Abstract
The synthesis and characterization of the new Ir(I)-complexes [IrCl(cod)(Bnmim)], [Ir(cod)(emim)(PPh3)]Cl and [Ir(cod)(Bnmim)(mtppms)] are reported. The zwitterionic complexes [Ir(cod)(NHC)(mtppms)] and Na2[Ir(cod)(NHC)(mtppts)] (NHC = emim, bmim or Bnmim; mtppms-Na and mtppts-Na3 = sodium salts of mono- and trisulfonated triphenylphosphine, respectively) were found to be effective precatalysts for transfer hydrogenation of aromatic and aliphatic ketones in basic 2-propanol-water mixtures with initial turnover frequencies up to 510 h−1 at 80 °C, and their catalytic performances were compared to those of [IrCl(cod)(NHC)] complexes (NHC = emim, bmim, Bnmim, IMes) and [Ir(cod)(emim)(PPh3)]Cl. Three of the catalysts were characterized by single-crystal X-ray diffraction. The reaction rates of the transfer hydrogenation of acetophenone and benzophenone showed strong dependence on the water concentration of the solvent, indicating preferential solvation of the catalytically active metal complexes.
1. Introduction
Hydrogenation of ketones is an important synthetic transformation leading to alcohols which themselves are valuable products or intermediates for the synthesis of pharmaceuticals, flavours and fragrances, crop protection agents, etc. Instead of hydrogen gas, transfer hydrogenation processes apply suitable hydrogen donors, such as formic acid, aqueous solutions of formate salts, or appropriate secondary alcohols, e.g., 2-propanol. An important advantage of transfer hydrogenations over reductions with H2 is in the use of an H-donor which is usually a liquid and much less flammable than gaseous H2. No wonder, that transfer hydrogenation has a long and fruitful history, and complexes of several transition metals, such as those of Ru [1,2,3,4,5,6,7,8,9,10,11,12,13], Rh [14,15,16] and Ir [17,18,19,20,21,22,23,24,25,26,27,28,29,30,31,32,33,34], and many others have been used to catalyse hydrogen transfer reductions. The various aspects of transfer hydrogenation are covered by several excellent reviews [1,2,3,4,20,21,22,35].
The most abundant homogeneous catalysts of transfer hydrogenations contain tertiary phosphine ligands, however, complexes with N-heterocyclic carbene (NHC) ligands are also studied in increasing numbers by several research groups [36,37,38,39,40,41].
Iridium complexes, have a long history in catalysis and were applied also as transfer hydrogenation catalysts [17,18,19,20,21,22,23,24,25,26,27,28,29,30,31,32,33,34,42]. Complexes with NHC ligands have proved extremely versatile catalysts in this field, too. For example, Nolan and co-workers synthesized analogs to Crabtree’s catalyst with the general formula [Ir(cod)(py)(NHC)]PF6 (NHC being ICy = 1,3-bis(cyclohexyl)imidazole-2-ylidene, IPr = 1,3-bis(2,6-diisopropylphenyl)imidazole-2-ylidene, IMes = 1,3-bis(2,4,6-trimethylphenyl)imidazole-2-ylidene and SIMes = 4,5-dihydro-1,3-bis(2,4,6-trimethyphenyl)imidazole-2-ylidene) and studied their catalytic activity in hydrogenation of alkenes and in transfer hydrogenation of ketones [30]. In general, replacement of the PCy3 ligand by an NHC ligand led to a higher catalytic hydrogenation activity of the complexes and, in addition, increased their stability. Similar Ir(I)-phosphine-NHC complexes with IMes and IMe (1,3-dimethylimidazole-2-ylidene) as ligands were investigated by Buriak et al. with NMR spectroscopy and X-ray crystallography [24,25]. The complexes were applied as catalysts for alkene hydrogenations under mild conditions (1 bar, 25 °C) and the Ir(I)-phosphine-NHC catalysts were found more active than their counterparts containing no tertiary phosphine (PR3) ligands.
Transfer hydrogenations of ketones, including acetophenone, were studied recently by Oro and co-workers with Ir(I)-NHC catalysts and 2-propanol as hydrogen donor (Scheme 1). In case of cyclohexanone, the optimum substrate/catalyst/base ratio was found to be 1000/1/5 (with KOH as a base at 80 °C), and the most efficient catalyst was [Ir(cod)(NCCH3)(1-methyl-3-(2′-methoxybenzyl)imidazole-2-ylidene)]+. In their later studies, Ir(III)-bis-NHC complexes were also synthesized and applied as catalysts for transfer hydrogenation of ketones [18,19]. Among them, [Ir(I)2(CH3CN)2{κ2C,C′-bis(NHCMe)}]BF4 (bis(NHCMe) = methylene-bis(N-methyl)imidazole-2-ylidene) was used as catalyst in transfer hydrogenation of acetophenone and afforded 98% conversion in 5 h with a S/C = 100, in 2-PrOH at 80 °C [19].
Scheme 1.
Catalytic transfer hydrogenation of acetophenone in basic 2-propanol.
With the aim of establishing the electronic and steric effects of the NHC ligands on the catalytic properties of Ir(I)-NHC complexes, transfer hydrogenation of acetophenone from 2-PrOH was investigated in detail by Kühn and co-workers with a series of Ir(I)-NHC catalysts containing various NHC ligands based on imidazole, benzimidazole and imidazolidine [29]. In general, the complexes showed useful catalytic properties, revealing that the catalytic activity decreased with the increasing steric bulk of the N-heterocyclic carbene ligands. With the same catalysts, other substrates were also efficiently reduced by transfer hydrogenation.
For long, we have been interested in the use of water-soluble Ir(I)-PR3-NHC complexes as catalysts for various transformations in fully or partially aqueous media [31,32,33,34]. [Ir(cod)(NHC)(mtppms)], Na2[Ir(cod)(NHC)(mtppts)] (NHC = emim or bmim; mtppms-Na and mtppts-Na3 = sodium salts of mono- and trisulfonated triphenylphosphine, respectively) and [Ir(bmim)(cod)(pta)]Cl (pta = 1,3,5-triaza-7-phosphaadamantane) were found active catalysts for hydrogenation of alkenes, dienes, alkynes and 2-oxoacids, and for the redox isomerization of allylic alcohols [31]. In addition, [Ir(cod)(emim)(mtppms)] catalysed with outstanding activity the hydrogenation of bicarbonate, as well as the dehydrogenation of formate resulting in a reversible H2 storage/delivery process based on aqueous solution of NaHCO3/NaHCO2 [32,33]. Our ongoing studies showed that these Ir(I)-PR3-NHC catalysts are also active in the racemization of optically active secondary alcohols which involve alcohol dehydrogenation followed by ketone hydrogenation. On the basis of these previous results we undertook a study of the transfer hydrogenation of ketones from basic 2-propanol as H-donor and with [Ir(cod)(NHC)(mtppms)] and Na2[Ir(cod)(NHC)(mtppts)] complexes as catalysts, and the results are presented in the followings.
2. Results and Discussion
2.1. Catalysts Used for Transfer Hydrogenation of Ketones from Basic 2-Propanol and Solid-State Structural Characterization of [IrCl(Cod)(Emim)] (1), [IrCl(Cod)(Bnmim)] (3) and [Ir(Cod)(Emim)(Mtppms)] (6)
In this work, we explored the catalytic properties of several Ir(I)-NHC-PR3 complexes in transfer hydrogenation of ketones in basic 2-propanol. With this aim, NHC ligands with various N-substituents were used, while the PR3 ligands included PPh3, and the water-soluble monosulfonated and trisulfonated triphenylphosphines mtppms-Na, and mtppts-Na3, respectively. The structures of the catalysts together with their numbering scheme are shown in Figure 1.
Figure 1.
The catalysts used in this work for transfer hydrogenation of ketones from 2-propanol.
The solid-state structures of 1, 3 and 6 have been determined by single-crystal X-ray diffraction methods and ORTEP diagrams are shown in Figure 2, Figure 3 and Figure 4 together with the most important bond distances and angles.
Figure 2.
ORTEP view of the solid-state structure of [IrCl(cod)(emim)] (1) at 50% probability thermal ellipsoids showing the crystallographic labelling scheme. Selected bond distances (Å) and angles (deg): Ir(1)–C(9) 2.030(6); C(9)=C(10) 1.325(9); Ir(1)–Cl(1): 2.3568(15); Ir(1)–C(9)–Cl(1) 89.18(16).
Figure 3.
ORTEP view of the solid-state structure of [IrCl(cod)(Bnmim)] (3) at 50% probability thermal ellipsoids, showing the crystallographic labelling scheme. Selected bond distances (Å) and angles (deg): Ir(1)–C(9) 2.029(11) and Ir(2)–C(29) 2.043(10); C(9)=C(10) 1.306(18) and C(30)=C(31) 1.297(19); Ir(1)–Cl(1) 2.181(11) and Ir(2)–Cl(2) 2.349(3); Ir(1)–C(9)–Cl(1) 89.2(3) and Ir(2)–C(29)–Cl(2) 88.4(3).
