Catalytic Oxidation of Chlorobenzene over Pd-TiO2 /Pd-Ce/TiO2 Catalysts
Abstract
1. Introduction
2. Results and Discussion
2.1. Catalyst Characterization
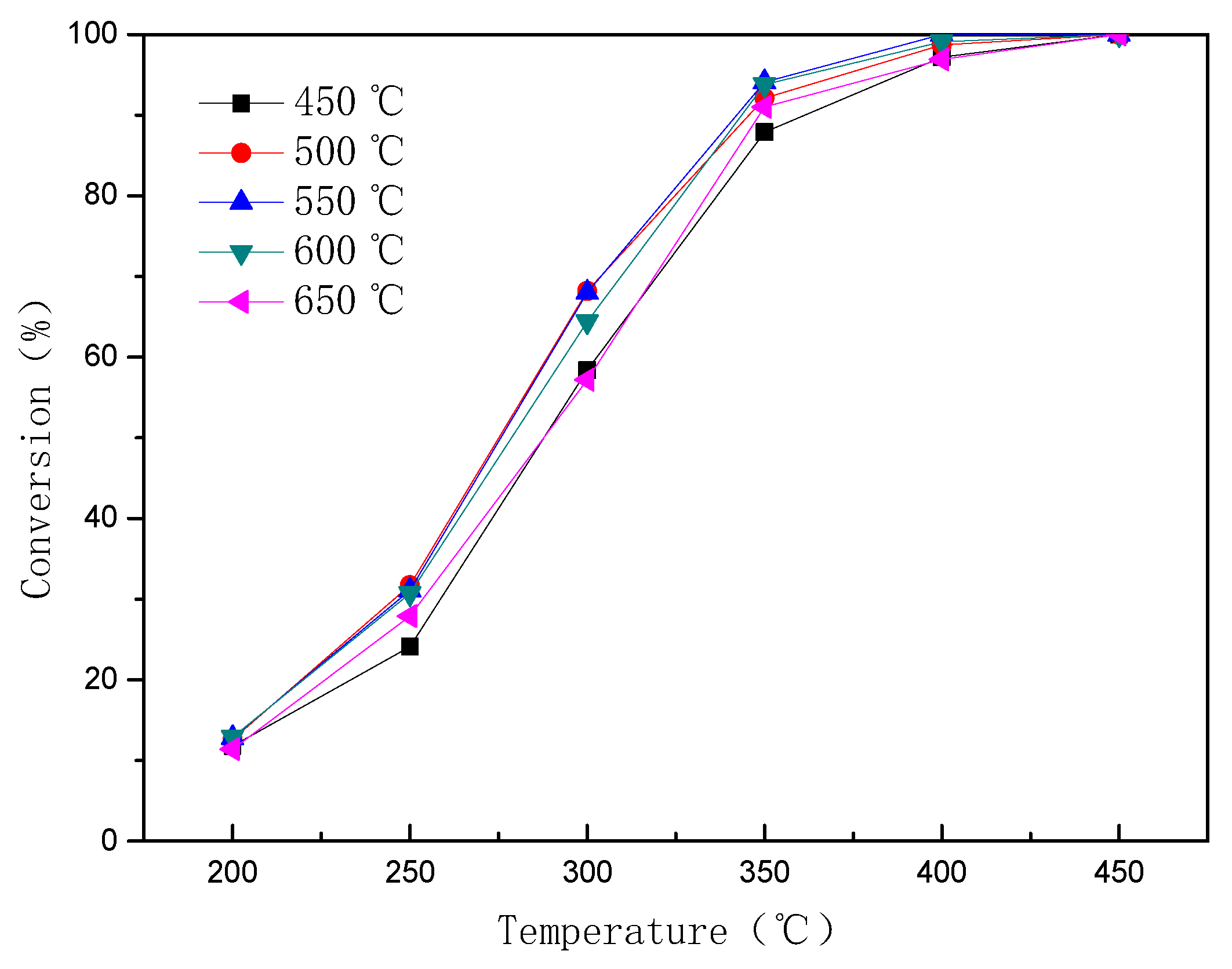
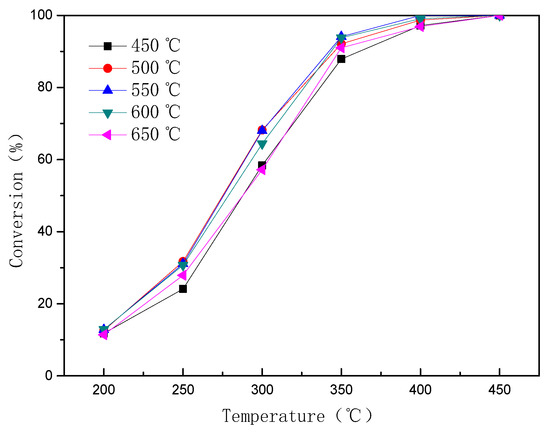
2.2. Effect of Calcination Temperature on Catalytic Performance
2.3. Effect of Pd Loading on the Catalytic Performance
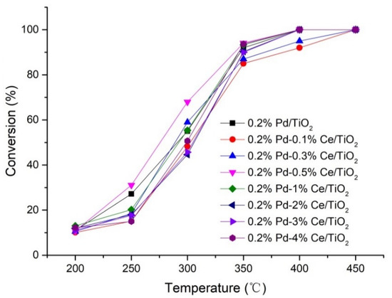
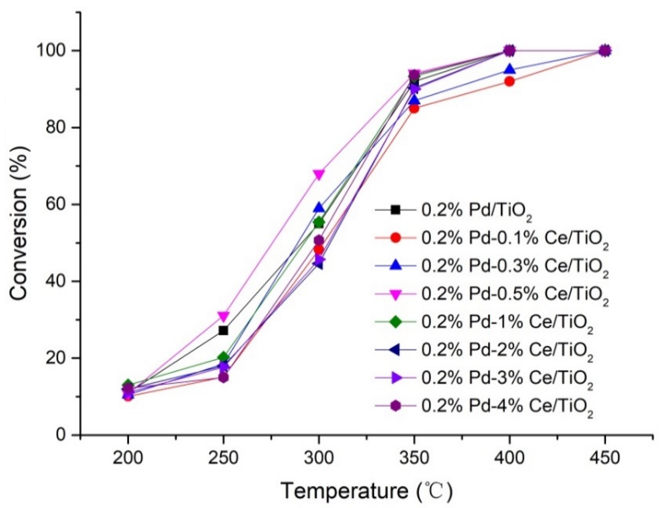
2.4. Effect of Ce Doping on the Pd/TiO2 Catalyst
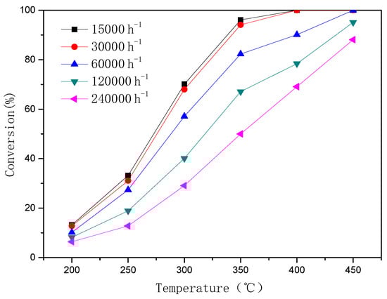
2.5. Effect of Inlet CB Concentration and Space Velocity on Catalytic Performance
2.6. By-Product Generation in the Gas Effluent
3. Experimental
3.1. Catalysts Preparation
3.2. Catalysts Characterization
3.3. Catalytic Activity Measurement
4. Conclusions
Author Contributions
Funding
Conflicts of Interest
References
- Huang, H.; Dai, Q.G.; Wang, X.Y. Morphology effect of Ru/CeO2 catalysts for the catalytic combustion of chlorobenzene. Appl. Catal. B 2014, 158–159, 96–105. [Google Scholar] [CrossRef]
- He, F.; Luo, J.Q.; Liu, S.T. Novel metal loaded KIT-6 catalysts and their applications in the catalytic combustion of chlorobenzene. Chem. Eng. J. 2016, 294, 362–370. [Google Scholar] [CrossRef]
- Dai, Q.G.; Wu, J.Y.; Deng, W.; Hu, J.S.; Wu, Q.Q.; Guo, L.M.; Sun, W.; Zhan, W.C.; Wang, X.Y. Comparative studies of P/CeO2 and Ru/CeO2 catalysts for catalytic combustion of dichloromethane: From effects of H2O to distribution of chlorinated by-products. Appl. Catal. B 2019, 249, 9–18. [Google Scholar] [CrossRef]
- Tommy, H.; Ovidiu, E.; Vincent, D.; Didier, D.; Keizo, N.; Sophie, H. Protecting a Pd/CB catalyst by a mesoporous silica layer. Appl. Catal. B 2019, 241, 196–204. [Google Scholar]
- Dai, Q.G.; Bai, S.X.; Wang, X.Y.; Lu, G.Z. Catalytic combustion of chlorobenzene over Ru-doped ceria catalysts: Mechanism study. Appl. Catal. B 2013, 129, 580–588. [Google Scholar] [CrossRef]
