Next Article in Journal
Biocatalytic Silylation: The Condensation of Phenols and Alcohols with Triethylsilanol
Next Article in Special Issue
Challenging Conditions for Gasoline Particulate Filters (GPFs)
Previous Article in Journal
Environmentally Friendly Nafion-Catalyzed Synthesis of Substituted 2-Ethyl-3-Methylquinolines from Aniline and Propionaldehyde under Microwave Irradiation
 
 
Font Type:
Arial Georgia Verdana
Font Size:
Aa Aa Aa
Line Spacing:
Column Width:
Background:
Article

Impact of Primary and Secondary ZDDP and Ionic Liquid as Lubricant Oil Additives on the Performance and Physicochemical Properties of Pd-Based Three-Way Catalysts

1
Department of Mechanical, Aerospace, and Biomedical Engineering, University of Tennessee, Knoxville, TN 37996, USA
2
Oak Ridge National Laboratories, Oak Ridge, TN 37831, USA
*
Author to whom correspondence should be addressed.
Catalysts 2021, 11(8), 878; https://doi.org/10.3390/catal11080878
Submission received: 6 June 2021 / Revised: 17 July 2021 / Accepted: 19 July 2021 / Published: 21 July 2021
(This article belongs to the Special Issue Emission Control Catalysis)

Abstract

:
In the present study, two industry primary and secondary zinc dialkyldithiophosphate standards, ZDDP1 and ZDDP2, respectively, are evaluated for their impact on the performance of Pd-based three-way catalyst and bench-marked against two mixed lubricant additives formed from either ZDDP1 or ZDDP2 with a second-generation oil-miscible phosphoric-containing ionic liquid (IL). The three-way catalysts (TWCs) are exposed to the lubricant additives in an engine bench under four different scenarios: a base case with no additive (NA), ZDDP1, IL+ZDDP1, ZDDP2, and IL+ZDDP2. The engine-aged TWC samples are characterized through a variety of analytical techniques, including evaluation of catalyst reactivity in a bench-flow reactor. With respect to the water–gas shift reaction and the oxygen storage capacity, the ZDDP2- and IL+ZDDP2-aged TWC samples are more degraded than the ZDDP1- and IL+ZDDP1-aged TWC samples. X-ray diffraction (XRD) patterns indicate that phosphorus in the form of CePO4 was found to be present in the washcoat of all TWC samples, with the highest amount found in the ZDDP2-aged TWC sample. The results obtained from XRD are further confirmed by those from inductively coupled plasma-optical emission spectroscopy (ICP-OES), which show that more phosphorus is detected in the washcoat of ZDDP2- and IL+ZDDP2-aged TWC samples than in the ZDDP1- and IL+ZDDP1-aged TWC samples.

1. Introduction

Zinc dialkyldithiophosphate (ZDDP) has long been widely used as a lubricant additive because of its high anti-friction and anti-wear effects in engines. ZDDP is classified either as primary or secondary, depending on the type of alcohol used in the manufacturing process [1]. Usually, the more reactive secondary alkyl ZDDP is used for gasoline engines, while primary alkyl ZDDP with high thermal stability is used for diesel engines [1,2]. The main components of ZDDP, such as zinc (Zn), phosphorous (P), and sulfur (S), have been shown to form ash during engine combustion, causing significant deactivation of the three-way catalysts (TWCs). At low exhaust temperatures, Zn2P2O7 was formed directly on the washcoat surface, causing site deactivation of the TWCs [3,4]. Additionally, the formation of cerium orthophosphate, CePO4, has been identified within the catalyst washcoat [5,6,7,8,9,10]. The formation of CePO4 interferes with the Ce+4 ↔ Ce+3 redox behavior, resulting in oxygen storage inhibition of the TWCs. Consequently, the presence of compounds contained in ZDDPs is one of the main causes of catalyst poisoning, which contaminates the active sites, which increases the hydrocarbons (HCs) and carbon monoxide (CO) light-off temperature, and eventually shortens the catalyst’s life [4,5,6]. Furthermore, a recently implemented regulation from the U.S Environmental Protection Agency (EPA) proposed in March 2013, Tier 3, has increased the after-treatment device life from 120,000 to 150,000 miles, and is more stringent in setting new vehicle emissions standards. Therefore, in order to meet stringent regulations regarding emissions and catalyst life, it is very important to develop lubricant additives that perform similarly or better than conventional lubricant additives on engines, but with less impact on the catalyst.
In recent years, significant efforts have been expended to develop new novel lubricant additives that are ashless in addition to improving performance in reducing friction and wear. Recently, fully oil-miscible (>50 wt% solubility in GTL oil) alkylphosphonium-organophosphate ionic liquids (ILs) have been developed, and these ILs have been found to effectively decrease friction and wear when mixed with conventional ZDDP [11,12,13,14,15,16,17]. Qu et al. [18] found that the friction coefficient and the wear volume of a base oil containing the combination of an IL, either [P8888][DEHP] or [P66614][DEHP], and a conventional ZDDP are reduced by 30% and 70%, respectively, compared to those of a base oil containing only ZDDP. However, in order to be a viable candidate as lubricant additives for engine applications, it is important that this mix of IL and ZDDP additives be compatible with automotive emissions control. In a recent study, Xie et al. [10] investigated the impact of the particular IL, [P66614][DEHP], on the performance of TWCs against the conventional ZDDP. They found that the predominant presence of CePO4 and Zn2PO7 was detected for the ZDDP-aged TWC, and as a result ZDDP has more adverse effects than IL on the performance of TWC such as CO/NOx/C3H6 conversion, water–gas shift (WGS) reactivity, and oxygen storage capacity (OSC). Therefore, they claimed that the impact of [P66614][DEHP] on the performance of TWC is no worse than the conventional industry-standard ZDDP. In a more recent study by Kim et al. [19], the impact of a new IL formulation, [P8888][DEHP], industry-standard ZDDP2, and mixed additive of [P8888][DEHP] and ZDDP2 (IL+ZDDP2) on the performance of the Pd-based TWC is investigated. They observed that in addition to thermal aging IL, ZDDP2, and IL+ZDDP2 additives have an additional impact on the TWC performance; and the impact of mixed additive of IL+ZDDP2 on the performance of TWC is comparable to the conventional ZDDP2. Based on their results, they concluded that this mixed additive (IL+ZDDP2) can be a viable candidate as an anti-wear additive for vehicle applicants, reducing friction and wear.
Since the amounts of S, Zn, and P contained and the volatility of P are different between primary and secondary ZDDP, their impact on the performance of the TWC is found to be different [2,20,21]. However, the effects of mixing each ZDDP with the new IL formulation ([P8888][DEHP]) on the TWC have not yet been investigated. Therefore, in this study, the effects of IL mixed lubricant additives containing primary ZDDP and secondary ZDDP such as primary ZDDP+IL and secondary ZDDP+IL on TWC are investigated and compared with each ZDDP using the approach adopted by Kim et al. [19]. The impact of lubricant additives on the performance of the TWCs is investigated by comparing the temperature of 50% conversion (T50) and 90% conversion (T90) for NO, CO, C3H6, and C3H8, water–gas shift (WGS) reactivity, and oxygen storage capacity (OSC). In addition, the results obtained from surface characterization studies such as electron probe microanalysis (EPMA), powder X-ray diffraction (XRD), N2 physisorption, and inductively coupled plasma-optical emission spectroscopy (ICP-OES) are used to elucidate the deactivation mechanisms and morphological changes in the accelerated engine-aged TWCs.

