Challenging Conditions for Gasoline Particulate Filters (GPFs)
Abstract
:1. Introduction
- The GPF was fresh/new (no soot or ash loading). Furthermore, the test protocol was designed to keep any soot and ash levels at a minimum level (high exhaust gas temperatures and availability of oxygen at decelerations and fuel cut-offs).
- Low ambient temperatures: In addition to the typical 23 °C ambient temperature, a temperature within current RDE boundary conditions (−4 °C) and a temperature lower than the current RDE boundaries (−9 °C) were included.
- At the −9 °C ambient temperature tests, the auxiliaries were on (air-conditioning (A/C), heating of the two seats, heating of the rear window).
- Most tests were conducted with almost 90% payload, the maximum allowed in current RDE regulation.
- An artificial dynamic cycle with slope (road gradient) was included.
- Hard accelerations from 0 km/h (idling) to 65 km/h or to 145 km/h were added to simulate cases such as crossing a busy road or entering the highway.
- All tests had a 95% percentile of speed times acceleration (v × a) higher than the currently allowed in the RDE regulation.
- Most tests had a distance slightly lower than the minimum distance required in RDE (16 km). The acceleration tests had much lower total distance (1 km and 4.5 km, respectively).
- Cold start tests were included.
- A fuel with a high PM index (2.2) was used, simulating an almost worst-case market fuel.
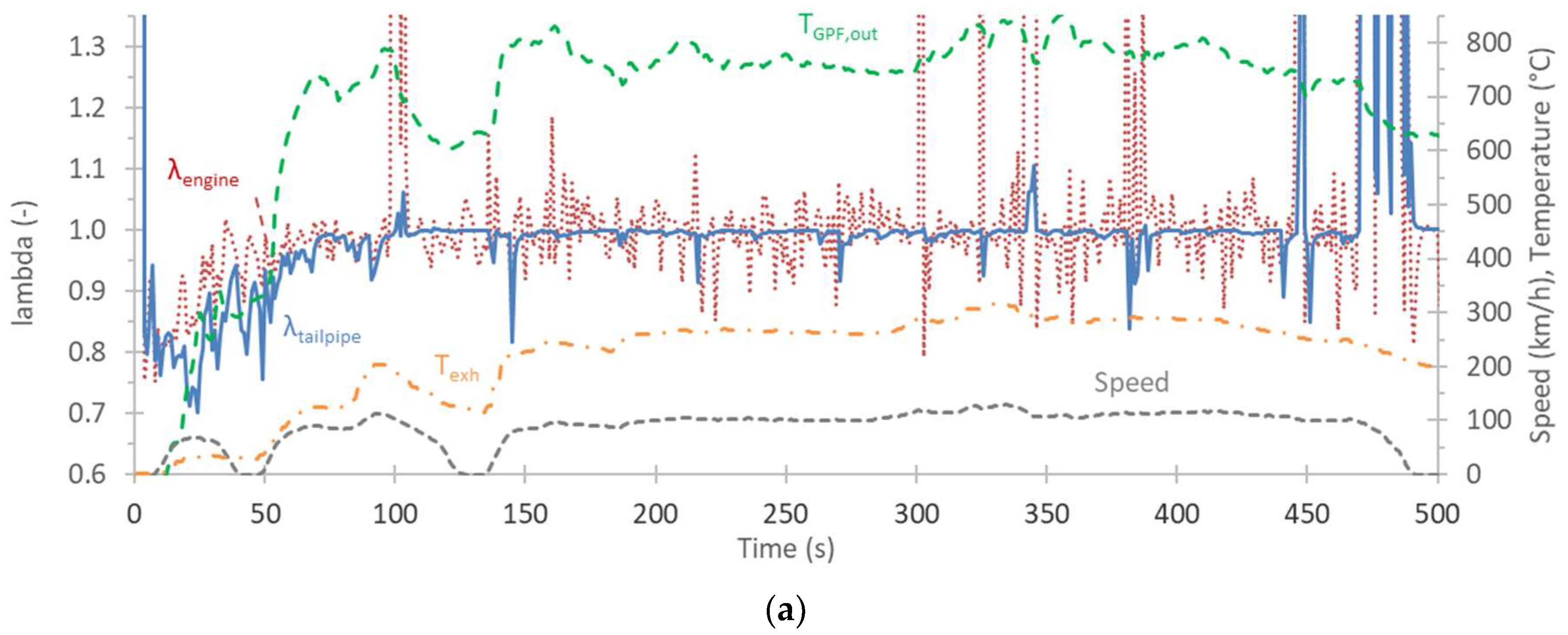
2. Results
2.1. Type Approval Cycle
2.2. Gaseous Emissions
2.3. SPN Emissions
3. Discussion
4. Materials and Methods
5. Conclusions
Author Contributions
Funding
Institutional Review Board Statement
Informed Consent Statement
Data Availability Statement
Acknowledgments
Conflicts of Interest
Disclaimer
Appendix A



References
- World Health Organization. WHO Global Air Quality Guidelines: Particulate Matter (PM2.5 and PM10), Ozone, Nitrogen Dioxide, Sulfur Dioxide and Carbon Monoxide; World Health Organization: Geneva, Switzerland, 2021; ISBN 978-92-4-003422-8. [Google Scholar]
- Berg, W. Legislation for the Reduction of Exhaust Gas Emissions. In Traffic and Environment; Gruden, D., Ed.; Springer: Berlin/Heidelberg, Germany, 2003; Volume 3T, pp. 175–253. ISBN 978-3-540-00050-1. [Google Scholar]
- Kwon, H.-S.; Ryu, M.H.; Carlsten, C. Ultrafine Particles: Unique Physicochemical Properties Relevant to Health and Disease. Exp. Mol. Med. 2020, 52, 318–328. [Google Scholar] [CrossRef] [PubMed]
- Giechaskiel, B.; Mamakos, A.; Andersson, J.; Dilara, P.; Martini, G.; Schindler, W.; Bergmann, A. Measurement of Automotive Nonvolatile Particle Number Emissions within the European Legislative Framework: A Review. Aerosol Sci. Technol. 2012, 46, 719–749. [Google Scholar] [CrossRef]
- Karjalainen, P.; Rönkkö, T.; Simonen, P.; Ntziachristos, L.; Juuti, P.; Timonen, H.; Teinilä, K.; Saarikoski, S.; Saveljeff, H.; Lauren, M.; et al. Strategies to Diminish the Emissions of Particles and Secondary Aerosol Formation from Diesel Engines. Environ. Sci. Technol. 2019, 53, 10408–10416. [Google Scholar] [CrossRef] [Green Version]
- Giechaskiel, B.; Joshi, A.; Ntziachristos, L.; Dilara, P. European Regulatory Framework and Particulate Matter Emissions of Gasoline Light-Duty Vehicles: A Review. Catalysts 2019, 9, 586. [Google Scholar] [CrossRef] [Green Version]
