Bimetallic Pd-Au/SiO2 Catalysts for Reduction of Furfural in Water
Abstract
1. Introduction
2. Results
3. Discussion
3.1. The Role of Intermetallic Interactions in the Creation of Catalytic Properties of Pd-Au/SiO2 Systems in Furfural Reduction in the Water Phase
3.1.1. Stabilization of Small Metal Particles
3.1.2. Alloy Pd-Au Formation
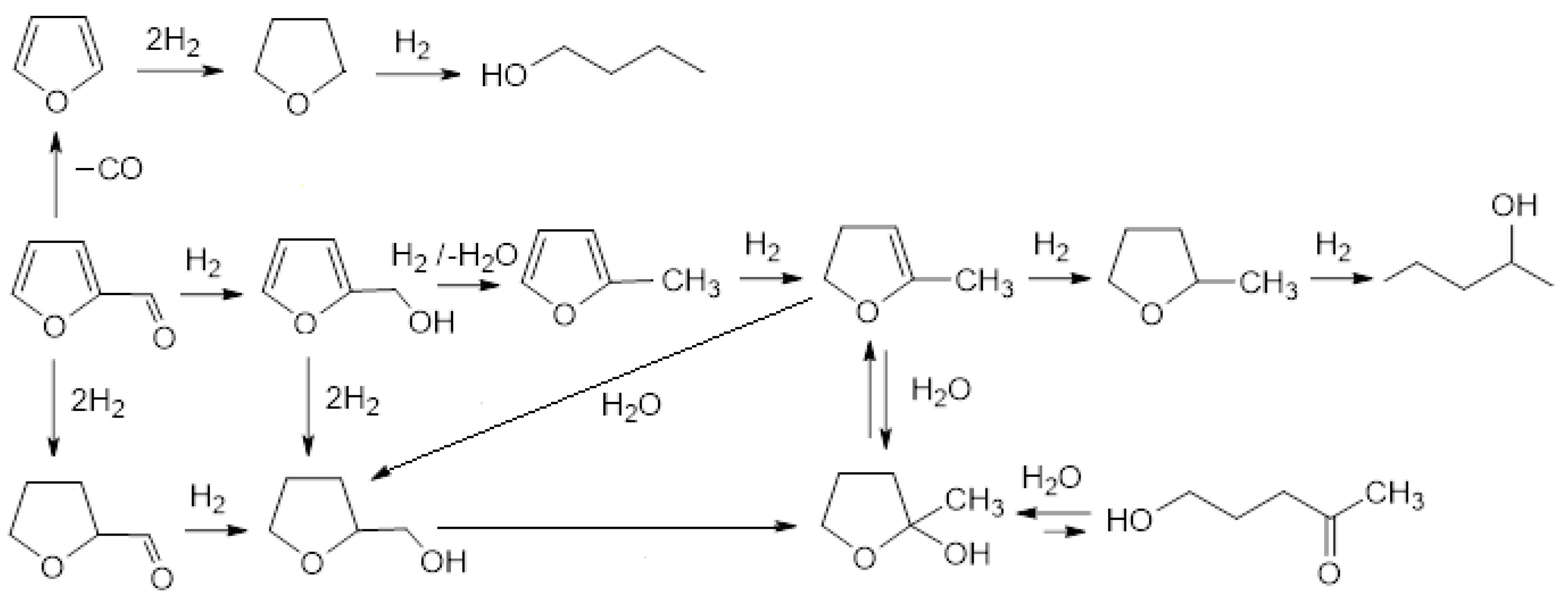
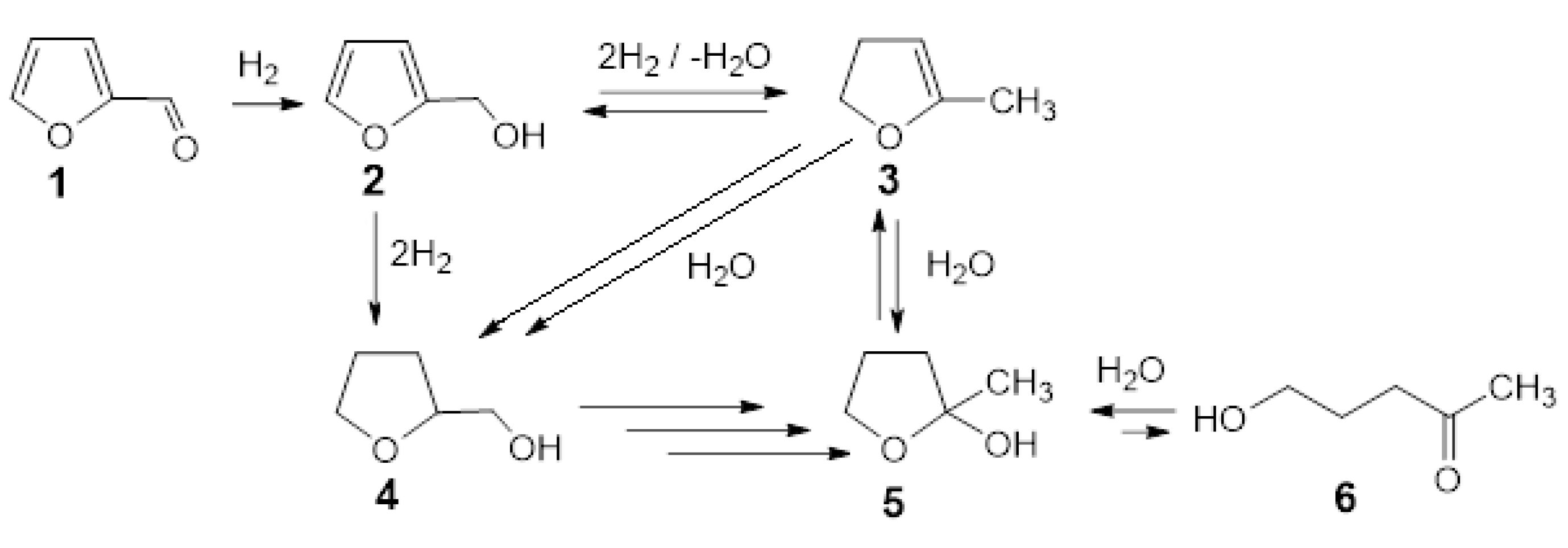
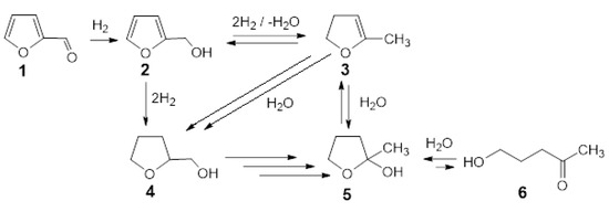
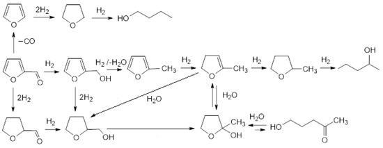
3.2. Products of Reduction of Furfural on 5%Pd-1%Au/SiO2 Systems in the Aqueous Phase
4. Materials and Methods
4.1. Catalyst Preparation
4.2. Catalytic Reduction of Furfural
Synthesis of Furfural from Brewery’s Spent Grain
4.3. Catalyst Measurements
4.3.1. Powder X-ray Diffraction (XRD)
4.3.2. Temperature-Programmed Reduction (TPR)
4.3.3. Secondary Ions Mass Spectrometer Coupled with Time of Flight Detector (ToF-SIMS)
4.3.4. Scanning Electron Microscopy with X-ray Microanalysis (SEM-EDS)
4.3.5. X-ray Photoelectron Spectroscopy XPS
4.3.6. Atomic Absorption Spectrometry (AAS)
5. Conclusions
Supplementary Materials
Author Contributions
Funding
Conflicts of Interest
References
- Luo, Y.; Li, Z.; Li, X.; Liu, X.; Fan, J.; Clark, J.H.; Hu, C. The production of furfural directly from hemicellulose in lignocellulosic biomass: A review. Catal. Today 2019, 319, 14–24. [Google Scholar] [CrossRef]
- Bizzi, C.A.; Santos, D.; Sieben, T.C.; Motta, G.V.; Mello, P.A.; Flores, E.M.M. Furfural production from lignocellulosic biomass by ultrasound-assisted acid hydrolysis. Ultrason. Sonochem. 2019, 51, 332–339. [Google Scholar] [CrossRef]
- Yan, K.; Wu, G.; Lafleur, T.; Jarvis, C. Production, properties and catalytic hydrogenation of furfural to fuel additives and value-added chemicals. Renew. Sustain. Energy. Rev. 2014, 38, 663–676. [Google Scholar] [CrossRef]
- da Costa Lopes, A.M.; Morais, A.R.C.; Łukasik, R.M. Sustainable Catalytic Strategies for C5-Sugars and Biomass Hemicellulose Conversion Towards Furfural Production. In Production of Platform Chemicals from Sustainable Resources. Biofuels and Biorefineries; Fang, Z., Smith, R., Jr., Qi, X., Eds.; Springer: Singapore, 2017. [Google Scholar] [CrossRef]
- Delbecq, F.; Wang, Y.; Muralidhara, A.; Ouardi, K.E.I.; Marlair, G.; Len, C. Hydrolysis of Hemicellulose and Derivatives—A Review of Recent Advances in the Production of Furfura. Front. Chem. 2018, 6, 146. [Google Scholar] [CrossRef]
- Steinbach, D.; Kruse, A.; Sauer, J. Pretreatment technologies of lignocellulosic biomass in water in view of furfural and 5-hydroxymethylfurfural production—A review. Biomass Convers. Biorefinery 2017, 7, 247–274. [Google Scholar] [CrossRef]
