Catalysts Prepared with Matured Compost Derived from Mechanical-Biological Treatment Plants for the Wet Peroxide Oxidation of Pollutants with Different Lipophilicity
Abstract
1. Introduction
2. Results and Discussion
2.1. Characterization of Catalysts
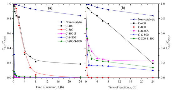
2.2. CWPO of 2-NP and 4-NP in the Aqueous Phase
2.3. Oxidation Runs in Biphasic Systems
3. Materials and Methods
3.1. Materials and Reagents
3.2. Preparation of Materials
3.3. Techniques of Characterization
3.4. CWPO Runs
3.5. Analysis of Aqueous and Oily Samples
4. Conclusions
Supplementary Materials
Author Contributions
Funding
Conflicts of Interest
References
- Eurostat. Municipal Waste Statistics-Statistics Explained (Data Extracted in October 2020). Available online: https://ec.europa.eu/eurostat/statistics-explained/index.php?title=Municipal_waste_statistics#Municipal_waste_treatment (accessed on 23 October 2020).
- Resíduos do Nordeste, E. Serviços-Unidade de Tratamento Mecânico e Biológico. Available online: https://www.residuosdonordeste.pt/tratamentoMecanicoBiologico (accessed on 23 October 2020).
- Saveyn, H.; Eder, P. End-of-waste criteria for biodegradable waste subjected to biological treatment (compost & digestate): Technical proposals. JRC Sci. Policy Rep. 2014, 1–308. [Google Scholar] [CrossRef]
- Dias, J.M.; Alvim-Ferraz, M.C.; Almeida, M.F.; Rivera-Utrilla, J.; Sanchez-Polo, M. Waste materials for activated carbon preparation and its use in aqueous-phase treatment: A review. J. Environ. Manag. 2007, 85, 833–846. [Google Scholar] [CrossRef] [PubMed]
- Hadi, P.; Xu, M.; Ning, C.; Sze Ki Lin, C.; McKay, G. A critical review on preparation, characterization and utilization of sludge-derived activated carbons for wastewater treatment. Chem. Eng. J. 2015, 260, 895–906. [Google Scholar] [CrossRef]
- Ahmed, M.J. Application of agricultural based activated carbons by microwave and conventional activations for basic dye adsorption: Review. J. Environ. Chem. Eng. 2016, 4, 89–99. [Google Scholar] [CrossRef]
- Rezende, M.J.C.; Pinto, A.C. Esterification of fatty acids using acid-activated Brazilian smectite natural clay as a catalyst. Renew. Energy 2016, 92, 171–177. [Google Scholar] [CrossRef]
- Sihvonen, S.K.; Schill, G.P.; Lyktey, N.A.; Veghte, D.P.; Tolbert, M.A.; Freedman, M.A. Chemical and physical transformations of aluminosilicate clay minerals due to acid treatment and consequences for heterogeneous ice nucleation. J. Phys. Chem. A 2014, 118, 8787–8796. [Google Scholar] [CrossRef]
- Santos Silva, A.; Seitovna Kalmakhanova, M.; Kabykenovna Massalimova, B.; Sgorlon, G.J.; Jose Luis, D.d.T.; T Gomes, H. Wet Peroxide Oxidation of Paracetamol Using Acid Activated and Fe/Co-Pillared Clay Catalysts Prepared from Natural Clays. Catalysts 2019, 9, 705. [Google Scholar] [CrossRef]
- Álvarez-Torrellas, S.; Martin-Martinez, M.; Gomes, H.T.; Ovejero, G.; García, J. Enhancement of p-nitrophenol adsorption capacity through N 2-thermal-based treatment of activated carbons. Appl. Surf. Sci. 2017, 414, 424–434. [Google Scholar] [CrossRef]
