Simulation and Optimization of the CWPO Process by Combination of Aspen Plus and 6-Factor Doehlert Matrix: Towards Autothermal Operation
Abstract
1. Introduction
2. Computational Details
2.1. Process Simulation Flowsheet
2.2. Reaction Pathway and Kinetic Model
2.3. Components and Property Model Selection
2.4. Variable Definition
2.5. Design of Experiments
3. Results and Discussion
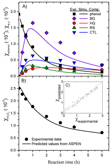
3.1. Kinetic Model Validation
3.2. CWPO Performance
3.3. Mathematical Modeling and Response Surface Plots
3.4. Multi-Criteria Optimization of CWPO Performance
4. Conclusions
- The COD removal achieved in CWPO units is increased by increasing the reaction temperature and dose of hydrogen peroxide. Nevertheless, the best conditions lead to 78% COD conversion due to the refractoriness of the organic acid species.
- Working at high temperature favors the efficient consumption of H2O2 in the oxidation process.
- Autothermal operation is possible if a high load of COD (or TOC) is employed and high conversions are achieved, which requires setting up the process with the optimal operating conditions.
Supplementary Materials
Author Contributions
Funding
Acknowledgments
Conflicts of Interest
References
- Andreozzi, R.; Caprio, V.; Insola, A.; Marotta, R. Advanced oxidation processes (AOP) for water purification and recovery. Catal. Today 1999, 53, 51–59. [Google Scholar] [CrossRef]
- De Heredia, J.B.; Domínguez, J.R.; Peres, J.A. Eliminación de compuestos fenólicos por oxidación avanzada: Estimación de costes. Ing. Química 2002, 386, 142–146. [Google Scholar]
- Esplugas, S.; Gimenez, J.; Contreras, S.; Pascual, E.; Rodriguez, M. Comparison of different advanced oxidation processes for phenol degradation. Water Res. 2002, 36, 1034–1042. [Google Scholar] [CrossRef]
- Perathoner, S.; Centi, G. Wet hydrogen peroxide catalytic oxidation (WHPCO) of organic waste in agro-food and industrial streams. Top. Catal. 2005, 33, 207–224. [Google Scholar] [CrossRef]
- Fajerwerg, K.; Debellefontaine, H. Wet oxidation of phenol by hydrogen peroxide using heterogeneous catalysis Fe-ZSM−5: A promising catalyst. Appl. Catal. B Environ. 1996, 10, L229. [Google Scholar] [CrossRef]
- Debellefontaine, H.; Chakchouka, M.; Foussarda, J.N.; Tissot, D.; Striolo, P. Treatment of organic aqueous wastes: Wet air oxidation and wet peroxide oxidation®. Environ. Pollut. 1996, 92, 155–164. [Google Scholar] [CrossRef]
- Catrinescu, C.; Teodosiu, C.; Macoveanu, M.; Miehe-Brendle, J.; Le Dred, R. Catalytic wet peroxide oxidation of phenol over Fe-exchanged pillared beidellite. Water Res. 2003, 37, 1154–1160. [Google Scholar] [CrossRef]
- Lücking, F.; Köser, H.; Jank, M.; Ritter, A. Iron powder, graphite and activated carbon as catalysts for the oxidation of 4-chlorophenol with hydrogen peroxide in aqueous solution. Water Res. 1998, 32, 2607–2614. [Google Scholar] [CrossRef]
- Pignatello, J.J.; Oliveros, E.; Mac Kay, A. Advanced Oxidation Processes for Organic Contaminant Destruction Based on the Fenton Reaction and Related Chemistry. Crit. Rev. Environ. Sci. Technol. 2006, 36, 1–84. [Google Scholar] [CrossRef]