- Nimlos, M.R.; Qian, X.; Davis, M. Energetics of xylose decomposition as determined using quantum mechanics modeling. J. Phys. Chem. A 2006, 110, 11824–11838. [Google Scholar] [CrossRef]
- Jia, Q.; Teng, X.; Yu, S.; Si, Z.; Li, G.; Zhou, M.; Cai, D.; Qin, P.; Chen, B. Production of furfural from xylose and hemicelluloses using tin-loaded sulfonated diatomite as solid acid catalyst in biphasic system. Bioresour. Technol. Rep. 2019, 6, 145–151. [Google Scholar] [CrossRef]
- Antal, M.J., Jr.; Leesomboon, T.; Mok, W.S. Mechanism of formation of 2-furaldehyde from D-xylose. Carbohydr. Res. 1991, 217, 71–85. [Google Scholar] [CrossRef]
- Malinowski, A.; Wardzińska, D. Katalityczna konwersja furfuralu do biokomponentów paliwowych. CHEMIK 2012, 66, 982–990. [Google Scholar]
- Michalska, K.; Ledakowicz, S. Degradacja struktur lignocelulozowych oraz produktów ich hydrolizy. Inż. Apar. Chem. 2012, 51, 157–159. [Google Scholar]
- O’Neill, R.; Ahmad, M.N.; Vanoye, L.; Aiouache, F. Kinetics of aqueous phase dehydration of xylose into furfural catalyzed byZSM-5 zeolite. Ind. Eng. Chem. Res. 2009, 48, 4300–4306. [Google Scholar] [CrossRef]
- Ferreira, L.R.; Lima, S.; Neves, P.; Antunes, M.M.; Rocha, S.M.; Pillinger, M.; Portugal, I.; Valente, A.A. Aqueous phase reactions of pentoses in the presence of nanocrystalline zeolite beta: Identification of by-products and kinetic modelling. Chem. Eng. J. 2013, 215–216, 772–783. [Google Scholar] [CrossRef]
- Dias, A.S.; Pillinger, M.; Valente, A.A. Dehydration of xylose into furfural over micro-mesoporous sulfonic acid catalysts. J. Catal. 2005, 229, 414–423. [Google Scholar] [CrossRef]
- Dias, A.S.; Lima, S.; Pillinger, M.; Valente, A.A. Modified versions of sulfated zirconia as catalysts for the conversion of xylose to furfural. Catal. Lett. 2007, 114, 151–160. [Google Scholar] [CrossRef]
- Zhang, J.; Zhuang, J.; Lin, L.; Liu, S.; Zhang, Z. Conversion of D-xylose into furfural with mesoporous molecular sieve MCM-41 as catalyst and butanol as the extraction phase. Biomass Bioenergy 2012, 39, 73–77. [Google Scholar] [CrossRef]
- Zhang, L.; Yu, H. Conversion of xylan and xylose into furfural in biorenewable deep eutectic solvent with trivalent metal chloride added. Biol. Res. 2013, 8, 6014–6025. [Google Scholar] [CrossRef]
- Dziugan, P.; Binczarski, M.; Modelska, M.; Witonska, I.; Sadowski, A. Recovery of municipal green bio-waste by the way of chemical transformation into valuable chemical products: Intermediates of bio-polymers, green solvents and bio-components of fuels. Logistyka Odzysku 2015, 3, 87–89. [Google Scholar]
- Mariscal, R.; Maireles-Torres, P.; Ojeda, M.; Sádaba, I.; López Granados, M. Furfural: A renewable and versatile platform molecule for synthesis of chemicals and fuels. Energy Environ. Sci. 2016, 9, 1144–1189. [Google Scholar] [CrossRef]
