Oxygen Vacancy-Mediated Selective H2S Oxidation over Co-Doped LaFexCo1−xO3 Perovskite
Abstract
:1. Introduction
2. Experiment
2.1. Catalyst Preparation
2.2. Catalyst Characterization
2.3. Catalytic Performance Tests
3. Results and Discussion
3.1. Catalytic Performances of LaFexCo1−xO3 Catalysts
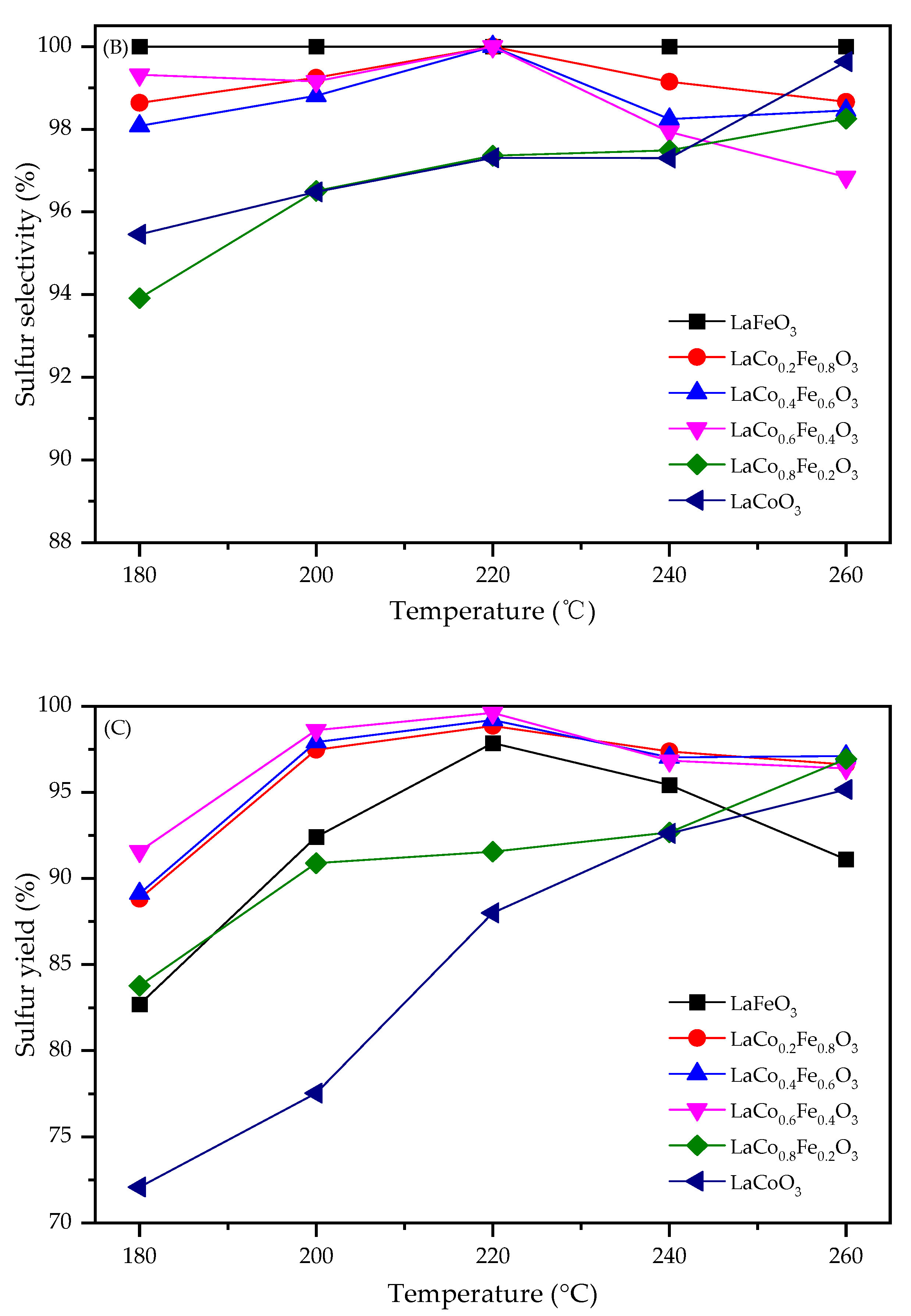
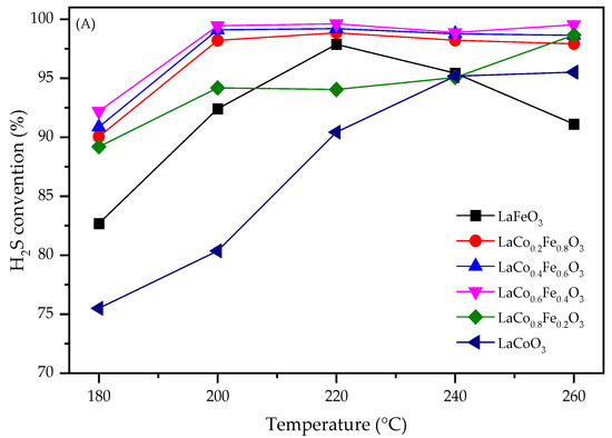
3.1.1. Effect of Reaction Temperature
3.1.2. Effect of GHSV (Gas Hourly Space Velocity)
3.1.3. Effect of the H2S/O2 Molar Ratio
3.1.4. Durability of LaFexCo1−xO3 Catalysts
3.2. Characterization of LaFexCo1−xO3 Catalysts
3.2.1. Phase Identifications
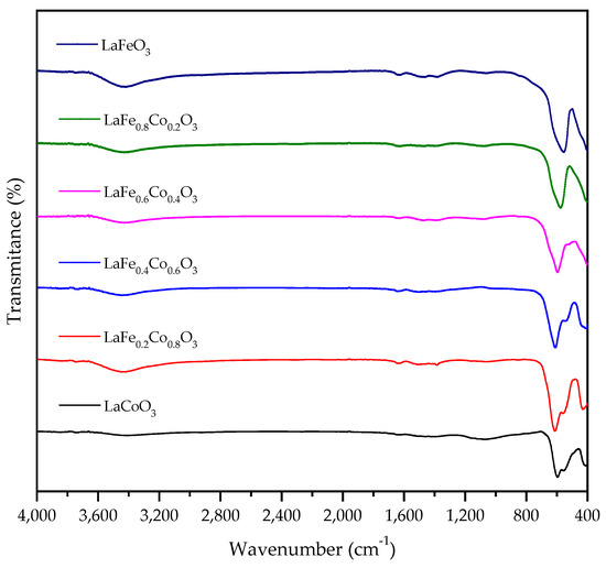
3.2.2. FTIR Spectrum
3.2.3. Textural Properties
3.2.4. H2-TPR Spectrum
3.2.5. The Surface Chemical States Revealed by XPS
3.3. Catalytic and Deactivation Mechanisms
4. Conclusions
- (1)
- The incorporation of Fe into LaCoO3 had a great influence on the conversion and selectivity of H2S selective oxidation reaction. It was shown that Fe doping not only enhanced catalytic activity for the H2S selective oxidation reaction, but also reduced the optimal reaction temperature.
- (2)
- LaFe0.4Co0.6O3 had the highest catalytic activity and the catalyst deactivation was not obvious before 77 h, and its stability is better than some types of catalysts. Analysis of XRD and FTIR showed that the LaFexCo1−xO3 catalyst existed in a single perovskite structure. H2-TPR indicates that oxygen vacancy creation is more feasible on a co-doped LaFexCo1−xO3 catalyst.