- Rey, A.; Faraldos, M.; Bahamonde, A.; Casas, J.A.; Zazo, J.A.; Rodriguez, J.J. Role of the Activated Carbon Surface on Catalytic Wet Peroxide Oxidation. Ind. Eng. Chem. Res. 2008, 47, 8166–8174. [Google Scholar] [CrossRef]
- Navalon, S.; Dhakshinamoorthy, A.; Alvaro, M.; Garcia, H. Heterogeneous Fenton catalysts based on activated carbon and related materials. ChemSusChem 2011, 4, 1712–1730. [Google Scholar] [CrossRef] [PubMed]
- Dhakshinamoorthy, A.; Navalon, S.; Alvaro, M.; Garcia, H. Metal Nanoparticles as Heterogeneous Fenton Catalysts. ChemSusChem 2012, 5, 46–64. [Google Scholar] [CrossRef] [PubMed]
- Munoz, M.; de Pedro, Z.; Casas, J.A.; Rodriguez, J.J. Preparation of magnetite-based catalysts and their application in heterogeneous Fenton oxidation—A review. Appl. Catal. B Environ. 2015, 176, 249–265. [Google Scholar] [CrossRef]
- Guo, J.; Al-Dahhan, M. Catalytic Wet Oxidation of Phenol by Hydrogen Peroxide over Pillared Clay Catalyst. Ind. Eng. Chem. Res. 2003, 42, 2450–2460. [Google Scholar] [CrossRef]
- Martínez, F.; Melero, J.A.; Botas, J.A.; Pariente, I.; Molina, R. Treatment of Phenolic Effluents by Catalytic Wet Hydrogen Peroxide Oxidation over Fe2O3/SBA-15 Extruded Catalyst in a Fixed-Bed Reactor. Ind. Eng. Chem. Res. 2007, 46, 4396–4405. [Google Scholar] [CrossRef]
- Martínez, F.; Pariente, I.; Melero, J.A.; Botas, J.A.; Gómez, E. Catalytic wet peroxidation of phenol in a fixed bed reactor. Water Sci. Technol. 2007, 55, 75–81. [Google Scholar] [CrossRef][Green Version]
- Botas, J.A.; Melero, J.A.; Martinez, F.; Pariente, M.I. Assessment of Fe2O3/SiO2 catalysts for the continuous treatment of phenol aqueous solutions in a fixed bed reactor. Catal. Today 2010, 149, 334–340. [Google Scholar] [CrossRef]
- Ferentz, M.; Landau, M.V.; Vidruk, R.; Herskowitz, M. Fixed-bed catalytic wet peroxide oxidation of phenol with titania and Au/titania catalysts in dark. Catal. Today 2015, 241, 63–72. [Google Scholar] [CrossRef]
- Yan, Y.; Wu, X.; Zhang, H. Catalytic wet peroxide oxidation of phenol over Fe2O3/MCM-41 in a fixed bed reactor. Sep. Purif. Technol. 2016, 171, 52–61. [Google Scholar] [CrossRef]
- Martínez, F.; Pariente, I.; Melero, J.A.; Botas, J.A. Catalytic Wet Peroxide Oxidation Process for the Continuous Treatment of Polluted Effluents on a Pilot Plant Scale. J. Adv. Oxid. Technol. 2016, 11, 65–74. [Google Scholar] [CrossRef]
- Taran, O.P.; Zagoruiko, A.N.; Ayusheev, A.B.; Yashnik, S.A.; Prihod’ko, R.V.; Ismagilov, Z.R.; Goncharuk, V.V.; Parmon, V.N. Wet peroxide oxidation of phenol over Cu-ZSM-5 catalyst in a flow reactor. Kinetics and diffusion study. Chem. Eng. J. 2015, 282, 108–115. [Google Scholar] [CrossRef]
- Quintanilla, A.; Casas, J.A.; Miranzo, P.; Osendi, M.I.; Belmonte, M. 3D-Printed Fe-doped silicon carbide monolithic catalysts for wet peroxide oxidation processes. Appl. Catal. B Environ. 2018, 235, 246–255. [Google Scholar] [CrossRef]
