production of imines, we attempted to systematically investigate enzyme-catalyzed reactions for the formation of imines. In this study, we report a novel enzymatic imine (PPEA) synthesis from a primary amine using the variant pkDAO and clarify the mechanism of imine synthesis in the reaction.

2. Results

2.1. Production and Identification of PPEA from (R)-MBA

The enzymatic oxidative reaction of (R)-MBA with variant pkDAO results in the synthesis of phenylehanimine (1-PEI), which is then non-enzymatically converted to acetophenone by the hydrolysis of imines in aqueous solutions [16]. Through GC, we discovered that the reaction products were separated into two peaks, with a new peak (Figure S1A) when a high concentration of (R)-MBA (>10 mM) was used with the variant pkDAO. Using MS, one of the products was identified as acetophenone (120.06 m/z) and PPEA (213.14 m/z) (Figure S1B). Although the reaction mechanism of PPEA synthesis from (R)-MBA has not been clarified, it was shown that PPEA was enzymatically synthesized from (R)-MBA in an aqueous system under mild conditions.
In chemical reactions, imines are generally synthesized from amines, ketones, or aldehydes in organic solvents [23,24,25]. Scheller et al. reported an imine reductase-catalyzed stereoselective amine synthesis employing a combination of carbonyls with different amine nucleophiles. They monitored imine formation from benzaldehyde and methylamine by proton NMR, yet no imines were formed from acetophenone and methylamine [26]. The data suggest that the amination of acetophenone is negligible under aqueous conditions. In this paper, we clarified that PPEA is formed from an intermediate 1-PEI and (R)-MBA with the variant pkDAO.

2.2. Optimization of the Reaction for PPEA Synthesis

Since it was revealed that PPEA was synthesized from two molecules of (R)-MBA, we analyzed the optimal pH and temperature for PPEA synthesis. A high reaction rate was obtained in the pH range 8.0–9.5 (Figure 1A). The reaction rate of PPEA synthesis increased with an increase in temperature up to 35 °C. At 20 °C, the reaction rate was 86% of the rate observed at 35 °C. Furthermore, in the formation of acetophenone, the reaction rate of hydrolysis increased with an increase in temperature up to 50 °C. At 20 °C, the reaction rate was 39% of the reaction rate at 50 °C (Figure 1B). Next, we determined that 20 °C was the optimal reaction temperature for PPEA synthesis. We also determined the optimal (R)-MBA concentration for PPEA synthesis. We incubated 6.25–200 mM (R)-MBA with 2 U of variant pkDAO. Enzyme activity for PPEA synthesis was highest at 150 mM (R)-MBA, and the Km value for (R)-MBA was estimated to be 41 mM (Figure S3). Moreover, PPEA synthesis was optimum at pH 9.0 and 20 °C, and 150 mM of (R)-MBA was required for the efficient production of PPEA in 1 mL of the reaction mixture.

2.3. Production of PPEA from (R)-MBA

The variant pkDAO (2 U) was incubated with 150 mM (R)-MBA (pH 9.0) at 20 °C for 60 min. At 60 min, maximum PPEA (approximately 47 mM) was synthesized. On the other hand, the production of acetophenone increased with an increase in incubation time (Figure 2A). These results indicate that a longer incubation period is not suitable for the efficient production of PPEA. Actually, the amount of the acetophenone was increased by the reaction for more than 60 min. PPEA was found to be unstable in aqueous solution and gradually hydrolyzed to acetophenone, ammonia, and MBA. Therefore, we fixed the reaction time to 60 min and optimized the amount of enzymes. As a result, it was found that the imine can be synthesized with a high yield (maximum at 68 mM) by using 2 U or more amount of the enzyme (Figure 2B).

2.4. Production of BPEA from (R)-MBA via PPEA

The reaction conditions for BPEA synthesis from (R)-MBA via PPEA were investigated using variant pkDAO, since BPEA is an attractive compound as an intermediate for the stereoselective synthesis of β-amino acids and is stable in water [27]. Optimal conditions for PPEA synthesis from (R)-MBA were used in this reaction. First, PPEA was produced from 150 mM (R)-MBA by incubation with 7.5 U of pkDAO. After PPEA synthesis reached a maximum, 100 mM NaBH4 was added to the reaction mixture. The reaction products were identified by GC-MS analyses (Figure S4). The compounds of peaks 1 and 2 separated by GC were identified as BPEA (225.15 m/z), as identified by the MS database. Compound 3 was identified as PPEA (213.14 m/z). Although compounds 1 and 2 showed the same MS spectrum, the compounds separated by GC were considered to be diastereomers of BPEA. Integrated areas of compounds 1 and 2 indicated that they are not formed equally. The identification of the compounds is in progress.