2. Results

2.1. Catalyst Performance

The O2 sweep experiment is carried out to determine the concentration of O2 at the stoichiometric condition based on a sudden increase in NO concentration between stoichiometric and fuel-lean conditions. Figure 1 shows the effect of O2 concentration on the concentration of NO for NA-, ZDDP1-, ZDDP2-, IL+ZDDP1-, and IL+ZDDP2-aged TWC samples at the inlet gas temperature of 500 °C. As seen in the figure, the NO concentration for all TWC samples begins to increase rapidly at an O2 concentration of 0.73%, and thus this concentration of O2 is taken to be the experimentally determined concentration at the stoichiometric condition for all subsequent evaluations.
The temperature sweep experiment is conducted to determine T50 and T90 of all engine-aged TWC samples at inlet gas temperatures between 100 and 640 °C using the O2 concentration of 0.73% O2 obtained previously. The light-off curves of NO, CO, C3H6, and C3H8 for NA-, ZDDP1-, ZDDP2-, IL+ZDDP1-, and IL+ZDDP2-aged TWC samples are shown in Figure 2a–d, respectively. In addition, the formation of NH3 and N2O for all engine-aged TWC samples is shown in Figure 2e–f, respectively. As seen in Figure 2b–d, at a given conversion, the conversion of CO, C3H6, and C3H8 for all TWC samples exposed to lubricant additives, i.e., ZDDP1, ZDDP2, IL+ZDDP1, and IL+ZDDP2, always occurs at a slightly higher temperature as compared to the NA-aged TWC sample, indicating a higher T50 and T90 (see Figure 3a,b). Such results unequivocally indicate the additional impact of lubricant additives (poisoning) on the performance of TWC in addition to thermal aging. Figure 2e shows that the ZDDP2- and IL+ZDDP2-aged TWC samples produce more NH3 compared to NA-, ZDDP1-and IL+ZDDP1-aged TWC samples at inlet gas temperatures between 150 and 280 °C, during which the conversion of NO for ZDDP2- and IL+ZDDP2-aged TWC samples is better than for NA-, ZDDP1-, and IL+ZDDP1-aged TWC samples (Figure 2a). This results in a higher T50 for NO for NA-, ZDDP1-, and IL+ZDDP1-aged TWC samples, as seen in Figure 3a. Because there is a lack of NO reductants such as H2, CO, and C3H6 in the temperature range between 270 and 320 °C, the conversion of NO decreases, resulting in an increase in T90 for NO for all engine-aged TWC samples. Due to the complexity of the NO light-off curves, it is difficult to characterize the effects of lubricant additives on TWC performance using T50 and T90 of NO. However, based on the light-off curves of CO and C3H6 (Figure 2b,c), ZDDP2- and IL+ZDDP2-aged TWC samples appear to experience more performance degradation of TWC than ZDDP1- and IL+ZDDP1-aged TWC samples. As mentioned before, this can be attributed to higher P, Zn, and S contents in ZDDP2 than those in ZDDP1.
Figure 3a,b show the temperature of 50% (T50) and 90% (T90) conversion of NO, CO, C3H6, and C3H8 for NA-, ZDDP1-, ZDDP2-, IL+ZDDP1-, and IL+ZDDP2- samples obtained from the light-off curves given in Figure 2. As mentioned before, the T50 of NO for ZDDP2- and IL+ZDDP2-aged TWC samples is lower than ZDDP1-, and IL+ZDDP1-aged TWC samples, which can be attributed to the higher formation of NH3 at temperatures between 150 and 280 °C (see Figure 2a,e). Except for the T50 of NO, all TWC samples exposed to lubricant additives have higher T50 and T90 for CO, C3H6, and C3H8 than the NA-aged TWC sample, indicating further degradation of the TWC performance due to lubricant additives poisoning in addition to thermal aging. The reduction in CO and THC conversion of TWCs due to phosphorus-containing lubricant additives has also been found in previous studies [4,5,6,7,10,22]. With the exception of C3H8, it is not surprising that T50 and T90 of CO and C3H6 for ZDDP2- and IL+ZDDP2-aged TWC samples are higher than for ZDDP1- and IL+ZDDP1-aged TWC samples, since the ZDDP2 lubricant additive contains more P, S, and Zn by weight than ZDDP1. Thus, in general, the higher the amount of P, Zn, and S in the lubricant additive, the larger the impact on the TWC performance.
One of the major objectives of the present study is to compare the impact on the performance of the TWC by either a single ZDDP lubricant additive or a mixed lubricant additive containing both ZDDP and IL (IL+ZDDP). One way to determine the impact is to compare the T50 and T90 obtained from a single ZDDP lubricant additive and a mixed additive of IL and ZDDP, i.e., ZDDP1 vs. IL+ZDDP1 and ZDDP2 vs. IL+ZDDP2. As shown in Figure 3, the T50 for the ZDDP1-aged TWC sample increases by 15, 10, 16, and 26 °C for NO, CO, C3H6, and C3H8, respectively, as compared with the NA-aged TWC sample. Moreover, the T50 for the IL+ZDDP1-aged TWC sample increases by a similar amount to the ZDDP1-aged TWC sample. For the ZDDP2-aged TWC sample, the T50 for CO, C3H6, and C3H8 increases by 17, 28, and 31 °C, respectively, but decreases by 20 °C for NO compared with the NA-aged TWC sample. As in the case of ZDDP1 and IL+ZDDP1, the T50 for NO, CO, C3H6, and C3H8 for the IL+ZDDP2-aged TWC sample is similar to that for the ZDDP2-aged TWC sample. A similar trend is observed for the T90 for these samples. Based on these results, it is apparent that the impact of the mixed lubricant additives, either IL+ZDDP1 or IL+ZDDP2, on the TWC performance is similar to that of the ZDDP constituent rather than the IL. As will be shown later, the results obtained from surface characterization studies such as electron probe microanalysis (EPMA), powder X-ray diffraction (XRD), N2 physisorption, and inductively coupled plasma-optical emission spectroscopy (ICP-OES) can be used to explain the effects of the lubricant additives on the T50 and T90 of NO, CO, C3H6, and C3H8 of accelerated engine-aged TWCs.
The oxygen storage capacity (OSC) experiment is also performed to investigate the effect of lubricant additives on CeO2, the oxygen storage material, in a temperature range between 300 and 550 °C at 50 °C increments. Figure 4 shows the OSC for NA-, ZDDP1-, ZDDP2-, IL+ZDDP1-, and IL+ZDDP2-aged TWC samples. The OSC performance of the ZDDP2- and IL+ZDDP2-aged TWC samples is more degraded than that of ZDDP1- and IL+ZDDP1-aged TWC samples due to the higher content of P, Zn, and S in ZDDP2 than ZDDP1. On the other hand, the OSC performance of the ZDDP1-aged TWC sample is comparable to the NA-aged TWC sample at all temperatures investigated in the present study. This result is the most surprising, despite the fact that the ZDDP1-aged TWC sample was exposed to more P, Zn, and S poisoning than the NA-aged TWC sample during the accelerated engine aging. The reasons for such similarity in the OSC performance of ZDDP1 and NA-aged TWC samples can be explained by the results of surface characterization studies such as XRD, EPMA, BET, and ICP-OES. As in the case of T50 and T90, the OSC performance of the mixed lubricant additives (IL+ZDDP1 and IL+ZDDP2) is similar to that of the single ZDDP lubricant additives (ZDDP1 and ZDDP2).
The water–gas shift (WGS) reaction, which is one of the important reactions in TWCs under fuel-rich condition, is performed to investigate the impact of lubricant additives on the performance of TWC at inlet gas temperatures between 200 and 550 °C at a 50 °C increment. The concentration of CO2 produced from the WGS reaction as a function of temperature for NA-, ZDDP1-, ZDDP2-, IL+ZDDP1-, and IL+ZDDP2-aged TWC samples is shown in Figure 5. The WGS reaction results indicate that the reduction in the WGS reaction for all TWC samples exposed to lubricant additives, i.e., ZDDP1, ZDDP2, IL+ZDDP1, and IL+ZDDP2, is greater than the NA-aged TWC sample, indicating that in addition to thermal aging, P, S, and Zn poisoning from lubricant additives is also significant. As expected, the WGS reaction for the ZDDP2- and IL+ZDDP2-aged TWC samples is significantly more degraded than that for ZDDP1- and IL+ZDDP1-aged TWC samples at all temperatures investigated in the present study. Again, the main difference between ZDDP1 and ZDDP2 lubricant additives is that the ZDDP2 additive not only contains more P, S, and Zn, but also has different P volatility [21,22]. According to a previous study by Wang et al. [21], secondary ZDDP exhibited higher P retention (~96%) than mixed primary and secondary ZDDPs (~88%) because of different P volatility. Thus, it can be inferred from Wang’s study that during the accelerated engine aging, more P is retained on the TWC due to the higher P volatility of ZDDP1 lubricant additive than the lower-P volatility ZDDP2 lubricant; this inference is later confirmed in ICP-OES results from the present study. As in the case of OSC performance, the impact on the WGS reaction of the TWC of the mixed lubricant additives is similar to that of single ZDDP lubricant additives.