- Quintanilla, A.; Carbajo, J.; Casas, J.A.; Miranzo, P.; Osendi, M.I.; Belmonte, M. Graphene-based nanostructures as catalysts for wet peroxide oxidation treatments: From nanopowders to 3D printed porous monoliths. Catal. Today 2019. [Google Scholar] [CrossRef]
- Ou, X.; Pilitsis, F.; Xu, N.; Taylor, S.F.R.; Warren, J.; Garforth, A.; Zhang, J.; Hardacre, C.; Jiao, Y.; Fan, X.; et al. On developing ferrisilicate catalysts supported on silicon carbide (SiC) foam catalysts for continuous catalytic wet peroxide oxidation (CWPO) reactions. Catal. Today 2018. [Google Scholar] [CrossRef]
- Ou, X.; Pilitsis, F.; Jiao, Y.; Zhang, Y.; Xu, S.; Jennings, M.; Yang, Y.; Taylor, S.F.R.; Garforth, A.H.; Hardacre, C.; et al. Hierarchical Fe-ZSM−5/SiC foam catalyst as the foam bed catalytic reactor (FBCR) for catalytic wet peroxide oxidation (CWPO). Chem. Eng. J. 2019, 362, 53–62. [Google Scholar] [CrossRef]
- Peralta, Y.M.; Sanabria, N.R.; Carriazo, J.G.; Moreno, S.; Molina, R. Catalytic wet hydrogen peroxide oxidation of phenolic compounds in coffee wastewater using Al-Fe-pillared clay extrudates. Desalin. Water Treat. 2015, 55, 647–654. [Google Scholar] [CrossRef]
- Caudo, S.; Centi, G.; Genovese, C.; Perathoner, S. Copper- and iron-pillared clay catalysts for the WHPCO of model and real wastewater streams from olive milling production. Appl. Catal. B Environ. 2007, 70, 437–446. [Google Scholar] [CrossRef]
- Azabou, S.; Najjar, W.; Bouaziz, M.; Ghorbel, A.; Sayadi, S. A compact process for the treatment of olive mill wastewater by combining wet hydrogen peroxide catalytic oxidation and biological techniques. J. Hazard. Mater. 2010, 183, 62–69. [Google Scholar] [CrossRef]
- Maduna Valkaj, K.; Kaselj, I.; Smolkovic, J.; Zrnčević, S.; Kumar, N.; Murzin, D.Y. Catalytic wet peroxide oxidation of olive oil mill wastewater over zeolite based catalyst. Chem. Eng. Trans. 2015, 43, 853–858. [Google Scholar]
- Dominguez, C.M.; Quintanilla, A.; Casas, J.A.; Rodriguez, J.J. Treatment of real winery wastewater by wet oxidation at mild temperature. Sep. Purif. Technol. 2014, 129, 121–128. [Google Scholar] [CrossRef]
- Torres-Luna, J.A.; Giraldo-Gomez, G.I.; Sanabria-Gonzalez, N.R.; Carriazo, J.G. Catalytic degradation of real-textile azo-dyes in aqueous solutions by using Cu-Co/halloysite. Bull. Mater. Sci. 2019, 42, 1–10. [Google Scholar] [CrossRef]
- Melero, J.A.; Martinez, F.; Botas, J.A.; Molina, R.; Pariente, M.I. Heterogeneous catalytic wet peroxide oxidation systems for the treatment of an industrial pharmaceutical wastewater. Water Res. 2009, 43, 4010–4018. [Google Scholar] [CrossRef]
- Bautista, P.; Mohedano, A.F.; Casas, J.A.; Zazo, J.A.; Rodriguez, J.J. Oxidation of cosmetic wastewaters with H2O2 using a Fe/gamma-Al2O3 catalyst. Water Sci. Technol. 2010, 61, 1631–1636. [Google Scholar] [CrossRef]
- Díaz de Tuesta, J.L.; García-Figueruelo, C.; Quintanilla, A.; Casas, J.A.; Rodriguez, J.J. Application of high-temperature Fenton oxidation for the treatment of sulfonation plant wastewater. J. Chem. Technol. Biotechnol. 2015, 90, 1839–1846. [Google Scholar] [CrossRef]