Figure 4.
ORTEP view of the solid-state structure of [Ir(cod)(emim)(mtppms)] (6) at 20% probability thermal ellipsoids, showing the crystallographic labelling scheme. Disordered CHCl3 molecules are omitted for clarity. Selected bond distances (Å) and angles (deg): Ir(1)–C(9) 2.037(11); C(9)=C(10) 1.29(3); Ir(1)–P(1) 2.316(3); Ir(1)–C(9)–P(1): 91.6(3).
Earlier, we have synthesized [IrCl(cod)(emim)] (1) [31] and the bromo analogue of 3, i.e., [IrBr(cod)(Bnmim)] has also been prepared [43] however, the solid-state structures of these complexes have not been determined. In 1 and 3, the Ir-Ccarbene distances do not differ significantly from the respective bond distances found in similar [IrCl(cod)(NHC)]-type complexes with aliphatic wingtip chains, in which the average Ir-Ccarbene distance is 2.039 Å (CSD Version 5.40, August 2019). In the close analogue of 1, i.e., [IrCl(cod)(bmim)] (2), d(Ir-Ccarbene) = 2.024(2) Å [44].
In the crystals of [IrCl(cod)(Bnmim)] (3), the asymmetric unit contains two neutral molecules with Ir-Ccarbene bond distances 2.029(11)Å és 2.043(10)Å, respectively. These distances are close to those determined for [IrCl(cod)(L1)] (L1 = 1-[(4′-iodophenyl)methyl]-3-methylimidazolin-2-ylidene), 2.034(7) Å [45] and for [IrCl(cod)(L2)] (L2 = 1-methyl-3-(pentamethylbenzyl)imidazol-2-ylidene), 2.035(7) Å [46], and compare well with the average of Ir-Ccarbene distances observed in other [IrCl(cod)(NHC)] complexes.
The asymmetric unit of 6 contains the neutral [Ir(cod)(emim)(mtppms)] together with three disordered solvent molecules. Similarly to [Ir(bmim)(cod)(mtppms)] [31], the compound is an inner salt (zwitterion). In [Ir(emim)(cod)(mtppms)] the Ir-P distance is 2.316(3) Å, very close to the one determined for [Ir(bmim)(cod)(mtppms)], 2.301(8) Å. The same is found for the Ir-Ccarbene bond distances: 2.037(11) (6), and 2.033(11) ([Ir(bmim)(cod)(mtppms)]), as well as in case of the Ir-Ccarbene-P bond angles: 91.6(3) in 6, and 90.92(1) in [Ir(bmim)(cod)(mtppms)]. For all the three complexes (1, 3 and 6) the C(10)=C(11) bond distances are around 1.3 Å, characteristic for double bonds between sp2 carbon atoms.
2.2. General Features of Transfer Hydrogenation of Ketones with Ir(I)-NHC-PR3 Catalysts
At 80 °C, complexes 1–9 catalysed the reduction of ketones by hydrogen transfer from basic 2-propanol with remarkable activity. In the first few minutes, the colour of the reaction mixtures turned from light orange yellow/red to light brown, and this colour persisted even after the reaction came to a halt. No other products than the corresponding alcohols (in case of benzylideneacetone the saturated ketone and unsaturated alcohol, too) were detected by gas chromatography. The activities of the various catalysts were compared in the transfer hydrogenation of acetophenone (Table 1). Turnover frequencies (TOF = mol reacted substrate × (mol catalyst × time)−1) in the 360–670 h−1 range were determined, except the case of [IrCl(cod)(IMes)] (4), the use of which led to a TOF = 110 h−1. Under comparable conditions but using [IrBr(cod)(Bnmim)] as the catalyst, Perís and co-workers determined a TOF = 158 h−1 in the transfer hydrogenation of acetophenone [43]; the chloride-containing analogue [IrCl(cod)(Bnmim)] (3) afforded the 2-phenylethanol product with a TOF = 670 h−1, which shows the large influence of the halide ligand on the catalyst’s activity. Coordination of PPh3 remarkably increased the catalytic activity (1 vs. 5), while the effect of mtppms-Na was slightly positive with emim (1 vs. 6), slightly negative with bmim (2 vs. 8) and strongly negative with Bnmim (3 vs. 9) as the NHC ligands. The coordination of mtppts-Na3 also led to pronounced loss of the catalytic activity (1 vs. 7). These data do not allow far-reaching conclusions on the effects of ligands in this series of Ir(I)‑NHC-PR3 catalysts, however, it seems, that the basicity of both the NHC and the phosphine ligands, as well as their combined steric bulk, play important roles. It should also be considered, that coordination of mtppms-Na or mtppts-Na3 results in chloride-free complexes, such as 6–9. Although the sulfonate-groups of the phosphine ligands compensate the positive charge on Ir(I), and may loosely coordinate to it, the absence of chloride from the coordination sphere may facilitate the creation of an easy-to-fill coordination site for the substrates.
Table 1.
Transfer hydrogenation of acetophenone with catalysts 1–9.
A more detailed comparison of catalysts 1–6 and 9 in the transfer hydrogenation of five different ketones showed the same activity pattern (Table S1). In the case of aromatic ketones and cyclohexanone, catalysts 1, 2, 5, and 6 showed similar high activities, with yields close to or above 90%. 3-Octanone was reduced with lower rates, and in this case, the activities of catalysts 1 and 2 were approximately half of those of 5 and 6. With all substrates, the activity of catalyst 4, containing IMes as the NHC ligand, was largely inferior in comparison to all other complexes.
The reactivity of various ketones in this hydrogen transfer reduction was investigated with the use of [Ir(cod)(emim)(mtppms)] (6) as the catalyst. It is seen from the data of Table 2, that 2- and 4-chloroacetophenone, as well as 4-aminoacetophenone (entries 2, 3 and 4, respectively), showed somewhat higher reactivity than acetophenone. In contrast, the 2-hydroxyacetophenone derivatives (entries 5 and 6) were completely unreactive, most probably due to the strong hydrogen bonds which form between the ketone oxygen and the –OH group. Benzophenone was actively reduced in this hydrogen transfer system (entry 10) as was cyclohexanone (entry 7). The reactivity of aliphatic 2-alkanones depended on the chain length of the alkyl substituent on C2 (entries 8, 9); 3-octanone was less reactive than 2-butanone.
Table 2.
Transfer hydrogenation of various ketones with [Ir(cod)(emim)(mtppms)] (6) as a catalyst.
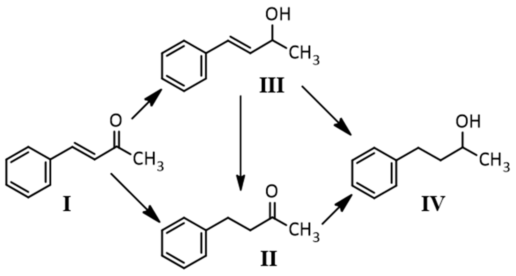
Benzylideneacetone—as a typical α, β-unsaturated ketone—is often employed for testing new catalysts with regard to their selectivity in the hydrogenation of C=C and C=O bonds (Scheme 2).
Scheme 2.
Hydrogenation of benzylideneacetone.
It was found, that transfer hydrogenation of benzylideneacetone (I) with 6 as the catalyst furnished all three possible products, II, III and IV, with no pronounced selectivity (Table 2, Figure 5). The primary product of the reaction is 4-phenyl-2-butanone (II), and its concentration in the reaction mixture after 20 min showed a maximum (46%) which was approximately four times higher than that of the unsaturated alcohol III (10%) (Scheme 2). Nevertheless, both II and III were quickly hydrogenated further to 4-phenyl-2-butanol (IV). Lowering the reaction temperature to 60 °C or to 50 °C did not make the reaction significantly more selective.
Figure 5.
Time course of the transfer hydrogenation of benzylideneacetone (●) from basic 2-propanol catalysed by [Ir(cod)(emim)(mtppms)] (6). Conditions: n (catalyst) = 0.01 mmol, n (substrate) = 1.0 mmol, n (t-BuOK) = 0.05 mmol, T = 80 °C, V (2-PrOH) = 1.0 mL; [S]/[C]/[B] = 100/1/5. Products: 4-phenyl-but-3-en-2-ol (●), 4-phenyl-2-butanone (●), 4-phenyl-2-butanol (●).
The stabilities of catalysts 1 and 6 were investigated by repeated additions of acetophenone to the reaction mixture following 1 h reaction time periods. Note that no additional base was added to the reaction mixture. The slight volume increases from cycle to cycle, and the effect of remaining acetophenone from the previous cycle was not accounted for. Figure 6 shows convincingly, that the investigated catalysts retained their high activity, and even in the 5th run, conversions as high as 85% and 80% were observed with catalysts 1 and 6, respectively. This is a remarkable feature of the transfer hydrogenation compared to hydrogenation with H2 gas. Namely, Buriak et al. have found that in hydrogenations of alkenes with gaseous H2, Ir-NHC-phosphine catalysts, similar to 5–9, lost their activity in reaction with H2 following complete hydrogenation of the olefin [24,25]. In the specific case of [Ir(cod)(IMe)P(nBu)3]PF6 the final, inactive solution contained a mixture of polynuclear Ir(I)-hydrides. (However, the stability could be increased by proper choice of the ligands, such as the combination of a basic, bulky PR3, a saturated NHC and a sterically demanding anion, found e.g., in [Ir(cod)(SIMes){P(nBu)3}]BARF (BARF = tetrakis[3,5-bis(trifluoromethyl)phenyl]borate). Such complexes showed long-term stability under hydrogen atmosphere [25].