2.2. Catalyst Characterization

To investigate the effect of lubricant additives on TWC, the N2 physisorption is performed on washcoat powder of all engine-aged TWC samples, from which the Brunauer–Emmett–Teller (BET) surface area, pore-volume, and pore size distribution are obtained. Figure 6 shows the BET surface area in m2/g of NA-, ZDDP1-, ZDDP2-, IL+ZDDP1-, and IL+ZDDP2-aged TWC samples. In the previous study [19], the BET surface area of the NA-aged TWC sample is reduced by about 16% compared with the fresh TWC sample, mainly due to thermal aging. All TWC samples exposed to lubricant additives (ZDDP1, ZDDP2, IL+ZDDP1, and IL+ZDDP2) have a lower BET surface area than the NA-aged TWC sample, with the IL+ZDDP2-aged TWC sample having the smallest surface area of 71.6 m2/g. The BET surface area of the IL+ZDDP2-aged TWC sample is approximately 11.4% lower than that of the ZDDP2-aged TWC sample. This is possibly due to the presence of more cordierite in that sample, which has a much lower BET surface area than that of γ-Al2O3 washcoat (100~200 m2/g). On the other hand, the BET surface area of the ZDDP1- and IL+ZDDP1-aged TWC samples is similar to (77.54 vs. 77.74 m2/g), but still 7% lower than the NA-aged sample. Even though the effect of loss of the BET surface due to the poisoning of the lubricant additives alone is not significant, varying between 3 and 11.4%, this loss would result in a lower dispersion of the Pd particles, which in turn affects the reactivity of the reactions occurring on the Pd active sites. Thus, the performance of TWC exposed to lubricant additives would be adversely impacted, as seen in the BFR experiment results.
The Barrett, Joyner, and Halenda (BJH) pore volumes and pore sizes of NA-, ZDDP1-, ZDDP2-, IL+ZDDP1-, and IL+ZDDP2-aged TWC samples are shown in Figure 7a,b, respectively. With regard to the pore volume shown in Figure 7a, the pore volume of all the TWC samples exposed to the lubricant additives is reduced compared with the NA-aged TWC sample. The ZDDP2- and IL+ZDDP2-aged TWC samples have the highest pore volume reduction of 20%, while ZDDP1- and IL+ZDDP1-aged TWC samples experience a lower reduction in pore volume (6.5%). In contrast to the pore volume, the pore size of all engine-aged TWC samples is relatively similar, as shown in Figure 7b. Such results indicate that P compounds accumulate in the pores without blocking the pores, thereby decreasing the pore volume but not leading to a decrease in pore size. This is in agreement with the results obtained by Väliheikki et al. [23], who investigated the effects of P on Pt/Pd-based diesel oxidation catalysts (DOCs) consisting of a γ-Al2O3 support with Ce-Zr mixed oxides.
The weight percentage of P and Zn in the washcoat of the TWC samples is determined using ICP-OES analysis and is given in Figure 8a,b for NA-, ZDDP1-, ZDDP2-, IL+ZDDP1-, and IL+ZDDP2-aged TWC samples. As seen in Figure 8a, the presence of P of 0.3% by weight detected in the NA-aged TWC sample is solely due to the P originally from the ZDDP additive in the Genset engine lubricant, since no lubricant additives are added to the fuel for the accelerated thermal aging. Although the amount of lubricant additives added to the fuel is calculated based on the same amount of P exposed to the catalyst during accelerated engine aging, the amount of P detected in ZDDP2- and IL+ZDDP2-aged TWC samples is at least double the amount of P found in the ZDDP1- and IL+ZDDP1-aged TWC samples (see Figure 8a). Interestingly, the amount of P detected either in ZDDP- and IL+ZDDP-aged TWC samples, i.e., ZDDP1 vs. IL+ZDDP1 and ZDDP2 vs. IL+ZDDP2, are similar. It is apparent that the amount of P accumulated on the TWC is more affected by the type of ZDDP than IL, due to the difference in the phosphorus volatility of ZDDP1 and ZDDP2 [20,21]. As explained earlier, because the P volatility of the ZDDP2 lubricant additive is lower than that of the ZDDP1 lubricant, more P is retained in the TWC, which is confirmed in the ICP results. On the other hand, as seen in Figure 8b, more Zn is detected in the ZDDP1- and IL+ZDDP1-aged TWC samples than the ZDDP2- and IL+ZDDP2-aged TWC samples. The variation in the amount of Zn detected in the TWC samples exposed to the lubricant additives is mainly due to the detection limit of the ICP instrument and should not be interpreted as an indication of strong differences across the samples. Regardless of the resolution of the instrument, the results from the ICP clearly indicate a low-level presence of Zn in these samples.
Figure 9a shows EPMA elemental maps of Zn for NA-, ZDDP1-, ZDDP2-, IL+ZDDP1-, and IL+ZDDP2-aged TWC samples. As seen in Figure 9a, a thin Zn layer is observed on the surface for ZDDP1- and ZDDP2-aged TWC samples, whereas only a trace amount of Zn is found on the washcoat surface of the IL+ZDDP1- and IL+ZDDP2-aged TWC samples. Since IL lubricant additive does not contain Zn, the concentration of Zn in the mixed additives of IL and ZDDP (IL+ZDDP1 and IL+ZDDP2) is lower than that in the ZDDP-only lubricant additive (ZDDP1 and ZDDP2), thus reducing the amount of Zn exposed. In addition, the Zn concentration in ZDDP2 is higher than that in ZDDP1, and more importantly, the ZDDP2-aged TWC sample shows a more contiguous Zn layer on the washcoat surface than the ZDDP1-aged TWC sample, where the layer is more incongruous. Furthermore, no evidence of penetration of Zn deep inside the washcoat is observed for all accelerated engine-aged TWC samples. On the other hand, the presence of Zn in the mixed IL and additives is much lower, and especially for IL+ZDDP1, it is barely visible. The results obtained from EPMA micrographs for Zn are in contrast to those obtained from ICP-OES analysis, in which the amount of Zn found in ZDDP1- and IL+ZDDP1-aged TWC samples is higher than in ZDDP2- and IL+ZDDP2-aged TWC samples. The discrepancy between the two results, as explained previously, is due to the limit of Zn detection of less than 0.08 wt% of the ICP-OES instrument.
Figure 9b shows EPMA micrographs of P in the washcoat of NA-, ZDDP1-, ZDDP2-, IL+ZDDP1- and IL+ZDDP2-aged TWC samples. With the exception of the IL+ZDDP1-aged TWC sample, the TWCs exposed to the lubricant additives (ZDDP1, ZDDP2, and IL+ZDDP2) show a much higher level of P than the NA-aged TWC. The EPMA micrographs of P for TWCs exposed to ZDDP1 and ZDDP2 lubricant additives show an overlayer of P on the washcoat surface and the penetration of P deep inside the washcoat is much more significant than Zn. The P overlayer for the ZDDP2-aged TWC sample is more contiguous and contains more P, as reflected by the red color code, than the P overlayer of the ZDDP1-aged TWC sample. On the other hand, as in the case of P EPMA micrographs, the presence of P in the overlayer for the mixed IL and ZDDP additives is much lower, and in particular the IL+ZDDP1-aged TWC sample is indiscernible and similar to that of the NA-aged TWC sample. The results obtained from EPMA are in contrast to the ICP-OES results, in which the concentration of P is highest (1.74 wt%) in the IL+ZDDP2-aged TWC sample and similar in ZDDP1 and IL+ZDDP1-aged TWC samples (≈0.74 wt%). Regardless, the EMPA results clearly show that the presence of P on the catalyst surface and the penetration of P deep into the washcoat are the most dominant deactivation mechanisms that likely cause the reduction in TWC performance.
The XRD patterns of the NA-, ZDDP1, ZDDP2-, IL+ZDDP1- and IL+ZDDP2-aged TWC samples are presented in Figure 10. The peaks denoted by (▼), (♠), (◆), and (●) are assigned to Ce1-xZrxO2, BaSO4, Pd, and PdO, respectively. For the NA-aged TWC sample, due to interferences from the peaks of cordierite, much smaller CePO4 peaks are detected at 2θ = 21.7, 26.4, and 28.5°. Despite considerable effort, it is still impossible to completely remove the cordierite substrate from the washcoat, and thus all TWC samples did contain a small amount of cordierite. The peaks for cordierite are denoted by (○). The intensity of CePO4 peaks (♠) at 2θ = 21.7 and 28.5° for the ZDDP2-aged TWC sample is stronger than that for the ZDDP1-, IL+ZDDP1-, and IL+ZDDP2-aged TWC samples. The results of EPMA show that the ZDDP2-aged TWC sample has the highest P on the washcoat, which is similar to the result of the XRD patterns. Peaks for AlPO4 are not observed in the XRD patterns for all TWC samples in the present study. According to previous studies [10,22], the AlPO4 peaks were only detected by nuclear magnetic resonance (NMR), but not by XRD due to the amorphous nature of AlPO4, which is in agreement with the XRD results of this study. Furthermore, to minimize contamination from cordierite, only the washcoat is used for XRD analysis, thus no peaks for AlPO4 may be discernible in the XRD patterns. Although Zn is a major component of ZDDP1 and ZDDP2 lubricant additives, no peaks associated with Zn, such as Zn2P2O4, are observed in the XRD patterns of all TWC samples exposed to lubricant additives in the present study, which is in contrast to previous studies in which Zn2P2O4 was observed [3,10]. The intensity of the Pd peak at 2θ = 39.6° for TWC samples exposed to lubricant additives appears to be stronger than that for the NA-aged TWC sample, indicating the additional impact of additives on the sintering of Pd particles, which is in agreement with the XRD results obtained by Xie et al. [10].