- Gis, W.; Gis, M.; Pielecha, J.; Skobiej, K. Alternative Exhaust Emission Factors from Vehicles in On-Road Driving Tests. Energies 2021, 14, 3487. [Google Scholar] [CrossRef]
- Rahman, S.M.A.; Fattah, I.M.R.; Ong, H.C.; Ashik, F.R.; Hassan, M.M.; Murshed, M.T.; Imran, M.A.; Rahman, M.H.; Rahman, M.A.; Hasan, M.A.M.; et al. State-of-the-Art of Establishing Test Procedures for Real Driving Gaseous Emissions from Light- and Heavy-Duty Vehicles. Energies 2021, 14, 4195. [Google Scholar] [CrossRef]
- Giechaskiel, B.; Melas, A.; Martini, G.; Dilara, P. Overview of Vehicle Exhaust Particle Number Regulations. Processes 2021, 9, 2216. [Google Scholar] [CrossRef]
- Mu, M.; Li, X.; Qiu, Y.; Shi, Y. Study on a New Gasoline Particulate Filter Structure Based on the Nested Cylinder and Diversion Channel Plug. Energies 2019, 12, 2045. [Google Scholar] [CrossRef] [Green Version]
- Mu, M.; Sjöblom, J.; Sharma, N.; Ström, H.; Li, X. Experimental Study on the Flow Field of Particles Deposited on a Gasoline Particulate Filter. Energies 2019, 12, 2701. [Google Scholar] [CrossRef] [Green Version]
- Myung, C.-L.; Kim, J.; Jang, W.; Jin, D.; Park, S.; Lee, J. Nanoparticle Filtration Characteristics of Advanced Metal Foam Media for a Spark Ignition Direct Injection Engine in Steady Engine Operating Conditions and Vehicle Test Modes. Energies 2015, 8, 1865–1881. [Google Scholar] [CrossRef] [Green Version]
- Matarrese, R. Catalytic Materials for Gasoline Particulate Filters Soot Oxidation. Catalysts 2021, 11, 890. [Google Scholar] [CrossRef]
- Sartoretti, E.; Martini, F.; Piumetti, M.; Bensaid, S.; Russo, N.; Fino, D. Nanostructured Equimolar Ceria-Praseodymia for Total Oxidations in Low-O2 Conditions. Catalysts 2020, 10, 165. [Google Scholar] [CrossRef] [Green Version]
- Walter, S.; Schwanzer, P.; Hagen, G.; Haft, G.; Rabl, H.-P.; Dietrich, M.; Moos, R. Modelling the Influence of Different Soot Types on the Radio-Frequency-Based Load Detection of Gasoline Particulate Filters. Sensors 2020, 20, 2659. [Google Scholar] [CrossRef] [PubMed]
- Moses-DeBusk, M.; Storey, J.M.E.; Eibl, M.A.; Thomas, J.F.; Toops, T.J.; Finney, C.E.A.; Pihl, J.A.; Bilheux, H.Z.; Gregor, J. Nonuniform Oxidation Behavior of Loaded Gasoline Particulate Filters. Emiss. Control Sci. Technol. 2020, 6, 301–314. [Google Scholar] [CrossRef]
- Dietrich, M.; Jahn, C.; Lanzerath, P.; Moos, R. Microwave-Based Oxidation State and Soot Loading Determination on Gasoline Particulate Filters with Three-Way Catalyst Coating for Homogenously Operated Gasoline Engines. Sensors 2015, 15, 21971–21988. [Google Scholar] [CrossRef] [Green Version]
- Meng, Z.; Chen, Z.; Tan, J.; Wang, W.; Zhang, Z.; Huang, J.; Fang, J. Regeneration Performance and Particulate Emission Characteristics during Active Regeneration Process of GPF with Ash Loading. Chem. Eng. Sci. 2022, 248, 117114. [Google Scholar] [CrossRef]
- Wang, J.; Yan, F.; Fang, N.; Yan, D.; Zhang, G.; Wang, Y.; Yang, W. An Experimental Investigation of the Impact of Washcoat Composition on Gasoline Particulate Filter (GPF) Performance. Energies 2020, 13, 693. [Google Scholar] [CrossRef] [Green Version]
- Nicolin, P.; Rose, D.; Kunath, F.; Boger, T. Modeling of the Soot Oxidation in Gasoline Particulate Filters. SAE Int. J. Engines 2015, 8, 1253–1260. [Google Scholar] [CrossRef]