- Haan, R.J.; Lange, J. Gasoline Composition and Process for the Preparation of Alkylfurfuryl Ether. U.S. Patent 20110035991 A1, 17 February 2011. [Google Scholar]
- Van Buijtenen, J.; Lange, J.P.; Price, R.J. Process for Preparing a Hydrocarbon or Mixture of Hydrocarbons. U.S. Patent 2011/0173877, 21 July 2011. [Google Scholar]
- Graves, G.D. Reduction of Furfural to Tetrahydrofurfuryl Alcohol. U.S. Patent 1794453, 3 March 1931. [Google Scholar]
- Priickner, H. Process for Producing Tetrahydrofurfuryl Alcohol. U.S. Patent 2071704, 23 February 1937. [Google Scholar]
- Merat, N.; Godawa, C.; Gaset, A. High selective production of tetrahydrofurfuryl alcohol: Catalytic hydrogenation of furfural and furfuryl alcohol. J. Chem. Technol. Biotechnol. 1990, 48, 145–159. [Google Scholar] [CrossRef]
- Chen, X.; Sun, W.; Xiao, N.; Yan, Y.; Liu, S. Experimental study for liquid phase selective hydrogenation of furfuryl alcohol to tetrahydrofurfuryl alcohol on supported Ni catalysts. Chem. Eng. J. 2007, 126, 5–11. [Google Scholar] [CrossRef]
- Modelska, M.; Berlowska, J.; Kregiel, D.; Cieciura, W.; Antolak, H.; Tomaszewska, J.; Binczarski, M.; Szubiakiewicz, E.; Witonska, I.A. Concept for recycling waste biomass from the sugar industry for chemical and biotechnological purposes. Molecules 2017, 22, 1544. [Google Scholar] [CrossRef] [PubMed]
- Wilson, H.B. Process for Hydrogenation of Furfural. U.S. Patent 2487054, 8 November 1949. [Google Scholar]
- Lesiak, M.; Binczarski, M.; Karski, S.; Maniukiewicz, W.; Rogowski, J.; Szubiakiewicz, E.; Berlowska, J.; Dziugan, P.; Witonska, I. Hydrogenation of furfural over Pd–Cu/Al2O3 catalysts. The role of interaction between palladium and copper on determining catalytic properties. J. Mol. Catal. A Chem. 2014, 395, 337–348. [Google Scholar] [CrossRef]
- Hronec, M.; Fulajtarova, K.; Liptaj, T. Effect of catalyst and solvent on the furan ring rearrangement to cyclopentanone. Appl. Catal. A 2012, 437, 104–111. [Google Scholar] [CrossRef]
- Zhang, B.; Zhu, Y.; Ding, G.; Zheng, H.; Li, Y. Selective conversion of furfuryl alcohol to 1,2-pentanediol over a Ru/MnOx catalyst in aqueous phase. Green Chem. 2012, 14, 3402–3409. [Google Scholar] [CrossRef]
- Rogowski, J.; Andrzejczuk, M.; Berłowska, J.; Binczarski, M.; Kręgiel, D.; Kubiak, A.; Modelska, M.; Szubiakiewicz, E.; Stanishevsky, A.; Tomaszewska, J.; et al. WxC-β-SiC nanocomposite catalysts used in aqueous phase hydrogenation of furfural. Molecules 2017, 22, 2033. [Google Scholar] [CrossRef] [PubMed]
- Chen, B.; Li, F.; Huang, Z.; Yuan, G. Tuning catalytic selectivity of liquid-phase hydrogenation of furfural via synergistic effects of supported bimetallic catalysts. Appl. Catal. A 2015, 500, 23–29. [Google Scholar] [CrossRef]