2.5. Reaction Mechanism of Imine Formation from Primary Amine with the Variant pkDAO

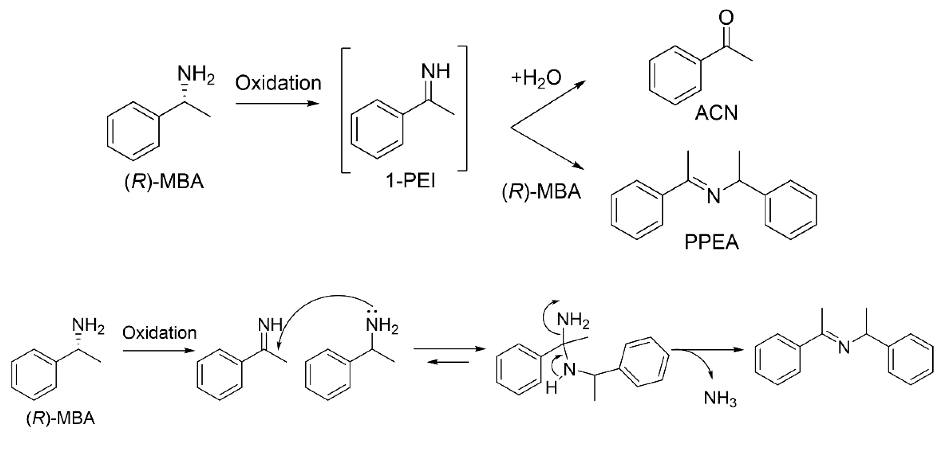
First, we checked whether PPEA was formed without the variant pkDAO in the reaction mixture. No PPEA was detected with GC and GC/MS analyses in this experiment. We hypothesized that the imine 1-PEI produced from (R)-MBA is a very active key intermediate for PPEA synthesis. Therefore, we designed a reaction to trap imine 1-PEI with n-hexylamine or sec-butylamine, which are not substrates for the variant pkDAO. The reaction was performed with 5 mM (R)-MBA and 150 mM alkylamines with the pH adjusted to 9.0 using HCl, as shown by the current authors in the previous study [16] (Scheme S1). When (R)-MBA was reacted with n-hexylamine or sec-butylamine, the corresponding imines were detected by GC/MS (Figure S2). No product was formed in the absence of the variant pkDAO. The results strongly suggest that imines are formed by the nucleophilic addition of amines to the α-carbon of 1-PEI, which is produced from (R)-MBA by the action of the variant pkDAO.
Next, we used 15N-labeled n-hexylamine to determine the origin of nitrogen in PPEA. If n-hexylamine attacks the α-carbon of 1-PEI and removes its ammonia, 15nitrogen will be incorporated into PPEA. Otherwise, different mechanisms would be involved in PPEA formation. 15N-labeled n-hexylamine was synthesized by a chemical method using 15NH4Cl, as shown in Figure 3. When 15N-labeled n-hexylamine was used as an additional agent, (E)-n-hexyl-1-phenylethan-1-imine-N-15N (15N-HPI) was formed in the reaction mixture. GC/MS showed that one of the molecular masses was greater than the result seen with cold n-hexylamine (Figures S5–S7).
These results provide direct evidence that the secondary imine n-hexyl-1-phenylethan-1-imine was synthesized by an enzymatic reaction after the nucleophilic addition of n-hexylamine to the α-carbon of 1-PEI, which removed the ammonia originating from (R)-MBA.