- Chan, T.W.; Saffaripour, M.; Liu, F.; Hendren, J.; Thomson, K.A.; Kubsh, J.; Brezny, R.; Rideout, G. Characterization of Real-Time Particle Emissions from a Gasoline Direct Injection Vehicle Equipped with a Catalyzed Gasoline Particulate Filter during Filter Regeneration. Emiss. Control. Sci. Technol. 2016, 2, 75–88. [Google Scholar] [CrossRef] [Green Version]
- Samaras, Z.C.; Andersson, J.; Bergmann, A.; Hausberger, S.; Toumasatos, Z.; Keskinen, J.; Haisch, C.; Kontses, A.; Ntziachristos, L.D.; Landl, L.; et al. Measuring Automotive Exhaust Particles down to 10 Nm. SAE Int. J. Adv. Curr. Pract. Mobil. 2020, 3, 539–550. [Google Scholar] [CrossRef]
- Boger, T.; Glasson, T.; Rose, D.; Ingram-Ogunwumi, R.; Wu, H. Next Generation Gasoline Particulate Filters for Uncatalyzed Applications and Lowest Particulate Emissions. SAE Int. J. Adv. Curr. Pract. Mobil. 2021, 3, 2452–2461. [Google Scholar]
- Zinola, S.; Leblanc, M.; Raux, S.; Boreave, A.; R’Mili, B.; Cartoixa, B. The Particulate Number Emissions from GDI Engines: Advanced Characterization and Reduction through a Gasoline Particulate Filter with Membrane Technology. Ing. De L’auto 2013, 6, 1–9. [Google Scholar]
- Suarez-Bertoa, R.; Lähde, T.; Pavlovic, J.; Valverde, V.; Clairotte, M.; Giechaskiel, B. Laboratory and On-Road Evaluation of a GPF-Equipped Gasoline Vehicle. Catalysts 2019, 9, 678. [Google Scholar] [CrossRef] [Green Version]
- Pieber, S.M.; Kumar, N.K.; Klein, F.; Comte, P.; Bhattu, D.; Dommen, J.; Bruns, E.A.; Kılıç, D.; El Haddad, I.; Keller, A.; et al. Gas-Phase Composition and Secondary Organic Aerosol Formation from Standard and Particle Filter-Retrofitted Gasoline Direct Injection Vehicles Investigated in a Batch and Flow Reactor. Atmos. Chem. Phys. 2018, 18, 9929–9954. [Google Scholar] [CrossRef] [Green Version]
- Yao, C.; Dou, Z.; Wang, B.; Liu, M.; Lu, H.; Feng, J.; Feng, L. Experimental Study of the Effect of Heavy Aromatics on the Characteristics of Combustion and Ultrafine Particle in DISI Engine. Fuel 2017, 203, 290–297. [Google Scholar] [CrossRef]
- Leach, F.C.P.; Stone, R.; Richardson, D.; Lewis, A.G.J.; Akehurst, S.; Turner, J.W.G.; Shankar, V.; Chahal, J.; Cracknell, R.F.; Aradi, A. The Effect of Fuel Composition on Particulate Emissions from a Highly Boosted GDI Engine—An Evaluation of Three Particulate Indices. Fuel 2019, 252, 598–611. [Google Scholar] [CrossRef]
- Engelmann, D.; Hüssy, A.; Comte, P.; Czerwinski, J.; Bonsack, P. Influences of Special Driving Situations on Emissions of Passenger Cars. Combust. Engines 2021, 184, 41–51. [Google Scholar] [CrossRef]
- Engelmann, D.; Zimmerli, Y.; Czerwinski, J.; Bonsack, P. Real Driving Emissions in Extended Driving Conditions. Energies 2021, 14, 7310. [Google Scholar] [CrossRef]
- Raza, M.; Chen, L.; Leach, F.; Ding, S. A Review of Particulate Number (PN) Emissions from Gasoline Direct Injection (GDI) Engines and Their Control Techniques. Energies 2018, 11, 1417. [Google Scholar] [CrossRef] [Green Version]
- Karavalakis, G.; Durbin, T.D.; Yang, J.; Ventura, L.; Xu, K. Fuel Effects on PM Emissions from Different Vehicle/Engine Configurations: A Literature Review; SAE Technical Paper; SAE: Warrendale, PA, USA, 2018. [Google Scholar] [CrossRef] [Green Version]
- Larsson, T.; Olofsson, U.; Christiansen Erlandsson, A. Undiluted Measurement of the Particle Size Distribution of Different Oxygenated Biofuels in a Gasoline-Optimised DISI Engine. Atmosphere 2021, 12, 1493. [Google Scholar] [CrossRef]