3. Experimental Apparatus and Procedure

3.1. Anti-Wear Additives

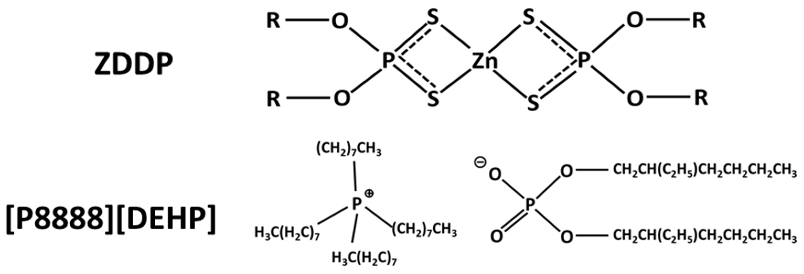
In the present study, in addition to two formulations of conventional industry-standard ZDDP, a particular oil-miscible (>50 wt% solubility in GTL oil) ionic liquid (IL), tetraoctylphosphonium bis (2-ethylhexyl) phosphate ([P8888][DEHP]) was used to investigate the impact of lubricant additives on the performance of TWCs. The synthesis of the IL had been reported in the previous study by Barnhill et al. [11]. The two formulations of ZDDP, a commercial product supplied by an industrial vendor (Lubrizol, Wickliffe, OH, USA), were labeled as primary and secondary ZDDP and denoted as ZDDP1 and ZDDP2, respectively. The molecular structure of ZDDP and IL ([P8888][DEHP]) is shown in Figure 11. The chemical formulation of ZDDP is generally optimized according to engine types. In Figure 11, R represents an alkyl or aryl group, and the alkyl group can be either primary, secondary or tertiary alkyl group [1,2]. Typically, the more reactive secondary alkyl ZDDP is used for gasoline engines, and primary alkyl ZDDP with high thermal stability is used for diesel engines [1,2]. In a previous study, lubricant oil containing secondary ZDDP (ZDDP2) exhibited higher phosphorus retention (~96%) than lubricant oil containing the mixed primary (ZDDP1) and secondary ZDDPs (~88%) because of different P volatility [21]. In this study, the P content of ZDDP1, ZDDP2, and IL was 7, 10, and 7.7%, respectively.

3.2. TWCs

The TWCs used for accelerated aging in the present study were obtained from a 2009 MY Jeep Liberty V6 (Chrysler, Auburn Hills, MI, USA) from a local dealership. This Pd-based TWC consists of a γ-Al2O3 washcoat (high surface area and relatively good thermal stability) in addition to CeO2 (oxygen storage material), and promoters such as barium oxide (BaO), zirconium dioxide (ZrO2), etc. for improving the performance of the catalyst. The front section has a high precious metal content with a total platinum group metals (PGMs) loading of 0.6% and a Pd: Rh ratio of 8:1 and a cell density of 600 cpsi.