Figure 6.
Catalytic activities of 1 and 6 upon repeated additions of acetophenone. Conditions: n (catalyst) = 0.01 mmol, n (substrate) = 0.5 mmol/cycle, n (t-BuOK) = 0.05 mmol, T = 80 °C, V (2-PrOH) = 1.0 mL, t = 1 h; [S]/[C]/[B] = 50/1/5 in each cycle.
2.3. Studies on the Kinetics of the Transfer Hydrogenation of Acetophenone
Transfer hydrogenation of acetophenone was investigated in detail with the use of [Ir(cod)(emim)(mtppms)] (6) as the catalyst. Since the reaction proceeds in basic solution, a screening of various bases was undertaken. It was established that among t-BuOK, KOH, NaOH, Cs2CO3, CsHCO3, HCO2Cs and HCO2Na, the most effective were t-BuOK, KOH and NaOH; t-BuOK was used for further studies. It was also found, that the conversion of acetophenone as a function of the [t-BuOK]/[Ir] ([B]/[C]) concentration ratio, showed saturation above [B]/[C] = 5 (Figure S1), consequently, this ratio was used in most of our measurements.
The time course of the reaction with two catalysts is shown in Figure 7. Initially, the reaction catalysed by [IrCl(cod)(emim)] (1) was somewhat faster than the one catalysed by [Ir(cod)(emim)(mtppms)] (6), nevertheless with both catalysts a saturation value of conversion was obtained in 2 h ([S]/[C] = 250). The incomplete conversion at this point, 82%, is most probably due to the reversible nature of hydrogen transfer (Scheme 1). The reactions were run in a closed Schlenk vessel, so the product of 2-propanol dehydrogenation, i.e., acetone, was not removed and could act as a hydrogen acceptor in the reverse reaction. This effect was even more pronounced at high [S]/[C] ratios, namely, the equilibrium conversion with 5 mmol acetophenone, [S]/[C] = 500 was only 68% (Figure 7).
Figure 7.
Time course of the transfer hydrogenation of acetophenone from basic 2-propanol catalysed by [IrCl(cod)(emim)] (1, ●) and [Ir(cod)(emim)(mtppms)] (6, ● and ■). Conditions: n (catalyst) = 0.01 mmol, T = 80 °C, V (2-PrOH) = 1.0 mL; a (● and ●): n (acetophenone) = 2.5 mmol, n (t-BuOK) = 0.5 mmol, [S]/[C]/[B] = 250/1/50; b (■): n (acetophenone) = 5 mmol, n (t‑BuOK) = 0.1 mmol, [S]/[C]/[B] = 500/1/10.
The conversion of acetophenone decreased almost linearly as a function of its amount (Figure S2). The data allowed the calculation of turnover numbers (TONs, TON = mol reacted substrate/mol catalyst) shown in Figure 8, revealing saturation against the amount of acetophenone.
Figure 8.
The effect of increasing substrate amount on the turnover number of the catalyst in the transfer hydrogenation of acetophenone from basic 2-propanol catalysed by [Ir(cod)(emim)(mtppms)] (6, ●). Conditions: n (catalyst) = 0.01 mmol, n (t-BuOK) = 0.05 mmol, T = 80 °C, t = 30 min, V (2-PrOH) = 1.0 mL; [S]/[C] = 100–500, [C]/[B] = 1/5.
The reaction rate increased according to a saturation curve with increasing catalyst concentrations (Figure S3). This finding is in agreement with the observations of Buriak and co-workers, who rationalized it by assuming that the catalysts formed an inactive dimeric species in their resting state [25]. With the same assumption for our case, too, the reaction rate (expressed—with the known limitations—as the conversion of the substrate in a given time) should be a linear function of the square root of the catalyst concentration. Indeed, such behaviour was found experimentally (Figure 9). However, it is also probable, that the rate of the back reaction in Scheme 1, i.e., hydrogenation of acetone by hydrogen transfer from 1-phenylethanol, increases with increasing concentration of the latter in the reaction mixture at higher conversions, while the opposite happens to the transfer hydrogenation of acetophenone. This may cause a saturation-type variation of the reaction rate as a function of both the catalyst and the substrate amounts. This assumption is supported by the observation, that the equilibrium conversion of acetophenone is only 68% at [S]/[C] = 500; Figure 7); much smaller than the one determined at lower substrate concentrations (e.g., 91% at 1 mmol acetophenone, [S]/[C] = 100; Table 2). Both the dimerization of the immediate pre-catalyst in its resting state and the equilibrium nature of the reaction (Scheme 1) would lead to the observed saturation-type dependence of the conversion of acetophenone on the concentration of 6.
Figure 9.
Conversion of acetophenone as a function of the square root of the catalyst concentration in its transfer hydrogenation from basic 2-propanol catalysed by [Ir(cod)(emim)(mtppms)] (6, ●). Conditions: n (acetophenone) = 5 mmol, n (t-BuOK) = 0.1 mmol, T = 80 °C, t = 30 min, V (2-PrOH) = 1.0 mL. [S]/[C] = 250-1000, [B]/[C] = 5–20.
A study of the temperature dependence of the conversion of acetophenone to 2-phenylethanol revealed an induction period at 50 °C which was still detectable at 60 °C. Conversely, at the temperatures of 70 °C and 80 °C, the reactions started with no obvious induction periods and the conversion varied linearly with the reaction time up till 62% (Figure 10). Induction periods in a catalytic reaction may signal the relatively slow formation of the real catalytic species or its immediate pre-catalyst. However, despite all our efforts, we did not succeed in establishing the composition and structure of such species in solutions of 6 in basic 2-propanol; the hydride region of the 1H NMR spectra always contained a large number of resonances independent of the treatment of these solutions (short or long reaction times at ambient or elevated temperatures).
Figure 10.
The effect of temperature on the transfer hydrogenation of acetophenone catalysed by [Ir(cod)(emim)(mtppms)] (6). Conditions: n (catalyst) = 0.01 mmol, n (acetophenone) = 1.0 mmol, n (t-BuOK) = 0.05 mmol, T = ●50 °C, ●60 °C, ●70 °C, ●80 °C, V (2-PrOH) = 1.0 mL; [S]/[C]/[B] = 100/1/5.
2.4. The Effect of Water on the Reduction of Acetophenone by Transfer Hydrogenation from Basic 2-Propanol with Ir(I)-NHC and Ir(I)-NHC-PR3 Complexes
Water is the greenest solvent and there is a strong tendency to replace organic solvents with it as much as possible. However, there are numerous examples in the literature that water—due to its high polarity and ability to form strong hydrogen bonds—may significantly influence the rates and selectivities of the reactions, and may even open up new mechanistic pathways. Such solvent effects have been recently reviewed [47]. For example, Williams and co-workers have found that in 2-propanol-water mixtures with 34% (v/v) or 51% (v/v) water concentration (x(2-propanol) = 0.31 and 0.18; x = mole fraction), respectively, both the rates and enantioselectivities of acetophenone transfer hydrogenation from 2-propanol increased considerably [48]. In contrast, Landaeta et al. have determined the decrease of acetophenone conversion from 91% to 19% upon replacing dry 2-propanol as a solvent with a 2-propanol-water mixture containing 5% (v/v) water (x(2-propanol) = 0.82) [28]. We have also disclosed that transfer hydrogenation of aldehydes from aqueous sodium formate was largely accelerated upon addition of 2-propanol [49,50]. For these reasons, we undertook the study of transfer hydrogenation of acetophenone and benzylideneacetone in 2-propanol-water mixtures in a wide concentration range (18–100 v/v% 2-propanol) with several Ir(I)-NHC and Ir(I)-NHC-PR3 complexes. The solvent composition is expressed as mole fraction (x) of 2-propanol since this unit expresses explicitly the molecular interactions of water and 2-propanol in their mixture. Note, that in the present case, 2-propanol is one of the reactants. Consequently, some effect of the change of its concentration on the reaction rate (especially under non-pseudo zero-order conditions) can be expected. However, our observations revealed large and complex changes in the rates of transfer hydrogenations which could not be assigned to the usual concentration change effects.
Figure 11 shows the effect of increasing 2-propanol concentration (expressed as mole fraction) in the aqueous reaction mixtures on the conversion of acetophenone with [IrCl(cod)(emim)] (1) as the catalyst. In the x = 0.05–0.7 (18–91 v/v%) range only a slight increase of the conversion was observed, however, in more 2-propanol-rich mixtures the reaction largely accelerated and the conversion reached 89% in neat 2-propanol. This is a surprising observation since at the onset of the large rate increase, 2-propanol already is present in large excess relative to acetophenone.