- Karavalakis, G.; Short, D.; Vu, D.; Russell, R.; Hajbabaei, M.; Asa-Awuku, A.; Durbin, T.D. Evaluating the Effects of Aromatics Content in Gasoline on Gaseous and Particulate Matter Emissions from SI-PFI and SIDI Vehicles. Environ. Sci. Technol. 2015, 49, 7021–7031. [Google Scholar] [CrossRef] [Green Version]
- Zhu, R.; Hu, J.; Bao, X.; He, L.; Zu, L. Effects of Aromatics, Olefins and Distillation Temperatures (T50 & T90) on Particle Mass and Number Emissions from Gasoline Direct Injection (GDI) Vehicles. Energy Policy 2017, 101, 185–193. [Google Scholar] [CrossRef]
- Qian, Y.; Wang, J.; Li, Z.; Jiang, C.; He, Z.; Yu, L.; Lu, X. Improvement of Combustion Performance and Emissions in a Gasoline Direct Injection (GDI) Engine by Modulation of Fuel Volatility. Fuel 2020, 268, 117369. [Google Scholar] [CrossRef]
- Ben Amara, A.; Tahtouh, T.; Ubrich, E.; Starck, L.; Moriya, H.; IIda, Y.; Koji, N. Critical Analysis of PM Index and Other Fuel Indices: Impact of Gasoline Fuel Volatility and Chemical Composition; SAE Technical Paper; SAE: Warrendale, PA, USA, 2018. [Google Scholar] [CrossRef]
- Fatouraie, M.; Frommherz, M.; Mosburger, M.; Chapman, E.; Li, S.; McCormick, R.; Fioroni, G. Investigation of the Impact of Fuel Properties on Particulate Number Emission of a Modern Gasoline Direct Injection Engine; SAE Technical Paper; SAE: Warrendale, PA, USA, 2018. [Google Scholar] [CrossRef]
- Zhao, Y.; Li, X.; Hu, S.; Ma, C. Effects of the Particulate Matter Index and Particulate Evaluation Index of the Primary Reference Fuel on Particulate Emissions from Gasoline Direct Injection Vehicles. Atmosphere 2019, 10, 111. [Google Scholar] [CrossRef] [Green Version]
- Chapman, E.; Winston-Galant, M.; Geng, P.; Konzack, A. Global Market Gasoline Range Fuel Review Using Fuel Particulate Emission Correlation Indices; SAE Technical Paper; SAE: Warrendale, PA, USA, 2016. [Google Scholar] [CrossRef]
- Chapman, E.; Geng, P.; Konzack, A. Global Market Gasoline Quality Review: Five Year Trends in Particulate Emission Indices; SAE Technical Paper; SAE: Warrendale, PA, USA, 2021. [Google Scholar] [CrossRef]
- Wittmann, J.-H.; Menger, L. Novel Index for Evaluation of Particle Formation Tendencies of Fuels with Different Chemical Compositions. SAE Int. J. Fuels Lubr. 2017, 10, 690–697. [Google Scholar] [CrossRef]
- Wu, T.; Yao, A.; Feng, J.; Wang, H.; Li, Z.; Liu, M.; Yao, C. A Reduced PM Index for Evaluating the Effect of Fuel Properties on the Particulate Matter Emissions from Gasoline Vehicles. Fuel 2019, 253, 691–702. [Google Scholar] [CrossRef]
- Lahde, T.; Giechaskiel, B.; Martini, G. Development of Measurement Methodology for Sub 23 Nm Particle Number (PN) Measurements. SAE Int. J. Adv. Curr. Prac. Mobil. 2020, 3, 551–560. [Google Scholar] [CrossRef]
- Giechaskiel, B.; Manfredi, U.; Martini, G. Engine Exhaust Solid Sub-23 Nm Particles: I. Literature Survey. SAE Int. J. Fuels Lubr. 2014, 7, 950–964. [Google Scholar] [CrossRef]
- Giechaskiel, B.; Vanhanen, J.; Väkevä, M.; Martini, G. Investigation of Vehicle Exhaust Sub-23 Nm Particle Emissions. Aerosol Sci. Technol. 2017, 51, 626–641. [Google Scholar] [CrossRef] [Green Version]
- Yamada, H.; Inomata, S.; Tanimoto, H. Particle and VOC Emissions from Stoichiometric Gasoline Direct Injection Vehicles and Correlation between Particle Number and Mass Emissions. Emiss. Control. Sci. Technol. 2017, 3, 135–141. [Google Scholar] [CrossRef]