3. Discussion

The use of organic and metal catalysts for the synthesis of imines from primary amines has been reported previously [11,28,29]. Although these chemical methods are recognized as useful, they are carried out under harsh conditions, using high concentrations of metal ions, organic solvents, high temperatures, or high pressures. The enzymatic method is thus a candidate for an alternative eco-friendly method of imine synthesis. Despite this, there have been no reports on enzymatic imine synthesis from primary amines with direct chemical evidence [30]. Since imines are unstable in aqueous solutions and are easily converted to ketone by hydrolysis, enzymatic methods for imine synthesis were not developed.
In this study, the authors developed a new enzymatic method for imine production from primary amines, showing that imines can be synthesized in aqueous solutions. Specifically, the authors first identified and optimized PPEA production from (R)-MBA via 1-PEI by the action of variant pkDAO under mild conditions (Scheme 1A). Furthermore, a new enzymatic method was developed to convert (R)-MBA to BPEA via PPEA by adding NaBH4 into the reaction mixture after PPEA synthesis was complete (Scheme 1B). Since BPEA was stable in aqueous solution, it was easily isolated and purified by silica gel column chromatography.
Our results suggest that the efficient production of imines requires the stability of products in aqueous solution. The use of a two-phase reaction system may be effective for products such as PPEA. Thus, the screening or modification of enzymes with solvent stability would be necessary to promote the enzymatic synthesis of imines. It is expected that more new products will be synthesized when more primary amines are used as a trapping agent of imine intermediates produced by variant pkDAO from secondary amines, such as (R)-MBA.
We propose a reaction mechanism of the imine synthesis from primary amines with the variant pkDAO as follows. 1-PEI produced by oxidation of (R)-MBA and pkDAO variant acts as a trigger of the reaction, in which (R)-MBA acts as a nucleophile to 1-PEI to form PPEA (Scheme 2). Usually, imine produced after an enzymatic oxidation of amine is short lived and converted to aldehydes and ketones by hydration in water. In our case, 1-PEI would have existed in a stable form with the resonance structure. If more nucleophilic substrate ((R)-MBA) than water is present in the system, the alpha-carbon of 1-PEI would accept the nucleophile and another stable compound (PPEA) would be formed.
The above reactions for the synthesis of imines from primary amines are being expanded to develop novel methods for the enzymatic synthesis of a wide variety of imines and their derivatives.

4. Materials and Methods

4.1. Chemicals

(R)-MBA was obtained from Acros Organics (Geel, Belgium). PPEA was chemically synthesized [31]. Bis(1-phenylethyl)amine (BPEA)was purchased from Sigma-Aldrich (St. Louis, MI, USA). All other chemicals were commercially available. 15N-labeled ammonium chloride was purchased from Cambridge Isotope Laboratories, Inc. (Andover, MA, USA).

4.2. Analysis of the Enzymatic Reaction by High-Performance Liquid Chromatography (HPLC)

PPEA synthesized from (R)-MBA was analyzed using HPLC (Shimadzu, Kyoto, Japan) with an OD-H column (Daicel Co., Tokyo, Japan) at 40 °C using a solution containing 90% hexane and 10% 2-propanol at a flow rate of 1 mL/min. The amount of product was measured at 200 nm using a UV detector. BPEA, (R)-MBA, and acetophenone were analyzed using HPLC (Waters, Toyo, Japan) with a Crownpak CR-I (+) column (Daicel Co., Tokyo, Japan) at 25 °C using a solution containing 80% 60 mM HClO4 and 20% acetonitrile at a flow rate of 0.4 mL/min.

4.3. Analysis of the Products in the Enzymatic Reaction Using GC/MS

The enzymatic reaction containing 150 mM of (R)-MBA and 2 U of pkDAO (Y228L/R283G) was performed in water (1 mL) in which the pH was adjusted to 9.0 with 2N HCl (final concentration 170 mM). After incubation at 20 °C for 1 h, the reaction mixture was extracted with 0.5 mL of hexane with 1 mM 1,3,5-trimethylbenzylamine as an internal standard.
The secondary imines and amines derived from the enzymatic reaction were analyzed using GC/MS (Agilent Technologies, Santa Clara, CA, USA). GC/MS spectra were obtained using HP 5975C Inert XL EI/CI MSD with a triple-axis detector at 75 eV, coupled with a 7890A GC-system, equipped with an HP-5ms column (30 m ×φ 0.25 mm; 0.25 μm in film thickness) and operated in the split-less mode at 40 °C for 2 min, then programmed to increase at 10 °C/min to 290 °C, and finally held at this temperature for 5 min. Helium was used as the carrier gas at a flow rate of 1 mL/min. GC and GC/MS data were processed using Agilent ChemStation (Hewlett-Packard Co., Chongqing, China), with reference to an MS database (Wiley 9th/NIST 2011 MS Library (Agilent Technologies, Santa Clara, CA, USA).

4.4. Identification of the Reaction Products from (R)-MBA via GC/MS Analysis

The reaction products from (R)-MBA obtained by incubation with pkDAO (Y228L/R283G) in 0.1 mL of reaction volume were extracted with 0.9 mL hexane. These were separated via GC using an HP-5ms column (30 m xφ 0.25 mm; 0.25 μm, Agilent J & W) operated in the split-less mode at 60 °C for 2 min. In this analysis, helium was used as the carrier gas at a flow rate of 1 mL/min. The MS of each compound was analyzed to identify the peak compounds with reference to an MS database (Wiley 9th/NIST 2011 MS Library; Hewlett Packard Co.) [32].