- (3)
- The reaction mechanism and inactivation mechanism were predicted. The presence of lattice oxygen in the LaFe0.4Co0.6O3 catalyst and the oxygen vacancies generated in the reaction are beneficial to the H2S selective oxidation reaction. In addition, the deposition of elemental sulfur and the formation of oxygen vacancies with lower electron density could lead to catalyst deactivation.
Author Contributions
Funding
Institutional Review Board Statement
Data Availability Statement
Conflicts of Interest
Sample Availability
References
- Pongthawornsakun, B.; Phatyenchuen, S.; Panpranot, J.; Praserthdam, P. The low temperature selective oxidation of H2S to elemental sulfur on TiO2 supported V2O5 catalysts. J. Environ. Chem. Eng. 2018, 6, 1414–1423. [Google Scholar] [CrossRef]
- Yang, C.; Ye, H.; Byun, J.; Hou, Y.; Wang, X. N-Rich Carbon Catalysts with Economic Feasibility for the Selective Oxidation of Hydrogen Sulfide to Sulfur. Environ. Sci. Technol. 2020, 54, 12621–12630. [Google Scholar] [CrossRef]
- Wiheeb, A.D.; Shamsudin, I.K.; Ahmad, M.A.; Murat, M.N.; Kim, J.; Othman, M.R. Present technologies for hydrogen sulfide removal from gaseous mixtures. Rev. Chem. Eng. 2013, 29, 449–470. [Google Scholar] [CrossRef]
- Garcia-Arriaga, V.; Alvarez-Ramirez, J.; Amaya, M.; Sosa, E. H2S and O2 influence on the corrosion of carbon steel immersed in a solution containing 3 M diethanolamine. Corros. Sci. 2010, 52, 2268–2279. [Google Scholar] [CrossRef]
- Hao, Z. H2S selective catalytic oxidation: Catalysts and processes. ACS Catal. 2015, 5, 1053–1067. [Google Scholar]
- Huang, H.; Shen, L.; Yang, S.; Hu, W.; Zhang, L.; Feng, J.; Jiang, L.; Yu, T.; Li, Z.; Zou, Z. Exploring N-Containing Compound Catalyst for H2S Selective Oxidation: Case Study of TaON and Ta3N5. Catal. Lett. 2021, 151, 1728–1737. [Google Scholar] [CrossRef]
- Liu, Y.; Song, C.; Wang, Y.; Cao, W.; Lei, Y.; Feng, Q.; Chen, Z.; Liang, S.; Xu, L.; Jiang, L. Rational designed Co@ N-doped carbon catalyst for high-efficient H2S selective oxidation by regulating electronic structures. Chem. Eng. J. 2020, 401, 126038. [Google Scholar] [CrossRef]
- Fang, H.-B.; Zhao, J.-T.; Fang, Y.-T.; Huang, J.-J.; Wang, Y. Selective oxidation of hydrogen sulfide to sulfur over activated carbon-supported metal oxides. Fuel 2013, 108, 143–148. [Google Scholar] [CrossRef]
- Ba, H.; Duong-Viet, C.; Liu, Y.; Nhut, J.-M.; Granger, P.; Ledoux, M.J.; Pham-Huu, C. Nitrogen-doped carbon nanotube spheres as metal-free catalysts for the partial oxidation of H2S. Comptes Rendus Chim. 2016, 19, 1303–1309. [Google Scholar] [CrossRef] [Green Version]
- Bineesh, K.V.; Kim, D.-K.; Kim, D.-W.; Cho, H.-J.; Park, D.-W. Selective catalytic oxidation of H2S to elemental sulfur over V2O5/Zr-pillared montmorillonite clay. Energy Environ. Sci. 2010, 3, 302–310. [Google Scholar] [CrossRef]
