Development of Innovative Structured Catalysts for the Catalytic Decomposition of N2O at Low Temperatures
Abstract
1. Introduction
2. Results and Discussion
2.1. Catalysts Characterization
2.2. Ni-Co_Based Catalysts Activity Test
2.2.1. Powder Catalysts
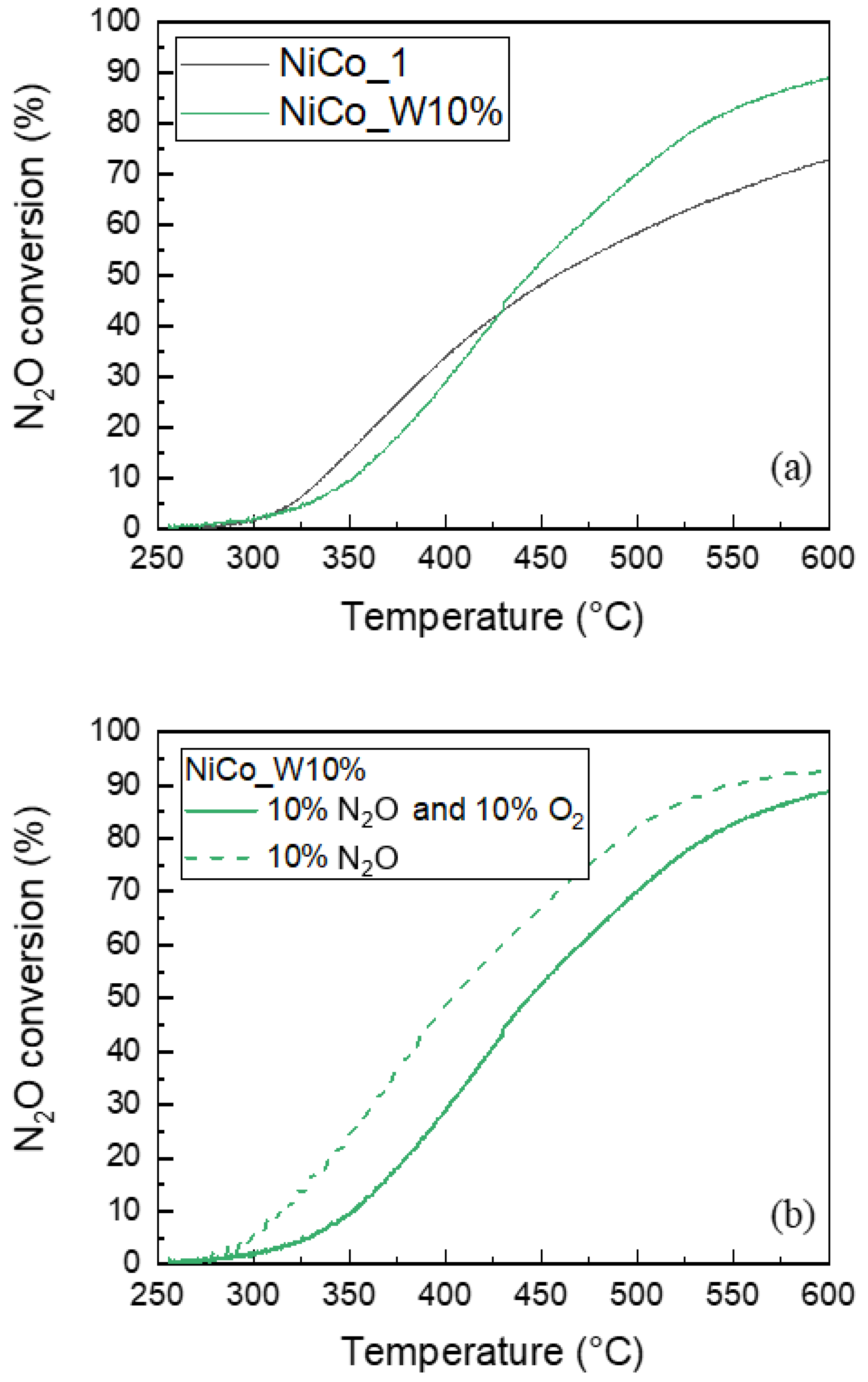
Effect of Alumina on the Catalytic Activity
Effect of Space Velocity and N2O Concentration
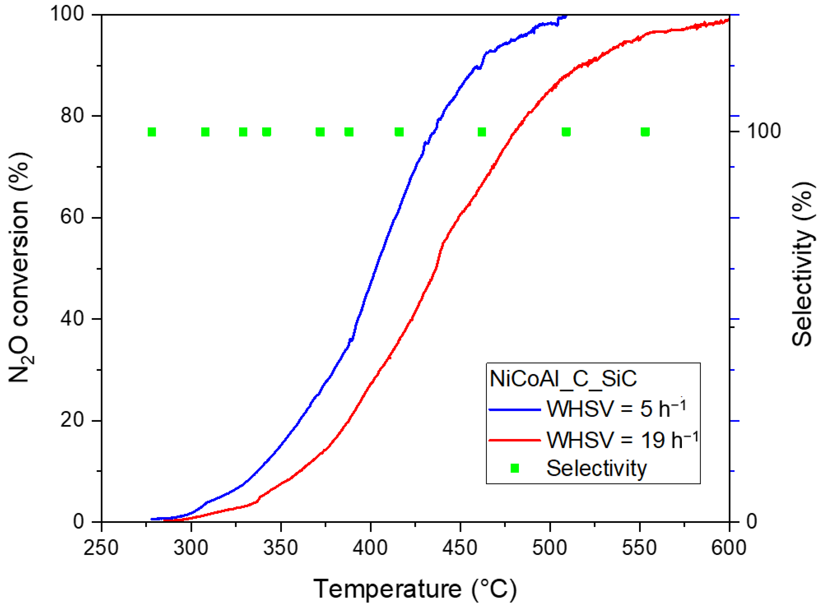
2.2.2. Structured Catalyst
3. Materials and Methods
3.1. Catalysts Preparation
3.2. Catalysts Characterization
3.3. Experimental Tests
4. Conclusions
Author Contributions
Funding
Data Availability Statement
Acknowledgments
Conflicts of Interest
References
- Li, Y.; Zhang, X.; Zheng, Z. A Review of Transition Metal Oxygen-Evolving Catalysts Decorated by Cerium-Based Materials: Current Status and Future Prospects. CCS Chem. 2021, 3, 2657–2679. [Google Scholar] [CrossRef]
- Kapteijn, F.; Rodriguez-Mirasol’, J.; Moulijn, J.A. Heterogeneous catalytic decomposition of nitrous oxide. Appl. Catal. B Environ. 1996, 9, 25–64. [Google Scholar] [CrossRef]
- Yan, L.; Ren, T.; Wang, X.; Ji, D.; Suo, J. Catalytic decomposition of N2O over MxCo1−xCo2O4 (M = Ni, Mg) spinel oxides. Appl. Catal. B Environ. 2003, 45, 85–90. [Google Scholar] [CrossRef]
- Abu-Zied, B.M. Nitrous oxide decomposition over alkali-promoted magnesium cobaltite catalysts. Chin. J. Catal. 2011, 32, 264–272. [Google Scholar] [CrossRef]
- van Dijk, E.J.H.; van Loosdrecht, M.C.M.; Pronk, M. Nitrous oxide emission from full-scale municipal aerobic granular sludge. Water Res. 2021, 198, 117159. [Google Scholar] [CrossRef]
- Li, X.; Chen, J.; Lu, C.; Luo, G.; Yao, H. Mechanism of N2O generation over chromium poisoned γ-Fe2O3 catalyst during selective catalytic reduction of NOx with NH3. Fuel 2021, 299, 120910. [Google Scholar] [CrossRef]
- Alves, L.; Holz, L.I.V.; Fernandes, C.; Ribeirinha, P.; Mendes, D.; Fagg, D.P.; Mendes, A. A comprehensive review of NOx and N2O mitigation from industrial streams. Renew. Sustain. Energy Rev. 2022, 155, 111916. [Google Scholar] [CrossRef]
- Hu, X.; Wang, Y.; Wu, R.; Zhao, L.; Wei, X.; Zhao, Y. Effects of zirconia crystal phases on the catalytic decomposition of N2O over Co3O4/ZrO2 catalysts. Appl. Surf. Sci. 2020, 514, 145892. [Google Scholar] [CrossRef]
- Lin, F.; Andana, T.; Wu, Y.; Szanyi, J.; Wang, Y.; Gao, F. Catalytic site requirements for N2O decomposition on Cu-, Co-, and Fe-SSZ-13 zeolites. J. Catal. 2021, 401, 70–80. [Google Scholar] [CrossRef]