3.3. Engine Bench

A Westerbeke 3.5 SBCG single-phase 60 Hz marine gasoline generator (Westerbeke, Taunton, MA, USA), called Genset, was used for exposing the TWC to lubricant additives. The lubricant additives (ZDDP1, ZDDP2, IL+ZDDP1, and IL+ZDDP2) blended into the gas to liquids (GTL) base oil were dissolved into the gasoline (E10) in the fuel tank and introduced into the combustion chamber through a fuel injector during engine operation. The exhaust gases containing the lubricant additive were emitted into the atmosphere through the TWC. A baseline no-additive (NA) TWC sample in which the thermal aging was the predominant deactivation mechanism was obtained by performing accelerated aging without mixing lubricant additives in the fuel tank. From the full-sized TWC of 105 mm in diameter and 85 mm in length, three cored samples with a diameter of 42 mm and a length of 85 mm were obtained and subjected to accelerated aging on the Genset. The cored catalyst sample mounted in a steel can of 45 mm diameter and 180 mm in length was wrapped in 3M™ Interam™ Mat Mount 1600HT insulation to prevent gas bypass and minimize heat loss to the ambient environment. As the exhaust gases flowed through the TWC, the components in the lubricant additives such as P, S, and Zn were exposed to the catalyst at high temperatures, causing the degradation in performance. The catalyst temperature can be manipulated by adjusting the amount of O2 injected upstream of the lambda sensor during the accelerated aging of the TWC. The manipulation of the catalyst temperature has been described in detail in a previous study [19]. In the present study, the amount of oil consumption for the full useful-life of the TWC of 150,000 miles was estimated to be between 15 and 90 mg/km for typical gasoline vehicles based on a study by West et al. [24]. In the present investigation, exposure of the lubricant additives to the TWC was based on the worst-case scenario, assuming that the total amount of additives mixed with fuel has an oil consumption rate of 90 mg/km. The amount of estimated exposure ZDDP2, based on the maximum consumption of lubricant additives of 90 mg/km, was calculated as 32 g, assuming 1% additive in the lubricant oil. In order to expose the TWC to the same amount of P with the ZDDP2 accelerated-aging scenario, different amounts of additives were mixed with the gasoline (E10). For the accelerated-aging scenarios, approximately 45.7 g of ZDDP1, 20 g of IL plus 22.9 g of ZDDP1 for IL+ZDDP1, and 20 g of IL plus 16 g of ZDDP2 for IL+ZDDP2 were blended with 9.6 gallons of gasoline. To achieve the required maximum exposure of lubricant additives to the TWC, the Genset was operated for approximately 24 h with a catalyst midbed temperature at 700 °C.

3.4. Bench-Flow Reactor (BFR) System and TWC Evaluation Protocols

The schematic of BFR is shown in Figure 12. As the BFR has been described in detail elsewhere [10,19], only a brief discussion is given here. The individual gases of the simulated exhaust gases were introduced into the BFR system using mass flow controllers (MFCs) with a composition similar to that of the exhaust gases from a stoichiometric gasoline direct injection (S-GDI) engine. A peristaltic water pump was used to inject de-ionized water into a steam generator consisting of a quartz tube enclosed in a Lindberg Minimite tubular furnace. For BFR evaluation, the TWC samples of 22.0 mm in diameter and 25.3 mm long were cored from the center of the front section of accelerated engine-aged TWC samples where the contamination from the lube-oil additives was the most severe. The cored samples had approximately 290 cells. A quartz tube TWC reactor of 25.0 mm outer diameter and 46.0 cm long, as seen in Figure 13, was placed inside the Lindberg Mini-mite furnace to control the simulated inlet gas temperature. To ensure good gas mixing and uniform heating before entering the catalyst, the quartz tube TWC reactor was filled with quartz beads of 5 mm in diameter in the upstream section of the reactor. The cored TWC sample wrapped in ULTRA-TEMPTM 390 (Cotronics Corp., Brooklyn, NY, USA) ceramic tape was placed in the downstream section of the quartz tube reactor, which was outside the heating zone of the furnace. Three Omega Type-K thermocouples (Omega Engineering., Norwalk, CT, USA) were used to measure the simulated exhaust gas temperature at the inlet and exit of the reactor in addition to the middle of catalyst (midbed) temperature. The inlet and exit concentrations of NO, CO, C3H6, C3H8, CO2, NH3, and N2O were measured with a MIDAC Fourier transform infrared spectroscopy (FTIR) analyzer (MIDAC, Westfield, MA, USA).
In the present study, two different types of HCs were used in the simulated exhaust gases, propylene (C3H6) and propane (C3H8), to represent high and less reactive HC, respectively. The volumetric flow rate of constituent gaseous species of the simulated exhaust gases was determined based on a gas hourly space velocity (GHSV) of 60,000 h−1 according to the protocols proposed by cross-cut lean exhaust emission reduction simulations (CLEERS) for gasoline engines [25]. The desulfation process was carried out on the BFR prior to the performance evaluation of all accelerated engine-aged TWC samples. The desulfation was performed at a gas inlet temperature of 700 °C using a slow cycle consisting of 2 min lean (0.3% O2, 0.2% H2, 13% H2O, and N2 balanced) and 2 min rich (0.3% O2, 1.0% CO, 13% H2O, and N2 balanced) for a total of two hours. In order to determine the exact concentration of O2 at a stoichiometric condition where maximum conversion of NO, CO, C3H6, and C3H8 is obtained, an oxygen sweep with the concentration of O2 varying between 0.4 and 0.8% in the simulated exhaust gases was performed on the accelerated engine-aged TWC samples at an inlet gas temperature of 500 °C and a GHSV of 60,000 h−1. The composition of the simulated exhaust gases of the S-GDI combustion mode consisted of 850 ppm C3H6, 100 ppm C3H8, 0.5% CO, 0.1% NO, 0.167% H2, 13% H2O, 13% CO2, and balanced N2. Once the concentration of O2 at stoichiometric condition was determined, a temperature sweep was performed on accelerated engine-aged TWC samples at the stoichiometric condition with the furnace temperature varying between 100 and 600 °C at a rate of 5 °C per minute. Simultaneously, the concentrations of NO, CO, C3H6, C3H8, N2O, and NH3 were measured, from which the conversion of NO, CO, C3H6, and C3H8 as a function of temperature was obtained in the form of the light-off curve. From the light-off curve, temperatures at 50% (T50) and 90% (T90) conversion for NO, CO, C3H6, and C3H8 were obtained, from which the impact of ZDDP1, ZDDP2, IL+ZDDP1, and IL+ZDDP2 lubricant additives on the TWC performance was evaluated. Additionally, the water–gas shift (WGS: CO + H2O → H2 + CO2) reaction, one of the most important reactions over the TWC under fuel-rich conditions, was investigated, from which the effect of anti-wear additives on the performance of the TWC was determined. The WGS reaction was carried out in the temperature range between 200 and 550 °C in 50 °C increments using a mixture consisting of 0.5% CO, 13% H2O, and balanced N2 at a GSHV of 60,000 h−1. Finally, the impact of lubricant additives on ceria (CeO2), the oxygen storage material and one of the key constituents of the TWC’s washcoat, was investigated by the oxygen storage capacity (OSC) experiment. The OSC experiment was carried out for accelerated engine aging samples in a temperature range from 300 to 550 °C in 50 °C increments using a slow cycle consisting of 2 min lean (0.72% O2 and N2 balance) and 2 min rich (0.5% CO and N2 balance) for a total of 4 cycles with a total duration of 16 min at a GSHV of 60,000 h−1. The OSC was calculated based on the amount of CO2 produced during the rich cycle.