- Soriano, M.; Nieto, J.L.; Ivars, F.; Concepcion, P.; Rodríguez-Castellón, E. Alkali-promoted V2O5 catalysts for the partial oxidation of H2S to sulphur. Catal. Today 2012, 192, 28–35. [Google Scholar] [CrossRef]
- Phatyenchuen, S.; Pongthawornsakun, B.; Panpranot, J.; Praserthdam, P. Effect of transition metal dopants (M= Nb, La, Zr, and Y) on the M-TiO2 supported V2O5 catalysts in the selective oxidation of H2S to elemental sulfur. J. Environ. Chem. Eng. 2018, 6, 5655–5661. [Google Scholar] [CrossRef]
- Daraee, M.; Baniadam, M.; Rashidi, A.; Maghrebi, M. Synthesis of TiO2-CNT hybrid nanocatalyst and its application in direct oxidation of H2S to S. Chem. Phys. 2018, 511, 7–19. [Google Scholar] [CrossRef]
- Ghasemy, E.; Emrooz, H.B.M.; Rashidi, A.; Hamzehlouyan, T. Highly uniform molybdenum oxide loaded N-CNT as a remarkably active and selective nanocatalyst for H2S selective oxidation. Sci. Total. Environ. 2020, 711, 134819. [Google Scholar] [CrossRef] [PubMed]
- Varandili, S.B.; Babaei, A.; Ataie, A. Characterization of B site codoped LaFeO3 nanoparticles prepared via co-precipitation route. Rare Met. 2018, 37, 181–190. [Google Scholar] [CrossRef]
- Wang, G.; Cheng, C.; Zhu, J.; Wang, L.; Gao, S.; Xia, X. Enhanced degradation of atrazine by nanoscale LaFe1−xCuxO3-δ perovskite activated peroxymonosulfate: Performance and mechanism. Sci. Total. Environ. 2019, 673, 565–575. [Google Scholar] [CrossRef]
- Madoui, N.; Omari, M. Synthesis and electrochemical properties of LaCr1−xCoxO3 (0≤x≤0.5) via co-precipitation method. J. Inorg. Organomet. Polym. Mater. 2016, 26, 1005–1013. [Google Scholar] [CrossRef]
- Pena, M.; Fierro, J. Chemical structures and performance of perovskite oxides. Chem. Rev. 2001, 101, 1981–2018. [Google Scholar] [CrossRef]
- Omari, E.; Omari, M.; Barkat, D. Oxygen evolution reaction over copper and zinc co-doped LaFeO3 perovskite oxides. Polyhedron 2018, 156, 116–122. [Google Scholar] [CrossRef]
- Da, Y.; Lirong, Z.; Caiyun, W.; Teng, M.; Rui, C.; Cairong, G.; Guoliang, F. Catalytic Oxidation of diesel soot particulates over Pt substituted LaMn1−xPtxO3 perovskite oxides. Catal. Today 2019, 327, 73–80. [Google Scholar] [CrossRef]
- Wang, S.; Xu, X.; Zhu, J.; Tang, D.; Zhao, Z. Effect of preparation method on physicochemical properties and catalytic performances of LaCoO3 perovskite for CO oxidation. J. Rare Earths 2019, 37, 970–977. [Google Scholar] [CrossRef]
- Zhou, C.; Feng, Z.; Zhang, Y.; Hu, L.; Chen, R.; Shan, B.; Yin, H.; Wang, W.G.; Huang, A. Enhanced catalytic activity for NO oxidation over Ba doped LaCoO3 catalyst. RSC Adv. 2015, 5, 28054–28059. [Google Scholar] [CrossRef]
- Yang, X.; Park, D.-W.; Kim, M.-I. Selective oxidation of hydrogen sulfide over LaCoO3 and LaSrCoO4 mixed oxides. Korean J. Chem. Eng. 2007, 24, 592–595. [Google Scholar] [CrossRef]