- Gu, Y.F.; Cai, T.; Gao, X.H.; Xia, H.Q.; Sun, W.; Zhao, J.; Dai, Q.G.; Wang, X.Y. Catalytic combustion of chlorinated aromatics over WOx/CeO2 catalysts at a low temperature. Appl. Catal. B 2019, 248, 264–276. [Google Scholar] [CrossRef]
- Ye, N.; Li, Y.; Yang, Z.; Zheng, J.; Zuo, S.F. Rare earth modified kaolin-based Cr2O3 catalysts for catalytic combustion of chlorobenzene. Appl. Catal. A 2019, 579, 44–51. [Google Scholar] [CrossRef]
- Bertinchamps, F.; Grégpire, C.; Gaigneaux, E.M. Systematic investigation of supported transition metal oxide based formulations for the catalytic oxidative elimination of (chloro)-aromatics: Part: Identification of the opimal main active phases and supports. Appl. Catal. B 2006, 66, 10–22. [Google Scholar] [CrossRef]
- Zhang, C.H.; Wang, C.; Zhan, W.C.; Guo, Y.L.; Guo, Y.; Lu, G.Z.; Baylet, A.; Giroir-Fendler, A. Catalytic oxidation of vinyl chloride emission over LaMnO3 and LaB0.2Mn0.8O3 (B = Co, Ni, Fe) catalysts. Appl. Catal. B 2013, 129, 509–516. [Google Scholar] [CrossRef]
- Liu, X.L.; Chen, L.; Zhu, T.Y.; Ning, R.L. Catalytic oxidation of chlorobenzene over noble metals (Pd, Pt, Ru, Rh) and the distributions of polychlorinated by-products. J. Hazard. Mater. 2019, 363, 90–98. [Google Scholar] [CrossRef]
- Du, C.C.; Lu, S.Y.; Wang, Q.L.; Buekens, A.G.; Ni, M.J.; Debecker, D.P. A review on catalytic oxidation of chloroaromatics from flue gas. Chem. Eng. J. 2018, 334, 519–544. [Google Scholar] [CrossRef]
- Yang, P.; Xue, X.M.; Meng, Z.H.; Zhou, R.X. Enhanced catalytic activity and stability of Ce doping on Cr supported HZSM-5 catalysts for deep oxidation of chlorinated volatile organic compounds. Chem. Eng. J. 2013, 234, 203–210. [Google Scholar] [CrossRef]
- He, C.; Xu, B.T.; Shi, J.W.; Qiao, N.L.; Hao, Z.P.; Zhao, J.L. Catalytic destruction of chlorobenzene over mesoporous ACeOx (A = Co, Cu, Fe, Mn, or Zr) composites prepared by inorganic metal precursor spontaneous precipitation. Fuel Process. Technol. 2015, 130, 179–187. [Google Scholar] [CrossRef]