Figure 11.
The conversion of acetophenone as a function of solvent composition in transfer hydrogenation from 2-PrOH catalysed by [IrCl(cod)(emim)] (1, ●), and [Ir(cod)(emim)(PPh3)]Cl (5, ●) Conditions: n (catalyst) = 0.01 mmol, n (acetophenone) = 1 mmol, n (t-BuOK) = 0.05 mmol, T = 80 °C, t = 1 h, V (total) = 1.0 mL. [S]/[C]/[B] = 100/1/5.
We have determined the conversions of acetophenone transfer hydrogenation with the cationic, mixed ligand Ir-NHC-PR3 complex, [Ir(cod)(emim)(PPh3)]Cl (5) as the catalysts, too. As can be seen in Figure 11, in the x = 0.1–0.7 2-propanol concentration range, only a shallow minimum in the conversion was detected, however, the large rate increase above x = 0.7 can be observed here, too.
The sulfonated phosphine-containing complexes, [Ir(cod)(emim)(mtppms)] (6) and Na2[Ir(cod)(emim)(mtppts)] (7) showed an unexpected behaviour, in that the conversion of acetophenone transfer hydrogenation displayed a maximum around x(2-propanol) ≈ 0.2, and a well-defined minimum around x(2-propanol) ≈ 0.7 (Figure 12). The minimum was deeper in the case of catalyst 7, containing trisulfonated triphenylphosphine, mtppts, than in the case of 6, with mtppms. We also compared the activities of the catalysts 6, 8 and 9, containing the same phosphine (mtppms) but different NHC ligands. Again, the conversions displayed a maximum and a minimum as a function of the 2-propanol concentration, however, the minimum was somewhat shallower and its place varied between x(2-propanol) ≈ 0.2 and 0.5, respectively (Figure 13).
Figure 12.
The conversion of acetophenone as a function of solvent composition in transfer hydrogenation from 2-PrOH catalysed by [Ir(cod)(emim)(mtppms)] (6, ●) and Na2[Ir(cod)(emim)(mtppts)] (7, ●). Conditions: n (catalyst) = 0.01 mmol, n (acetophenone) = 1 mmol, n (t-BuOK) = 0.05 mmol, T = 80 °C, t = 1 h, V (total) = 1.0 mL. [S]/[C]/[B] = 100/1/5.
Figure 13.
The conversion of acetophenone as a function of solvent composition in transfer hydrogenation from 2-PrOH catalysed [Ir(cod)(bmim)(mtppms)] (8, ●), [Ir(cod)(emim)(mtppms)] (6, ●) and [Ir(cod)(Bnmim)(mtppms)] (9, ●). Conditions: n (catalyst) = 0.01 mmol, n (acetophenone) = 1 mmol, n (t-BuOK) = 0.05 mmol, T = 80 °C, t = 1 h, V (total) = 1.0 mL. [S]/[C]/[B] = 100/1/5.
Finally, replacing acetophenone with benzophenone as the substrate did not change the character of the conversion vs. 2-propanol concentration function (Figure 14).
Figure 14.
The conversion of benzophenone as a function of solvent composition in transfer hydrogenation from 2-PrOH catalysed [Ir(cod)(emim)(mtppms)] (6, ●). Conditions: n (catalyst) = 0.01 mmol, n (benzophenone) = 1 mmol, n (t-BuOK) = 0.05 mmol, T = 80 °C, t = 1 h, V (total) = 1.0 mL. [S]/[C]/[B] = 100/1/5.
While the decrease of the conversion in solutions with x(2-propanol) ≤ 0.1 may be attributed to the limited solubility of acetophenone in such highly aqueous solvents, the large minimum values of the acetophenone conversion was observed around x(2-propanol) ≈ 0.7 i.e., in truly homogeneous systems. Furthermore, such minima became manifest only in the case of the catalysts 6–9 which contain sulfonated triphenylphosphine ligands. Nevertheless, in all investigated cases, a large increase in the conversion was observed with 0.7 ≤ x(2-propanol) ≤ 1.
The structure of water-2-propanol mixtures has been thoroughly studied with various techniques [51,52,53,54,55,56]. It has been established by large angle X-ray scattering (LAXS), that in a binary mixture at 25 °C, with increasing 2-propanol concentration first the tetrahedral clustering of water molecules collapses abruptly at x(2-propanol) ≈ 0.1, then chains of hydrated 2-propanol oligomers exist until x(2-propanol) = 0.7 [53]. Above this concentration, most of the 2-propanol is present in the form of self-associated, oligomeric entities [53], and even microheterogeneity may occur [54]. In agreement with these findings, the maximum of the heat of mixing was observed at x(2-propanol) = 0.7 [51,56]. It is tempting to assume, that the extrema of the acetophenone conversions in the catalytic hydrogen transfer reductions from 2-propanol, found in our present study, are related to such changes in the solvent structure. However, several factors should be considered. First, the solvent structure studies were made at 25 °C in contrast to the 80 °C temperature of the catalytic reactions. Second, in the reaction mixtures, acetophenone and the catalyst were also involved. Both the temperature and the composition of the solution are expected to influence the solution structure to a large extent. Large increases in the catalytic activities at or above x(2-propanol) = 0.7 were observed in case of all investigated catalysts, therefore they may be related to changes of the solvent structure. However, the decrease of conversion in the x(2-propanol) 0.1–0.7 range was detected only with the catalysts which contained sulphonated triphenylphosphine ligands. This leads to the assumption of preferential solvation of the mentioned catalysts in this composition interval, most probably by the highly polar water component of the solvent mixture. However, presently, this assumption is not corroborated by other observations. We can only conclude that while several interesting and potentially important consequences of using water-2-propanol mixtures for homogeneous catalysis have already been demonstrated here and in the literature, the exact reasons of such phenomena still remain elusive.
3. Materials and Methods
All commercial materials were high purity products from Pressure Chemicals, Pittsburgh, Pennsylvania, USA (IrCl3 × 3H2O), Sigma Aldrich, St. Louis, Missouri, USA ([BnmimH]Cl, all ketone substrates used in this study, 1,5-cyclooctadiene, 2-propanol, methanol, toluene), Merck, Darmstadt, Germany ([emimH]Cl, [bmimH]Cl, [IMesH]Cl) and VWR International, West Chester, Pennsylvania, USA (acetone, tBuOK and all inorganic bases). Gases (Ar, H2) were supplied by Linde. Acetone was purified by distillation under argon from molecular sieve (1–1.4 Å). Ion-exchanged water (S ≤ 1 μS) was used for obtaining aqueous solvent mixtures. The sulfonated triphenylphosphines sodium salts, mtppms-Na [57] and mtppts-Na3 [57], as well as the complexes [IrCl(cod)(emim)] (1) [31], [IrCl(cod)(bmim)] (2) [31], [IrCl(cod)(IMes)] (4) [31], [Ir(cod)(emim)(mtppms)] (6) [33], Na2[Ir(cod)(emim)(mtppts)] (7) [31] and [Ir(cod)(bmim)(mtppms)] (8) [31] were prepared as described in the literature. The purity of these complexes was checked by comparing their respective 1H, 13C and 31P NMR, and ESI-MS spectra to those from the literature.
3.1. Synthesis of [IrCl(Cod)(Bnmim)] (3)
The bromo analogue of 3, i.e., [IrBr(cod)(Bnmim)] is known from the literature [43]; 3 was obtained here by a different synthetic procedure as follows.
250 mg (0.337 mmol) [Ir(OMe)(cod)]2 was dissolved in a Schlenk tube under argon in 8 mL acetone followed by the addition of 157 mg (0.754 mmol) [BnmimH]Cl in 12 mL acetone. The solution was stirred for 4 h at 40 °C, and finally the solvent was removed in vacuum. The residue was purified by column chromatography (column: silica gel, 60 Å, 70–230 mesh, eluent: CH2Cl2/ethyl acetate = 1/1). Evaporation of the solvent in vacuum yielded the product [IrCl(cod)(Bnmim)] (3) as a yellow solid microcrystalline solid. Yield 285 mg (74%).
1H NMR (360 MHz, CDCl3), δ/ppm: 1.33 (m, 1H; CH2,cod), 1.56–1.88 (m, 4H; CH2,cod), 2.11–2.21 (m, 1H; CH2,cod), 2.25–2.37 (m, 2H; CH2,cod), 2.94–2.99 (m, 1H; CHcod), 2.99–3.12 (m, 1H; CHcod), 4.07 (s, 3H; CH3N), 4.70 (s, 2H; CHcod), 5.62 (d, 2J(H,H) = 14.8 Hz, 1H; CH2N), 5.85 (d, 2J(H,H) = 14.8 Hz, 1H; CH2N), 6.74–6.75 (m, 1H; NCHCHN), 6.88–6.89 (m, 1H; NCHCHN), 7.34–7.44 (m, 4H; CHph).