- Zhang, F.; Zhang, X.; Jiang, G.; Li, N.; Hao, Z.; Qu, S. H2S selective catalytic oxidation over Ce substituted La1−xCexFeO3 perovskite oxides catalyst. Chem. Eng. J. 2018, 348, 831–839. [Google Scholar] [CrossRef]
- Ahmad, A.; Al Mamun, M.; Al-Mamun, M.; Huque, S.; Ismail, M. LFO Perovskites as Oxygen Carriers for Chemical Looping Oxygen Uncoupling (CLOU). J. Therm. Anal. Calorim. 2021, 1–9. [Google Scholar] [CrossRef]
- Zhang, F.; Zhang, X.; Jiang, G.; Sun, Y.; Qu, S. Selective oxidation of H2S over Fe supported on Zr-intercalated Laponite clay mesoporous composite catalysts at low temperature. Catal. Today 2020, 355, 366–374. [Google Scholar] [CrossRef]
- Xin, Z.; Zhuo, W.; Tang, Y.; Qiao, N.; Hao, Z. Catalytic Behaviors of Combined Oxides Derived from Mg/AlxFe1−x-Cl Layered Double Hydroxides for H2S Selective Oxidation. Catal. Sci. Technol. 2015, 5, 4991–4999. [Google Scholar]
- Gaikwad, V.M.; Sheikh, J.R.; Acharya, S.A. Investigation of photocatalytic and dielectric behavior of LaFeO3 nanoparticles prepared by microwave-assisted sol–gel combustion route. J. Sol-Gel Sci. Technol. 2015, 76, 27–35. [Google Scholar] [CrossRef]
- Andoulsi, R.; Horchani-Naifer, K.; Férid, M. Effect of the preparation route on the structure and microstructure of LaCoO3. Chem. Pap. 2014, 68, 608–613. [Google Scholar] [CrossRef]
- Chumakova, V.; Marikutsa, A.; Rumyantseva, M.; Fasquelle, D.; Gaskov, A. Nanocrystalline LaCoO3 modified by Ag nanoparticles with improved sensitivity to H2S. Sens. Actuators B Chem. 2019, 296, 126661. [Google Scholar] [CrossRef]
- Sarker, A.R. Synthesis of high quality LaCoO3 crystals using water based sol-gel method. Int. J. Mater. Sci. Appl. 2015, 4, 159–164. [Google Scholar]
- Noroozifar, M.; Khorasani-Motlagh, M.; Ekrami-Kakhki, M.-S.; Khaleghian-Moghadam, R. Enhanced electrocatalytic properties of Pt–chitosan nanocomposite for direct methanol fuel cell by LaFeO3 and carbon nanotube. J. Power Sources 2014, 248, 130–139. [Google Scholar] [CrossRef]
- Li, J.; Pan, X.; Xu, Y.; Jia, L.; Yi, X.; Fang, W. Synergetic effect of copper species as cocatalyst on LaFeO3 for enhanced visible-light photocatalytic hydrogen evolution. Int. J. Hydrogen Energy 2015, 40, 13918–13925. [Google Scholar] [CrossRef]
- Merino, N.A.; Barbero, B.P.; Grange, P.; Cadús, L.E. La1−xCaxCoO3 perovskite-type oxides: Preparation, characterisation, stability, and catalytic potentiality for the total oxidation of propane. J. Catal. 2005, 231, 232–244. [Google Scholar] [CrossRef]
- Zhou, C.; Liu, X.; Wu, C.; Wen, Y.; Xue, Y.; Chen, R.; Zhang, Z.; Shan, B.; Yin, H.; Wang, W.G. NO oxidation catalysis on copper doped hexagonal phase LaCoO3: A combined experimental and theoretical study. Phys. Chem. Chem. Phys. 2014, 16, 5106–5112. [Google Scholar] [CrossRef] [PubMed]