- Hu, Z.; Lu, Z.; Song, B.; Quan, Y. Impact of Test Cycle on Mass, Number and Particle Size Distribution of Particulates Emitted from Gasoline Direct Injection Vehicles. Sci. Total Environ. 2021, 762, 143128. [Google Scholar] [CrossRef] [PubMed]
- Zinola, S.; Leblanc, M.; Rouleau, L.; Dunand, X.; Baltzopoulou, P.; Chasapidis, L.; Deloglou, D.; Melas, A.D.; Konstandopoulos, A.G.; Rüggeberg, T.; et al. Measurement of Sub-23 Nm Particles Emitted by Gasoline Direct Injection Engine with New Advanced Instrumentation; SAE Technical Paper; SAE: Warrendale, PA, USA, 2019. [Google Scholar] [CrossRef] [Green Version]
- Dimopoulos Eggenschwiler, P.; Schreiber, D.; Schröter, K. Characterization of the Emission of Particles Larger than 10 Nm in the Exhaust of Modern Gasoline and CNG Light Duty Vehicles. Fuel 2021, 291, 120074. [Google Scholar] [CrossRef]
- Giechaskiel, B.; Valverde, V.; Kontses, A.; Melas, A.; Martini, G.; Balazs, A.; Andersson, J.; Samaras, Z.; Dilara, P. Particle Number Emissions of a Euro 6d-Temp Gasoline Vehicle under Extreme Temperatures and Driving Conditions. Catalysts 2021, 11, 607. [Google Scholar] [CrossRef]
- Fontaras, G.; Zacharof, N.-G.; Ciuffo, B. Fuel Consumption and CO2 Emissions from Passenger Cars in Europe—Laboratory versus Real-World Emissions. Prog. Energy Combust. Sci. 2017, 60, 97–131. [Google Scholar] [CrossRef]
- Giechaskiel, B.; Komnos, D.; Fontaras, G. Impacts of Extreme Ambient Temperatures and Road Gradient on Energy Consumption and CO2 Emissions of a Euro 6d-Temp Gasoline Vehicle. Energies 2021, 14, 6195. [Google Scholar] [CrossRef]
- Grube, T.; Stolten, D. The Impact of Drive Cycles and Auxiliary Power on Passenger Car Fuel Economy. Energies 2018, 11, 1010. [Google Scholar] [CrossRef] [Green Version]
- Lee, H.; Lee, K. Comparative Evaluation of the Effect of Vehicle Parameters on Fuel Consumption under NEDC and WLTP. Energies 2020, 13, 4245. [Google Scholar] [CrossRef]
- Du, B.; Zhang, L.; Geng, Y.; Zhang, Y.; Xu, H.; Xiang, G. Testing and Evaluation of Cold-Start Emissions in a Real Driving Emissions Test. Transp. Res. Part D Transp. Environ. 2020, 86, 102447. [Google Scholar] [CrossRef]
- Chan, T.W.; Meloche, E.; Kubsh, J.; Brezny, R. Black Carbon Emissions in Gasoline Exhaust and a Reduction Alternative with a Gasoline Particulate Filter. Environ. Sci. Technol. 2014, 48, 6027–6034. [Google Scholar] [CrossRef] [PubMed]
- Steiner, C.; Malashchuk, V.; Kubinski, D.; Hagen, G.; Moos, R. Catalyst State Diagnosis of Three-Way Catalytic Converters Using Different Resonance Parameters—A Microwave Cavity Perturbation Study. Sensors 2019, 19, 3559. [Google Scholar] [CrossRef] [Green Version]
- Suarez-Bertoa, R.; Astorga, C. Impact of Cold Temperature on Euro 6 Passenger Car Emissions. Environ. Pollut. 2018, 234, 318–329. [Google Scholar] [CrossRef] [PubMed]
- Badshah, H.; Kittelson, D.; Northrop, W. Particle Emissions from Light-Duty Vehicles during Cold-Cold Start. SAE Int. J. Engines 2016, 9. [Google Scholar] [CrossRef]
- Chen, L.; Liang, Z.; Zhang, X.; Shuai, S. Characterizing Particulate Matter Emissions from GDI and PFI Vehicles under Transient and Cold Start Conditions. Fuel 2017, 189, 131–140. [Google Scholar] [CrossRef]
- Dorscheidt, F.; Pischinger, S.; Claßen, J.; Sterlepper, S.; Krysmon, S.; Görgen, M.; Nijs, M.; Straszak, P.; Abdelkader, A.M. Development of a Novel Gasoline Particulate Filter Loading Method Using a Burner Bench. Energies 2021, 14, 4914. [Google Scholar] [CrossRef]