- Pariente, M.; Melero, J.A.; Martinez, F.; Botas, J.A.; Gallego, A.I. Catalytic wet hydrogen peroxide oxidation of a petrochemical wastewater. Water Sci. Technol. 2010, 61, 1829–1836. [Google Scholar] [CrossRef] [PubMed]
- Rueda, J.J.; Levchuk, I.; Sillanpää, M. Application of CatalyticWet Peroxide Oxidation for Industrial and Urban Wastewater Treatment: A Review. Catalysts 2018, 8, 673. [Google Scholar] [CrossRef]
- Velichkova, F.; Julcour-Lebigue, C.; Koumanova, B.; Delmas, H. Heterogeneous Fenton oxidation of paracetamol using iron oxide (nano) particles. J. Environ. Chem. Eng. 2013, 1, 214–1222. [Google Scholar] [CrossRef]
- Silva, A.S.; Kalmakhanova, M.; Massalimova, B.; Juliana, G.S.; De Tuesta, J.L.D.; Gomes, H.; Sgorlon, J.G.; De Tuesta, J.L.D.; De Tuesta, J.D.; Gomes, H. Wet Peroxide Oxidation of Paracetamol Using Acid Activated and Fe/Co-Pillared Clay Catalysts Prepared from Natural Clays. Catalysts 2019, 9, 705. [Google Scholar] [CrossRef]
- Munoz, M.; Conde, J.; de Pedro, Z.M.; Casas, J.A. Antibiotics abatement in synthetic and real aqueous matrices by H2O2/natural magnetite. Catal. Today 2018, 313, 142–147. [Google Scholar] [CrossRef]
- Diaz de Tuesta, J.L.; Quintanilla, A.; Casas, J.A.; Rodriguez, J.J. Kinetic modeling of wet peroxide oxidation with a carbon black catalyst. Appl. Catal. B Environ. 2017, 209, 701–710. [Google Scholar] [CrossRef]
- Dobrijevic, M.; Claeys-Bruno, M.; Sergent, M.; Phan-Tan-Luu, R. Experimental designs for the determination of key reactions in photochemical models: Application to the photochemistry of hydrocarbons in the atmosphere of Titan. Planet. Space Sci. 2008, 56, 519–529. [Google Scholar] [CrossRef]
- Karimi, M.C.; Silva, J.A.; Gonçalves, C.N.; Diaz de Tuesta, J.L.; Rodrigues, A.E.; Gomes, H.T. CO2 Capture in Chemically and Thermally Modified Activated Carbons Using Breakthrough Measurements: Experimental and Modeling Study. Ind. Eng. Chem. Res. 2018, 57, 11154–11166. [Google Scholar] [CrossRef]
- Lefèvre, S.; Ferrasse, J.H.; Boutin, O.; Sergent, M.; Faucherand, R.; Viand, A. Process optimisation using the combination of simulation and experimental design approach: Application to wet air oxidation. Chem. Eng. Res. Des. 2011, 89, 1045–1055. [Google Scholar] [CrossRef]
- Lefèvre, S.; Ferrasse, J.H.; Faucherand, R.; Viand, A.; Boutin, O. Energetic optimization of wet air oxidation process using experimental design coupled with process simulation. Energy 2012, 41, 175–183. [Google Scholar] [CrossRef]
- Constantine, M.T.; Cain, E.F. Chemical and Material Sciences Department, Research Division Rocketdyne. In Hydrogen Peroxide Handbook; Division of North American Aviation, Inc.: Canoga Park, CA, USA, 1967. [Google Scholar]
- Giguère, P.A. The thermal decomposition of hydrogen peroxide vapour. II. Can. J. Res. 1947, 25b, 135–150. [Google Scholar] [CrossRef]
- Giguère, P.A.; Liu, I.D. Kinetics of the thermal decomposition of hydrogen peroxide vapor. Can. J. Chem. 1957, 35, 283–293. [Google Scholar] [CrossRef]