- Wachowski, L.; Zielinski, S.; Burewicz, A. Preparation, stability and oxygen stoichiometry in perovskite-type binary oxides. Acta Chim. Acad. Sci. Hung. 1981, 106, 217–225. [Google Scholar]
- Zheng, X.; Li, Y.; You, W.; Lei, G.; Cao, Y.; Zhang, Y.; Jiang, L. Construction of Fe-doped TiO2−x ultrathin nanosheets with rich oxygen vacancies for highly efficient oxidation of H2S. Chem. Eng. J. 2022, 430, 132917. [Google Scholar] [CrossRef]
- Zheng, X.; Li, Y.; Zheng, Y.; Shen, L.; Xiao, Y.; Cao, Y.; Zhang, Y.; Au, C.; Jiang, L. Highly Efficient Porous FexCe1–xO2−δ with Three-Dimensional Hierarchical Nanoflower Morphology for H2S-Selective Oxidation. ACS Catal. 2020, 10, 3968–3983. [Google Scholar] [CrossRef]
- Merino, N.A.; Barbero, B.P.; Ruiz, P.; Cadús, L.E. Synthesis, characterisation, catalytic activity and structural stability of LaCo1-yFeyO3±λ perovskite catalysts for combustion of ethanol and propane. J. Catal. 2006, 240, 245–257. [Google Scholar] [CrossRef]
- Escalona, N.; Fuentealba, S.; Pecchi, G. Fischer–Tropsch synthesis over LaFe1−xCoxO3 perovskites from a simulated biosyngas feed. Appl. Catal. A Gen. 2010, 381, 253–260. [Google Scholar] [CrossRef]
- Yu, S.; Xu, S.; Sun, B.; Lu, Y.; Li, L.; Zou, W.; Wang, P.; Gao, F.; Tang, C.; Dong, L. Synthesis of CrOx/C catalysts for low temperature NH3-SCR with enhanced regeneration ability in the presence of SO2. RSC Adv. 2018, 8, 3858–3868. [Google Scholar] [CrossRef] [Green Version]
- Deng, H.B.; Gao, L.; Long, Z.; Liu, D.T.; Lin, L. Studies on catalysis of Cu-doped Mn-based perovskite-type oxide in wet oxidation of lignin to produce aromatic aldehydes. Energy Fuels 2010, 24, 4797–4802. [Google Scholar] [CrossRef]
- Ding, J.C.; Li, H.Y.; Cai, Z.X.; Wang, X.X.; Guo, X. Near room temperature CO sensing by mesoporous LaCoO3 nanowires functionalized with Pd nanodots. Sens. Actuators B Chem. 2016, 222, 517–524. [Google Scholar] [CrossRef]
- Liu, H.; Sun, H.; Xie, R.; Zhang, X.; Zheng, K.; Peng, T.; Wu, X.; Zhang, Y. Substrate-dependent structural and CO sensing properties of LaCoO3 epitaxial films. Appl. Surf. Sci. 2018, 442, 742–749. [Google Scholar] [CrossRef]
- Koyuncu, D.D.E.; Yasyerli, S. Selectivity and Stability Enhancement of Iron Oxide Catalyst by Ceria Incorporation for Selective Oxidation of H2S to Sulfur. Ind. Eng. Chem. Res. 2009, 48, 5223–5229. [Google Scholar] [CrossRef]
- Yong, Z.; Jiang, B.; Yuan, M.; Li, P.; Wei, L.; Zheng, X. Formaldehyde-sensing properties of LaFeO3 particles synthesized by citrate sol–gel method. J. Sol-Gel Sci. Technol. 2016, 79, 167–175. [Google Scholar]
- Bhargav, K.K.; Maity, A.; Ram, S.; Majumder, S.B. Low temperature butane sensing using catalytic nano-crystalline lanthanum ferrite sensing element. Sens. Actuators B Chem. 2014, 195, 303–312. [Google Scholar] [CrossRef]
- Lee, W.Y.; Yun, H.J.; Yoon, J.W. Characterization and magnetic properties of LaFeO3 nanofibers synthesized by electrospinning. J. Alloy. Compd. 2014, 583, 320–324. [Google Scholar] [CrossRef]