3.5. Surface Characterization Studies

In order to determine the effects of contaminants from lubricant additives on the change in material properties of the TWC’s washcoat, accelerated engine-aged TWC samples were characterized using EPMA, XRD, N2 physisorption, and ICP-OES. The results from surface characterization studies can be used to identify and elucidate the deactivation mechanisms and morphological changes in the accelerated engine-aged TWC samples. EPMA provides a way to examine the relative Zn and P content and distribution in the washcoat of the TWC samples exposed to lubricant additives. The EPMA instrument, a JXA-8200 microprobe (JEOL, Akishima, Tokyo, Japan), was equipped with a backscatter detector and five wavelength dispersive spectrometers (WDS). X-ray diffraction (XRD) was used to determine changes in the chemical composition of γ-Al2O3 washcoat and the formation of sulfates, AlPO4, CePO4, and Zn2P2O7 due to the lubricant additive exposure. Continuous theta-2theta (TTH) scans were performed on the PANalytical X’Pert diffractometer (Malvern Panalytical, Malvern, Worcestershire, UK) from 5° to 90° with a CuKα radiation source (λ = 1.540598 Å) in a scan mode of 0.02° in 2 s. The diffractograms were analyzed with X’Pert Highscore® and Jade 6.5® using powder diffraction files (PDF) from the International Center for Diffraction Data (ICDD). Physisorption was performed in a Quantachrome gas sorption system (Autosorb iQ), from which BET for surface area measurement and BJH method for pore volume and pore size distribution. The results obtained from physisorption were used to quantify the effects of AW additive poisoning on the reduction in the surface area and pore structures of the washcoat. Prior to N2 gas adsorption analysis at a liquid N2 temperature of 77 K, the degassing process was performed at 180 °C for 3 h under the flow of a mixture of He and N2. ICP-OES was used to measure the total concentration of P and Zn in accelerated engine-aged TWC samples quantitatively. The TWC powder samples for ICP-OES analysis were prepared by the fusion of sodium peroxide (Na2O2) over a Bunsen burner. The fused sample was then dissolved in water to prepare an acidic solution for analysis.

4. Conclusions

In the present study, the effects of lubricant additives (ZDDP1, ZDDP2, IL+ZDDP1, and IL+ZDDP2) on the performance of Pd-based TWC and physicochemical properties were investigated. BFR experiment results reveal that the performance of the TWC is degraded further by ZDDP1, ZDDP2, IL+ZDDP1, and IL+ZDDP2 lubricant additives as compared to that of NA-aged TWC sample, indicating the additional impact of poisoning from lubricant additives. Since the amount of S, Zn, and P in ZDDP1 is lower than in ZDDP2, the degradation in the TWC performance due to ZDDP1 is less severe than that due to ZDDP2, as reflected in an increase in T50 and T90 for CO and C3H6, and a reduction in OSC and WGS reaction. In recent studies by Kim et al. [19] and Xie et al. [10], the degradation of the performance of TWC such as higher light-off temperatures (T50 and T90), lower WGS reactivity and OSC was observed due to the presence of P in the lubricant additives. Even though the P dosage is kept constant throughout the accelerated poisoning experiment, the difference in the amount of P obtained from EPMA and ICP-OES is possibly due to the difference in the P volatility of ZDDP1 and ZDDP2. This is consistent with a previous study by Wang et al. [20] which showed that ZDDP1 has less impact than ZDDP2 on the TWC performance, such as OSC and CO/NOx conversion due to low P volatility of the P compounds formed in the ZDDP-aged TWC sample. The results from powder XRD indicate that P, primarily in the form of CePO4, was found to be present in the washcoat of all TWC samples with the highest amount found in the ZDDP2-aged TWC sample. The presence of P on the washcoat surface acts as a barrier preventing the diffusion of gaseous species to the Pd active sites, and further causes a reduction in OSC and WGS resulting in the performance degradation in TWCs. The impact of mixed lubricant additives such as IL+ZDDP1 and IL+ZDDP2 on the performance of Pd-based TWCs has been found to be not significantly different from that of single ZDDP lubricant additives such as ZDDP1 and ZDDP2. Consequently, the mixed lubricant additives containing the new IL formulation ([P8888][DEHP]) with the low friction coefficient and wear volume are certainly viable candidates for lubricant additives for vehicle applications.

Author Contributions

Conceptualization, D.K., K.N. and T.J.T.; methodology, D.K., T.J.T., M.J.L. and J.Q.; validation, K.N. and T.J.T.; formal analysis, D.K. and M.J.L.; investigation, D.K.; resources, T.J.T. and J.Q.; data curation, D.K.; writing—original draft preparation, D.K.; writing—review and editing, D.K., K.N. and T.J.T.; visualization, D.K. and M.J.L.; supervision, K.N. and T.J.T.; project administration, T.J.T. All authors have read and agreed to the published version of the manuscript.

Funding

This work was supported by the U.S. Department of Energy (DOE), Vehicle Technologies Program. The authors gratefully acknowledge the support and guidance of program managers Gurpreet Singh, Kevin Stork, Ken Howden, and Mike Weismiller at DOE.

Conflicts of Interest

The authors declare no conflict of interest.