- Yang, P.; Yang, S.S.; Shi, Z.N.; Meng, Z.H.; Zhou, R.X. Deep oxidation of chlorinated VOCs over CeO2-based transition metal mixed oxide catalysts. Appl. Catal. B 2015, 162, 227–235. [Google Scholar] [CrossRef]
- Lu, Y.J.; Dai, Q.G.; Wang, X.Y. Catalytic combustion of chlorobenzene on modified LaMnO3 catalysts. Catal. Commun. 2014, 54, 114–117. [Google Scholar] [CrossRef]
- Liu, X.; Zeng, J.; Shi, W.; Wang, J.; Zhu, T.; Chen, Y. Catalytic oxidation of benzene over ruthenium–cobalt bimetallic catalysts and study of its mechanism. Catal. Technol. 2016, 7, 213–221. [Google Scholar] [CrossRef]
- Xie, S.; Deng, J.; Zang, S.; Yang, H.; Guo, G.; Arandiyan, H.; Dai, H. Au-Pd/3DOM Co3O4: Highly active and stable nanocatalysts for toluene oxidation. J. Catal. 2015, 322, 38–48. [Google Scholar] [CrossRef]
- Darif, B.; Ojala, S.; Pirault-Roy, L.; Bensitel, M.; Brahmi, R.; Keiski, R.L. Study on the catalytic oxidation of DMDS over Pt-Cu catalysts supported on Al2O3, AlSi20 and SiO2. Appl. Catal. B 2016, 181, 24–33. [Google Scholar] [CrossRef]
- Zhao, S.; Li, K.; Jiang, S.; Li, J. Pd-Co based spinel oxides derived from Pd nanoparticles immobilized on layered double hydroxides for toluene combustion. Appl. Catal. B 2016, 181, 236–248. [Google Scholar] [CrossRef]
- Zheng, J.; Chen, Z.; Fang, J.F.; Wang, Z.; Zuo, S.F. MCM-41 supported nano-sized CuO-CeO2 for catalytic combustion of chlorobenzene. J. Rare Earths 2019. [Google Scholar] [CrossRef]
- Chen, Z.; Li, J.; Yang, P.; Cheng, Z.; Li, J.R.; Zuo, S.F. Ce-modified mesoporous γ-Al2O3 supported Pd-Pt nanoparticle catalysts and their structure-function relationship in complete benzene oxidation. Chem. Eng. J. 2019, 356, 255–261. [Google Scholar] [CrossRef]
- Dai, Q.G.; Bai, S.X.; Wang, J.W.; Li, M.; Wang, X.Y.; Lu, G.Z. The effect of TiO2 doping on catalytic performances of Ru/CeO2 catalysts during catalytic combustion of chlorobenzene. Appl. Catal. B 2013, 142–143, 222–233. [Google Scholar] [CrossRef]