- Scatchard, G.; Kavanagh, G.M.; Ticknor, L.B. Vapor-Liquid Equilibrium. VIII. Hydrogen Peroxide—Water Mixtures1. J. Am. Chem. Soc. 1952, 74, 3715–3720. [Google Scholar] [CrossRef]
- Wichterle, I.; Linek, J.; Wagner, Z.; Fontaine, J.C.; Sosnkowska-Kehiaian, K.; Kehiaian, H.V. Vapor-Liquid Equilibrium of the Mixture H2O + H2O2. In Binary Liquid Systems of Nonelectrolytes. Part 2; Kehiaian, H.V., Ed.; Springer Materials: Berlin, Germany, 2008; Volume 13A2. [Google Scholar]
- Diaz de Tuesta, J.L.; Quintanilla, A.; Casas, J.A.; Rodriguez, J.J. P-, B- and N-doped carbon black for the catalytic wet peroxide oxidation of phenol: Activity, stability and kinetic studies. Catal. Commun. 2017, 102, 131–135. [Google Scholar] [CrossRef]
- Lavric, E.D.; Weyten, H.; De Ruyck, J.; Pleşu, V.; Lavric, V. Delocalized organic pollutant destruction through a self-sustaining supercritical water oxidation process. Energy Convers. Manag. 2005, 46, 1345–1364. [Google Scholar] [CrossRef]
- Zazo, J.A.; Pliego, G.; Blasco, S.; Casas, J.A.; Rodriguez, J.J. Intensification of the Fenton Process by Increasing the Temperature. Ind. Eng. Chem. Res. 2011, 50, 866–870. [Google Scholar] [CrossRef]





| Case | TR (x1) (°C) | ThODfeed (x2) (g·L−1) | Toutput (x3) (°C) | HPexcess (x4) (%) | τ (x5) (g·h·mol−1) | Tinput (x6) (°C) |
|---|---|---|---|---|---|---|
| 1 | 90 (0) | 13 (0) | 45 (0) | 100 (0) | 165 (0) | 20 (0) |
| 2 | 130 (1) | 13 (0) | 45 (0) | 100 (0) | 165 (0) | 20 (0) |
| 3 | 50 (−1) | 13 (0) | 45 (0) | 100 (0) | 165 (0) | 20 (0) |
| 4 | 110 (0.5) | 23 (0.866) | 45 (0) | 100 (0) | 165 (0) | 20 (0) |
| 5 | 70 (−0.5) | 23 (0.866) | 45 (0) | 100 (0) | 165 (0) | 20 (0) |
| 6 | 110 (0.5) | 2 (−0.867) | 45 (0) | 100 (0) | 165 (0) | 20 (0) |
| 7 | 70 (−0.5) | 2 (−0.867) | 45 (0) | 100 (0) | 165 (0) | 20 (0) |
| 8 | 110 (0.5) | 16 (0.288) | 60 (0.816) | 100 (0) | 165 (0) | 20 (0) |
| 9 | 70 (−0.5) | 16 (0.288) | 60 (0.816) | 100 (0) | 165 (0) | 20 (0) |
| 10 | 110 (0.5) | 9 (−0.289) | 30 (−0.817) | 100 (0) | 165 (0) | 20 (0) |
| 11 | 70 (−0.5) | 9 (−0.289) | 30 (−0.817) | 100 (0) | 165 (0) | 20 (0) |
| 12 | 90 (0) | 20 (0.577) | 30 (−0.817) | 100 (0) | 165 (0) | 20 (0) |
| 13 | 90 (0) | 5 (−0.578) | 60 (0.816) | 100 (0) | 165 (0) | 20 (0) |
| 14 | 110 (0.5) | 16 (0.288) | 48.7 (0.204) | 150 (0.79) | 165 (0) | 20 (0) |
| 15 | 70 (−0.5) | 16 (0.288) | 48.7 (0.204) | 150 (0.79) | 165 (0) | 20 (0) |
| 16 | 90 (0) | 5 (−0.578) | 48.7 (0.204) | 150 (0.79) | 165 (0) | 20 (0) |
| 17 | 90 (0) | 13 (0) | 33.7 (−0.613) | 150 (0.79) | 165 (0) | 20 (0) |
| 18 | 110 (0.5) | 9 (−0.289) | 41.2 (−0.205) | 50 (−0.791) | 165 (0) | 20 (0) |
| 19 | 70 (−0.5) | 9 (−0.289) | 41.2 (−0.205) | 50 (−0.791) | 165 (0) | 20 (0) |
| 20 | 90 (0) | 20 (0.577) | 41.2 (−0.205) | 50 (−0.791) | 165 (0) | 20 (0) |
| 21 | 90 (0) | 13 (0) | 56.2 (0.612) | 50 (−0.791) | 165 (0) | 20 (0) |
| 22 | 110 (0.5) | 16 (0.288) | 48.7 (0.204) | 110 (0.158) | 94 (0.774) | 20 (0) |
| 23 | 70 (−0.5) | 16 (0.288) | 48.7 (0.204) | 110 (0.158) | 94 (0.774) | 20 (0) |
| 24 | 90 (0) | 5 (−0.578) | 48.7 (0.204) | 110 (0.158) | 94 (0.774) | 20 (0) |