References

  1. Spikes, H. The history and mechanisms of ZDDP. Tribol. Lett. 2004, 17, 469–489. [Google Scholar] [CrossRef]
  2. Swami, K.K.; Prakash, S.; Mondal, P.K.; Dohhen, K.C.; Sarin, R.; Tuli, D.K.; Bhatnagar, A.K. Additive-additive interactions: The search for synergistic antioxidant-antiwear phosphorodithioate compositions. Lubr. Sci. 2002, 14, 385–392. [Google Scholar] [CrossRef]
  3. Williamson, W.B.; Perry, J.; Goss, R.L.; Gandhi, H.S.; Beason, R.E. Catalyst deactivation due to glaze formation from oil-derived phosphorus and zinc. SAE Tech. Pap. 1984. [Google Scholar] [CrossRef]
  4. Gandhi, H.S.; Wlliamson, W.B.; Bomback, J.L. Deactivation of three-way and oxidation catalyst dual bed emission control systems: Catalyst post mortem analyses from methanol-fueled vehicles. Appl. Catal. 1982, 3, 79–88. [Google Scholar] [CrossRef]
  5. Rokosz, M.J.; Chen, A.E.; Lowe-Ma, C.K.; Kucherov, A.V.; Benson, D.; Paputa Peck, M.C.; McCabe, R.W. Characterization of phosphorus-poisoned automotive exhaust catalysts. Appl. Catal. B Environ. 2001, 33, 205–215. [Google Scholar] [CrossRef]
  6. Xu, L.; Guo, G.; Uy, D.; O’Neill, A.E.; Weber, W.H.; Rokosz, M.J.; McCabe, R.W. Cerium phosphate in automotive exhaust catalyst poisoning. Appl. Catal. B Environ. 2004, 50, 113–125. [Google Scholar] [CrossRef]
  7. Larese, C.; Cabello Galisteo, F.; López Granados, M.; Mariscal, R.; Fierro, J.L.G.; Furió, M.; Fernández Ruiz, R. Deactivation of real three way catalysts by CePO4 formation. Appl. Catal. B Environ. 2003, 40, 305–317. [Google Scholar] [CrossRef]
  8. Uy, D.; O’Neill, A.E.; Xu, L.; Weber, W.H.; McCabe, R.W. Observation of cerium phosphate in aged automotive catalysts using Raman spectroscopy. Appl. Catal. B Environ. 2003, 41, 269–278. [Google Scholar] [CrossRef]
  9. Angelidis, T.N.; Sklavounos, S.A. A SEM-EDS study of new and used automotive catalysts. Appl. Catal. A Gen. 1995, 133, 121–132. [Google Scholar] [CrossRef]
  10. Xie, C.; Toops, T.J.; Lance, M.J.; Qu, J.; Viola, M.B.; Lewis, S.A.; Leonard, D.N.; Hagaman, E.W. Impact of Lubricant Additives on the Physicochemical Properties and Activity of Three-Way Catalysts. Catalysts 2016, 6, 54. [Google Scholar] [CrossRef] [Green Version]
  11. Barnhill, W.C.; Qu, J.; Luo, H.; Meyer, H.M.; Ma, C.; Chi, M.; Papke, B.L. Phosphonium-Organophosphate Ionic Liquids as Lubricant Additives: Effects of Cation Structure on Physicochemical and Tribological Characteristics. ACS Appl. Mater. Interfaces 2014, 6, 22585–22593. [Google Scholar] [CrossRef]
  12. Qu, J.; Bansal, D.G.; Yu, B.; Howe, J.Y.; Luo, H.; Dai, S.; Li, H.; Blau, P.J.; Bunting, B.G.; Mordukhovich, G.; et al. Antiwear performance and mechanism of an oil-miscible ionic liquid as a lubricant additive. ACS Appl. Mater. Interfaces 2012, 4, 997–1002. [Google Scholar] [CrossRef]
  13. Qu, J.; Luo, H.; Chi, M.; Ma, C.; Blau, P.J.; Dai, S.; Viola, M.B. Comparison of an oil-miscible ionic liquid and ZDDP as a lubricant anti-wear additive. Tribol. Int. 2014, 71, 88–97. [Google Scholar] [CrossRef]
  14. Yu, B.; Bansal, D.G.; Qu, J.; Sun, X.; Luo, H.; Dai, S.; Blau, P.J.; Bunting, B.G.; Mordukhovich, G.; Smolenski, D.J. Oil-miscible and non-corrosive phosphonium-based ionic liquids as candidate lubricant additives. Wear 2012, 289, 58–64. [Google Scholar] [CrossRef]
  15. Zhou, Y.; Dyck, J.; Graham, T.W.; Luo, H.; Leonard, D.N.; Qu, J. Ionic liquids composed of phosphonium cations and organophosphate, carboxylate, and sulfonate anions as lubricant antiwear additives. Langmuir 2014, 30, 13301–13311. [Google Scholar] [CrossRef]
  16. Otero, I.; López, E.; Reichelt, M. Ionic liquids based on phosphonium cations as neat lubricants or lubricant additives for a steel/steel contact. ACS Appl. Mater. Interfaces 2014, 6, 13115–13128. [Google Scholar] [CrossRef]
  17. Somers, A.E.; Khemchandani, B.; Howlett, P.C.; Sun, J.; Macfarlane, D.R.; Forsyth, M. Ionic liquids as antiwear additives in base oils: Influence of structure on miscibility and antiwear performance for steel on aluminum. ACS Appl. Mater. Interfaces 2013, 5, 11544–11553. [Google Scholar] [CrossRef]
  18. Qu, J.; Barnhill, W.C.; Luo, H.; Meyer, H.M., III; Leonard, D.N.; Landauer, A.K.; Kheireddin, B.; Gao, H.; Papke, B.L.; Dai, S. Synergistic effects between phosphonium-alkylphosphate ionic liquids and zinc dialkyldithiophosphate (ZDDP) as lubricant additives. Adv. Mater. 2015, 27, 4767–4774. [Google Scholar] [CrossRef]
  19. Kim, D.; Toops, T.J.; Nguyen, K.; Brookshear, D.W.; Lance, M.J.; Qu, J. Impact of Lubricant Oil Additives on the Performance of Pd-Based Three-Way Catalysts. Emiss. Control Sci. Technol. 2020, 6, 139–150. [Google Scholar] [CrossRef]
  20. Wang, L.; Wang, L.; Li, G.; Xu, X. The Effect of ZDDP Type on Phosphorus Volatility: Engine Oil Performance on Sequence IIIG and Field Tests. SAE Tech. Pap. 2013. [Google Scholar] [CrossRef]
  21. Bardasz, E.A.; Schiferl, E.; Nahumck, W.; Kelley, J.; Williams, L.; Hubbard, C.P.; Thanasiu, E.; Jagner, M.; O’Neill, A.; Uy, D. Low volatility ZDDP technology: Part 2-Exhaust catalysts performance in field applications. SAE Tech. Pap. 2007. [Google Scholar] [CrossRef]
  22. Granados, M.L.; Larese, C.; Cabello Galisteo, F.; Mariscal, R.; Fierro, J.L.G.; Fernández-Ruíz, R.; Sanguino, R.; Luna, M. Effect of mileage on the deactivation of vehicle-aged three-way catalysts. Catal. Today 2005, 107–108, 77–85. [Google Scholar] [CrossRef]
  23. Väliheikki, A.; Kärkkäinen, M.; Honkanen, M.; Heikkinen, O.; Kolli, T.; Kallinen, K.; Huuhtanen, M.; Vippola, M.; Lahtinen, J.; Keiski, R.L. Deactivation of Pt/SiO2-ZrO2 diesel oxidation catalysts by sulphur, phosphorus and their combinations. Appl. Catal. B Environ. 2017, 218, 409–419. [Google Scholar] [CrossRef]
  24. West, B.; Sluder, C.S. Lubricating oil consumption on the standard road cycle. SAE Tech. Pap. 2013, 2. [Google Scholar] [CrossRef]
  25. Rappé, K.G.; DiMaggio, C.; Pihl, J.A.; Theis, J.R.; Oh, S.H.; Fisher, G.B.; Parks, J.; Easterling, V.G.; Yang, M.; Stewart, M.L.; et al. Aftertreatment Protocols for Catalyst Characterization and Performance Evaluation: Low-Temperature Oxidation, Storage, Three-Way, and NH3-SCR Catalyst Test Protocols. Emiss. Control Sci. Technol. 2019. [Google Scholar] [CrossRef]
Figure 1. Effect of O2 concentration on the concentration of NO for NA-, ZDDP1-, ZDDP2-, IL+ZDDP1-, and IL+ZDDP2-aged TWC samples at 500 °C with O2 concentration varying between 0.4 and 0.8%.
Figure 1. Effect of O2 concentration on the concentration of NO for NA-, ZDDP1-, ZDDP2-, IL+ZDDP1-, and IL+ZDDP2-aged TWC samples at 500 °C with O2 concentration varying between 0.4 and 0.8%.
Catalysts 11 00878 g001
Figure 2. Effect of inlet gas temperature on the conversion (a) NO, (b) CO, (c) C3H6, (d) C3H8, and the formation of (e) NH3 and (f) N2O for NA-, ZDDP1-, ZDDP2-, IL+ZDDP1-, and IL+ZDDP2-aged TWC samples at the stoichiometric condition of 0.73% O2 at inlet gas temperatures between 100 and 640 °C.
Figure 2. Effect of inlet gas temperature on the conversion (a) NO, (b) CO, (c) C3H6, (d) C3H8, and the formation of (e) NH3 and (f) N2O for NA-, ZDDP1-, ZDDP2-, IL+ZDDP1-, and IL+ZDDP2-aged TWC samples at the stoichiometric condition of 0.73% O2 at inlet gas temperatures between 100 and 640 °C.
Catalysts 11 00878 g002
Figure 3. (a) T50 and (b) T90 of NO, CO, C3H6, and C3H8 for NA-, ZDDP1-, ZDDP2-, IL+ZDDP1-, and IL+ZDDP2-aged TWC samples.
Figure 3. (a) T50 and (b) T90 of NO, CO, C3H6, and C3H8 for NA-, ZDDP1-, ZDDP2-, IL+ZDDP1-, and IL+ZDDP2-aged TWC samples.
Catalysts 11 00878 g003
Figure 4. Oxygen storage capacity (OSC) for NA-, ZDDP1-, ZDDP2-, IL+ZDDP1-, and IL+ZDDP2-aged TWC samples at inlet gas temperatures between 300 and 550 °C in a 50 °C increment.
Figure 4. Oxygen storage capacity (OSC) for NA-, ZDDP1-, ZDDP2-, IL+ZDDP1-, and IL+ZDDP2-aged TWC samples at inlet gas temperatures between 300 and 550 °C in a 50 °C increment.
Catalysts 11 00878 g004
Figure 5. Formation of CO2 in water gas shift (WGS) reaction for NA-, ZDDP1-, ZDDP2-, IL+ZDDP1-, and IL+ZDDP2-aged TWC samples at inlet gas temperatures between 200 and 550 °C.
Figure 5. Formation of CO2 in water gas shift (WGS) reaction for NA-, ZDDP1-, ZDDP2-, IL+ZDDP1-, and IL+ZDDP2-aged TWC samples at inlet gas temperatures between 200 and 550 °C.
Catalysts 11 00878 g005
Figure 6. BET surface area measurements of NA-, ZDDP1-, ZDDP2-, IL+ZDDP1-, and IL+ZDDP2-aged TWC samples.
Figure 6. BET surface area measurements of NA-, ZDDP1-, ZDDP2-, IL+ZDDP1-, and IL+ZDDP2-aged TWC samples.
Catalysts 11 00878 g006
Figure 7. (a) Pore volume and (b) pore size (BJH method) measurements of NA-, ZDDP1-, ZDDP2-, IL+ZDDP1-, and IL+ZDDP2-aged TWC samples.
Figure 7. (a) Pore volume and (b) pore size (BJH method) measurements of NA-, ZDDP1-, ZDDP2-, IL+ZDDP1-, and IL+ZDDP2-aged TWC samples.
Catalysts 11 00878 g007
Figure 8. ICP-OES results of (a) P and (b) Zn in weight percent for NA-, ZDDP1-, ZDDP2-, IL+ZDDP1-, and IL+ZDDP2-aged TWC samples.
Figure 8. ICP-OES results of (a) P and (b) Zn in weight percent for NA-, ZDDP1-, ZDDP2-, IL+ZDDP1-, and IL+ZDDP2-aged TWC samples.
Catalysts 11 00878 g008
Figure 9. EPMA elemental maps of (a) Zn and (b) P at the inlet of NA-, ZDDP1-, ZDDP2-, IL+ZDDP1-, and IL+ZDDP2-aged TWC samples.
Figure 9. EPMA elemental maps of (a) Zn and (b) P at the inlet of NA-, ZDDP1-, ZDDP2-, IL+ZDDP1-, and IL+ZDDP2-aged TWC samples.
Catalysts 11 00878 g009
Figure 10. X-ray Diffraction (XRD) patterns for NA-, ZDDP1-, ZDDP2-, IL+ZDDP1-, and IL+ZDDP2-aged TWC samples.
Figure 10. X-ray Diffraction (XRD) patterns for NA-, ZDDP1-, ZDDP2-, IL+ZDDP1-, and IL+ZDDP2-aged TWC samples.
Catalysts 11 00878 g010
Figure 11. Structure of a monomeric zinc dialkyldithiophosphate (ZDDP) and IL ([P8888][DEHP]).
Figure 11. Structure of a monomeric zinc dialkyldithiophosphate (ZDDP) and IL ([P8888][DEHP]).
Catalysts 11 00878 g011
Figure 12. Schematic of bench-flow reactor (BFR) system.
Figure 12. Schematic of bench-flow reactor (BFR) system.
Catalysts 11 00878 g012
Figure 13. Schematic of TWC quartz tube reactor.
Figure 13. Schematic of TWC quartz tube reactor.
Catalysts 11 00878 g013
Publisher’s Note: MDPI stays neutral with regard to jurisdictional claims in published maps and institutional affiliations.