- Kamiyama, M.; Horiuchi, M.; Umano, K.; Kondo, K.; Otsuka, Y.; Shibamoto, T. Antioxidant/AntiInflammatory Activities and Chemical Composition of Extracts from the Mushroom Trametes Versicolor. Int. J. Nutr. Food Sci. 2013, 2, 85–91. [Google Scholar] [CrossRef]
- Mironenko, R.M.; Belskaya, O.B. Effect of the conditions for the aqueous-phase hydrogenation of furfural over Pd/C catalysts on the reaction routes. AIP Conf. Proc. 2019, 2141, 020010. [Google Scholar] [CrossRef]
- Fulajtárova, K.; Soták, T.; Hronec, M.; Váavra, I.; Dobročka, E.; Omastová, M. Aqueous phase-hydrogenation of furfural to furfuryl alcohol over Pd–Cu catalysts. Appl. Catal. A 2015, 502, 78–85. [Google Scholar] [CrossRef]
- Liu, S.; Amada, Y.; Tamura, M.; Nakagawa, Y.; Tomishige, K. One-pot selective conversion of furfural into 1,5-pentanediol over a Pd-added Ir–ReOx/SiO2 bifunctional catalyst. Green Chem. 2014, 16, 617–626. [Google Scholar] [CrossRef]
- Biradar, N.S.; Hengne, A.M.; Birajdar, S.N.; Niphadkar, P.S.; Joshi, P.N.; Rode, C.V. Single-pot formation of THFAL via catalytic hydrogenation of FFR over Pd/MFI catalyst. ACS Sustain. Chem. Eng. 2014, 2, 272–281. [Google Scholar] [CrossRef]
- Nakagawa, Y.; Tomishige, K. Total hydrogenation of furan derivatives over silica-supported Ni–Pd alloy catalyst. Catal. Commun. 2010, 12, 154–156. [Google Scholar] [CrossRef]
- Date, N.S.; Parola, V.L.; Rode, C.V.; Testa, M.L. Ti-Doped Pd-Au catalysts for One-Pot hydrogenation and ring opening of furfural. Catalysts 2018, 8, 252. [Google Scholar] [CrossRef]
- Aldosari, O.F. Selective conversion of furfuryl alcohol to 2-methylfuran over nanosilica supported Au:Pd bimetallic catalysts at room temperature. J. Saudi Chem. Soc. 2019, 23, 938–946. [Google Scholar] [CrossRef]
- Szubiakiewicz, E.; Modelska, M.; Brzezinska, M.; Binczarski, M.J.; Severino, C.J.; Stanishevsky, A.; Witonska, I.A. Influence of modification of supported palladium systems by polymers: PVP, AMPS and AcrAMPS on their catalytic properties in the reaction of transformation of biomass into fuel bio-components. Fuel 2020, 271, 117584. [Google Scholar] [CrossRef]
- Edwards, J.K.; Thomas, A.; Solsona, B.E.; Landon, P.; Carley, A.F.; Hutchings, G.J. Comparison of supports for the direct synthesis of hydrogen peroxide from H2 and O2 using Au–Pd catalysts. Catal. Today 2007, 122, 397–402. [Google Scholar] [CrossRef]
- Han, Y.-F.; Wang, J.-H.; Kumar, D.; Yan, Z.; Goodman, D.W. A kinetic study of vinyl acetate synthesis over Pd-based catalysts: Kinetics of vinyl acetate synthesis over Pd–Au/SiO2 and Pd/SiO2 catalysts. J. Catal. 2005, 232, 467–475. [Google Scholar] [CrossRef]
- Haruta, M. Size- and support-dependency in the catalysis of gold. Catal. Today 1997, 36, 153–166. [Google Scholar] [CrossRef]