| 25 | 90 (0) | 13 (0) | 33.7 (−0.613) | 110 (0.158) | 94 (0.774) | 20 (0) |
| 26 | 90 (0) | 13 (0) | 45 (0) | 59 (−0.633) | 94 (0.774) | 20 (0) |
| 27 | 110 (0.5) | 9 (−0.289) | 41.2 (−0.205) | 89 (−0.159) | 235 (−0.775) | 20 (0) |
| 28 | 70 (−0.5) | 9 (−0.289) | 41.2 (−0.205) | 89 (−0.159) | 235 (−0.775) | 20 (0) |
| 29 | 90 (0) | 20 (0.577) | 41.2 (−0.205) | 89 (−0.159) | 235 (−0.775) | 20 (0) |
| 30 | 90 (0) | 13 (0) | 56.2 (0.612) | 89 (−0.159) | 235 (−0.775) | 20 (0) |
| 31 | 90 (0) | 13 (0) | 45 (0) | 140 (0.632) | 235 (−0.775) | 20 (0) |
| 32 | 110 (0.5) | 16 (0.288) | 48.7 (0.204) | 110 (0.158) | 153 (0.129) | 25 (0.763) |
| 33 | 70 (−0.5) | 16 (0.288) | 48.7 (0.204) | 110 (0.158) | 153 (0.129) | 25 (0.763) |
| 34 | 90 (0) | 5 (−0.578) | 48.7 (0.204) | 110 (0.158) | 153 (0.129) | 25 (0.763) |
| 35 | 90 (0) | 13 (0) | 33.7 (−0.613) | 110 (0.158) | 153 (0.129) | 25 (0.763) |
| 36 | 90 (0) | 13 (0) | 45 (0) | 59 (−0.633) | 153 (0.129) | 25 (0.763) |
| 37 | 90 (0) | 13 (0) | 45 (0) | 100 (0) | 223 (−0.646) | 25 (0.763) |
| 38 | 110 (0.5) | 9 (−0.289) | 41.2 (−0.205) | 89 (−0.159) | 176 (−0.13) | 15 (−0.764) |
| 39 | 70 (−0.5) | 9 (−0.289) | 41.2 (−0.205) | 89 (−0.159) | 176 (−0.13) | 15 (−0.764) |
| 40 | 90 (0) | 20 (0.577) | 41.2 (−0.205) | 89 (−0.159) | 176 (−0.13) | 15 (−0.764) |
| 41 | 90 (0) | 13 (0) | 56.2 (0.612) | 89 (−0.159) | 176 (−0.13) | 15 (−0.764) |
| 42 | 90 (0) | 13 (0) | 45 (0) | 140 (0.632) | 176 (−0.13) | 15 (−0.764) |
| 43 | 90 (0) | 13 (0) | 45 (0) | 100 (0) | 106 (0.645) | 15 (−0.764) |
| Case | Xphenol (%) | XThOD (%) | XTOC (%) | XH2O2 (%) | ηH2O2 (%) | ηE (%) |
|---|---|---|---|---|---|---|
| 1 | 92.4 | 62.7 | 57.8 | 67.5 | 73.13 | 110.0 |
| 2 | 99.1 | 76.9 | 72.9 | 78.6 | 79.35 | 110.4 |
| 3 | 63.0 | 23.1 | 17.2 | 34.0 | 43.29 | 62.5 |
| 4 | 99.9 | 77.8 | 73.8 | 81.9 | 77.09 | 152.2 |
| 5 | 97.6 | 64.0 | 58.4 | 76.2 | 65.59 | 178.6 |
| 6 | 23.0 | 9.3 | 7.2 | 9.7 | 63.83 | 70.1 |
| 7 | 7.9 | 2.4 | 1.7 | 2.9 | 47.90 | 48.3 |
| 8 | 99.0 | 76.3 | 72.2 | 79.5 | 77.72 | 110.6 |
| 9 | 91.0 | 52.0 | 45.9 | 61.8 | 63.49 | 93.4 |
| 10 | 90.4 | 65.3 | 61.0 | 67.6 | 77.23 | 112.4 |
| 11 | 66.2 | 28.7 | 23.1 | 34.2 | 57.67 | 99.3 |
| 12 | 98.6 | 73.5 | 69.1 | 79.6 | 74.18 | 169.3 |
| 13 | 56.3 | 26.9 | 22.4 | 29.1 | 65.95 | 50.9 |
| 14 | 100.0 | 78.0 | 74.1 | 60.5 | 69.76 | 125.7 |
| 15 | 97.7 | 64.2 | 58.6 | 58.0 | 57.67 | 137.2 |
| 16 | 70.8 | 38.6 | 33.6 | 29.1 | 65.94 | 70.3 |
| 17 | 98.5 | 73.4 | 68.9 | 57.2 | 68.71 | 134.9 |
| 18 | 65.5 | 39.6 | 35.5 | 80.1 | 75.80 | 89.8 |
| 19 | 42.1 | 15.5 | 11.6 | 33.7 | 58.68 | 67.0 |
| 20 | 79.1 | 46.5 | 41.3 | 95.2 | 74.26 | 120.8 |
| 21 | 69.8 | 37.6 | 32.6 | 77.2 | 72.15 | 74.9 |
| 22 | 97.6 | 74.4 | 70.3 | 71.0 | 77.15 | 121.1 |
| 23 | 83.6 | 43.2 | 37.0 | 47.7 | 60.32 | 102.8 |
| 24 | 42.7 | 18.2 | 14.6 | 18.2 | 62.41 | 62.9 |
| 25 | 86.1 | 54.5 | 49.3 | 54.0 | 71.24 | 118.8 |
| 26 | 65.5 | 33.9 | 29.0 | 58.9 | 70.48 | 87.4 |
| 27 | 91.8 | 66.9 | 62.7 | 76.6 | 77.86 | 101.7 |
| 28 | 72.6 | 33.2 | 27.3 | 43.2 | 60.18 | 81.9 |
