Abstract
Structure, and consequently properties, of ionic liquids can be easily tailored by changing cation/anion combinations and/or attaching functional groups. By grafting enantiopure moieties to the framework of ionic liquid it is possible to prepare bioinspired chiral molecules that can serve as a reaction medium, additive or even asymmetric catalyst. In this context, new chiral ionic liquids (CILs), based on biomolecules, such as aminoacids (l-Cysteine derivatives), have been synthesised and tested in asymmetric aldol condensation of aldehydes and ketones. The best results were obtained for CILs composed of S-methyl-l-cysteine cation and bis(trifluoromethane)sulfonimide anion, in the reaction of 2- or 4-nitrobenzaldehyde with acetone or cyclohexanone, giving the aldol product in moderate yields 70–76% and high ee values (up to 96%).
1. Introduction
The major challenge in asymmetric synthesis is the pursuit of novel “green” catalysts exhibiting both high activity and selectivity [1,2,3]. Frequently described as the “third pillar of asymmetric catalysis”, organocatalysis indicates to synthetic chemists an alternative approach towards chiral molecules that does not depend on enzymes nor on transition metals. Since the development of the highly enantioselective amine-catalysed Diels–Alder reaction by MacMillan and co-workers in 2000 [4], continuous improvements and new discoveries have been reported in asymmetric organocatalysis [5,6]. The field has grown exponentially throughout the years and found its recognition in the Nobel Prize in chemistry awarded in 2021 to its two pioneers, David MacMillan and Benjamin List [7].
The use of chiral small organic molecules as catalysts can be successfully combined with green chemistry methodologies [8,9]. It has been demonstrated that by involving intensification techniques, more environmentally friendly reaction media, or renewable and naturally occurring chiral organic scaffolds, it is possible to establish more eco-sustainable protocols. Proline is an abundant, non-toxic, inexpensive, and easily available, in both enantiomeric forms, amino acid. L-proline, “the simplest enzyme” [10,11], has been proven to promote many reactions and deliver products with high stereoselectivity [12,13,14,15,16,17,18,19]. Along the years, L-proline has been found to enantioselectively catalyse reduction, oxidation, electrophilic α-fluorination or amination, as well as carbon–carbon bond-forming reactions, i.e., the aldol reaction. Hajos and Parrish [16] were the first to describe the use of (S)-proline for the asymmetric intramolecular aldol reaction, whereas List et al. [10] was the first to report on the direct route for this process. Despite the unquestionable advance seen with asymmetric organocatalysis, the majority of the processes employ traditional organic solvents, such as N,N-dimethylformamide (DMF), dimethyl sulfoxide (DMSO), or N-methyl-2-pyrrolidinone (NMP), and entail difficulties in catalyst recycling.
Among alternative solvents, ionic liquids (ILs) have emerged as a particularly interesting media. ILs are molten salts that melt below 100 °C, or even at room temperature, and are so called Room Temperature Ionic Liquids (RTILs) [20]. Being composed of organic cations and inorganic or organic anions, their physical properties can be easily tuned for a specific use. This unique designer nature, combined with negligible vapor pressure (nonvolatility), thermal stability, and excellent dissolving power for a wide range of compounds, makes ILs suitable for a large number of potential applications in many fields [21].
The facility with which chirality elements can be introduced into an ionic liquid structure allows for countless potential utilisations of chiral ionic liquids (CILs) as chiral media, additives, or enantioselective catalysts [22,23,24,25]. There exist several works involving CILs as an asymmetric catalyst for the aldol condensation of aldehydes and ketones [26,27,28,29,30,31]. The strategy in these reports relies on the modification of IL ion, imidazolium cation in particular, with an enantiopure fragment (“ion tagging”) to provide recoverability and reusability of the chiral catalyst. CILs serve here as soluble supports for synthesis.