Share and Cite

MDPI and ACS Style

Kim, D.; Toops, T.J.; Nguyen, K.; Lance, M.J.; Qu, J. Impact of Primary and Secondary ZDDP and Ionic Liquid as Lubricant Oil Additives on the Performance and Physicochemical Properties of Pd-Based Three-Way Catalysts. Catalysts 2021, 11, 878. https://doi.org/10.3390/catal11080878

AMA Style

Kim D, Toops TJ, Nguyen K, Lance MJ, Qu J. Impact of Primary and Secondary ZDDP and Ionic Liquid as Lubricant Oil Additives on the Performance and Physicochemical Properties of Pd-Based Three-Way Catalysts. Catalysts. 2021; 11(8):878. https://doi.org/10.3390/catal11080878

Chicago/Turabian Style

Kim, Daekun, Todd J. Toops, Ke Nguyen, Michael J. Lance, and Jun Qu. 2021. "Impact of Primary and Secondary ZDDP and Ionic Liquid as Lubricant Oil Additives on the Performance and Physicochemical Properties of Pd-Based Three-Way Catalysts" Catalysts 11, no. 8: 878. https://doi.org/10.3390/catal11080878

APA Style

Kim, D., Toops, T. J., Nguyen, K., Lance, M. J., & Qu, J. (2021). Impact of Primary and Secondary ZDDP and Ionic Liquid as Lubricant Oil Additives on the Performance and Physicochemical Properties of Pd-Based Three-Way Catalysts. Catalysts, 11(8), 878. https://doi.org/10.3390/catal11080878

Note that from the first issue of 2016, this journal uses article numbers instead of page numbers. See further details here.

Article Metrics

Back to TopTop