- Haruta, M.; Daté, M. Advances in the catalysis of Au nanoparticles. Appl. Catal. A Gen. 2001, 222, 427–437. [Google Scholar] [CrossRef]
- Mierczynski, P.; Vasilev, K.; Mierczynska, A.; Maniukiewicz, W.; Szynkowska, M.I.; Maniecki, T.P. Bimetallic Au–Cu, Au–Ni catalysts supported on MWCNTs for oxy-steam reforming of methanol. Appl. Catal. B Environ. 2016, 185, 281–294. [Google Scholar] [CrossRef]
- Baatz, C.; Thieleckie, N.; Prüsse, U. Influence of the preparation conditions on the properties of gold catalysts for the oxidation of glucose. Appl. Catal. B Environ. 2007, 70, 653–660. [Google Scholar] [CrossRef]
- Baatz, C.; Prüsse, U. Preparation of gold catalysts for glucose oxidation by incipient wetness. J. Catal. 2007, 249, 34–40. [Google Scholar] [CrossRef]
- Thielecke, N.; Vorlop, K.D.; Prüsse, U. Long-term stability of an Au/Al2O3 catalyst prepared by incipient wetness in continuous-flow glucose oxidation. Catal. Today 2007, 122, 266–269. [Google Scholar] [CrossRef]
- Chenakin, S.P.; Kruse, N. Au 4f spin-orbit coupling effects in supported gold nanoparticles. Phys. Chem. Chem. Phys. 2016, 33, 22778–22782. [Google Scholar] [CrossRef] [PubMed]
- Venezia, A.M.; La Parola, V.; Pawelec, B.; Fierro, J.L.G. Hydrogenation of aromatics over Au-Pd/SiO2-Al2O3 catalysts; Support acidity effect. Appl. Catal. A Gen. 2004, 264, 43–51. [Google Scholar] [CrossRef]
- Venezia, A.M.; Liotta, L.F.; Pantaleo, G.; La Parola, V.; Deganello, G.; Beck, A.; Koppány, Z.; Frey, K.; Horváth, D.; Guczi, L. Activity of SiO2 supported gold-palladium catalysts in CO oxidation. Appl. Catal. A Gen. 2003, 251, 359–368. [Google Scholar] [CrossRef]
- Qian, K.; Huang, W. Au-Pd alloying-promoted thermal decomposition of PdO supported on SiO2 and its effect on the catalytic performance in CO oxidation. Catal. Today 2011, 164, 320–324. [Google Scholar] [CrossRef]
- Nutt, M.O.; Heck, K.N.; Alvarez, P.; Wong, M.S. Improved Pd-on-Au bimetallic nanoparticle catalysts for aqueous-phase trichloroethene hydrodechlorination. Appl. Catal. B Environ. 2006, 69, 115–125. [Google Scholar] [CrossRef]
- Liu, C.; Cai, X.; Wang, J.; Liu, J.; Riese, A.; Chen, Z.; Sun, X.; Wang, S.-D. One-step synthesis of AuPd alloy nanoparticles on graphene as a stable catalyst for ethanol electro-oxidation. Int. J. Hydrogen Energy 2016, 41, 13476–13484. [Google Scholar] [CrossRef]
- Karski, S.; Witońska, I. Bismuth as an additive modifying the selectivity of palladium catalysts. J. Mol. Catal. A Chem. 2003, 191, 87–92. [Google Scholar] [CrossRef]
- Karski, S.; Witońska, I.; Gołuchowska, J. Catalytic properties of Pd–Tl/SiO2 systems in the reaction of liquid phase oxidation of aldoses. J. Mol. Catal. A Chem. 2006, 245, 225–230. [Google Scholar] [CrossRef]