- Silva, F.A.; Martinez, D.S.; Ruiz, J.A.C.; Mattos, L.V.; Hori, C.E.; Noronha, F.B. The effect of the use of cerium-doped alumina on the performance of Pt/CeO2/ Al2O3 and Pt/CeZrO2/ Al2O3 catalysts on the partial oxidation of methane. Appl. Catal. A 2008, 335, 145–152. [Google Scholar] [CrossRef]
- Wang, Y.; Deng, W.; Wang, Y.F.; Guo, L.M. A comparative study of the catalytic oxidation of chlorobenzene and toluene over Ce-Mn oxides. Mol. Catal. 2018, 459, 61–70. [Google Scholar] [CrossRef]
- Shahna, F.G.; Bahrami, A.; Alimohammadi, I.; Yarahmadi, R.; Jaleh, B.; Gandomi, M.; Ebrahimi, H.; Ad-Din Abedi, K. Chlorobenzene degeradation by non-thermal plasma combined with EG-TiO2/ZnO as a photocatalyst: Effect of photocatalyst on CO2 selectivity and byproducts reduction. J. Hazard. Mater. 2017, 324, 544–553. [Google Scholar] [CrossRef]
- Janina, O.; Miroslaw, Z.; Katarzyna, B. Methane combustion over bimetallic Ru-Re/Al2O3 catalysts: Effect of Re and pretreatments. Appl. Catal. B 2016, 194, 22–31. [Google Scholar]
- Huang, H.; Gu, Y.F.; Zhao, J.; Wang, X.Y. Catalytic combustion of chlorobenzene over VOx/CeO2 catalysts. J. Catal. 2015, 326, 54–68. [Google Scholar] [CrossRef]
- Lao, Y.J.; Zhu, N.X.; Jiang, X.X.; Zhao, J.; Dai, Q.G.; Wang, X.Y. Effect of Ru on the activity of Co3O4 catalysts for chlorinated aromatics oxidation. Catal. Sci. Technol. 2018, 8, 4797–4811. [Google Scholar] [CrossRef]
- Thommes, M.; Kaneko, K.; Neimark, A.V.; Olivier, J.P.; Rodriguez-Reinoso, F.; Rouquerol, J.; Sing, K.S.W. Physisorption of gases, with special reference to the evaluation of surface area and pore size distribution (IUPAC Technical Report). Pure Appl. Chem. 2015, 87, 1052–1069. [Google Scholar] [CrossRef]
- She, W.; Qi, T.; Cui, M.; Yan, P.; Ng, S.W.; Li, W.; Li, G. High Catalytic Performance of a CeO2-Supported Ni Catalyst for Hydrogenation of Nitroarenes, Fabricated via Coordination-Assisted Strategy. ACS Appl. Mater. Interfaces 2018, 10, 14698–14707. [Google Scholar] [CrossRef]