13C{1H} NMR (90 MHz, C6D6), δ/ppm: 29.47, (s, CH2,cod), 29.87 (s, CH2,cod), 33.40 (s, CH2,cod), 34.01 (s, CH2,cod), 36.70 (s, N–CH3), 50.36 (s, CHcod), 50.40 (s, CHcod), 53.80 (s, N–CH2), 84.22 (s, CHcod), 84.61 (s, CHcod), 119.28, 121.65 (s, N–CH=CH–N), 127.87–136.77 (m, Ar–C–P), 181.31 (s, NCN).
IR (ATR): ν−/cm−1: 3148, 3092, 2948, 2925, 2881, 2869, 2831 (C–H, alkyl), 1571 (=C–H, cod), 1454, 1407, 1397 (=C–H, aromatic), 1230, 727, 701, 686 (=C–H, Bnmim).
MS(ESI), m/z for [M − Cl]: Calculated: 473.1563, Found: 473.1565.
3.2. Synthesis of [Ir(Cod)(Emim)(PPh3)]Cl (5)
150 mg (0.336 mmol) 1 was dissolved in a Schlenk tube under argon in 5 mL methanol giving a yellow solution. Upon addition of 88 mg (0.336 mmol) finely powdered PPh3, the colour of the reaction mixture turned red immediately. 10 mL methanol was added, and the solution was stirred for 30 min at room temperature. The solvent was removed in vacuum. The residue was purified by column chromatography (column: silica gel, 60 Å, 70–230 mesh, eluent: CH2Cl2/methanol = 6/1). Evaporation of the solvent in vacuum yielded the product [Ir(cod)(emim)(PPh3)]Cl (5) which was washed twice with pentane, and dried under vacuum. Red microcrystalline solid. Yield 182 mg (76%).
1H NMR (360 MHz, MeOD), δ/ppm: 1.31 (t, 3J(H,H) = 7.2 Hz, 3H; NCH2CH3), 2.26–2.40 (m, 4H; CH2,cod), 2.51–2.61 (m, 4H; CH2,cod), 3.72 (s, 3H; CH3N), 4.00–4.07 (m, 2H; CHcod), 4.08–4.13 (m, 1H; NCH2CH3), 4.43–4.51 (m, 1H; NCH2CH3), 4.53–4.74 (m, 2H; CHcod), 7.32–7.68 (d, 2J(H,H) = 0.5 Hz, 1H; NCHCHN; d, 2J(H,H) = 0.5 Hz, 1H; NCHCHN; m, 15H, Ar-CHphosphine).
13C{1H} NMR (90 MHz, MeOD), δ/ppm: 13.87 (s, CH2CH3), 29.98, (s, CH2,cod), 30.48 (s, CH2,cod), 30.54 (s, CH2,cod), 31.25 (s, CH2,cod), 36.48 (s, N–CH3), 45.29 (s, N–CH2), 79.82 (s, CHcod), 80.17 (s, CHcod), 85.81 (d, CH, J(C,P) = 11 Hz, CHcod), 86.46 (d, J(C,P) = 11 Hz, CHcod), 120.90, 124.14 (s, N–CH=CH–N), 128.79–133.89 (m, Ar–C–P), 173.49 (d, NCN, 2J(C,P) = 9.8 Hz).
31P{1H} NMR (146 MHz, MeOD), δ/ppm: 18.46 (s).
IR (ATR): ν−/cm−1: 3388 (O–H), 2935, 2880, 2833 (C–H, alkyl), 1571 (=C–H, cod), 1475, 1433, 1400 (=C–H, aromatic), 1091, 1025, 997, 533 (=C–H, emim).
MS(ESI), m/z for [M − Cl + H+]: Calculated: 673.2318, Found: 673.2329.
3.3. Synthesis of [Ir(Cod)(Emim)(Mtppms)] (6) with the Use of [emimH][Mtppms] Salt
Synthesis of 6 in the reaction of [IrCl(cod)(emim)] (1) and mtppms-Na has already been described [31]. In this work, we developed a new synthetic method employing [Ir(OMe)(cod)]2 and the [emimH][mtppms] ion pair which securely yields a chloride-free product.
The [emimH][mtppms] ion pair was obtained in a process analogous to the synthesis of [bmimH][mtppms] [58]. A total of 501 mg (1.376 mmol) mtppms-Na was dissolved under argon in a Schlenk tube in 6.25 mL dry THF followed by the addition of 125 mg (0.853 mmol) [emimH]Cl in 625 µL MeOH. The resulting white suspension was stirred at room temperature for 24 h. The reaction mixture was filtered through a silica plug layered on top with Hyflo Supercell and the filtrate was evaporated to dryness. The residue was dissolved in CH2Cl2, filtered as above, and the solvent was removed in vacuum. The solid residue was washed twice with 2-PrOH with decantation and dried under vacuum. White powder. Yield 387 mg (63%).
1H NMR (360 MHz, CD2Cl2), δ/ppm: 1.25 (t, 3J(H,H) = 7 Hz, 3H; NCH2CH3), 3.67 (s, 3H; CH3N), 3.96–4.03 (m, 1H; NCH2CH3), 4.62 (s, 1H; NCH2CH3), 7.04–7.21 (m, 2H; NCH=CHN, NCH=CHN), 7.22–7.79 (m, 14H; Ar–CHphosphine), 9.36 (s, 1H; NCHN).
13C{1H} NMR (90 MHz, CD2Cl2), δ/ppm: 15.03 (s, CH2CH3), 36.15 (s, N-CH3), 45.03 (s, N–CH2), 121.28 (s, N–CH=CH–N), 123.11 (s, N–CH=CH–N), 126.60–137.36 (m, Ar–P), 146.65 (s, NCN).
31P{1H} NMR (146 MHz, CD2Cl2), δ/ppm: −5.48 (s).
IR (ATR): ν−/cm−1: 3457 (O–H), 3069, 3054, 2984 (C–H, alkyl), 1463, 1434, 1395 (=C–H, aromatic), 1195, 1140 (S=O), 1091, 1031, 993, 538 (=C–H, emim).
MS(ESI), m/z for: [M-mtppms] Calculated: 111.0917, Found: 111.0915; [M − emim + 2Na] Calculated: 387.0197, Found: 387.0191.
For the synthesis of 6, 55 mg (0.083 mmol) [Ir(OMe)(cod)]2 was dissolved in a Schlenk tube under argon in 20 mL acetone giving a brownish solution. Upon addition of 81 mg (0.166 mmol) finely powdered [emimH][mtppms], the colour of the reaction mixture turned red immediately. This red solution was stirred for 6 h at 40 °C, then the solvent was removed in vacuum and the residue was purified by column chromatography (column: silica gel, 60 Å, 70–230 mesh, eluent: CH2Cl2/MeOH = 6/1). The product, [Ir(cod)(emim)(mtppms)] (6), was recovered by evaporation of the eluent, washed twice with diethyl ether, and dried under vacuum. Red powder. Yield 109 mg (82%).
1H NMR (360 MHz, CD3OD), δ/ppm: 1.06 (t, 3J(H,H) = 7.1 Hz, 3H; NCH2CH3), 1.94–2.12 (m, 4H; CH2,cod), 2.29–2.39 (m, 4H; CH2,cod), 3.46 (s, 3H; CH3N), 3.62–3.71 (m, 2H; CHcod), 3.75–3.85 (m, 1H; NCH2CH3), 4.17–4.23 (m, 1H; NCH2CH3), 4.30–4.50 (m, 2H; CHcod), 6.95–8.60 (s, 1H; NCHCHN; s, 1H, NCHCHN m, 14H, Ar–CHphosphine).
13C{1H} NMR (90 MHz, CD3OD), δ/ppm: 14.15 (s, CH2CH3), 29.67, (s, CH2,cod), 30.22 (s, CH2,cod), 30.34 (s, CH2,cod), 31.08 (s, CH2,cod), 36.39 (s, N–CH3), 45.20 (s, N–CH2), 79.81 (s, CHcod), 80.11 (s, CHcod), 86.23 (d, CH, J(C,P) = 10 Hz, CHcod), 86.83 (d, J(C,P) = 10 Hz, CHcod), 120.72, 124.00 (s, N–CH=CH–N), 128.73–146.00 (m, Ar–C–P), 172.91 (d, NCN, 2J(C,P) = 9.6 Hz).
31P{1H} NMR (146 MHz, CD3OD), δ/ppm: 19.39 (s).
IR (ATR): ν−/cm−1: 3468 (O–H), 2936, 2883, 2829 (C–H, alkyl), 1571 (=C–H, cod), 1460, 1436, 1396 (=C–H, aromatic), 1200, 1138 (S=O), 1092, 1031, 995, 532 (=C–H, emim).
MS(ESI), m/z for [M + Na]: Calculated: 775.1711, Found: 775.1709.