- Karski, S. Activity and selectivity of Pd–Bi/SiO2 catalysts in the light of mutual interaction between Pd and Bi. J. Mol. Catal. A Chem. 2006, 253, 147–154. [Google Scholar] [CrossRef]
- Wenkin, M.; Ruiz, P.; Delmon, B.; Devillers, M. The role of bismuth as promoter in Pd–Bi catalysts for the selective oxidation of glucose to gluconate. J. Mol. Catal. A Chem. 2002, 180, 141–159. [Google Scholar] [CrossRef]
- Karski, S.; Witońska, I.; Rogowski, J.; Gołuchowska, J. Interaction between Pd and Ag on the surface of silica. J. Mol. Catal. A Chem. 2005, 240, 155–163. [Google Scholar] [CrossRef]
- Hutchings, G.J. Nanocrystalline gold and gold palladium alloy catalysts for chemical synthesis. Chem. Commun. 2008, 10, 1148–1164. [Google Scholar] [CrossRef]
- Chen, M.; Kumar, D.; Yi, C.-W.; Goodman, D.W. The promotional effect of gold in catalysis by palladium-gold. Science 2005, 310, 291–293. [Google Scholar] [CrossRef]
- Han, Y.-F.; Kumar, D.; Goodman, D.W. Particle size effects in vinyl acetate synthesis over Pd/SiO2. J. Catal. 2005, 230, 353–358. [Google Scholar] [CrossRef]
- Maire, G.; Hilarie, L.; Legare, P.; Gault, F.G.; O’Cinneide, A. Auger electron spectroscopy study of chemisorption-induced segregation in a Pd-Au alloy. J. Catal. 1976, 44, 293–299. [Google Scholar] [CrossRef]
- Reifsnyder, S.N.; Lamb, H.H. Characterization of silica-supported Pd−Au clusters by x-ray absorption spectroscopy. J. Phys. Chem. B 1999, 103, 321–329. [Google Scholar] [CrossRef]
- Enache, D.I.; Edwards, J.K.; Landon, P.; Solsona-Espiru, B.; Carley, A.F.; Herzing, A.A.; Watanabe, M.; Kiely, C.J.; Knight, D.W.; Hutchings, G.J. Solvent-free oxidation of primary alcohols to aldehydes using Au-Pd/TiO2 catalysts. Science 2006, 311, 362–365. [Google Scholar] [CrossRef]
- Roudgar, A.; Groβ, A. Local reactivity of metal overlayers: Density functional theory calculations of Pd on Au. Phys. Rev. B 2003, 67, 033409. [Google Scholar] [CrossRef]
- Baddeley, C.J.; Ormerod, R.M.; Stephenson, A.W.; Lambert, R.M. Surface structure and reactivity in the cyclization of acetylene to benzene with Pd overlayers and Pd/Au Surface Alloys on Au{111}. J. Phys. Chem. 1995, 99, 5146–5151. [Google Scholar] [CrossRef]
- Gleich, B.; Ruff, M.; Behm, R.J. Correlation between local substrate structure and local chemical properties: CO adsorption on well-defined bimetallic AuPd(111) surfaces. Surf. Sci. 1997, 386, 48–55. [Google Scholar] [CrossRef]
- Wang, Y.; Zhao, D.; Rodríguez-Padrón, D.; Len, C. Recent advances in catalytic hydrogenation of furfural. Catalysts 2019, 9, 796. [Google Scholar] [CrossRef]
- Schniepp, L.E.; Geller, H.H.; Von Korff, R.W.; Von Korff, R.W. The Preparation of Acetopropyl Alcohol and 1,4-Pentanediol from Methylfuran. J. Am. Chem. Soc. 1947, 69, 672–674. [Google Scholar] [CrossRef]