- Martin-Martinez, M.; Barreiro, M.F.F.; Silva, A.M.T.; Figueiredo, J.L.; Faria, J.L.; Gomes, H.T. Lignin-based activated carbons as metal-free catalysts for the oxidative degradation of 4-nitrophenol in aqueous solution. Appl. Catal. B 2017, 219, 372–378. [Google Scholar] [CrossRef]
- Rueda Márquez, J.; Levchuk, I.; Sillanpää, M. Application of Catalytic Wet Peroxide Oxidation for Industrial and Urban Wastewater Treatment: A Review. Catalysts 2018, 8, 673. [Google Scholar] [CrossRef]
- de Diaz Tuesta, J.L.; F Machado, B.; Serp, P.; T Silva, A.M.; Faria, J.L.; TGomes, H. Janus amphiphilic carbon nanotubes as Pickering interfacial catalysts for the treatment of oily wastewater by selective oxidation with hydrogen peroxide. Catal. Today 2020, 356, 205–215. [Google Scholar] [CrossRef]
- Kavitha, V.; Palanivelu, K. Degradation of nitrophenols by Fenton and photo-Fenton processes. J. Photochem. Photobiol. A Chem. 2005, 170, 83–95. [Google Scholar] [CrossRef]
- Trapido, M.; Veressinina, Y.; Kallas, J. Degradation of aqueous nitrophenols by ozone combined with UV-radiation and hydrogen peroxide. Ozone Sci. Eng. 2001, 23, 333–342. [Google Scholar] [CrossRef]
- Orshansky, F.; Narkis, N. Characteristics of organics removal by PACT simultaneous adsorption and biodegradation. Water Res. 1997, 31, 391–398. [Google Scholar] [CrossRef]
- Li, A.; Zhang, Q.; Zhang, G.; Chen, J.; Fei, Z.; Liu, F. Adsorption of phenolic compounds from aqueous solutions by a water-compatible hypercrosslinked polymeric adsorbent. Chemosphere 2002, 47, 981–989. [Google Scholar] [CrossRef]
- Abraham, M.H.; Du, C.M.; Platts, J.A. Lipophilicity of the nitrophenols. J. Org. Chem. 2000, 65, 7114–7118. [Google Scholar] [CrossRef]
- Erdogan, E.; Atila, B.; Mumme, J.; Reza, M.T.; Toptas, A.; Elibol, M.; Yanik, J. Characterization of products from hydrothermal carbonization of orange pomace including anaerobic digestibility of process liquor. Bioresour. Technol. 2015, 196, 35–42. [Google Scholar] [CrossRef]
- Gomes, H.T.; Miranda, S.M.; Sampaio, M.J.; Figueiredo, J.L.; Silva, A.M.T.; Faria, J.L. The role of activated carbons functionalized with thiol and sulfonic acid groups in catalytic wet peroxide oxidation. Appl. Catal. B 2011, 106, 390–397. [Google Scholar] [CrossRef]
- de Diaz Tuesta, J.L.; Silva, A.M.T.; Faria, J.L.; Gomes, H.T. Removal of Sudan IV from a simulated biphasic oily wastewater by using lipophilic carbon adsorbents. Chem. Eng. J. 2018, 347, 963–971. [Google Scholar] [CrossRef]
- Mohsen, K.; de Diaz Tuesta, J.L.; Gonçalves, C.N.d.P.; Gomes, H.T.; Rodrigues, A.E.; José, A.C.S. Integrated Management of Environment by Employing Derived Compost from Municipal Solid Wastes as a Source of Biochar for CO2 Capture. Chem. Eng. Technol. 2020, 43, 1336–1349. [Google Scholar]
- Diaz de Tuesta, J.L.; Quintanilla, A.; Casas, J.A.; Morales-Torres, S.; Faria, J.L.; Silva, A.M.T.; Gomes, H.T. The pH effect on the kinetics of 4-nitrophenol removal by CWPO with doped carbon black catalysts. Catal. Today 2020, 356, 216–225. [Google Scholar] [CrossRef]
- Diaz de Tuesta, J.L.; Quintanilla, A.; Casas, J.A.; Rodriguez, J.J. Kinetic modeling of wet peroxide oxidation with a carbon black catalyst. Appl. Catal. B 2017, 209, 701–710. [Google Scholar] [CrossRef]