| 29 | 98.5 | 73.4 | 69.0 | 87.1 | 75.40 | 153.9 |
| 30 | 93.7 | 64.7 | 59.8 | 76.7 | 74.31 | 96.3 |
| 31 | 99.3 | 75.3 | 71.1 | 62.9 | 69.22 | 121.5 |
| 32 | 99.5 | 77.0 | 73.0 | 74.5 | 76.86 | 130.5 |
| 33 | 91.9 | 53.5 | 47.4 | 59.6 | 62.46 | 131.3 |
| 34 | 57.5 | 27.7 | 23.2 | 27.7 | 65.61 | 71.3 |
| 35 | 93.5 | 64.4 | 59.5 | 64.4 | 72.55 | 136.4 |
| 36 | 75.1 | 42.5 | 37.4 | 74.0 | 72.66 | 101.1 |
| 37 | 95.4 | 67.5 | 62.7 | 72.8 | 73.70 | 122.1 |
| 38 | 88.4 | 62.9 | 58.6 | 71.6 | 77.45 | 94.8 |
| 39 | 64.5 | 27.6 | 22.1 | 35.7 | 58.42 | 70.3 |
| 40 | 97.5 | 71.4 | 66.8 | 84.2 | 75.12 | 141.3 |
| 41 | 90.7 | 60.3 | 55.2 | 71.0 | 73.61 | 86.6 |
| 42 | 98.2 | 72.9 | 68.4 | 59.7 | 69.76 | 111.3 |
| 43 | 85.5 | 53.7 | 48.6 | 58.0 | 71.89 | 96.5 |
| Coefficients | p-Values | |||||||||||
|---|---|---|---|---|---|---|---|---|---|---|---|---|
| Xphenol (%) | XThOD (%) | XTOC (%) | XH2O2 (%) | ηH2O2 (%) | ηE (%) | Xphenol (%) | XThOD (%) | XTOC (%) | XH2O2 (%) | ηH2O2 (%) | ηE (%) | |
| β0 | 92.5 | 61.4 | 56.2 | 66.2 | 73.0 | 109.5 | <1·10−5 | <1·10−5 | <1·10−5 | <1·10−5 | <1·10−5 | <1·10−5 |
| β1 | 15.2 | 25.1 | 26.2 | 22.1 | 16.5 | 13.9 | <1·10−5 | <1·10−5 | <1·10−5 | <1·10−5 | <1·10−5 | <1·10−5 |
| β2 | 40.1 | 36.1 | 35.1 | 40.8 | 7.1 | 63.2 | <1·10−5 | <1·10−5 | <1·10−5 | <1·10−5 | <1·10−5 | <1·10−5 |
| β3 | −25.4 | <1·10−5 | ||||||||||
| β4 | 16.6 | 18.4 | 18.4 | −13.1 | −3.0 | 18.1 | <1·10−5 | <1·10−5 | <1·10−5 | <1·10−5 | <1·10−5 | <1·10−5 |
| β5 | −10.2 | −11.7 | −11.8 | −12.5 | −1.9 | −8.0 | <1·10−5 | <1·10−5 | <1·10−5 | <1·10−5 | 0.00084 | 4.0·10−4 |
| Β6 | 10.0 | 2.5·10−5 | ||||||||||
| β11 | −10.8 | −11.5 | −11.4 | −10.1 | −11.8 | −23.1 | 0.002 | 0.001 | 0.003 | 0.001 | <1·10−5 | <1·10−5 |
| β22 | −43.2 | −28.7 | −26.2 | −29.2 | −8.6 | 9.5 | <1·10−5 | <1·10−5 | <1·10−5 | <1·10−5 | <1·10−5 | 0.024 |
| β44 | −13.2 | −11.3 | −10.8 | −4.3 | −8.3 | <1·10−5 | 6.5·10-4 | 0.001 | 7.184 | 0.027 | ||
| β55 | −4.5 | −3.9 | −3.7 | −4.2 | −1.0 | −3.9 | 0.119 | 0.192 | 0.237 | 0.100 | 0.264 | 0.272 |
| β12 | −10.0 | −4.4 | −3.3 | −27.4 | 0.032 | 0.288 | 0.02948 | 7.1·10−5 | ||||
| β13 | 12.6 | 0.071 | ||||||||||
| β14 | −10.1 | −7.7 | −6.5 | −27.2 | −2.0 | −14.4 | 0.080 | 0.161 | 0.265 | 1.1·10−5 | 0.272 | 0.049 |
| β24 | −9.8 | 6.5 | −12.7 | −5.6 | 26.5 | 0.091 | 0.297 | 0.021 | 0.00044 | 6.7·10−4 | ||
| β25 | 13.6 | 6.6 | 6.1 | 2.2 | 0.025 | 0.275 | 0.264 | 0.241 | ||||
| R2 | 0.973 | 0.968 | 0.963 | 0.976 | 0.980 | 0.981 | ||||||
| R2ajust. | 0.962 | 0.958 | 0.951 | 0.967 | 0.971 | 0.971 | ||||||
| S.E. * | 4.27 | 4.42 | 4.71 | 3.97 | 1.39 | 5.27 | ||||||
| F | 89.4 | 95.7 | 83.0 | 114.3 | 120.2 | 101.3 | <1·10−5 | <1·10−5 | <1·10−5 | <1·10−5 | <1·10−5 | <1·10−5 |
| Responses | Operating Conditions | ||||||
|---|---|---|---|---|---|---|---|
| Variable | Optimized Value (%) | TR (x1) (°C) | ThODfeed (x2) (g L−1) | TS-06 (x3) (°C) | HPexcess (x4) (%) | τ (x5) (g·h·mol−1) | TS-03 (x6) (°C) |
| >100.0 * | 106 (0.406) | 16.2 (0.256) | n.a. ** | 123 (0.377) | 232 (−0.747) | n.a. | |