- Piock, W.; Hoffmann, G.; Berndorfer, A.; Salemi, P.; Fusshoeller, B. Strategies towards Meeting Future Particulate Matter Emission Requirements in Homogeneous Gasoline Direct Injection Engines. SAE Int. J. Engines 2011, 4, 1455–1468. [Google Scholar] [CrossRef]
- Dorscheidt, F.; Sterlepper, S.; Görgen, M.; Nijs, M.; Claßen, J.; Yadla, S.K.; Maurer, R.; Pischinger, S.; Krysmon, S.; Abdelkader, A. Gasoline Particulate Filter Characterization Focusing on the Filtration Efficiency of Nano-Particulates down to 10 Nm; SAE Technical Paper; SAE: Warrendale, PA, USA, 2020. [Google Scholar] [CrossRef]
- Gao, J.; Tian, G.; Sorniotti, A.; Karci, A.E.; Di Palo, R. Review of Thermal Management of Catalytic Converters to Decrease Engine Emissions during Cold Start and Warm Up. Appl. Therm. Eng. 2019, 147, 177–187. [Google Scholar] [CrossRef]
- Rood, S.; Eslava, S.; Manigrasso, A.; Bannister, C. Recent Advances in Gasoline Three-Way Catalyst Formulation: A Review. Proc. Inst. Mech. Eng. Part D J. Automob. Eng. 2020, 234, 936–949. [Google Scholar] [CrossRef]
- Getsoian, A.B.; Theis, J.R.; Paxton, W.A.; Lance, M.J.; Lambert, C.K. Remarkable Improvement in Low Temperature Performance of Model Three-Way Catalysts through Solution Atomic Layer Deposition. Nat. Catal. 2019, 2, 614–622. [Google Scholar] [CrossRef]
- Saito, C.; Nakatani, T.; Miyairi, Y.; Yuuki, K.; Makino, M.; Kurachi, H.; Heuss, W.; Kuki, T.; Furuta, Y.; Kattouah, P.; et al. New Particulate Filter Concept to Reduce Particle Number Emissions; SAE Technical Paper; SAE: Warrendale, PA, USA, 2011. [Google Scholar] [CrossRef]
- Jang, J.; Lee, J.; Choi, Y.; Park, S. Reduction of Particle Emissions from Gasoline Vehicles with Direct Fuel Injection Systems Using a Gasoline Particulate Filter. Sci. Total Environ. 2018, 644, 1418–1428. [Google Scholar] [CrossRef] [PubMed]
- Yang, J.; Roth, P.; Durbin, T.D.; Johnson, K.C.; Cocker, D.R.; Asa-Awuku, A.; Brezny, R.; Geller, M.; Karavalakis, G. Gasoline Particulate Filters as an Effective Tool to Reduce Particulate and Polycyclic Aromatic Hydrocarbon Emissions from Gasoline Direct Injection (GDI) Vehicles: A Case Study with Two GDI Vehicles. Environ. Sci. Technol. 2018, 52, 3275–3284. [Google Scholar] [CrossRef] [PubMed]
- Muñoz, M.; Haag, R.; Zeyer, K.; Mohn, J.; Comte, P.; Czerwinski, J.; Heeb, N.V. Effects of Four Prototype Gasoline Particle Filters (GPFs) on Nanoparticle and Genotoxic PAH Emissions of a Gasoline Direct Injection (GDI) Vehicle. Environ. Sci. Technol. 2018, 52, 10709–10718. [Google Scholar] [CrossRef] [PubMed]
- Kostenidou, E.; Martinez-Valiente, A.; R’Mili, B.; Marques, B.; Temime-Roussel, B.; Durand, A.; André, M.; Liu, Y.; Louis, C.; Vansevenant, B.; et al. Technical Note: Emission Factors, Chemical Composition, and Morphology of Particles Emitted from Euro 5 Diesel and Gasoline Light-Duty Vehicles during Transient Cycles. Atmos. Chem. Phys. 2021, 21, 4779–4796. [Google Scholar] [CrossRef]
- Achten, C.; Andersson, J.T. Overview of Polycyclic Aromatic Compounds (PAC). Polycycl. Aromat. Compd. 2015, 35, 177–186. [Google Scholar] [CrossRef] [Green Version]
- Kim, J.; Kim, N.; Min, K. Numerical Investigation of Soot Emission in Direct-Injection Spark-Ignition Engines Using a Detailed Soot Model Framework; SAE Technical Paper; SAE: Warrendale, PA, USA, 2016. [Google Scholar] [CrossRef]