3.4. Synthesis of [Ir(Cod)(Bnmim)(Mtppms)] (9)
A total of 100 mg (0.197 mmol) of 3 was dissolved in a Schlenk tube under argon in 5 mL methanol giving a yellow solution. Upon addition of 79 mg (0.197 mmol) finely powdered mtppms-Na, the colour of the reaction mixture turned red immediately. Then, 10 mL methanol was added, and the solution was stirred for 30 min at room temperature. The reaction mixture was filtered through a Hyflo Supercell plug and the filtrate was evaporated to dryness in vacuum. The product [Ir(cod)(Bnmim)(mtppms)] (9) was washed twice with diethyl ether, and dried under vacuum. Red microcrystalline solid. Yield 136 mg (81%).
1H NMR (360 MHz, MeOD), δ/ppm: 2.13–2.38 (m, 4H; CH2,cod), 2.51–2.71 (m, 4H; CH2,cod), 3.84 (s, 3H; CH3), 3.98–4.08 (m, 2H; CHcod), 4.33–4.88 (m, 2H; CHcod), 4.94 (d, 2J(H,H) = 15 Hz, 1H; CH2), 5.79 (d, 2J(H,H) = 15 Hz, 1H; CH2), 7.18–7.89 (m, 19H; Ar–CHphospine, CHph), 8.19 (d, 2J(H,H) = 8 Hz, 1H; NCHCHN), 8.72 (d, 2J(H,H) = 11 Hz, 1H; NCHCHN).
13C{1H} NMR (90 MHz, MeOD), δ/ppm: 29.35 (s, CH2,cod), 29.84 (s,CH2,cod), 30.97 (s, CH2,cod), 31.71 (s, CH2,cod), 36.93 (s, N–CH3), 53.97 (s, N–CH2), 80.11 (s, CHcod), 81.20 (s, CHcod), 86.70 (d, J(C,P) = 12 Hz, CHcod), 87.69 (d, J(C,P) = 11 Hz; CHcod), 122.80 (s, N–CH=CH–N), 124.08 (s, N–CH=CH–N), 127.30–129.74 (m, CHph), 130.30–146.29 (m, Ar–C–P), 174.57 (d, J(C,P) = 9.8 Hz, NCN).
31P{1H} NMR (146 MHz, MeOD), δ/ppm: 18.32(s).
IR (ATR): ν−/cm−1: 3435 (O–H), 2929, 2883, 2833 (C–H, alkyl), 1571 (=C–H, cod), 1453, 1434, 1398 (=C–H, aromatic), 1229, 1192 (S=O), 1030, 784, 732, 698 (=C–H, Bnmim).
MS(ESI), m/z for [M + Na + H]: Calculated: 837.1862, Found: 837.1865.
3.5. Methods of Characterization of the Complexes
Infrared spectra were recorded on a PerkinElmer, Spectrum Two FT-IR Spectrometer in ATR mode.
1H, 13C and 31P NMR spectra were recorded on a Bruker 360 MHz NMR spectrometer and referenced to 4,4-dimethyl-4-silapentane-1-sulfonic acid sodium salt (DSS), tetramethylsilane (TMS), 85% phosphoric acid, and residual solvent peaks, respectively. The spectra were evaluated using the WIN-NMR software by Bruker.
ESI-TOF-MS measurements were carried out on a Bruker maXis II MicroTOF-Q type Qq-TOF-MS instrument (Bruker Daltonik, Bremen, Germany) in positive ion mode. The mass spectra were calibrated internally using the exact masses of sodium formate clusters. The spectra were evaluated using Compass Data Analysis 4.4 software from Bruker.
Single-crystals of [IrCl(cod)(emim)] (1), [IrCl(cod)(Bnmim)] (3), and [Ir(cod)(emim)(mtppms)] (6) were obtained by crystallization from benzene (1, 3) and from chloroform (6). Those were subjected to X-ray diffraction measurements using a Bruker D8 Venture system. The crystallographic data (excluding the structure factors) for the 1, 3, and 6 structures were deposited at the Cambridge Crystallographic Data Centre, as CCDC-1967347, CCDC-1967348, CCDC-1967349, respectively. All experimental conditions for such structure determinations are described in the Supplementary Materials together with the programs used for solving and visualisation of the structures [59,60,61,62,63,64,65,66].
3.6. Hydrogen Transfer Experiments and Product Analysis
The reactions were run under oxygen-free conditions using standard Schlenk-techniques. The solid catalyst, base, excess of phosphine ligand (if required) and naphthalene (internal standard) were placed into a Schlenk flask which was finally filled with Ar after several vacuum/argon cycles. 1 mL 2-propanol was added and the solids were dissolved with the use of magnetic stirring. After addition of the substrate, the closed flask was placed into a thermostated bath and stirred continuously. At the desired reaction time the flask was placed into crushed ice to stop the reaction, followed by addition of 0.5 mL toluene. The diluted reaction mixture was filtered through a short MgSO4 plug, and a sample of 20 μL was dissolved in 2.0 mL toluene. In the case of aqueous solvents, the cold final reaction mixtures were extracted with 1 mL toluene and the organic phase was dried by filtration through a MgSO4 plug.
The reaction mixtures were analysed by gas chromatography (HP 5890 Series II equipment, Cyclodex B (30 m × 0.320 mm × 0.25 μm), or SUPELCOWAX (30 m × 0.320 mm × 0.25 μm) columns, carrier gas Ar (1.4 mL/min). Column temperature programs were as follows. Cyclohexanone, acetophenone and its derivatives (Cyclodex B): 100 °C for 3 min, then 45 °C/min to 190 °C, held at this temperature for 5 min. Benzophenone: 100 °C for 3 min, then 70 °C/min to 190 °C, held at this temperature for 3 min. Benzylideneacetone and derivatives (SUPELCOWAX): 100 °C for 3 min, then 45 °C/min to 210 °C, held at this temperature for 2 min.
4. Conclusions
Ir(I)-NHC and Ir(I)-NHC-PR3 complexes, such as 1–9, proved to be excellent catalysts for the hydrogenation of aromatic and aliphatic ketones by hydrogen transfer from basic 2-propanol. Strong solvent effects were observed in 2-propanol-water mixtures manifested as conversion maxima and minima depending on the water concentration in the solvent. These effects could be related to the molecular interactions in the 2-propanol-water solvent mixtures and suggest the preferential solvation of sulfonated phosphine-containing catalysts by water.
Supplementary Materials
The following are available online at https://www.mdpi.com/2073-4344/10/1/17/s1, Table S1: Catalytic activity of 1, 6 and 9; Figures S1–S3: effects of reaction conditions on catalysis; Figures S4–S7: Infrared spectra of 3, 5, 9, and [emimH] [mtppms]; Figures S8–S18: 1H, 13C, and 31P NMR spectra of 3, 5 and 9 and [emimH][mtppms]; Table S2: Crystallographic data; Experimental details of X-ray structure determinations.
Author Contributions
Conceptualization, H.H., F.J. and Á.K.; methodology, G.P.; synthesis and characterization of catalysts, K.O., H.H.; catalysis experiments, K.O.; discussion of experimental results, all authors; writing—orignal draft preparation, all authors; writing—review and editing, F.J., H.H. and Á.K. All authors have read and agreed to the published version of the manuscript.
Funding
The research was supported by the EU and co-financed by the European Regional Development Fund (under the projects GINOP-2.3.2-15-2016-00008 and GINOP-2.3.3-15-2016-00004). The financial support of the Hungarian National Research, Development and Innovation Office (to H.H., FK-128333) is gratefully acknowledged.
Acknowledgments
The authors are grateful to Antal Udvardy (University of Debrecen) for his invaluable help in the X-ray structural determinations.
Conflicts of Interest
The authors declare no conflicts of interest.