Wu et al. has shown that the direct asymmetric aldol reaction can be enantioselectively catalysed by hydrophobic l-Cysteine derivatives, in the presence of water [32]. Although the amino acid itself is completely inactive towards preparation of enantiomerically enriched β-hydroxy ketones, its acetylated derivatives delivered the desired product, from 4-nitrobenzaldehyde and cyclohexanone, in good yields (93–93%) with 90–92 ee.
The aim of this study is to investigate the catalytic activity of S-methyl- and S-carboxymethyl-l-Cysteine derivatives based on CILs in the asymmetric aldol reaction.
2. Results and Discussion
S-methyl-l-cysteine derivatives as cation or anion units were combined with appropriated counter ions in order to prepare desired chiral ionic liquids (as described in Figure 1).
Figure 1.
Structures of S-methyl (3 or 4) and S-carboxymethyl l-Cysteine (5) derivatives based on chiral ILs comparing with L-proline (1) or l-Cysteine (2) as organocatalysts.
The preparation and characterisation of the different chiral room temperature ILs (RTILs) was described by our group in the other article recently submitted. Nevertheless, the preparation of the cysteine-based ILs is presented in the Supplementary Information. Using similar synthetic methodology novel S-carboxymethyl-l-Cysteine based RTILs have been also developed.
In order to test the potential of these novel chiral RTILs based on the l-Cysteine as organocatalyst, we decided to apply them for asymmetric aldol reaction. Initially, we selected acetone or cyclohexanone as ketones and 2- or 4-nitrobenzaldehyde in the presence of 10 to 20 mol% of catalyst.
Figure 2 illustrates the asymmetric aldol reaction using acetone or cyclohexanone with 2- or 4-nitrobenzaldehyde as model compounds and chiral RTILs based on S-protected-l-Cysteine as organocatalysts.
Figure 2.
Asymmetric aldol reaction using RTIL as organocatalyst.
Table 1 summarises the different yields and enantiomeric excesses of tested asymmetric aldol reactions.
Table 1.
Asymmetric aldol reaction using acetone or cyclohexanone with 2- or 4-nitrobenzaldehyde as model compounds and chiral RTILs based on S-protected-l-Cysteine as organocatalysts.
The preliminary investigation confirmed that L-proline is an effective organocatalyst for asymmetric aldol reactions (Table 1, Entries 1 and 2). However, novel chiral RTILs, essentially [S-MeCysNH3][NTf2], 3a, catalysed the asymmetric direct aldol reaction of 2- or 4-nitrobenzaldehyde and acetone or cyclohexanone to give the aldol product in moderate yields (70–79%), with the indicated range of ee values (53–90% ee, Table 1, Entries 5, 6, 16 and 17). Although longer reaction times were required in comparison with cyclic ketones, satisfactory results were obtained. As it was expected, in contrast with the o-NO2 substituent group, the p-NO2 substituent group gave higher yields as well as higher ee values. [Choline][S-MeCysCO2], 4b, and [Emim][S-MeCysCO2], 3c, showed a moderate performance in the case of acetone and 2- or 4-nitrobenzaldehyde (40% of yield and 66% of ee for 4b and 77% yield with 68% ee in the case of 4c) as model substrates.
After the optimisation of the reaction conditions, we further studied the asymmetric direct aldol reaction using several substituted benzaldehydes in the presence of a catalyst: L-proline, S-methyl_l-Cysteine or 3a as shown in Table 2. It is important to note that changing the position of the substituent groups in benzaldehydes leads to different results. Thus, [S-MeCysNH3][NTf2], 3a, in the case of 4-hydroxy-3-nitrobenzaldehyde, proved to be a better chiral catalyst than conventional L-proline (Table 2, Entries 5, 6; 76% yield, 95% ee). This can be explained by the fact that electron-withdrawing groups enhance the electrophilicity of carbonyl carbons in aldehydes, which facilitates the reaction, while electron-donating groups reduce the electrophilicity. When 2-hydroxy-3-metoxy-5-nitrobenzaldehyde was used, similar results were obtained (Table 2, Entries 9 and 10).