4.5. Synthesis of 15N-Labeled n-Hexylamine

To monitor the enzymatic reaction to synthesize the secondary imine catalyzed by the pkDAO variant (Y228L/R283G), 15N labeled n-hexylamine, which is not a substrate for the pkDAO variant, was used as a source of a primary amine. To prepare 15N-labeled n-hexylamine, 15N n-hexanamide synthesized from n-hexanoic acid was reduced to the amine by the method described by Noguchi et al. [33]. Hexanoic acid (1.01 g, 9.18 mmol), ethyl chloroformate (1.39 g, 12.85 mmol), and triethylamine (2.79 g, 27.54 mmol) were added into tetrahydrofuran anhydrous (20 mL). The reaction mixture was stirred at 0 °C for 30 min under nitrogen. 15N-labeled ammonium chloride (0.5 g, 9.18 mmol) in 28% of water was added while stirring at 0 °C for 30 min. To quench the reaction, saturated NaHCO3 was added, followed by extraction with ethyl acetate and drying with MgSO4. The solvent was then evaporated to obtain a crude product. 15N-labeled n-hexanamide (500 mg, 4.34 mmol) was reduced to 15N labeled-hexylamine using lithium aluminum hydride (LiAlH4, 329 g, 8.68 mmol) in tetrahydrofuran anhydrous (15 mL), according to the method described by Xu and Tambar [34]. The reaction was quenched using sodium sulfate decahydrate (4.34 mmol, 1.39 g); ethyl acetate was added, and the solvent was filtered and evaporated. 15N-labeled n-hexylamine was purified using silica gel column chromatography via stepwise elution of methanol/dichloromethane/triethylamine (1:5:1% to 1:1:1%). Analytical thin-layer chromatography was performed on silica plates. The components were visualized using Ninhydrin-ethanol TS Spray (FUJIFILM Wako Pure Chemical Corporation, Japan) and potassium permanganate. The product was analyzed using GC/MS (Figure S8) and nuclear magnetic resonance (NMR) (Figure S9).

4.6. Kinetic Analysis of 1-Phenyl-N-(1-Phenylethylidene)Ethanamine (PPEA) Synthesis

The Km values for (R)-MBA in the PPEA synthesis were analyzed in the reaction mixture containing 6.25–200 mM (R)-MBA (pH adjusted to 9.0 with HCl) with 2 U of variant pkDAO in 0.1 mL at 20 °C for 5 min. After termination of the reaction, the reaction products were extracted using 0.9 mL of n-hexane/2-propanol (9:1) and analyzed using HPLC. One unit of enzyme activity for PPEA synthesis was defined as the amount of enzyme that catalyzes the production of 1 μmol of PPEA per min.

4.7. Production of PPEA from (R)-MBA

Effect of the amount of the enzyme for PPEA synthesis was examined by incubating 150 mM (R)-MBA (pH 9.0) with 0.6–7.5 U of pkDAO at 20 °C for 1 h in 0.1 mL of the reaction mixture. After the reaction was terminated, the products were extracted using 0.9 mL of organic solvent of hexane/2-propanol (9:1) and analyzed using HPLC. PPEA was synthesized under optimum conditions using 150 mM (R)-MBA (pH 9.0) and 7.5 U of variant pkDAO in 1 mL of reaction mixture. The reaction products were extracted using 0.5 mL of organic solvent, hexane, after which it was analyzed using GC-MS.

4.8. Enzymatic Synthesis of N-Hexyl-1-Phenylethan-1-Imine from (R)-MBA and 15N-n-Hexylamine

To synthesize N-hexyl-1-phenylethan-1-imine from (R)-MBA and 15N-n-hexylamine, 5 mM (R)-MBA (pH 9.0), 150 mM 15N-hexylamine (pH 9.0), and 2 U of the variant pkDAO were placed in a 1 mL reaction mixture in a shaking incubator at 20 °C for 1 h. The reaction mixture was then extracted using 0.5 mL of n-hexane with 1 mM 1,3,5-trimethylbenzylamine as an internal standard. The products were analyzed by GC/MS using an HP-5ms column.