- Hu, X.; Wang, Y.; Wu, R.; Zhao, Y. N-doped Co3O4 catalyst with a high efficiency for the catalytic decomposition of N2O. Mol. Catal. 2021, 509, 111656. [Google Scholar] [CrossRef]
- Carabineiro, S.A.C.; Papista, E.; Marnellos, G.E.; Tavares, P.B.; Maldonado-Hódar, F.J.; Konsolakis, M. Catalytic decomposition of N2O on inorganic oxides: Εffect of doping with Au nanoparticles. Mol. Catal. 2017, 436, 78–89. [Google Scholar] [CrossRef]
- Zhao, T.; Gao, Q.; Liao, W.; Xu, X. Effect of Nd-incorporation and K-modification on catalytic performance of Co3O4 for N2O decomposition. J. Fuel. Chem. Technol. 2019, 47, 1120–1128. [Google Scholar] [CrossRef]
- Wang, J.; Xia, H.; Ju, X.; Fan, F.; Feng, Z.; Li, C. Catalytic performance of different types of iron zeolites in N2O decomposition. Cuihua Xuebao/Chin. J. Catal. 2013, 34, 876–888. [Google Scholar] [CrossRef]
- Alini, S.; Basile, F.; Blasioli, S.; Rinaldi, C.; Vaccari, A. Development of new catalysts for N2O-decomposition from adipic acid plant. Appl. Catal. B Environ. 2007, 70, 323–329. [Google Scholar] [CrossRef]
- Xu, M.X.; Wang, H.X.; Ouyang, H.d.; Zhao, L.; Lu, Q. Direct catalytic decomposition of N2O over bismuth modified NiO catalysts. J. Hazard. Mater. 2021, 401, 123334. [Google Scholar] [CrossRef]
- Liu, X.; Sheng, L. Catalytic decomposition of N2O on iron-embedded C2N monolayer: A DFT study. Mater. Today Commun. 2021, 28, 102585. [Google Scholar] [CrossRef]
- Grzybek, G.; Gryboś, J.; Indyka, P.; Janas, J.; Ciura, K.; Leszczyński, B.; Zasada, F.; Kotarba, A.; Sojka, Z. Evaluation of the inhibiting effect of H2O, O2, and NO on the performance of laboratory and pilot K-ZnxCo3−xO4 catalysts supported on α-Al2O3 for low-temperature N2O decomposition. Appl. Catal. B Environ. 2021, 297, 120435. [Google Scholar] [CrossRef]
- Li, S.-X.; Xia, L.; Li, J.-Y.; Liu, X.-G.; Sun, J.-R.; Wang, H.; Chi, Y.-L.; Li, C.-Q.; Song, Y.-J. Effect of alkaline earth metal doping on the catalytic performance of cobalt-based spinel composite metal oxides in N2O decomposition. J. Fuel Chem. Technol. 2018, 46, 1377–1385. [Google Scholar] [CrossRef]
- Wang, Y.; Zhou, X.; Wei, X.; Li, X.; Wu, R.; Hu, X.; Zhao, Y. Co/Hydroxyapatite catalysts for N2O catalytic decomposition: Design of well-defined active sites with geometrical and spacing effects. Mol. Catal. 2021, 501, 111370. [Google Scholar] [CrossRef]