Table 2.
Studies on asymmetric aldol reactions with different benzaldehydes.
For all the cases using l-Cysteine as organocatalyst no aldol product was observed. In the same line, other CILs based on S-methyl-l-cysteine have been tested without any efficiency to aldol reactions. Additionally, it was proved that the cysteine-based organocatalyst, 3a, can be recovered and reused. The reaction between acetone and 2-nitrobenzaldehyde have been chosen as the model reaction (Table 1, Entry 5, Product 1). The recovered catalyst displays almost the same activity after the recycle, giving the final aldol product in 72% yield. Unfortunately, the ee values maintained low (53%).
3. Materials and Methods
Asymmetric aldol reaction between aromatic aldehydes and acetone/cyclohexanone was carried out in the neat ketone reaction system (acetone) and water or DMSO (cyclohexanone). The suspension of the chiral catalyst based on cysteine scaffold (10–20 mol%) and ketone (100 µL, 2 mmol) was stirred for 30 min at RT. After that time aromatic aldehyde (0.0756 g, 1 mmol) was added and the resulting mixture was allowed to stir at RT for 24–48 h as indicated in Table 2. In the next step, the solvent was evaporated in vacuo and the crude was redissolved in DCM, in order to be filtered through a neutral alumina pad (1 g) and washed with diethyl ether (Et2O). The solvent was removed under vacuum to afford the desired aldol product as colourless solid. Relative and absolute configurations of the products and enantiomeric excess values were determined by comparison with the known 1 H NMR. The spectroscopic data of all the products were in agreement with the literature data.
4. Procedure for Catalyst Recovery
Acetone (2.4 mL) was added to a vial containing the catalyst, 3a (0.1 g, 0.1 mmol). After vigorous stirring at rt for 15 min, aromatic aldehyde (0.18 g, 0.5 mmol) was added, and the resulting mixture was stirred at rt for 24 h. After the excess solvent was evaporated, Et2O was added to the crude and vigorous stirred for 5 min. Later, an extraction using Et2O (4 × 2mL) was performed. Then the organic layer was concentrated in vacuo to afford the aldol product. The catalyst phase remaining, according to the immiscibility of the catalyst, 3a, in Et2O, was redissolved in acetone in order to be recovered and was dried under vacuum for 8 h. The desired product aldol product was obtained as colourless solid 0.2206 g, yield: 88%. The recovered catalyst (0.03 g) was then reused for a second cycle of asymmetric aldol reaction and the resulting aldol product was obtained (0.048 g, yield: 72%).
4(R)-hydroxy-4-(2-nitrophenyl)butan-2-one (1) [32]: 93 mg, yield: 89%. 1H NMR (400.13 MHz, CDCl3) δ 7.95 (d, 3JH3′-H4′ = 8 Hz, 1H, H3′), 7.90 (d, 3JH6′-H5′ = 8 Hz, 1H, H6′), 7.65 (t, 3JH5′-H6′, H4′ = 8 Hz, 1H, H5′), 7.43 (t, 3JH4′-H5′, H3′= 8 Hz, 1H, H4′), 5.68 (d, 3JH4-H3 = 8 Hz, 1H, H4), 3.13 (dd, 3JH3-H3, H4 = 8 Hz, 1H, H3), 2.79 (dd, 3JH3-H3, H4 = 8 Hz, 1H, H3), 2.23 (s, 3H, H1). 13C NMR (100.61 MHz, CDCl3) δ 208.20 (C2), 147.24 (C6′), 138.28 (C5′), 133.91 (C2′), 128.27 (C3′), 124.26 (C4′), 65.53 (C4), 51.18 (C3), 30.00 (C1).