4.9. Production of Bis(1-Phenylethyl)Amine (BPEA) from (R)-MBA and Identification of BPEA

BPEA was synthesized from (R)-MBA with the pkDAO variant and then reduced using NaBH4 as follows: first, 150 mM (R)-MBA (pH 9.0) was incubated with 7.5 U of the variant pkDAO at 20 °C for 60 min in 1 mL of the reaction mixture to synthesize PPEA. After the reaction was terminated, 100 mM NaBH4 was added to the reaction mixture, and the products were identified using HPLC and GC/MS analyses. BPEA was synthesized from (R)-MBA at a larger scale under optimum conditions using 150 mM (R)-MBA (pH 9.0), 750 U of the variant pkDAO, and 100 mM NaBH4 in 100 mL of reaction mixture. BPEA was purified using silica gel column chromatography with a stepwise elution of hexane/AcOEt (50:1 to 25:1).

4.10. Production and Identification of N-(1-Phenylethyl)Hexane-1-Amine from (R)-MBA and Hexylamine Using Enzymatic Reaction

To synthesize N-(1-phenylethyl)hexane-1-amine from (R)-MBA and hexylamine, 5 mM (R)-MBA and 150 mM hexylamine (pH 9.0, adjusted with 2 N HCl) was incubated with 20 U of variant pkDAO at 20°C in the presence of 100 mM NaBH4 and incubated with shaking for 4 h in 20 mL of reaction mixture. After the synthesis of N-(1-phenylethyl)hexane-1-amine, the products were identified using GC/MS. To identify the product using NMR, the reaction mixture was extracted in hexane and purified using silica gel column chromatography via elution with methanol:dichloromethane (1:5).

Supplementary Materials

The following supporting information can be downloaded at https://www.mdpi.com/article/10.3390/catal12050511/s1: Figure S1: GC/MS analysis for identification of PPEA; Scheme S1; Figure S2: Mechanism for imine-dimer synthesis from primary amines with enzymatic amine oxidation; Figure S3: Kinetic analysis of PPEA synthesis from (R)-MBA with variant pkDAO; Figure S4: GC/MS analysis for identification of BPEA; Figures S5 and S6: Identification of synthesized product by the reaction of (R)-MBA and hexylamine with variant pkDAO in presence of NaBH4; Figure S7: Identification of synthesized product by the reaction of (R)-MBA and 15N n-hexylamine with variant pkDAO; Figure S8: GC/MS analysis for identification of 15N-labeled n-hexylamine; Figure S9: 1H-NMR spectrum of 15N-labeled n-hexanamide and 15N-labeled n-hexylamine from chemical synthesis.

Author Contributions

Supervision, funding acquisition, and project administration Y.A.; conceptualization and methodology, Y.A. and N.K.; writing—original draft preparation, N.K.; investigation, formal analysis, and visualization, N.K. and K.P.; writing—review and editing, Y.A., N.K., and K.P. All authors have read and agreed to the published version of the manuscript.

Funding

This work was supported by ERATO (Exploratory Research for Advanced Technology Program), Asano Active Enzyme Molecule Project of Japan Science and Technology Agency (Grant No. JPMJER1102), and by grant-in-aid for Scientific Research (S) and (A) from the Japan Society for Promotion of Sciences (Grant No. 17H06169 and 22H00361, respectively) to Y. Asano.

Acknowledgments

We are grateful to Genji Iwasaki for his help in the synthesis of 15N-labelled n-hexylamine and the identification of products. We are also grateful to Yasumasa Kuwahara for his counsel in the determination of the reaction mechanism of PPEA by pkDAO. Thanks are due to Suguru Shinoda for his help in drawing the structure of the enzyme in the Graphical Abstract.

Conflicts of Interest

The authors declare no conflict of interest.