References
- Danopoulos, A.A. N-Heterocyclic Carbene Complexes in Additions to Multiple Bonds. In N-Heterocyclic Carbenes in Transition Metal Catalysis and Organocatalysis; Cazin, C.S.J., Ed.; Catalysis by Metal Complexes; Springer: Dordrecht, The Netherlands, 2011; pp. 23–61. [Google Scholar]
- Wang, D.; Astruc, D. The golden age of transfer hydrogenation. Chem. Rev. 2015, 115, 6621–6686. [Google Scholar] [CrossRef]
- Corberán, R.; Mas-Marzá, E.; Peris, E. Mono-, Bi- and tridentate N-Heterocyclic carbene ligands for the preparation of transition-metal-based homogeneous catalysts. Eur. J. Inorg. Chem. 2009, 2009, 1700–1716. [Google Scholar] [CrossRef]
- Wang, C.; Wu, X.; Xiao, J. Broader, greener, and more efficient: Recent advances in asymmetric transfer hydrogenation. Chem. Asian J. 2008, 3, 1750–1770. [Google Scholar] [CrossRef] [PubMed]
- Chowdhury, R.L.; Bäckvall, J.-E. Efficient ruthenium-catalysed transfer hydrogenation of ketones by propan-2-ol. J. Chem. Soc. 1991, 16, 1063–1064. [Google Scholar] [CrossRef]
- Pámies, O.; Bäckvall, J.-E. Studies on the mechanism of metal-catalyzed hydrogen transfer from alcohols to ketones. Chem. Eur. J. 2001, 7, 5052–5058. [Google Scholar] [CrossRef]
- Hashiguchi, S.; Fujii, A.; Takehara, J.; Ikariya, T.; Noyori, R. Asymmetric transfer hydrogenation of aromatic ketones catalyzed by chiral ruthenium(II) complexes. J. Am. Chem. Soc. 1995, 117, 7562–7563. [Google Scholar] [CrossRef]
- Noyori, R.; Hashiguchi, S. Asymmetric transfer hydrogenation catalyzed by chiral ruthenium complexes. Acc. Chem. Res. 1997, 30, 97–102. [Google Scholar] [CrossRef]
- Nordin, S.J.M.; Roth, P.; Tarnai, T.; Alonso, D.A.; Brandt, P.; Andersson, P.G. Remote dipole effects as a means to accelerate [Ru(amino alcohol)]-catalyzed transfer hydrogenation of ketones. Chem. Eur. J. 2001, 7, 1431–1436. [Google Scholar] [CrossRef]
- Dani, P.; Karlen, T.; Gossage, R.A.; Serafino, G.; van Koten, G. Hydrogen-transfer catalysis with pincer-aryl ruthenium(II) complexes. Angew. Chem. Int. Ed. 2000, 39, 743–745. [Google Scholar] [CrossRef]
- Kathó, Á.; Carmona, D.; Viguri, F.; Remacha, C.D.; Kovács, J.; Joó, F.; Oro, L.A. Enantioselective hydride transfer hydrogenation of ketones catalyzed by [(η6-p-cymene)Ru(amino acidato)Cl] and [(η6-p-cymene)Ru(amino acidato)]3(BF4)3 complexes. J. Organomet. Chem. 2000, 593–594, 299–306. [Google Scholar] [CrossRef]
- Cadierno, V.; Francos, J.; Gimeno, J.; Nebra, N. Ruthenium-catalyzed reduction of allylic alcohols: An efficient isomerization/transfer hydrogenation tandem process. Chem. Commun. 2007, 24, 2536–2538. [Google Scholar] [CrossRef] [PubMed]
- Fekete, M.; Joó, F. Transfer Hydrogenation of Carbonyl Compounds and Alkenes Catalyzed by Ruthenium(II)-N-Heterocycle Carbene Complexes. Collect. Czechoslov. Chem. Commun. 2007, 72, 1037–1045. [Google Scholar] [CrossRef]
- Albrecht, M.; Crabtree, R.H.; Mata, J.; Peris, E. Chelating bis-carbene rhodium(iii) complexes in transfer hydrogenation of ketones and imines. Chem. Commun. 2002, 32–33. [Google Scholar] [CrossRef] [PubMed]
- Mas-Marzá, E.; Poyatos, M.; Sanaú, M.; Peris, E. A New rhodium(III) complex with a tripodal Bis(imidazolylidene) ligand. synthesis and catalytic properties. Organometallics 2004, 23, 323–325. [Google Scholar] [CrossRef]
- Jokić, N.B.; Zhang-Presse, M.; Goh, S.L.M.; Straubinger, C.S.; Bechlars, B.; Herrmann, W.A.; Kühn, F.E. Symmetrically bridged bis-N-heterocyclic carbene rhodium (I) complexes and their catalytic application for transfer hydrogenation reaction. J. Organomet. Chem. 2011, 24, 3900–3905. [Google Scholar] [CrossRef]
- Mestroni, G.; Zassinovich, G.; Camus, A.; Martinelli, F. Transfer of hydrogen from alcohols to ketones catalyzed by iridium complexes with 2,2′-bipyridine, 1,10-phenanthroline, and their derivatives. J. Organomet. Chem. 1980, 198, 87–96. [Google Scholar] [CrossRef]
- Jiménez, M.V.; Fernández-Tornos, J.; Pérez-Torrente, J.J.; Modrego, F.J.; Winterle, S.; Cunchillos, C.; Lahoz, F.J.; Oro, L.A. Iridium(I) complexes with hemilabile N-heterocyclic carbenes: Efficient and versatile transfer hydrogenation catalysts. Organometallics 2011, 30, 5493–5508. [Google Scholar] [CrossRef]
- García, N.; Jaseer, E.A.; Munarriz, J.; Miguel, P.J.S.; Polo, V.; Iglesias, M.; Oro, L.A. An insight into transfer hydrogenation reactions catalysed by iridium(III) Bis-N-heterocyclic carbenes. Eur. J. Inorg. Chem. 2015, 2015, 4388–4395. [Google Scholar] [CrossRef]
- Iglesias, M.; Oro, L.A. A leap forward in iridium–NHC catalysis: New horizons and mechanistic insights. Chem. Soc. Rev. 2018, 47, 2772–2808. [Google Scholar] [CrossRef]
- Sipos, G.; Dorta, R. Iridium complexes with monodentate N-heterocyclic carbene ligands. Coord. Chem. Rev. 2018, 375, 13–68. [Google Scholar] [CrossRef]
- Liu, J.; Wu, X.; Iggo, J.; Xiao, J. Half-sandwich iridium complexes—Synthesis and applications in catalysis. Coord. Chem. Rev. 2008, 252, 782–809. [Google Scholar] [CrossRef]
- Abeer, B.; Iglesias, M.; Beeststra, D.; Dervisi, A.; Fallis, I.; Cavell, K.J. Donor-functionalised expanded ring N-Heterocyclic carbenes: Highly effective ligands in Ir-catalysed transfer hydrogenation. Eur. J. Inorg. Chem. 2010, 2010, 5426–5431. [Google Scholar]
- Vázquez-Serrano, L.D.; Owens, B.T.; Buriak, J.M. Catalytic olefin hydrogenation using N-heterocyclic carbene–phosphine complexes of iridium. Chem. Commun. 2002, 21, 2518–2519. [Google Scholar] [CrossRef]
- Vázquez-Serrano, L.D.; Owens, B.T.; Buriak, J.M. The search for new hydrogenation catalyst motifs based on N-heterocyclic carbene ligands. Inorganica Chim. Acta 2006, 359, 2786–2797. [Google Scholar] [CrossRef]
- Albrecht, M.; Miecznikowski, J.R.; Samuel, A.; Faller, J.W.; Crabtree, R.H. Chelated Iridium(III) Bis-carbene complexes as air-stable catalysts for transfer hydrogenation. Organometallics 2002, 21, 3596–3604. [Google Scholar] [CrossRef]
- Gülcemal, S.; Gökçe, A.G.; Çetinkaya, B. N-benzyl substituted N-heterocyclic carbene complexes of iridium(I): Assessment in transfer hydrogenation catalyst. Inorg. Chem. 2013, 52, 10601–10609. [Google Scholar] [CrossRef] [PubMed]
- Landaeta, V.R.; Rosa, A.D.S.-L.; Rodríguez-Lugo, R.E. Transfer hydrogenation of ketones catalyzed by iridium-bulky phosphine complexes. Inorg. Chim. Acta 2018, 470, 303–311. [Google Scholar] [CrossRef]
- Zinner, S.C.; Rentzsch, C.F.; Herdtweck, E.; Herrmann, W.A.; Kühn, F.E. N-heterocyclic carbenes of iridium(I): Ligand effects on the catalytic activity in transfer hydrogenation. Dalton Trans. 2009, 35, 7055–7062. [Google Scholar] [CrossRef]
- Hillier, A.C.; Lee, H.M.; Stevens, E.D.; Nolan, S.P. Cationic iridium complexes bearing imidazol-2-ylidene ligands as transfer hydrogenation catalysts. Organometallics 2001, 20, 4246–4252. [Google Scholar] [CrossRef]
- Horváth, H.; Kathó, Á.; Udvardy, A.; Papp, G.; Szikszai, D.; Joó, F. New water-soluble iridium(I)–N-heterocyclic carbene–Tertiary phosphine mixed-ligand complexes as catalysts of hydrogenation and redox isomerization. Organometallics 2014, 33, 6330–6340. [Google Scholar] [CrossRef]
- Horváth, H.; Papp, G.; Szabolcsi, R.; Kathó, Á.; Joó, F. Water-soluble iridium-NHC-phosphine complexes as catalysts for chemical hydrogen batteries based on formate. ChemSusChem 2015, 8, 3036–3038. [Google Scholar] [CrossRef] [PubMed]