4(R)-hydroxy-4-(4-nitrophenyl)butan-2-one (2) [32,33]: 95 mg, yield: 90%. 1H NMR (400.13 MHz, CDCl3) δ 8.38 (d, 3JH5′-H6′, H3′-H2′ = 8 Hz, 2H, H5′, H3′), 7.51 (d, 3JH6′-H5′, H2′-H3′ = 8 Hz, 2H, H6′, H2′), 5.29 (d, 3JH4-H3 = 8 Hz, 1H, H4), 3.48 (t, 3JH3-H3, H4 = 8 Hz, 1H, H3), 2.13 (s, 3H, H1). 13C NMR (100.61 MHz, CDCl3) δ 190.47 (C2), 150.93 (C1′), 139.89 (C4′), 128.72 (C6′), 128.43 (C2′), 125.27 (C3′), 124.26 (C5′), 65.71 (C4), 50.18 (C3), 30.81 (C1).

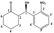
(S)-2-((R)-hydroxy(2-nitrophenyl)methyl)cyclohexanone(3) [34]: 78 mg, yield: 63%. 1H NMR (400.13 MHz, CDCl3) δ 8.14 (dd, 3JH3′-H4′ = 8 Hz, 4J H3′-H5′ = 11 Hz, 1H, H3′), 7.96 (dd, 3JH6′-H5′ = 8 Hz, 4J H6′-H4′ = 11 Hz, 1H, H6′), 7.79 (m, 2H, H5′,H4′), 5.43 (d, 3JH*-H2 = 8 Hz, 1H, H*), 3.47 (t, 3JH2-H*, H3 = 8 Hz, 1H, H2), 2.43–2.34 (m, 2H, H6), 2.20–2.08 (m, 1H, H3), 1.70–1.51 (m, 4H, H4, H5), 1.25–1.13 (m, 1H, H3). 13C NMR (100.61 MHz, CDCl3) δ 209.45 (C1), 147.08 (C6′), 140.46 (C5′), 133.22 (C2′), 131.53 (C3′), 126.95 (C1′), 121.46 (C4′), 71.56 (C*), 57.48 (C2), 39.34 (C6), 29.20 (C5), 23.12 (C4), 20.53 (C3).

(S)-2-((R)-hydroxy(4-nitrophenyl)methyl)cyclohexanone(4) [34]: 90 mg, yield: 73%. 1H NMR (400.13 MHz, CDCl3) δ 8.07 (d, 3JH5′-H6′, H3′-H2′ = 8 Hz, 2H, H5′, H3′), 7.48 (d, 3JH6′-H5′, H2′-H3′ = 8 Hz, 2H, H6′, H2′), 4.93 (d, 3JH*-H2 = 8 Hz, 1H, H*), 3.45 (t, 3JH2-H3, H4* = 8 Hz, 1H, H2), 2.82–2.44 (m, 2H, H6), 2.34–2.15 (m, 1H, H3), 1.90–1.71 (m, 4H, H4, H5), 1.55–1.38 (m, 1H, H3). 13C NMR (100.61 MHz, CDCl3) δ 207.02 (C1), 151.08 (C1′), 146.46 (C4′), 127.39 (C6′), 127.13 (C2′), 123.95 (C3′), 123.46 (C5′), 76.56 (C*), 57.38 (C2), 40.04 (C6), 29.20 (C5), 25.12 (C4), 22.13 (C3).

(R)-4-hydroxy-4-phenylbutan-2-one (5) [32]: 90 mg, yield: 73%. 1H NMR (400.13 MHz, CDCl3) δ 7.90 (dd, 3JH3′-H4′ = 8 Hz, 4J H3′-H5′ = 11 Hz, 1H, H3′), 7.65 (m, 2H, H4′, H5′), 7.41 (m, 2H, H2′, H6′), 5.17(d, 3JH4-H1′ = 8 Hz, 1H, H4), 3.42 (s, OH), 2.93–2.77 (m, 2H, H3), 2.39(s, 3H, H1).