References

  1. Bloch, R. Additions of organometallic reagents to CN bonds: Reactivity and selectivity. Chem. Rev. 1998, 98, 1407–1438. [Google Scholar] [CrossRef] [PubMed]
  2. Neumann, R.; Levin, M. Selective aerobic oxidative dehydrogenation of alcohols and amines catalyzed by a supported molybdenum-vanadium heteropoly anion salt Na5PMo2V2O40. J. Org. Chem. 1991, 56, 5707–5710. [Google Scholar] [CrossRef]
  3. Shiri, P. Novel hybrid molecules based on triazole-β-lactam as potential biological agents. Mini Rev. Med. Chem. 2021, 21, 536–553. [Google Scholar] [CrossRef] [PubMed]
  4. Nakayama, K.; Hamamoto, M.; Nishiyama, Y.; Ishii, Y. Oxidation of benzylic derivatives with dioxygen catalyzed by mixed addenda metallophosphate containing vanadium and molybdenum. Chem. Lett. 1993, 22, 1699–1702. [Google Scholar] [CrossRef]
  5. Éll, A.H.; Samec, J.S.; Brasse, C.; Bäckvall, J.-E. Dehydrogenation of aromatic amines to imines via ruthenium-catalyzed hydrogen transfer. Chem. Commun. 2002, 10, 1144–1145. [Google Scholar] [CrossRef]
  6. Nicolaou, K.; Mathison, C.J.; Montagnon, T. New reactions of IBX: Oxidation of nitrogen- and sulfur-containing substrates to afford useful synthetic intermediates. Angew. Chem. Int. Ed. 2003, 42, 4077–4082. [Google Scholar] [CrossRef]
  7. Gnanaprakasam, B.; Zhang, J.; Milstein, D. Direct synthesis of imines from alcohols and amines with liberation of H2. Angew. Chem. Int. Ed. 2010, 49, 1468–1471. [Google Scholar] [CrossRef]
  8. Donthiri, R.R.; Patil, R.D.; Adimurthy, S. NaOH-catalyzed imine synthesis: Aerobic oxidative coupling of alcohols and amines. Eur. J. Org. Chem. 2012, 2012, 4457–4460. [Google Scholar] [CrossRef]
  9. Ushakov, D.B.; Gilmore, K.; Kopetzki, D.; McQuade, D.T.; Seeberger, P.H. Continuous-flow oxidative cyanation of primary and secondary amines using singlet oxygen. Angew. Chem. Int. Ed. 2014, 53, 557–561. [Google Scholar] [CrossRef]
  10. Marui, K.; Nomoto, A.; Ueshima, M.; Ogawa, A. Eco-friendly copper sulfate-catalyzed oxidation of amines to imines by hydrogen peroxide in water. Tetrahedron Lett. 2015, 56, 1200–1202. [Google Scholar] [CrossRef] [Green Version]
  11. Qin, Y.; Zhang, L.; Lv, J.; Luo, S.; Cheng, J.-P. Bioinspired organocatalytic aerobic C–H oxidation of amines with an ortho-quinone catalyst. Org. Lett. 2015, 17, 1469–1472. [Google Scholar] [CrossRef] [PubMed]
  12. Ghislieri, D.; Green, A.P.; Pontini, M.; Willies, S.C.; Rowles, I.; Frank, A.; Grogan, G.; Turner, N.J. Engineering an enantioselective amine oxidase for the synthesis of pharmaceutical building blocks and alkaloid natural products. J. Am. Chem. Soc. 2013, 135, 10863–10869. [Google Scholar] [CrossRef] [PubMed]
  13. Duan, J.; Li, B.; Qin, Y.; Dong, Y.; Ren, J.; Li, G. Recent progress in directed evolution of stereoselective monoamine oxidases. Bioresour. Bioprocess. 2019, 6, 37. [Google Scholar] [CrossRef]
  14. Heath, R.S.; Pontini, M.; Bechi, B.; Turner, N.J. Development of an R-selective amine oxidase with broad substrate specificity and high enantioselectivity. ChemCatChem 2014, 6, 996–1002. [Google Scholar] [CrossRef]
  15. Tani, Y.; Miyake, R.; Yukami, R.; Dekishima, Y.; China, H.; Saito, S.; Kawabata, H.; Mihara, H. Functional expression of L-lysine α-oxidase from Scomber japonicus in Escherichia coli for one-pot synthesis of L-pipecolic acid from DL-lysine. Appl. Microbiol. Biotechnol. 2015, 99, 5045–5054. [Google Scholar] [CrossRef]
  16. Kawahara, N.; Yasukawa, K.; Asano, Y. New enzymatic methods for the synthesis of primary α-aminonitriles and unnatural α-amino acids by oxidative cyanation of primary amines with D-amino acid oxidase from porcine kidney. Green Chem. 2017, 19, 418–424. [Google Scholar] [CrossRef]
  17. Yasukawa, K.; Nakano, S.; Asano, Y. Tailoring D-amino acid oxidase from the pig kidney to R-stereoselective amine oxidase and its use in the deracemization of α-methylbenzylamine. Angew. Chem. Int. Ed. 2014, 53, 4428–4431. [Google Scholar] [CrossRef]
  18. Yasukawa, K.; Motojima, F.; Ono, A.; Asano, Y. Expansion of the substrate specificity of porcine kidney D-amino acid oxidase for S-stereoselective oxidation of 4-Cl-benzhydrylamine. ChemCatChem 2018, 10, 3500–3505. [Google Scholar] [CrossRef] [Green Version]
  19. Nakano, S.; Yasukawa, K.; Tokiwa, T.; Ishikawa, T.; Ishitsubo, E.; Matsuo, N.; Ito, S.; Tokiwa, H.; Asano, Y. Origin of stereoselectivity and substrate/ligand recognition in an FAD-dependent R-selective amine oxidase. J. Phys. Chem. B 2016, 120, 10736–10743. [Google Scholar] [CrossRef]
  20. Asano, Y. Screening and development of enzymes for determination and transformation of amino acids, Biosci. Biotechnol. Biochem. 2019, 83, 1402–1416. [Google Scholar] [CrossRef]
  21. Asano, Y.; Yasukawa, K. Identification and development of amino acid oxidases. Curr. Opin. Chem. Biol. 2019, 49, 76–83. [Google Scholar] [CrossRef] [PubMed]
  22. Yasukawa, K.; Kawahara, N.; Motojima, F.; Nakano, S.; Asano, Y. Porcine kidney D-amino acid oxidase-derived R-amine oxidases with new substrate specificities. The Enzymes 2020, 47, 117–136. [Google Scholar] [PubMed]
  23. Patil, R.D.; Adimurthy, S. Catalytic Methods for Imine Synthesis. Asian J. Org. Chem. 2013, 2, 726–744. [Google Scholar] [CrossRef]