- Piskorz, W.; Zasada, F.; Stelmachowski, P.; Kotarba, A.; Sojka, Z. Decomposition of N2O over the surface of cobalt spinel: A DFT account of reactivity experiments. Catal. Today 2008, 137, 418–422. [Google Scholar] [CrossRef]
- Stelmachowski, P.; Maniak, G.; Kaczmarczyk, J.; Zasada, F.; Piskorz, W.; Kotarba, A.; Sojka, Z. Mg and Al substituted cobalt spinels as catalysts for low temperature deN2O-Evidence for octahedral cobalt active sites. Appl. Catal. B Environ. 2014, 146, 105–111. [Google Scholar] [CrossRef]
- Franken, T.; Palkovits, R. Investigation of potassium doped mixed spinels CuxCo3−xO4 as catalysts for an efficient N2O decomposition in real reaction conditions. Appl. Catal. B Environ. 2015, 176–177, 298–305. [Google Scholar] [CrossRef]
- Yan, L.; Ren, T.; Wang, X.; Gao, Q.; Ji, D.; Suo, J. Excellent catalytic performance of ZnxCo1−xCo2O4 spinel catalysts for the decomposition of nitrous oxide. Catal. Commun. 2003, 4, 505–509. [Google Scholar] [CrossRef]
- Xue, L.; Zhang, C.; He, H.; Teraoka, Y. Catalytic decomposition of N2O over CeO2 promoted Co3O4 spinel catalyst. Appl. Catal. B Environ. 2007, 75, 167–174. [Google Scholar] [CrossRef]
- Wang, Y.; Hu, X.; Zheng, K.; Wei, X.; Zhao, Y. Effect of SnO2 on the structure and catalytic performance of Co3O4 for N2O decomposition. Catal. Commun. 2018, 111, 70–74. [Google Scholar] [CrossRef]
- Abu-Zied, B.M.; Soliman, S.A.; Abdellah, S.E. Pure and Ni-substituted Co3O4 spinel catalysts for direct N2O decomposition. Cuihua Xuebao/Chin. J. Catal. 2014, 35, 1105–1112. [Google Scholar] [CrossRef]
- Shimizu, A.; Tanaka, K.; Fujimori, M. Abatement technologies for N2O emissions in the adipic acid industry. Chemosphere–Glob. Chang. Sci. 2000, 2, 425–434. [Google Scholar] [CrossRef]
- Konsolakis, M.; Drosou, C.; Yentekakis, I. Support mediated promotional effects of rare earth oxides (CeO2 and La2O3) on N2O decomposition and N2O reduction by CO or C3H6 over Pt/Al2O3 structured catalysts. Appl. Catal. B Environ. 2012, 123–124, 405–413. [Google Scholar] [CrossRef]
- Suarez, S.; Saiz, C.; Yates, M.; Martin, J.A.; Avila, P.; Blanco, J. Rh/γ-Al2O3-sepiolite monolithic catalysts for decomposition of N2O traces. Appl. Catal. B Environ. 2005, 55, 57–64. [Google Scholar] [CrossRef]
- Bernauer, M.; Bernauer, B.; Sadovska, G.; Sobalik, Z. High-temperature decomposition of N2O from the HNO3 production: Process feasibility using a structured catalyst. Chem. Eng. Sci. 2020, 220, 115624. [Google Scholar] [CrossRef]