(S)-2-((R)-hydroxy(phenyl)methyl)cyclohexanone (6) [34]: 90 mg, yield: 70%. 1H NMR (400.13 MHz, CDCl3) δ 7.97 (dd, 3JH3′-H4′ = 8 Hz, 4J H3′-H5′ = 11 Hz, 1H, H3′), 7.65 (m, 2H, H4′, H5′), 7.52 (m, 2H, H2′, H6′), 5.76 (d, 3JH*-H1′ = 8 Hz, 1H, H*), 3.50 (s, OH), 3.91(m, 1H, H2), 1.34–1.24 (m, 2H, H6), 0.88–0.81 (m, 6H, H3, H4, H5).

(4R)-hydroxy-4-(4-hydroxy-3-nitrophenyl)butan-2-one (7) [32]: 77 mg, yield: 76%. 1H NMR (400.13 MHz, CDCl3) δ 8.63 (s, 1H, H2′), 8.13 (d, 3JH6′-H5′ = 8 Hz, 1H, H6′), 7.30 (d, 3JH5′-H6′ = 8 Hz, 1H, H5′), 3.47 (t, 3JH4-H3, = 8 Hz, 1H, H4), 3.15 (dd, 3JH3-H3, H4 = 8 Hz, 1H, H3), 2.89 (dd, 3JH3-H3, H4 = 8 Hz, 1H, H3), 2.20 (s, 3H, H1). 13C NMR (100.61 MHz, CDCl3) δ 188.52 (C2), 159.22 (C4′), 136.30 (C3′), 133.55 (C6′), 129.26 (C1′), 128.53 (C2′), 121.24 (C5′), 68.88 (C4), 53.27 (C3), 29.66 (C1).

(4R)-hydroxy-4-(2-hydroxy-5-nitrophenyl)butan-2-one (8) [32]: 71 mg, yield: 70%. 1H NMR (400.13 MHz, CDCl3) δ 8.59 (s, 1H, H6′), 8.43 (d, 3JH4′-H3′ = 8 Hz, 1H, H4′), 7.15 (d, 3JH3′-H4′ = 8 Hz, 1H, H3′), 3.74 (t, 3JH4-H3, = 8 Hz, 1H, H4), 3.12 (dd, 3JH3-H3, H4 = 8 Hz, 1H, H3), 2.78 (dd, 3JH3-H3, H4 = 8 Hz, 1H, H3), 2.25 (s, 3H, H1). 13C NMR (100.61 MHz, CDCl3) δ 195.58 (C2), 166.13 (C2′), 140.63 (C5′), 131.68 (C1′), 129.78 (C4′), 119.42 (C6′), 119.00 (C3′), 65.84 (C4), 30.92 (C3), 29.68 (C1).

(4R)-hydroxy-4-(2-hydroxy-3-methoxy-5-nitrophenyl)butan-2-one (9) [35]: 74 mg, yield: 76%. 1H NMR (400.13 MHz, CDCl3) δ 8.20 (s, 1H, H6′), 7.90 (s, 1H, H4′), 4.00 (s, 3H, H7′), 3.45 (t, 3JH4-H3, = 8 Hz, 1H, H4), 3.07 (dd, 3JH3-H3, H4 = 8 Hz, 1H, H3), 2.88 (dd, 3JH3-H3, H4 = 8 Hz, 1H, H3), 1.39 (s, 3H, H1). 13C NMR (100.61 MHz, CDCl3) δ 195.45 (C2), 156.73 (C3′), 148.90 (C2′), 140.29 (C5′), 120.34 (C1′), 118.72 (C6′), 111.24 (C4′), 56.69 (C4), 56.11 (C7′), 49.69 (C3), 30.02 (C1).