  24. Abdel-Magid, A.F.; Carson, K.G.; Harris, B.D.; Maryanoff, C.A.; Shah, R.D. Reductive amination of aldehydes and ketones with sodium triacetoxyborohydride. studies on direct and indirect reductive amination procedures. J. Org. Chem. 1996, 61, 3849–3862. [Google Scholar] [CrossRef]
  25. Mirza-Aghayana, M.; Tavanaa, M.M.; Rahimifarda, M.; Boukherroub, R. Palladium on activated carbon catalyzed reductive amination of aldehydes and ketones by triethylsilane. Appl. Organomet. Chem. 2014, 28, 113–115. [Google Scholar] [CrossRef]
  26. Scheller, P.N.; Lenz, M.; Hammer, S.C.; Hauer, B.; Nestl, B.M. Imine reductase-catalyzed intermolecular reductive amination of aldehydes and ketones. ChemCatChem 2015, 7, 3239–3242. [Google Scholar] [CrossRef]
  27. Guzmán-Mejía, R.; Reyes-Rangel, G.; Juaristi, E. Preparation of chiral derivatives of β-Ala containing the α-phenylethyl group: Useful starting materials for the asymmetric synthesis of β-amino acids. Nat. Protoc. 2007, 2, 2759–2766. [Google Scholar] [CrossRef]
  28. Enthaler, S. Practical one-oot synthesis of secondary amines by zinc-catalyzed reductive amination. Catal. Lett. 2011, 141, 55–61. [Google Scholar] [CrossRef]
  29. Giovenzana, G.B.; Imperio, D.; Penoni, A.; Palmisano, G. Reductive amination with zinc powder in aqueous media. Beilstein J. Org. Chem. 2011, 7, 1095–1099. [Google Scholar] [CrossRef]
  30. Largeron, M. Protocols for the catalytic oxidation of primary amines to imines. Eur. J. Org. Chem. 2013, 24, 5225–5235. [Google Scholar] [CrossRef]
  31. Nugent, T.C.; Williams, R.V.; Dragan, A.; Méndez, A.A.; Iosub, A.V. An investigation of the observed, but counter-intuitive, stereoselectivity noted during chiral amine synthesis via N-chiral-ketimines. Beilstein J. Org. Chem. 2013, 9, 2103–2112. [Google Scholar] [CrossRef] [PubMed] [Green Version]
  32. Kuwahara, Y.; Shimizu, N.; Tanabe, T. Release of hydrogen cyanide via a post-secretion Schotten-Baumann reaction in defensive fluids of polydesmoid millipedes. J. Chem. Ecol. 2011, 37, 232–238. [Google Scholar] [CrossRef] [PubMed]
  33. Noguchi, T.; Tehara, N.; Uesugi, Y.; Jung, S.; Imai, N. Convenient peptide synthesis without protection of C-terminals. Chem. Lett. 2012, 41, 42–43. [Google Scholar] [CrossRef]
  34. Xu, B.; Tambar, U.K. Remote allylation of unactivated C (sp3)–H bonds triggered by photogenerated amidyl radicals. ACS Catal. 2019, 9, 4627–4631. [Google Scholar] [CrossRef]
Figure 1. Effects of temperature and pH on enzymatic activity for synthesis of PPEA (●) and acetophenone (○). (A) The reaction was performed at 20 °C for 5 min using 150 mM (R)-MBA of pH 7.5–11.3) and 2 U of variant pkDAO. (B) The reaction was performed at 5–80 °C for 5 min using 150 mM (R)-MBA of pH 9.0 and 2 U of variant pkDAO. The amounts of imine and acetophenone were measured using high-performance liquid chromatography.
Figure 1. Effects of temperature and pH on enzymatic activity for synthesis of PPEA (●) and acetophenone (○). (A) The reaction was performed at 20 °C for 5 min using 150 mM (R)-MBA of pH 7.5–11.3) and 2 U of variant pkDAO. (B) The reaction was performed at 5–80 °C for 5 min using 150 mM (R)-MBA of pH 9.0 and 2 U of variant pkDAO. The amounts of imine and acetophenone were measured using high-performance liquid chromatography.
Catalysts 12 00511 g001
Figure 2. Time course of the production of PPEA (●) and acetophenone (○) from (R)–MBA with variant pkDAO. (A) The reaction was performed at 20 °C using 150 mM (R)-MBA pH 9.0 and 2 U of variant pkDAO in various incubation times. (B) The reaction was performed at 20 °C for 60 min using 150 mM (R)-MBA of pH 9.0 and 0.5–4 U of variant pkDAO. The amounts of imine and acetophenone were measured using gas chromatography–mass spectrometry analysis.
Figure 2. Time course of the production of PPEA (●) and acetophenone (○) from (R)–MBA with variant pkDAO. (A) The reaction was performed at 20 °C using 150 mM (R)-MBA pH 9.0 and 2 U of variant pkDAO in various incubation times. (B) The reaction was performed at 20 °C for 60 min using 150 mM (R)-MBA of pH 9.0 and 0.5–4 U of variant pkDAO. The amounts of imine and acetophenone were measured using gas chromatography–mass spectrometry analysis.
Catalysts 12 00511 g002
Figure 3. Reaction mechanism of new enzymatic method for the synthesis of imines by oxidation of (R)-MBA with variant pkDAO using hexylamine (A) or 15N-hexylamine (B).
Figure 3. Reaction mechanism of new enzymatic method for the synthesis of imines by oxidation of (R)-MBA with variant pkDAO using hexylamine (A) or 15N-hexylamine (B).
Catalysts 12 00511 g003aCatalysts 12 00511 g003b
Scheme 1. (A) Enzymatic reaction for production of PPEA. (B) Enzymatic reaction for production of BPEA.
Scheme 1. (A) Enzymatic reaction for production of PPEA. (B) Enzymatic reaction for production of BPEA.
Catalysts 12 00511 sch001
Scheme 2. Reaction mechanism of imine synthesis from primary amines with variant pkDAO.
Scheme 2. Reaction mechanism of imine synthesis from primary amines with variant pkDAO.
Catalysts 12 00511 sch002
Publisher’s Note: MDPI stays neutral with regard to jurisdictional claims in published maps and institutional affiliations.