- Horváth, H.; Papp, G.; Kovács, H.; Kathó, Á.; Joó, F. Iridium(I)NHC-phosphine complex-catalyzed hydrogen generation and storage in aqueous formate/bicarbonate solutions using a flow reactor—Effective response to changes in hydrogen demand. Int. J. Hydrogen Energy 2019, 44, 28527–28532. [Google Scholar] [CrossRef]
- Papp, G.; Horváth, H.; Joó, F. A simple and efficient procedure for Rh(I)- and Ir(I)-complex catalyzed para-hydrogenation of alkynes and alkenes in aqueous media resulting in strong PHIP effects. ChemCatChem 2019, 11, 3000–3003. [Google Scholar] [CrossRef]
- De, S.; Udvardy, A.; Czégéni, C.E.; Joó, F. Poly-N-heterocyclic carbene complexes with applications in aqueous media. Coord. Chem. Rev. 2019, 400, 213038. [Google Scholar] [CrossRef]
- Fliedel, C.; Labande, A.; Manoury, E.; Poli, R. Chiral N-heterocyclic carbene ligands with additional chelating group(s) applied to homogeneous metal-mediated asymmetric catalysis. Coord. Chem. Rev. 2019, 394, 65–103. [Google Scholar] [CrossRef]
- Poyatos, M.; Mata, J.A.; Peris, E. Complexes with poly(N-heterocyclic carbene) ligands: Structural features and catalytic applications. Chem. Rev. 2009, 109, 3677–3707. [Google Scholar] [CrossRef]
- Wang, F.; Liu, L.; Wang, W.; Li, S.; Shi, M. Chiral NHC–metal-based asymmetric catalysis. Coord. Chem. Rev. 2012, 256, 804–853. [Google Scholar] [CrossRef]
- Nolan, S.P. (Ed.) ; N-Heterocyclic Carbenes: Effective Tools for Organometallic Synthesis; Wiley-VCH Verlag GmbH & Co. KGaA: Weinheim, Germany, 2014. [Google Scholar]
- Huynh, H.V. The Organometallic Chemistry of N-heterocyclic Carbenes; John Wiley & Sons Ltd.: Hoboken, NJ, USA, 2017. [Google Scholar]
- Diez-Gonzalez, S. (Ed.) ; N-Heterocyclic Carbenes: From Laboratory Curiosities to Efficient Synthetic Tools; Catalysis Series; The Royal Society of Chemistry: Cambridge, UK, 2011. [Google Scholar]
- Ramasamy, B.; Gangwar, M.K.; Ghosh, P. Asymmetric transfer hydrogenation of α,β-unsaturated carbonyl compounds to saturated alcohols as catalyzed by iridium complexes of tricyclic bioxazoline-fused imidazole-derived N-heterocyclic carbene ligands. ChemistrySelect 2019, 4, 357–365. [Google Scholar] [CrossRef]
- Ruiz-Botella, S.; Peris, E. Unveiling the importance of π-stacking in borrowing-hydrogen processes catalysed by iridium complexes with pyrene tags. Chem. Eur. J. 2015, 21, 15263–15271. [Google Scholar] [CrossRef]
- Cole, M.L.; Gyton, M.R.; Harper, J.B. Metal complexes of an ionic liquid-derived carbene. Aust. J. Chem. 2011, 64, 1133–1140. [Google Scholar] [CrossRef]
- Simpson, P.V.; Radacki, K.; Braunschweig, H.; Schatzschneider, U. An iridium N-heterocyclic carbene complex [IrCl(CO)2(NHC)] as a carbon monoxide-releasing molecule (CORM). J. Organomet. Chem. 2015, 782, 116–123. [Google Scholar] [CrossRef]
- Gothe, Y.; Marzo, T.; Messori, L.; Metzler-Nolte, N. Cytotoxic activity and protein binding through an unusual oxidative mechanism by an iridium(i)–NHC complex. Chem. Commun. 2015, 51, 3151–3153. [Google Scholar] [CrossRef] [PubMed]
- Dyson, P.J.; Jessop, P.G. Solvent effects in catalysis: Rational improvements of catalysts via manipulation of solvent interactions. Catal. Sci. Technol. 2016, 6, 3302–3316. [Google Scholar] [CrossRef]
- Thorpe, T.; Blacker, J.; Brown, S.M.; Bubert, C.; Crosby, J.; Fitzjohn, S.; Muxworthy, J.P.; Williams, J.M.J. Efficient rhodium and iridium-catalysed asymmetric transfer hydrogenation using water-soluble aminosulfonamide ligands. Tetrahedron Lett. 2001, 42, 4041–4043. [Google Scholar] [CrossRef]
- Kathó, Á.; Szatmári, I.; Papp, G.; Joó, F. Effect of 2-propanol on the transfer hydrogenation of aldehydes by aqueous sodium formate using a rhodium(I)-sulfonated triphenylphosphine catalyst. Chimia 2015, 69, 339–344. [Google Scholar] [CrossRef]
- Szatmári, I.; Papp, G.; Joó, F.; Kathó, Á. Unexpectedly fast catalytic transfer hydrogenation of aldehydes by formate in 2-propanol–water mixtures under mild conditions. Catal. Today 2015, 247, 14–19. [Google Scholar] [CrossRef]
- Franks, F.; Ives, D.J.G. The structural properties of alcohol–water mixtures. Q. Rev. Chem. Soc. 1966, 20, 1–44. [Google Scholar] [CrossRef]
- Egorov, G.I.; Afanas’ev, V.N.; Kolker, A.M. VTx properties of the system water-2-propanol in the range 275.15-338.15 K. Russ. J. Gen. Chem. 2004, 74, 171–173. [Google Scholar] [CrossRef]
- Takamuku, T.; Saisho, K.; Aoki, S.; Yamaguchi, T. Large-angle X-ray scattering investigation of the structure of 2-propanol–water mixtures. Z. Für Naturforschung A 2014, 57, 982–994. [Google Scholar] [CrossRef]
- Takaizumi, K. Liquid–solid phase diagrams of PrOH–water and BuOH–water systems from differential scanning calorimetry. J. Solut. Chem. 2000, 29, 377–388. [Google Scholar] [CrossRef]
- Marcus, Y. Solvent Mixtures. Properties and Selective Solvation; Marcel Dekker: New York, NJ, USA, 2002. [Google Scholar]
- Franks, F. Water, a Comprehensive Treaties; Plenum Press: New York, NJ, USA, 1973; Volume 2. [Google Scholar]
- Joó, F.; Kovács, J.; Kathó, Á.; Bényei, A.C.; Decuir, T.; Darensbourg, D.J.; Miedaner, A.; Dubois, D.L. (Meta- Sulfonatophenyl) Diphenylphosphine, sodium salt and its complexes with Rhodium(I), Ruthenium(II), Iridium(I). In Inorganic Syntheses; John Wiley & Sons, Ltd.: New York, NJ, USA, 1998; pp. 1–8. [Google Scholar]
- Webb, P.B.; Sellin, M.F.; Kunene, T.E.; Williamson, S.; Slawin, A.M.Z.; Cole-Hamilton, D.J. Continuous flow hydroformylation of alkenes in supercritical fluid−ionic liquid biphasic systems. J. Am. Chem. Soc. 2003, 125, 15577–15588. [Google Scholar] [CrossRef] [PubMed]
- Dolomanov, O.V.; Bourhis, L.J.; Gildea, R.J.; Howard, J.A.; Puschmann, H. OLEX2: A complete structure solution, refinement and analysis program. J. Appl. Crystallogr. 2009, 42, 339–341. [Google Scholar] [CrossRef]
- Farrugia, L.J. WinGX suite for small-molecule single-crystal crystallography. J. Appl. Crystallogr. 1999, 32, 837–838. [Google Scholar] [CrossRef]
- Burla, M.C.; Caliandro, R.; Camalli, M.; Carrozzini, B.; Cascarano, G.L.; De Caro, L.; Giacovazzo, C.; Polidori, G.; Siliqi, D.; Spagna, R. IL MILIONE: A suite of computer programs for crystal structure solution of proteins. J. Appl. Crystallogr. 2007, 40, 609–613. [Google Scholar] [CrossRef]
- Sheldrick, G.M. SHELXT—Integrated space-group and crystal-structure determination. Acta Crystallogr. Sect. Found. Adv. 2015, 71, 3–8. [Google Scholar] [CrossRef]
- Sheldrick, G.M. A short history of SHELX. Acta Crystallogr. A 2008, 64, 112–122. [Google Scholar] [CrossRef]
- Westrip, S.P. publCIF: Software for editing, validating and formatting crystallographic information files. J. Appl. Crystallogr. 2010, 43, 920–925. [Google Scholar] [CrossRef]
- Macrae, C.F.; Bruno, I.J.; Chisholm, J.A.; Edgington, P.R.; McCabe, P.; Pidcock, E.; Rodriguez-Monge, L.; Taylor, R.; van de Streek, J.; Wood, P.A. Mercury CSD 2.0–new features for the visualization and investigation of crystal structures. J. Appl. Crystallogr. 2008, 41, 466–470. [Google Scholar] [CrossRef]
- APEX3 v2017.3-0; Bruker AXS Inc.: Billerica, MA, USA, 2017.
© 2019 by the authors. Licensee MDPI, Basel, Switzerland. This article is an open access article distributed under the terms and conditions of the Creative Commons Attribution (CC BY) license (http://creativecommons.org/licenses/by/4.0/).







