5. Conclusions
Chiral ionic liquids (CILs) are considered as potential candidates for chiral discrimination in, i.e., asymmetric synthesis or resolution of racemates. The main goal of this work was to create functionalised ILs based on natural, chiral amino acid. l-Cysteine derivative was selected as a very useful, small scaffold for the preparation of structures with chiral ammonium, phosphonium and imidazolium cations, or chiral anions. Several CILs based on l-Cysteine units were prepared and examined in the asymmetric aldol reaction proving their enantioselective catalytic activity. The obtained results open a window of opportunities for these newly synthetised ionic liquids to be used in other types of organocatalytic transformations, as well as in chiral recognitions processes in analytical or biological applications.
Supplementary Materials
The supporting information can be downloaded at: https://www.mdpi.com/article/10.3390/catal12010047/s1.
Author Contributions
Conceptualization, L.C.B..; methodology, K.Z..; validation, K.Z., M.E.Z. and L.C.B..; investigation, K.Z..; writing—original draft preparation, K.Z.; writing—review and editing, M.E.Z. and L.C.B.; supervision, L.C.B.; funding acquisition, L.C.B. All authors have read and agreed to the published version of the manuscript.
Funding
This research received no external funding.
Data Availability Statement
Not applicable.
Acknowledgments
The authors thank the technical support from the Associate Laboratory for Green Chemistry LAQV, which is funded by national funds from FCT/MEC (UIDB/50006/2020) and co-financed by the ERDF under the PT2020 Partnership agreement (POCI-01-0145-FEDER–007265) and the FCT project (PTDC/QUI-QOR/32406/2017). The NMR spectrometers are part of the National NMR Network (PTNMR) and are partially supported by Infrastructure Project N° 022161 (co-financed by FEDER through COMPETE 2020, POCI and PORL and FCT through PIDDAC).
Conflicts of Interest
The authors declare no conflict of interest.
References
- Khong, S.N.; Xie, C.; Wang, X.; Tan, H.; Kwon, O. Chiral aminophosphines derived from hydroxyproline and their application in allene–imine [4+2] annulation. J. Antibiot. 2019, 72, 389–396. [Google Scholar] [CrossRef] [PubMed]
- Yu, H.; Zhang, L.; Li, Z.; Liu, H.; Wang, B.; Xiao, Y.; Guo, H. Phosphine-catalyzed [4+2] cycloaddition of sulfamate-derived cyclic imines with allenoates: Synthesis of sulfamate-fused tetrahydropyridines. Tetrahedron 2014, 70, 340–348. [Google Scholar] [CrossRef]
- Zalewska, K.; Santos, M.M.; Cruz, H.; Branco, L.C. Photo-Organocatalysis, Photo-Redox, and Electro- Organocatalysis Processes. In Recent Advances in Organocatalysis; Karamé, I., Srour, H., Eds.; IntechOpen: Rijeka, Croatia, 2016. [Google Scholar] [CrossRef] [Green Version]
- Ahrendt, K.A.; Borths, C.J.; MacMillan, D.W.C. New Strategies for Organic Catalysis: The First Highly Enantioselective Organocatalytic Diels-Alder Reaction. J. Am. Chem. Soc. 2000, 122, 4243–4244. [Google Scholar] [CrossRef]
- Zalewska, K.; Branco, L.C. Organocatalysis with chiral ionic liquids. Mini Rev. Org. Chem. 2014, 11, 141–153. [Google Scholar] [CrossRef]
- Xiang, S.-H.; Tan, B. Advances in asymmetric organocatalysis over the last 10 years. Nat. Commun. 2020, 11, 3786–3790. [Google Scholar] [CrossRef] [PubMed]
- Press Release: The Nobel Prize in Chemistry 2021. NobelPrize.org. Nobel Prize Outreach AB 2021. Sat. 13 Nov 2021. 2021. Available online: https://www.nobelprize.org/prizes/chemistry/2021/press-release/ (accessed on 14 November 2021).