| 91.6 | 116 (0.672) | 20.8 (0.628) | n.a. | 137 (0.586) | 235 (−0.775) | n.a. | |
| 96.1 | 126 (0.921) | 22.5 (0.768) | n.a. | 150 (0.791) | 235 (−0.775) | n.a. | |
| >100.0 * | 130 (1.000) | 21.9 (0.715) | n.a. | 50 (−0.791) | 235 (−0.775) | n.a. | |
| >100.0 * | 130 (1.000) | 23.8 (0.866) | n.a. | 50 (−0.791) | 94 (0.774) | n.a. | |
| 241.7 | 62 (−0.685) | 23.8 (0.866) | 30 (−0.817) | 150 (0.79) | 235 (−0.775) | 25 (0.763) | |
| ThODfeed | TR | Toutput | HPexcess | τ | Tinput | Xphenol | XThOD | XTOC | XH2O2 | ηH2O2 | ηE |
|---|---|---|---|---|---|---|---|---|---|---|---|
| (g L−1) | (°C) | (°C) | (%) | (g·h·mol−1) | (°C) | (%) | (%) | (%) | (%) | (%) | (%) |
| 2.38 | 129 | 30 | 59 | 235 | 20 | 66 [37] | 44 [12] | 41 [19] | 76 [55] | 78 [69] | 95 [100] |
| 4.76 | 123 | 32 | 73 | 235 | 20 | 91 [60] | 67 [32] | 63 [36] | 93 [61] | 80 [73] | 113 [100] |
| 7.14 | 118 | 38 | 88 | 235 | 20 | 99 [79] | 76 [50] | 72 [50] | 89 [66] | 79 [76] | 131 [100] |
| 9.52 | 113 | 46 | 100 | 235 | 20 | 100 [92] | 78 [63] | 74 [62] | 83 [71] | 77 [78] | 146 [100] |
| 11.9 | 110 | 55 | 100 | 235 | 20 | 100 [100] | 78 [71] | 74 [70] | 84 [78] | 76 [79] | 159 [100] |
| 14.3 | 106 | 60 | 100 | 235 | 20 | 100 [>100] | 78 [78] | 74 [75] | 85 [84] | 75 [79] | 177 [104] |
| 16.7 | 103 | 60 | 100 | 235 | 20 | 100 [>100] | 78 [81] | 74 [78] | 87 [87] | 74 [79] | 203 [115] |
| 19.0 | 100 | 60 | 100 | 235 | 20 | 100 [>100] | 78 [83] | 74 [80] | 88 [88] | 72 [77] | 231 [127] |
| 21.4 | 96 | 60 | 100 | 235 | 20 | 100 [99] | 78 [82] | 74 [79] | 89 [87] | 71 [76] | 262 [140] |
| 23.8 | 93 | 60 | 100 | 235 | 20 | 100 [91] | 78 [79] | 74 [76] | 90 [84] | 71 [73] | 296 [154] |
© 2020 by the authors. Licensee MDPI, Basel, Switzerland. This article is an open access article distributed under the terms and conditions of the Creative Commons Attribution (CC BY) license (http://creativecommons.org/licenses/by/4.0/).
Share and Cite
Diaz de Tuesta, J.L.; Quintanilla, A.; Moreno, D.; Ferro, V.R.; Casas, J.A. Simulation and Optimization of the CWPO Process by Combination of Aspen Plus and 6-Factor Doehlert Matrix: Towards Autothermal Operation. Catalysts 2020, 10, 548. https://doi.org/10.3390/catal10050548
Diaz de Tuesta JL, Quintanilla A, Moreno D, Ferro VR, Casas JA. Simulation and Optimization of the CWPO Process by Combination of Aspen Plus and 6-Factor Doehlert Matrix: Towards Autothermal Operation. Catalysts. 2020; 10(5):548. https://doi.org/10.3390/catal10050548
Chicago/Turabian StyleDiaz de Tuesta, Jose L., Asunción Quintanilla, Daniel Moreno, Víctor R. Ferro, and Jose A. Casas. 2020. "Simulation and Optimization of the CWPO Process by Combination of Aspen Plus and 6-Factor Doehlert Matrix: Towards Autothermal Operation" Catalysts 10, no. 5: 548. https://doi.org/10.3390/catal10050548
APA StyleDiaz de Tuesta, J. L., Quintanilla, A., Moreno, D., Ferro, V. R., & Casas, J. A. (2020). Simulation and Optimization of the CWPO Process by Combination of Aspen Plus and 6-Factor Doehlert Matrix: Towards Autothermal Operation. Catalysts, 10(5), 548. https://doi.org/10.3390/catal10050548