- Palma, V.; Ricca, A.; Martino, M.; Meloni, E. Innovative structured catalytic systems for methane steam reforming intensification. Chem. Eng. Process. Process Intensif. 2017, 120, 207–215. [Google Scholar] [CrossRef]
- Zhang, H.; Wang, J.; Xu, X. Catalytic decomposition of N2O over NixCo1–xCoAlO4 spinel oxides prepared by sol-gel method. J. Fuel. Chem. Technol. 2015, 43, 81–87. [Google Scholar] [CrossRef]
- Bejar, J.; Alvarez-Contreras, L.; Espinosa-Magana, F.; Ledesma-Garcia, J.; Arjona, N.; Arriaga, L.G. Zn-air battery operated with a 3DOM trimetallic spinel (Mn0.5Ni0.5Co2O4) as the oxygen electrode. Electrochim. Acta 2021, 391, 138900. [Google Scholar] [CrossRef]
- Zhang, D.; Yan, H.; Lu, Y.; Qiu, K.; Wang, C.; Zhang, Y.; Liu, X.; Luof, J.; Luo, Y. NiCo2O4 nanostructure materials: Morphology control and electrochemical energy storage. Dalton Trans. 2014, 43, 15887. [Google Scholar] [CrossRef] [PubMed]
- Yi, Y.; Zhang, P.; Qin, Z.; Yu, C.; Li, W.; Qin, Q.; Li, B.; Fan, M.; Lianga, X.; Dong, L. Low temperature CO oxidation catalysed by flower-like Ni–Co–O: How physicochemical properties influence catalytic performance. RSC Adv. 2018, 8, 7110. [Google Scholar] [CrossRef]
- D’Ippolito, V.; Andreozzi, G.B.; Bersanib, D.; Lottici, P.P. Raman fingerprint of chromate, aluminate and ferrite spinels. Raman Spectrosc. 2015, 46, 1255–1264. [Google Scholar] [CrossRef]
- Huang, Y.; Zhang, S.L.; Lu, X.F.; Wu, Z.P.; Luan, D.; Lou, X.W. Trimetallic Spinel NiCo2−xFexO4 Nanoboxes for Highly Efficient Electrocatalytic Oxygen Evolution. Angew. Chem. Int. Ed. 2021, 60, 11841–11846. [Google Scholar] [CrossRef]
- Taniou, P.; Ziaka, Z.; Vasileiadis, S. Catalytic Decomposition of N2O: Best Achievable Methods and Processes. Am. Trans. Eng. Appl. Sci. 2013, 2, 149–188. [Google Scholar]
- Campa, M.; Doyle, A.; Fierro, G. Simultaneous abatement of NO and N2O with CH4 over modified Al2O3 supported Pt,Pd,Rh. Catal. Today 2022, 384, 76–87. [Google Scholar] [CrossRef]
- Palma, V.; Pisano, D.; Martino, M.; Ricca, A.; Ciambelli, P. High thermal conductivity structured carriers for catalytic processes intensification. Chem. Eng. Trans. 2015, 43, 2047–2052. [Google Scholar] [CrossRef]
- Yasaki, S.; Yoshino, Y.; Ihara, K.; Ohkubo, K. Method of Manufacturing an Exhaust Gas Purifying Catalyst. U.S. Patent US 5208206, 4 May 1993. [Google Scholar]















| Sample | SSA (m2/g) | Pore Volume (cm3/g) | Pore Radius (nm) | Ni/Co | Al2O3 (wt%) |
|---|---|---|---|---|---|
| NiCo_1 | 53 | 0.130 | 5.95 | 0.32 | - |