- Krištofíková, D.; Modrocká, V.; Mečiarová, M.; Šebesta, R. Green Asymmetric Organocatalysis. ChemSusChem 2020, 13, 2828–2858. [Google Scholar] [CrossRef]
- Antenucci, A.; Dughera, S.; Renzi, P. Green Chemistry Meets Asymmetric Organocatalysis: A Critical Overview on Catalysts Synthesis. ChemSusChem 2021, 14, 2785–2853. [Google Scholar] [CrossRef] [PubMed]
- List, B.; Lerner, R.A.; Barbas, C.F. Proline-Catalyzed Direct Asymmetric Aldol Reactions. J. Am. Chem. Soc. 2000, 122, 2395–2396. [Google Scholar] [CrossRef]
- Gröger, H.; Wilken, J. The Application of L-Proline as an Enzyme Mimic and Further New Asymmetric Syntheses Using Small Organic Molecules as Chiral Catalysts. J. Angew. Chem. Int. Ed. 2001, 40, 529–532. [Google Scholar] [CrossRef]
- Brown, S.P.; Brochu, M.P.; Sinz, C.J.; MacMillan, D.W.C. The Direct and Enantioselective Organocatalytic α-Oxidation of Aldehydes. J. Am. Chem. Soc. 2003, 125, 10808–10809. [Google Scholar] [CrossRef] [PubMed] [Green Version]
- Kumar, P.; Jha, V.; Gonnade, R. Proline-Catalyzed Asymmetric Synthesis of syn- and anti-1,3-Diamines. J. Org. Chem. 2013, 78, 11756–11764. [Google Scholar] [CrossRef]
- Juaristi, E. Recent developments in next generation (S)-proline-derived chiral organocatalysts. Tetrahedron 2021, 88, 132143–132176. [Google Scholar] [CrossRef]
- List, B. Proline-catalyzed asymmetric reactions. Tetrahedron 2002, 58, 5573–5590. [Google Scholar] [CrossRef]
- Hajos, Z.G.; Parrish, D.R. Asymmetric synthesis of bicyclic intermediates of natural product chemistry. J. Org. Chem. 1974, 39, 1615–1621. [Google Scholar] [CrossRef]
- Heravi, M.M.; Zadsirjan, V.; Dehghani, M.; Hosseintash, N. Current applications of organocatalysts in asymmetric aldol reactions: An update. Tetrahedron Asymmetry 2017, 28, 587–707. [Google Scholar] [CrossRef]
- Karaoglu, M.; Aydogan, F.; Yolacan, C. Pro-Phe Derivatives as Organocatalysts in Asymmetric Aldol Reaction. Lett. Org. Chem. 2021, 18, 233–239. [Google Scholar] [CrossRef]
- Shams, F.; Mokhtari, J.M.; Rouhani, M. Asymmetric cross-aldol reaction of isatin and ketones catalyzed by crude earthworm extract as efficient biocatalyst. Green Chem. Lett. Rev. 2020, 13, 258–264. [Google Scholar] [CrossRef]
- Welton, T. Room-Temperature Ionic Liquids. Solvents for Synthesis and Catalysis. Chem. Rev. 1999, 99, 2071–2083. [Google Scholar] [CrossRef] [PubMed]
- MacFarlane, D.R.; Kar, M.; Pringle, J.M. Fundamentals of Ionic Liquids: From Chemistry to Applications; Wiley: Hoboken, NJ, USA, 2017. [Google Scholar] [CrossRef]
- Bica, K.; Gaertner, P. Applications of chiral ionic liquids. Eur. J. Org. Chem. 2008, 19, 3235–3250. [Google Scholar] [CrossRef]
- Ding, J.; Armstrong, D.W. Chiral ionic liquids: Synthesis and applications. Chirality 2005, 17, 281–292. [Google Scholar] [CrossRef] [PubMed]
- Flieger, J.; Feder-Kubis, J.; Tatarczak-Michalewska, M. Chiral Ionic Liquids: Structural Diversity, Properties and Applications in Se-lected Separation Techniques. Int. J. Mol. Sci. 2020, 21, 4253. [Google Scholar] [CrossRef] [PubMed]