- Feng, Z.; Zhang, M.; Ren, Q.; Mo, S.; Peng, R.; Yan, D.; Fu, M.; Chen, L.; Wu, J.; Ye, D. Design of 3-dimensionally self-assembled CeO2 hierarchical nanosphere as high efficiency catalysts for toluene oxidation. Chem. Eng. J. 2019, 369, 18–25. [Google Scholar] [CrossRef]
- Hu, Z.; Zhou, G.; Xu, L.; Yang, J.; Zhang, B.; Xiang, X. Preparation of ternary Pd/CeO2-nitrogen doped graphene composites as recyclable catalysts for solvent-free aerobic oxidation of benzyl alcohol. Appl. Surf. Sci. 2019, 471, 852–861. [Google Scholar] [CrossRef]
- Guo, Y.Y.; Zhang, S.; Mu, W.T.; Li, X.Y.; Li, Z. Methanol total oxidation as model reaction for the effects of different Pd content on Pd-Pt/CeO2-Al2O3-TiO2 catalysts. J. Mol. Cat. A Chem. 2017, 429, 18–26. [Google Scholar]
- Wang, Y.; Zhao, J.; Wang, X.; Li, Z.; Liu, P. The complete oxidation of ethanol at low temperature over a novel Pd-Ce/r-Al2O3-TiO2 Catalyst. Bull. Korean Chem. Soc. 2013, 34, 2461–2465. [Google Scholar] [CrossRef][Green Version]
- Gil, S.; Garcia-Vargas, J.; Liotta, L.; Pantaleo, G.; Ousmane, M.; Retailleau, L.; Giroir-Fendler, A. Catalytic Oxidation of Propene over Pd Catalysts Supported on CeO2, TiO2, Al2O3 and M/Al2O3 Oxides (M = Ce, Ti, Fe, Mn). Catalysts 2015, 5, 671–689. [Google Scholar] [CrossRef]
- Katheria, S.; Gupta, A.; Deo, G.; Kunzru, D. Effect of calcination temperature on stability and activity of Ni/MgAl2O4 catalyst for steam reforming of methane at high pressure condition. Int. J. Hydrog. Energy 2016, 41, 14123–14132. [Google Scholar] [CrossRef]
- Katheria, S.; Deo, G.; Kunzru, D. Rh-Ni/MgAl2O4 catalyst for steam reforming of methane: Effect of Rh doping, calcination temperature and its application on metal monoliths. Appl. Catal. A 2019, 570, 308–318. [Google Scholar] [CrossRef]
- Giraudon, J.M.; Nguyen, T.B.; Leclercq, G.; Siffert, S.; Lamonier, J.F.; Aboukais, A.; Vantomme, A.; Su, B.L. Chlorobenzene total oxidation over palladium supported on ZrO2, TiO2 nanostructured supports. Catal. Today 2008, 137, 379–384. [Google Scholar] [CrossRef]