- Diaz de Tuesta, J.L.; Quintanilla, A.; Casas, J.A.; Rodriguez, J.J. P-,B-and N-doped carbon black for the catalytic wet peroxide oxidation of phenol: Activity, stability and kinetic studies. Catal. Commun. 2017, 102, 131–135. [Google Scholar] [CrossRef]
- Martin-Martínez, M.; Ribeiro, R.S.; Machado, B.F.; Serp, P.; Morales-Torres, S.; Silva, A.M.T.; Figueiredo, J.L.; Faria, J.L.; Gomes, H.T. Role of nitrogen doping on the performance of carbon nanotube catalysts: A catalytic wet peroxide oxidation application. ChemCatChem 2016, 8, 2068–2078. [Google Scholar] [CrossRef]
- Cardoso, J.; Gomes, H.; Brito, P. Viability of the Use of Leachates from a Mechanical Biological Municipal Solid Waste Treatment Plant as Fertilizers. Recycling 2019, 4, 8. [Google Scholar] [CrossRef]






| Catalyst ** | C/H | C (%) | H (%) | S (%) | N (%) | Ashesψ (%) | Non-Identified * (%) |
|---|---|---|---|---|---|---|---|
| C | 9.3 | 21.3 | 2.3 | 0.6 | 1.7 | 55.5 | 18.6 |
| C-S | 11.8 | 20.1 | 1.7 | 6.8 | 1.0 | 34.3 | 36.1 |
| C-400 | 17.2 | 18.9 | 1.1 | 0.4 | 1.1 | 64.9 | 13.6 |
| C-800 | 44.0 | 17.6 | 0.4 | 0.5 | 0.0 | 81.5 | 0.0 |
| C-S-800 | 44.3 | 31.0 | 0.7 | 0.8 | 0.9 | 65.9 | 0.7 |
| C-800-S | 37.6 | 18.8 | 0.5 | 8.2 | 0.0 | 69.2 | 3.3 |
| C-800-S-800 | 55.0 | 22.0 | 0.4 | 0.6 | 0.3 | 76.7 | 0.0 |
| Catalyst | Acidity (mmol g−1) | Basicity (mmol g−1) |
|---|---|---|
| C-400 | 0.94 | 2.24 |
| C-800 | 1.03 | 2.31 |
| C-S-800 | 1.15 | 1.78 |
| C-800-S | 1.66 | 1.45 |
| C-800-S-800 | 1.32 | 1.87 |
Publisher’s Note: MDPI stays neutral with regard to jurisdictional claims in published maps and institutional affiliations. |
© 2020 by the authors. Licensee MDPI, Basel, Switzerland. This article is an open access article distributed under the terms and conditions of the Creative Commons Attribution (CC BY) license (http://creativecommons.org/licenses/by/4.0/).
Share and Cite
Diaz de Tuesta, J.L.; F. Pantuzza, G.; M. T. Silva, A.; Praça, P.; Faria, J.L.; Gomes, H.T. Catalysts Prepared with Matured Compost Derived from Mechanical-Biological Treatment Plants for the Wet Peroxide Oxidation of Pollutants with Different Lipophilicity. Catalysts 2020, 10, 1243. https://doi.org/10.3390/catal10111243
Diaz de Tuesta JL, F. Pantuzza G, M. T. Silva A, Praça P, Faria JL, Gomes HT. Catalysts Prepared with Matured Compost Derived from Mechanical-Biological Treatment Plants for the Wet Peroxide Oxidation of Pollutants with Different Lipophilicity. Catalysts. 2020; 10(11):1243. https://doi.org/10.3390/catal10111243
Chicago/Turabian StyleDiaz de Tuesta, Jose L., Gabriel F. Pantuzza, Adrián M. T. Silva, Paulo Praça, Joaquim L. Faria, and Helder T. Gomes. 2020. "Catalysts Prepared with Matured Compost Derived from Mechanical-Biological Treatment Plants for the Wet Peroxide Oxidation of Pollutants with Different Lipophilicity" Catalysts 10, no. 11: 1243. https://doi.org/10.3390/catal10111243
APA StyleDiaz de Tuesta, J. L., F. Pantuzza, G., M. T. Silva, A., Praça, P., Faria, J. L., & Gomes, H. T. (2020). Catalysts Prepared with Matured Compost Derived from Mechanical-Biological Treatment Plants for the Wet Peroxide Oxidation of Pollutants with Different Lipophilicity. Catalysts, 10(11), 1243. https://doi.org/10.3390/catal10111243