- Giechaskiel, B. Differences between Tailpipe and Dilution Tunnel Sub-23 Nm Nonvolatile (Solid) Particle Number Measurements. Aerosol Sci. Technol. 2019, 53, 1012–1022. [Google Scholar] [CrossRef] [Green Version]
- Sun, Y.; Dong, W.; Yu, X. Effects of Coolant Temperature Coupled with Controlling Strategies on Particulate Number Emissions in GDI Engine under Idle Stage. Fuel 2018, 225, 1–9. [Google Scholar] [CrossRef]
- Wihersaari, H.; Pirjola, L.; Karjalainen, P.; Saukko, E.; Kuuluvainen, H.; Kulmala, K.; Keskinen, J.; Rönkkö, T. Particulate Emissions of a Modern Diesel Passenger Car under Laboratory and Real-World Transient Driving Conditions. Environ. Pollut. 2020, 265, 114948. [Google Scholar] [CrossRef]
- Giechaskiel, B. Effect of Sampling Conditions on the Sub-23 Nm Nonvolatile Particle Emissions Measurements of a Moped. Appl. Sci. 2019, 9, 3112. [Google Scholar] [CrossRef] [Green Version]
- Yang, J.; Pham, L.; Johnson, K.C.; Durbin, T.D.; Karavalakis, G.; Kittelson, D.; Jung, H. Impacts of Exhaust Transfer System Contamination on Particulate Matter Measurements. Emiss. Control Sci. Technol. 2020, 6, 163–177. [Google Scholar] [CrossRef] [Green Version]
- Saffaripour, M.; Chan, T.W.; Liu, F.; Thomson, K.A.; Smallwood, G.J.; Kubsh, J.; Brezny, R. Effect of Drive Cycle and Gasoline Particulate Filter on the Size and Morphology of Soot Particles Emitted from a Gasoline-Direct-Injection Vehicle. Environ. Sci. Technol. 2015, 49, 11950–11958. [Google Scholar] [CrossRef] [PubMed]
- Boger, T.; Rose, D.; Nicolin, P.; Gunasekaran, N.; Glasson, T. Oxidation of Soot (Printex® U) in Particulate Filters Operated on Gasoline Engines. Emiss. Control Sci. Technol. 2015, 1, 49–63. [Google Scholar] [CrossRef] [Green Version]
- Giechaskiel, B.; Chirico, R.; DeCarlo, P.F.; Clairotte, M.; Adam, T.; Martini, G.; Heringa, M.F.; Richter, R.; Prevot, A.S.H.; Baltensperger, U. Evaluation of the Particle Measurement Programme (PMP) Protocol to Remove the Vehicles’ Exhaust Aerosol Volatile Phase. Sci. Total Environ. 2010, 408, 5106–5116. [Google Scholar] [CrossRef]
- Giechaskiel, B.; Lähde, T.; Melas, A.D.; Valverde, V.; Clairotte, M. Uncertainty of Laboratory and Portable Solid Particle Number Systems for Regulatory Measurements of Vehicle Emissions. Environ. Res. 2021, 197, 111068. [Google Scholar] [CrossRef] [PubMed]
- Giechaskiel, B.; Melas, A.D.; Lähde, T.; Martini, G. Non-Volatile Particle Number Emission Measurements with Catalytic Strippers: A Review. Vehicles 2020, 2, 342–364. [Google Scholar] [CrossRef]
- Seo, J.; Kim, H.Y.; Park, S.; James, S.C.; Yoon, S.S. Experimental and Numerical Simulations of Spray Impingement and Combustion Characteristics in Gasoline Direct Injection Engines under Variable Driving Conditions. Flow Turbul. Combust 2016, 96, 391–415. [Google Scholar] [CrossRef]
- Giechaskiel, B.; Carriero, M.; Martini, G.; Bergmann, A.; Pongratz, H.; Joergl, H. Comparison of Particle Number Measurements from the Full Dilution Tunnel, the Tailpipe and Two Partial Flow Systems; SAE Technical Paper; SAE: Warrendale, PA, USA, 2010. [Google Scholar] [CrossRef]
- Rose, D.; Boger, T.; Nicolin, P.; Jung, F.; Collins, T.; Ingram-Ogunwumi, R. Aftertreatment Technologies Supporting the Path towards Zero-Impact Emissions. In Proceedings of the 30th Aachen Colloquium Sustainable Mobility, Aachen, Germany, 4–6 October 2021. [Google Scholar]
- Aikawa, K.; Sakurai, T.; Jetter, J.J. Development of a Predictive Model for Gasoline Vehicle Particulate Matter Emissions. SAE Int. J. Fuels Lubr. 2010, 3, 610–622. [Google Scholar] [CrossRef]