- Feng, B.B.; Wei, Y.X.; Qiu, Y.N.; Zuo, S.F.; Ye, N. Ce-modified AlZr pillared clays supported-transition metals for catalytic combustion of chlorobenzene. J. Rare Earths 2018, 36, 1169–1174. [Google Scholar] [CrossRef]
- Dai, Q.G.; Wang, X.Y.; Lu, G.Z. Low-temperature catalytic combustion of trichloroethylene over cerium oxide and catalyst deactivation. Appl. Catal. B 2008, 81, 192–202. [Google Scholar] [CrossRef]













| Catalyst | Element | Calculated Value (%) | Actual Value (%) |
|---|---|---|---|
| 0.2% Pd/TiO2 | Pd | 0.20 | 0.19 |
| 0.2% Pd-0.5% Ce/TiO2 | Pd | 0.20 | 0.18 |
| Ce | 0.50 | 0.49 |
| Sample | SBET (m2/g) | Pore Volume (cm3/g) | Pore Size (nm) |
|---|---|---|---|
| TiO2 | 65.4 | 0.35 | 21.6 |
| 0.2% Pd/TiO2 | 65.7 | 0.45 | 27.2 |
| 0.2% Pd-0.5% Ce/TiO2 | 75.1 | 0.51 | 26.9 |
| 200 °C | 250 °C | 300 °C | 350 °C | 400 °C | 450 °C | 500 °C | |
|---|---|---|---|---|---|---|---|
| 0.2% Pd/TiO2 | - | - | DCB | DCB | DCB/TCB | - | - |
| 0.2% Pd-0.5% Ce/TiO2 | DCB | DCB | DCB | DCB/TCB | DCB/TCB | - | - |
© 2020 by the authors. Licensee MDPI, Basel, Switzerland. This article is an open access article distributed under the terms and conditions of the Creative Commons Attribution (CC BY) license (http://creativecommons.org/licenses/by/4.0/).
Share and Cite
Liang, W.; Du, X.; Zhu, Y.; Ren, S.; Li, J. Catalytic Oxidation of Chlorobenzene over Pd-TiO2 /Pd-Ce/TiO2 Catalysts. Catalysts 2020, 10, 347. https://doi.org/10.3390/catal10030347
Liang W, Du X, Zhu Y, Ren S, Li J. Catalytic Oxidation of Chlorobenzene over Pd-TiO2 /Pd-Ce/TiO2 Catalysts. Catalysts. 2020; 10(3):347. https://doi.org/10.3390/catal10030347
Chicago/Turabian StyleLiang, Wenjun, Xiaoyan Du, Yuxue Zhu, Sida Ren, and Jian Li. 2020. "Catalytic Oxidation of Chlorobenzene over Pd-TiO2 /Pd-Ce/TiO2 Catalysts" Catalysts 10, no. 3: 347. https://doi.org/10.3390/catal10030347
APA StyleLiang, W., Du, X., Zhu, Y., Ren, S., & Li, J. (2020). Catalytic Oxidation of Chlorobenzene over Pd-TiO2 /Pd-Ce/TiO2 Catalysts. Catalysts, 10(3), 347. https://doi.org/10.3390/catal10030347