| NiCo_2 | 29 | 0.040 | 1.70 | 0.33 | - |
| NiCo_W10% | 57 | 0.187 | 2.60 | 0.32 | 9.6 |
| NiCo_W15% | 59 | 0.169 | 2.79 | 0.32 | 14.6 |
| NiCo_W30% | 64 | 0.115 | 3.55 | 0.32 | 28.4 |
| NiCoAl_C | 40 | 0.180 | 6.00 | 0.40 | 14.5 |
| Sample | Preparation Method | Precursor Salts | Basic Solution |
|---|---|---|---|
| NiCo_1 | Co-precipitation, filtration, and wash | Ni(NO3)2∙6H2O Co(NO3)2∙6H2O | NH3,aq (32 vol%) |
| NiCo_2 | Co-precipitation, filtration, and wash | Ni(NO3)2∙6H2O Co(NO3)2∙6H2O | Na2CO3,aq (15 wt%) |
| NiCoAl_C | Co-precipitation, filtration, and wash | Ni(NO3)2∙6H2O Co(NO3)2∙6H2O Al(NO3)3∙6H2O | NH3,aq (32 vol%) |
| NiCo_W10% | Direct addition of NiCo_1 to an alumina-based washcoat Al2O3 = 10 wt% | NH3,aq (32 vol%) | |
| NiCo_W15% | Direct addition of NiCo_1 to an alumina-based washcoat Al2O3 = 15 wt% | NH3,aq (32 vol%) | |
| NiCo_W30% | Direct addition of NiCo_1 to an alumina-based washcoat Al2O3 = 30 wt% | NH3,aq (32 vol%) | |
Publisher’s Note: MDPI stays neutral with regard to jurisdictional claims in published maps and institutional affiliations. |
© 2022 by the authors. Licensee MDPI, Basel, Switzerland. This article is an open access article distributed under the terms and conditions of the Creative Commons Attribution (CC BY) license (https://creativecommons.org/licenses/by/4.0/).
Share and Cite
Meloni, E.; Martino, M.; Renda, S.; Muccioli, O.; Pullumbi, P.; Brandani, F.; Palma, V. Development of Innovative Structured Catalysts for the Catalytic Decomposition of N2O at Low Temperatures. Catalysts 2022, 12, 1405. https://doi.org/10.3390/catal12111405
Meloni E, Martino M, Renda S, Muccioli O, Pullumbi P, Brandani F, Palma V. Development of Innovative Structured Catalysts for the Catalytic Decomposition of N2O at Low Temperatures. Catalysts. 2022; 12(11):1405. https://doi.org/10.3390/catal12111405
Chicago/Turabian StyleMeloni, Eugenio, Marco Martino, Simona Renda, Olga Muccioli, Pluton Pullumbi, Federico Brandani, and Vincenzo Palma. 2022. "Development of Innovative Structured Catalysts for the Catalytic Decomposition of N2O at Low Temperatures" Catalysts 12, no. 11: 1405. https://doi.org/10.3390/catal12111405
APA StyleMeloni, E., Martino, M., Renda, S., Muccioli, O., Pullumbi, P., Brandani, F., & Palma, V. (2022). Development of Innovative Structured Catalysts for the Catalytic Decomposition of N2O at Low Temperatures. Catalysts, 12(11), 1405. https://doi.org/10.3390/catal12111405