- Dibble, T.S. Cyclization of 1,4-hydroxycarbonyls is not a homogenous gas phase process. Chem. Phys. Lett. 2007, 447, 5–9. [Google Scholar] [CrossRef]
- Rodiansono; Dewi Astuti, M.; Hara, T.; Ichikuni, N.; Shimazu, S. One-pot selective conversion of C5-furan into 1,4-pentanediol over bulk Ni-Sn alloy catalysts in an ethanol/H2O solvent mixture. Green Chem. 2019, 21, 2307–2315. [Google Scholar] [CrossRef]
- Hu, X.; Westerhof, R.J.M.; Wu, L.; Dong, D.; Li, C.Z. Upgrading biomass-derived furans via acid-catalysis/hydrogenation: The remarkable difference between water and methanol as the solvent. Green Chem. 2015, 17, 219–224. [Google Scholar] [CrossRef]
- Liang, X.; Haynes, B.S.; Montoya, A. Acid-Catalyzed ring opening of furan in aqueous solution. Energy Fuels 2018, 32, 4139–4148. [Google Scholar] [CrossRef]
- Ren, G.; Wang, G.; Mei, H.; Xu, Y.; Huang, L. A theoretical insight into furfural conversion catalyzed on the Ni(111) surface. Phys. Chem. Chem. Phys. 2019, 21, 23685–23696. [Google Scholar] [CrossRef]
- Mironenko, R.M.; Talsi, V.P.; Gulyaeva, T.I.; Trenikhin, M.V.; Belskaya, O.B. Aqueous-phase hydrogenation of furfural over supported palladium catalysts: Effect of the support on the reaction routes. React. Kinet. Mech. Catal. 2019, 126, 811–827. [Google Scholar] [CrossRef]
- Lee, J.; Woo, J.; Nguyen-Huy, C.; Lee, M.S.; Joo, S.H.; An, K. Highly dispersed Pd catalysts supported on various carbons for furfural hydrogenation. Catal. Today 2019. [Google Scholar] [CrossRef]
- Liu, P.; Qiu, W.; Zhang, C.; Tan, Q.; Zhang, C.; Zhang, W.; Song, Y.; Wang, H.; Li, C. Kinetics of furfural hydrogenation over bimetallic overlayer catalysts and the effect of oxygen vacancy concentration on product selectivity. ChemCatChem 2019, 11, 3296–3306. [Google Scholar] [CrossRef]
- Paryjczak, T.; Rynkowski, J.; Karski, S. Thermoprogrammed reduction of cobalt oxide catalysts. J. Chromatogr. 1980, 188, 254–256. [Google Scholar] [CrossRef]













| Catalyst | X [%] | S Furfuryl Alcohol [%] | S 2-Methyl-4,5-Dihydrofuran[%] | S Tetrahydrofurfuryl Alcohol [%] | S 2-Methyloxolan-2-ol +5-Hydroxy-2-Pentanone [%] | S Other Products [%] |
|---|---|---|---|---|---|---|
| 5%Pd/SiO2 | 100 | 57.0 | - | 43.0 | - | - |
| 5%Pd-0.2%Au/SiO2 | 100 | 47.3 | - | 44.5 | - | 8.2 |
| 5%Pd-0.5%Au/SiO2 | 100 | 0.0 | 1.1 | 11.6 | 81.3 | 6.0 |
| 5%Pd-1%Au/SiO2 | 100 | 0.0 | 1.8 | - | 96.5 | 1.7 |
| 5%Pd-2%Au/SiO2 | 96 | 3.8 | 33.5 | 15.2 | 43.6 | 3.9 |
| 5%Pd-5%Au/SiO2 | 100 | 4.1 | 25.3 | 60.2 | - | 6.4 |
| 5%Pd-10%Au/SiO2 | 100 | 4.1 | 13.6 | 72.6 | - | 0.6 |
| *5%Pd-1%Au/SiO2 | * 98 | * 1.2 | * 4.2 | * 5.4 | * 85.2 | * 4.0 |
| *5%Pd-2%Au/SiO2 | * 94 | * 3.9 | * 28.6 | * 18.2 | * 46.2 | * 3.1 |