- Barbero, B.P.; Gamboa, J.A.; Cadús, L.E. Synthesis and characterisation of La1xCaxFeO3 perovskite-type oxide catalysts for total oxidation of volatile organic compounds. Appl. Catal. B Environ. 2006, 65, 21–30. [Google Scholar] [CrossRef]
- Li, M.; Gao, Y.; Zhao, K.; Li, H.; Huang, Z. Mg-doped La1.6Sr0.4FeCoO6 for anaerobic oxidative dehydrogenation of ethane using surface-absorbed oxygen with tuned electronic structure. Fuel Process. Technol. 2021, 216, 106771. [Google Scholar] [CrossRef]
- Zhang, F.; Zhang, X.; Hao, Z.; Jiang, G.; Yang, H.; Qu, S. Insight into the H2S selective catalytic oxidation performance on well-mixed Ce-containing rare earth catalysts derived from MgAlCe layered double hydroxides. J. Hazard. Mater. 2018, 342, 749–757. [Google Scholar] [CrossRef] [PubMed]
- Cantrell, K.J.; Yabusaki, S.B.; Engelhard, M.H.; Mitroshkov, A.V.; Thornton, E.C. Oxidation of H2S by iron oxides in unsaturated conditions. Environ. Sci. Technol. 2003, 37, 2192–2199. [Google Scholar] [CrossRef] [PubMed]













| Catalysts | BET Surface Area (SBET) (m2/g) | Average Pore Diameter (DP) (nm) | Pore Volume (VP) (cm3/g) | 
|---|---|---|---|
| LaCoO3 | 9.26 | 20.85 | 0.048 | 
| LaFe0.2Co0.8O3 | 10.43 | 18.30 | 0.048 | 
| LaFe0.4Co0.6O3 | 11.39 | 19.92 | 0.057 | 
| LaFe0.6Co0.4O3 | 10.70 | 20.67 | 0.055 | 
| LaFe0.8Co0.2O3 | 9.62 | 22.06 | 0.053 | 
| LaFeO3 | 8.02 | 24.22 | 0.049 | 
| Publisher’s Note: MDPI stays neutral with regard to jurisdictional claims in published maps and institutional affiliations. | 
© 2022 by the authors. Licensee MDPI, Basel, Switzerland. This article is an open access article distributed under the terms and conditions of the Creative Commons Attribution (CC BY) license (https://creativecommons.org/licenses/by/4.0/).
Share and Cite
Yu, X.; Tao, X.; Gao, Y.; Ding, L.; Wang, Y.; Yu, G.; Wang, F. Oxygen Vacancy-Mediated Selective H2S Oxidation over Co-Doped LaFexCo1−xO3 Perovskite. Catalysts 2022, 12, 236. https://doi.org/10.3390/catal12020236
Yu X, Tao X, Gao Y, Ding L, Wang Y, Yu G, Wang F. Oxygen Vacancy-Mediated Selective H2S Oxidation over Co-Doped LaFexCo1−xO3 Perovskite. Catalysts. 2022; 12(2):236. https://doi.org/10.3390/catal12020236
Chicago/Turabian StyleYu, Xinlei, Xun Tao, Yunfei Gao, Lu Ding, Yanqin Wang, Guangsuo Yu, and Fuchen Wang. 2022. "Oxygen Vacancy-Mediated Selective H2S Oxidation over Co-Doped LaFexCo1−xO3 Perovskite" Catalysts 12, no. 2: 236. https://doi.org/10.3390/catal12020236
APA StyleYu, X., Tao, X., Gao, Y., Ding, L., Wang, Y., Yu, G., & Wang, F. (2022). Oxygen Vacancy-Mediated Selective H2S Oxidation over Co-Doped LaFexCo1−xO3 Perovskite. Catalysts, 12(2), 236. https://doi.org/10.3390/catal12020236
 
         
                                                

 
       