- Karimi, B.; Tavakolian, M.; Akbari, M.; Mansouri, F. Ionic Liquids in Asymmetric Synthesis: An Overall View from Reaction Media to Supported Ionic Liquid Catalysis. ChemCatChem 2018, 10, 3173–3205. [Google Scholar] [CrossRef]
- Miao, W.; Chan, T.H. Ionic-Liquid-Supported Organocatalyst: Efficient and Recyclable Ionic-Liquid-Anchored Proline for Asymmetric Aldol Reaction. Adv. Synth. Catal. 2006, 348, 1711–1718. [Google Scholar] [CrossRef]
- Siyutkin, D.E.; Kucherenko, A.S.; Zlotin, S.G. Hydroxy-α-amino acids modified by ionic liquid moieties: Recoverable organocatalysts for asymmetric aldol reactions in the presence of water. Tetrahedron 2009, 65, 1366–1372. [Google Scholar] [CrossRef]
- Yang, S.D.; Wu, L.Y.; Yan, Z.Y.; Pan, Z.L.; Liang, Y.M. A novel ionic liquid supported organocatalyst of pyrrolidine amide: Synthesis and catalyzed Claisen–Schmidt reaction. J. Mol. Catal. A 2007, 268, 107–111. [Google Scholar] [CrossRef]
- Porcar, R.; García-Verdugo, E.; Altava, B.; Burguete, M.I.; Luis, S.V. Chiral Imidazolium Prolinate Salts as Efficient Synzymatic Organocatalysts for the Asymmetric Aldol Reaction. Molecules 2021, 26, 4190. [Google Scholar] [CrossRef]
- Kucherenko, A.S.; Perepelkin, V.V.; Zhdankina, G.M.; Kryshtal, G.V.; Srinivasan, E.; Inanib, H.; Zlotin, S.G. Ionic liquid supported 4-HO-Pro-Val derived organocatalysts for asymmetric aldol reactions in the presence of water. Mendeleev Commun. 2016, 26, 388–390. [Google Scholar] [CrossRef]
- Gauchot, V.; Schmitzer, A.R. Asymmetric Aldol Reaction Catalyzed by the Anion of an Ionic Liquid. J. Org. Chem. 2012, 77, 4917–4923. [Google Scholar] [CrossRef]
- Wu, C.; Fu, X.; Li, S. A Highly Efficient, Large-Scale, Asymmetric Direct Aldol Reaction Employing Simple Threonine Derivatives as Recoverable Organocatalysts in the Presence of Water. Eur. J. Org. Chem. 2011, 7, 1291–1299. [Google Scholar] [CrossRef]
- Zhou, Y.; Shan, Z. (R)- or (S)-Bi-2-naphthol assisted, L-proline catalyzed direct aldol reaction. Tetrahedron Asymmetry 2006, 17, 1671–1677. [Google Scholar] [CrossRef]
- Li, L.; Gou, S.; Liu, F. Highly stereoselective anti-aldol reactions catalyzed by simple chiral diamines and their unique application in configuration switch of aldol products. Tetrahedron Lett. 2013, 54, 6358–6362. [Google Scholar] [CrossRef]
- Wagner, M.; Contie, Y.; Ferroud, C.; Revial, G. Enantioselective Aldol Reactions and Michael Additions Using Proline Derivatives as Organocatalysts. Int. J. Org. Chem. 2014, 4, 55–67. [Google Scholar] [CrossRef] [Green Version]
Publisher’s Note: MDPI stays neutral with regard to jurisdictional claims in published maps and institutional affiliations. |
© 2022 by the authors. Licensee MDPI, Basel, Switzerland. This article is an open access article distributed under the terms and conditions of the Creative Commons Attribution (CC BY) license (https://creativecommons.org/licenses/by/4.0/).