- Chan, T.W.; Lax, D.; Gunter, G.C.; Hendren, J.; Kubsh, J.; Brezny, R. Assessment of the Fuel Composition Impact on Black Carbon Mass, Particle Number Size Distributions, Solid Particle Number, Organic Materials, and Regulated Gaseous Emissions from a Light-Duty Gasoline Direct Injection Truck and Passenger Car. Energy Fuels 2017, 31, 10452–10466. [Google Scholar] [CrossRef]








| Configuration | CO2 (g/km) | CO (mg/km) | HC (mg/km) | NMHC (mg/km) | NOx (mg/km) | SPN23 (#/km) |
|---|---|---|---|---|---|---|
| Limit Euro 6 | - | 1000 | 100 | 68 | 60 | 6.0 × 1011 |
| Declared CoC (OEM GPF) | 163 | 550 | 31 | 27 | 53 | 5.2 × 1011 |
| Measured (no GPF) | 156 | 400 | 25 | 22 | 22 | 14.3 × 1011 |
| Measured (advanced GPF) | 169 | 500 | 36 | 33 | 23 | 0.008 × 1011 |
| Conditions Comparison | CO2 | CO | HC | SPN23,ET | SPN10,CS |
|---|---|---|---|---|---|
| Payload 84% vs. 28% (hot at −9 °C and 23 °C) | 1.10 | 1.95 | 1.6 | 1.3 | 1.4 |
| −9 °C and aux vs. −4 °C (hot) | 1.02 | 1.14 | 1.1 | 1.5 | 1.6 |
| −4 °C vs. 23 °C (hot) | 1.02 | 0.82 | 1.1 | 1.9 | 1.8 |
| Cold vs. hot start (23 °C) | 1.04 | 0.84 | 8.1 | 3.0 | 12.8 |
| Cold vs. hot start (−9 °C) | 1.19 | 1.79 | 25.7 | 23.0 | 307.4 |
| Cycle Code | Mass [kg] | Slope | −9 °C | −4 °C 1 | 23 °C | D [km] | vm [km/h] | 95th v × a | Limit |
|---|---|---|---|---|---|---|---|---|---|
| US06 cold | 1850 | No | Aux on (H) | Aux off (L) | Aux off (H) | 12.9 | 77.8 | 27.1 | 24.7 |
| US06 hot | 1850 | No | Aux on (H) | - | Aux off (H) | 12.9 | 77.8 | 27.1 | 24.7 |
| US06 hot (L) | 1550 | No | Aux on (L) | Aux off (L) | Aux off (L) | 12.9 | 77.8 | 27.1 | 24.7 |
| WLTC (L) | 1550 | No | - | Aux off (L) | Aux off (L) | 23.2 | 46.5 | 12.6 | 20.8 |
| 0-65 km/h (×3) | 1850 | No | Aux on (H) | Aux off (L) | Aux off (H) | 1.0 | 33.0 | 34.2 | 18.9 |
| 0-145 km/h (×3) | 1850 | No | Aux on (H) | Aux off (L) | Aux off (H) | 4.9 | 81.3 | 36.0 | 25.0 |
| Urban cold dyn | 1850 | Yes | Aux on (H) | - | - | 18.1 | 29.2 | 23.9 | 18.4 |
| Rural dyn | 1850 | Yes | Aux on (H) | - | - | 14.2 | 72.2 | 27.1 | 24.3 |
| Motorway dyn | 1850 | Yes | Aux on (H) | - | - | 16.4 | 100.9 | 31.3 | 26.5 |
Publisher’s Note: MDPI stays neutral with regard to jurisdictional claims in published maps and institutional affiliations. |
© 2022 by the authors. Licensee MDPI, Basel, Switzerland. This article is an open access article distributed under the terms and conditions of the Creative Commons Attribution (CC BY) license (https://creativecommons.org/licenses/by/4.0/).
Share and Cite
Giechaskiel, B.; Melas, A.; Valverde, V.; Otura, M.; Martini, G. Challenging Conditions for Gasoline Particulate Filters (GPFs). Catalysts 2022, 12, 70. https://doi.org/10.3390/catal12010070
Giechaskiel B, Melas A, Valverde V, Otura M, Martini G. Challenging Conditions for Gasoline Particulate Filters (GPFs). Catalysts. 2022; 12(1):70. https://doi.org/10.3390/catal12010070
Chicago/Turabian StyleGiechaskiel, Barouch, Anastasios Melas, Victor Valverde, Marcos Otura, and Giorgio Martini. 2022. "Challenging Conditions for Gasoline Particulate Filters (GPFs)" Catalysts 12, no. 1: 70. https://doi.org/10.3390/catal12010070
APA StyleGiechaskiel, B., Melas, A., Valverde, V., Otura, M., & Martini, G. (2022). Challenging Conditions for Gasoline Particulate Filters (GPFs). Catalysts, 12(1), 70. https://doi.org/10.3390/catal12010070