| Reaction Time [h] | X [%] | S Furfuryl Alcohol [%] | S 2-Methyl-4,5-Dihydrofuran [%] | S Tetrahydrofurfuryl Alcohol [%] | S 2-Methyloxolan-2-ol+5-Hydroxy-2-Pentanone [%] | S Other Products [%] |
|---|---|---|---|---|---|---|
| 0.25 | 59.5 | 46.2 | 23.2 | 0 | 0 | 30.6 |
| 0.5 | 75.6 | 12.7 | 10.3 | 42.1 | 30.3 | 6.6 |
| 1 | 87.2 | 9.4 | 5.2 | 30.2 | 50.1 | 3.4 |
| 2 | 100 | 0 | 1.8 | 0 | 96.5 | 1.7 |
| 4 | 100 | 0 | 0 | 0 | 98.6 | 1.4 |
| Catalysts | Crystallite Size [nm] | |
|---|---|---|
| Au | Pd | |
| 5%Pd/SiO2 | - | 21.3 |
| 5%Pd-0.2%Au/SiO2 | - | 5.7 |
| 5%Pd-0.5%Au/SiO2 | 15.1 | 7.7 |
| 5%Pd-1%Au/SiO2 | 8.4 | 8.2 |
| 5%Pd-2%Au/SiO2 | 24.4 | 5.6 |
| 5%Pd-5%Au/SiO2 | 41.3 | 5.8 |
| 5%Au/SiO2 | 43.4 | - |
| Catalyst | Intensity of Pd *⋅ 106 | Intensity of Au3 **⋅ 106 | Relative Intensity Au3 **/Pd * |
|---|---|---|---|
| 5%Pd-0.2%Au/SiO2 | 1648 | 42 | 0.025 |
| 5%Pd-0.5%Au/SiO2 | 1727 | 38 | 0.022 |
| 5%Pd-1%Au/SiO2 | 1961 | 128 | 0.065 |
| 5%Pd-2%Au/SiO2 | 1984 | 71 | 0.035 |
| 5%Pd-5%Au/SiO2 | 2062 | 44 | 0.021 |
| Metal/Catalyst | Pd/SiO2 | 5%Pd-0.5%Au/SiO2 | 5%Pd-1%Au/SiO2 | 5%Pd-2%Au/SiO2 | 5%Pd-5%Au/SiO2 | |
|---|---|---|---|---|---|---|
| Pd | [mg/kg] | 51034 | 48329 | 50414 | 48762 | 49237 |
| % [w/w] | 5.1 | 4.8 | 5.0 | 4.9 | 4.9 | |
| Au | [mg/kg] | - | 4298 | 9753 | 18630 | 45875 |
| % [w/w] | - | 0.4 | 1.0 | 1.9 | 4.6 | |
| Pd/Au | [mol/mol] | - | 20.9 | 9.6 | 4.8 | 2.0 |
© 2020 by the authors. Licensee MDPI, Basel, Switzerland. This article is an open access article distributed under the terms and conditions of the Creative Commons Attribution (CC BY) license (http://creativecommons.org/licenses/by/4.0/).
Share and Cite
Modelska, M.; Binczarski, M.J.; Kaminski, Z.; Karski, S.; Kolesinska, B.; Mierczynski, P.; Severino, C.J.; Stanishevsky, A.; Witonska, I.A. Bimetallic Pd-Au/SiO2 Catalysts for Reduction of Furfural in Water. Catalysts 2020, 10, 444. https://doi.org/10.3390/catal10040444
Modelska M, Binczarski MJ, Kaminski Z, Karski S, Kolesinska B, Mierczynski P, Severino CJ, Stanishevsky A, Witonska IA. Bimetallic Pd-Au/SiO2 Catalysts for Reduction of Furfural in Water. Catalysts. 2020; 10(4):444. https://doi.org/10.3390/catal10040444
Chicago/Turabian StyleModelska, Magdalena, Michal J. Binczarski, Zbigniew Kaminski, Stanislaw Karski, Beata Kolesinska, Pawel Mierczynski, Courtney J. Severino, Andrei Stanishevsky, and Izabela A. Witonska. 2020. "Bimetallic Pd-Au/SiO2 Catalysts for Reduction of Furfural in Water" Catalysts 10, no. 4: 444. https://doi.org/10.3390/catal10040444
APA StyleModelska, M., Binczarski, M. J., Kaminski, Z., Karski, S., Kolesinska, B., Mierczynski, P., Severino, C. J., Stanishevsky, A., & Witonska, I. A. (2020). Bimetallic Pd-Au/SiO2 Catalysts for Reduction of Furfural in Water. Catalysts, 10(4), 444. https://doi.org/10.3390/catal10040444