Share and Cite

MDPI and ACS Style

Kawahara, N.; Palasin, K.; Asano, Y. Novel Enzymatic Method for Imine Synthesis via the Oxidation of Primary Amines Using D-Amino Acid Oxidase from Porcine Kidney. Catalysts 2022, 12, 511. https://doi.org/10.3390/catal12050511

AMA Style

Kawahara N, Palasin K, Asano Y. Novel Enzymatic Method for Imine Synthesis via the Oxidation of Primary Amines Using D-Amino Acid Oxidase from Porcine Kidney. Catalysts. 2022; 12(5):511. https://doi.org/10.3390/catal12050511

Chicago/Turabian Style

Kawahara, Nobuhiro, Kunwadee Palasin, and Yasuhisa Asano. 2022. "Novel Enzymatic Method for Imine Synthesis via the Oxidation of Primary Amines Using D-Amino Acid Oxidase from Porcine Kidney" Catalysts 12, no. 5: 511. https://doi.org/10.3390/catal12050511

APA Style

Kawahara, N., Palasin, K., & Asano, Y. (2022). Novel Enzymatic Method for Imine Synthesis via the Oxidation of Primary Amines Using D-Amino Acid Oxidase from Porcine Kidney. Catalysts, 12(5), 511. https://doi.org/10.3390/catal12050511

Note that from the first issue of 2016, this journal uses article numbers instead of page numbers. See further details here.

Article Metrics

Back to TopTop