Primary Cardiac Sarcomas: Clinical Characteristics, Management, and Outcomes at a Spanish National Reference Center
Simple Summary
Abstract
1. Introduction
2. Materials and Methods
3. Results
3.1. Clinical and Pathological Characteristics
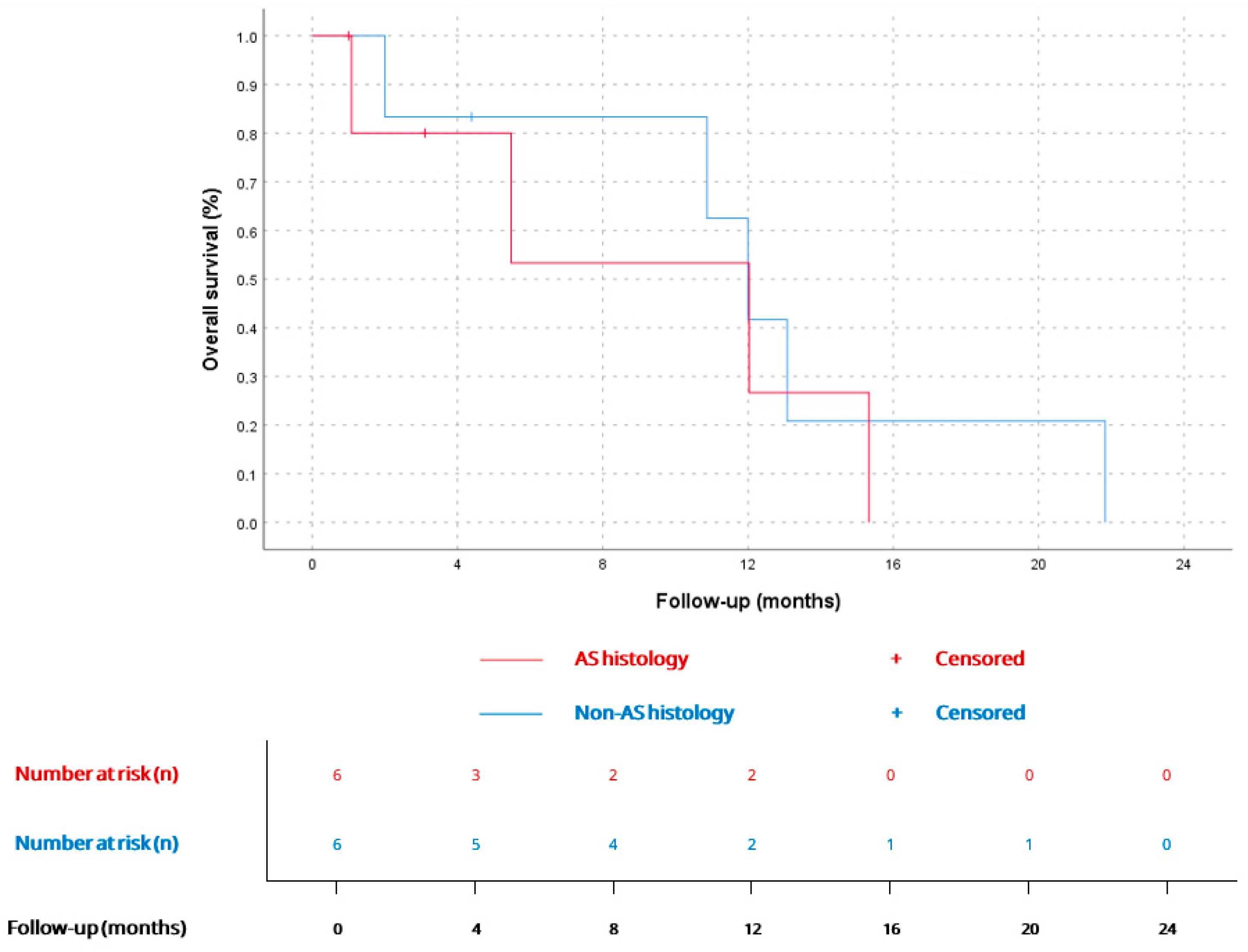
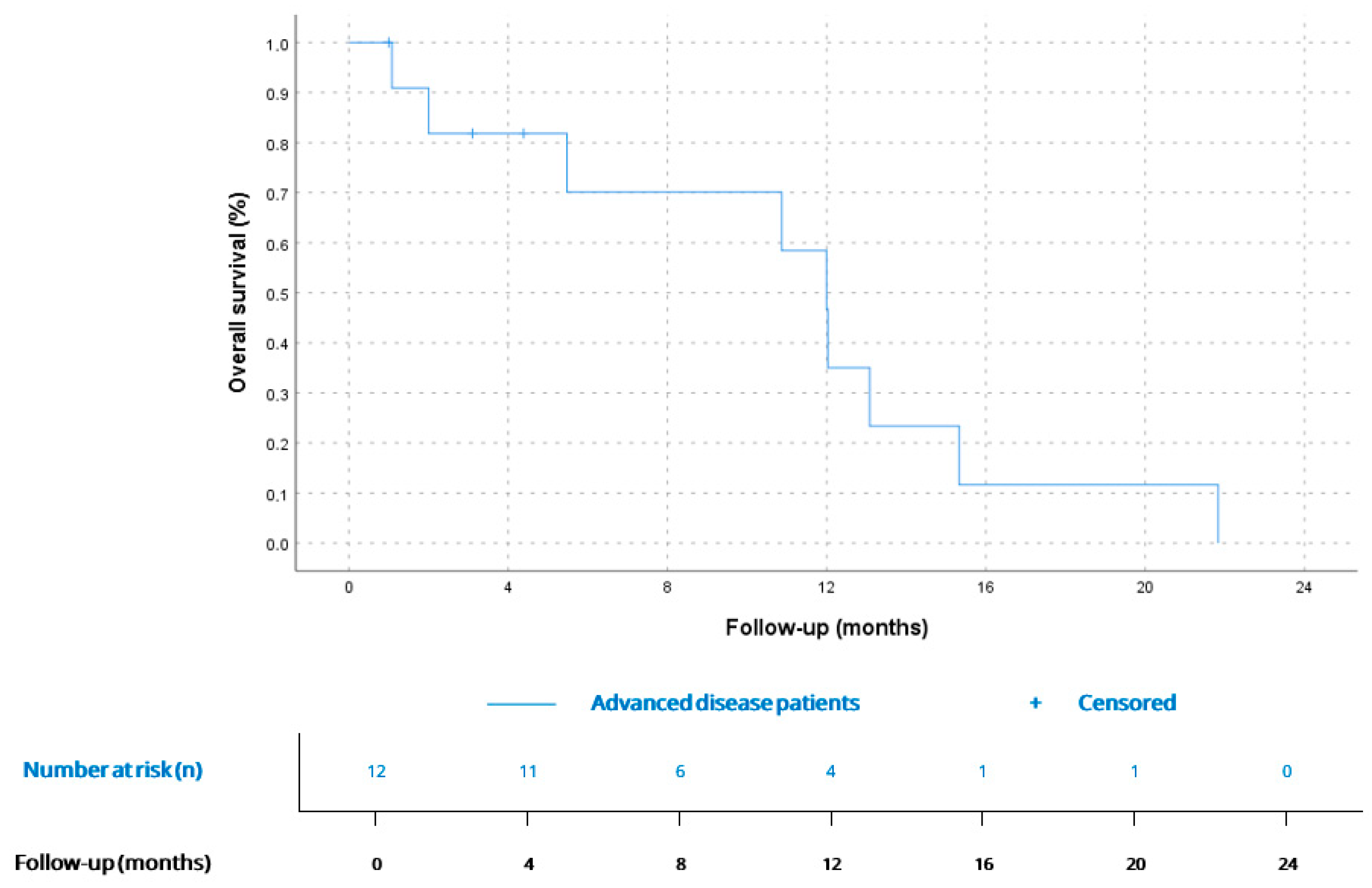
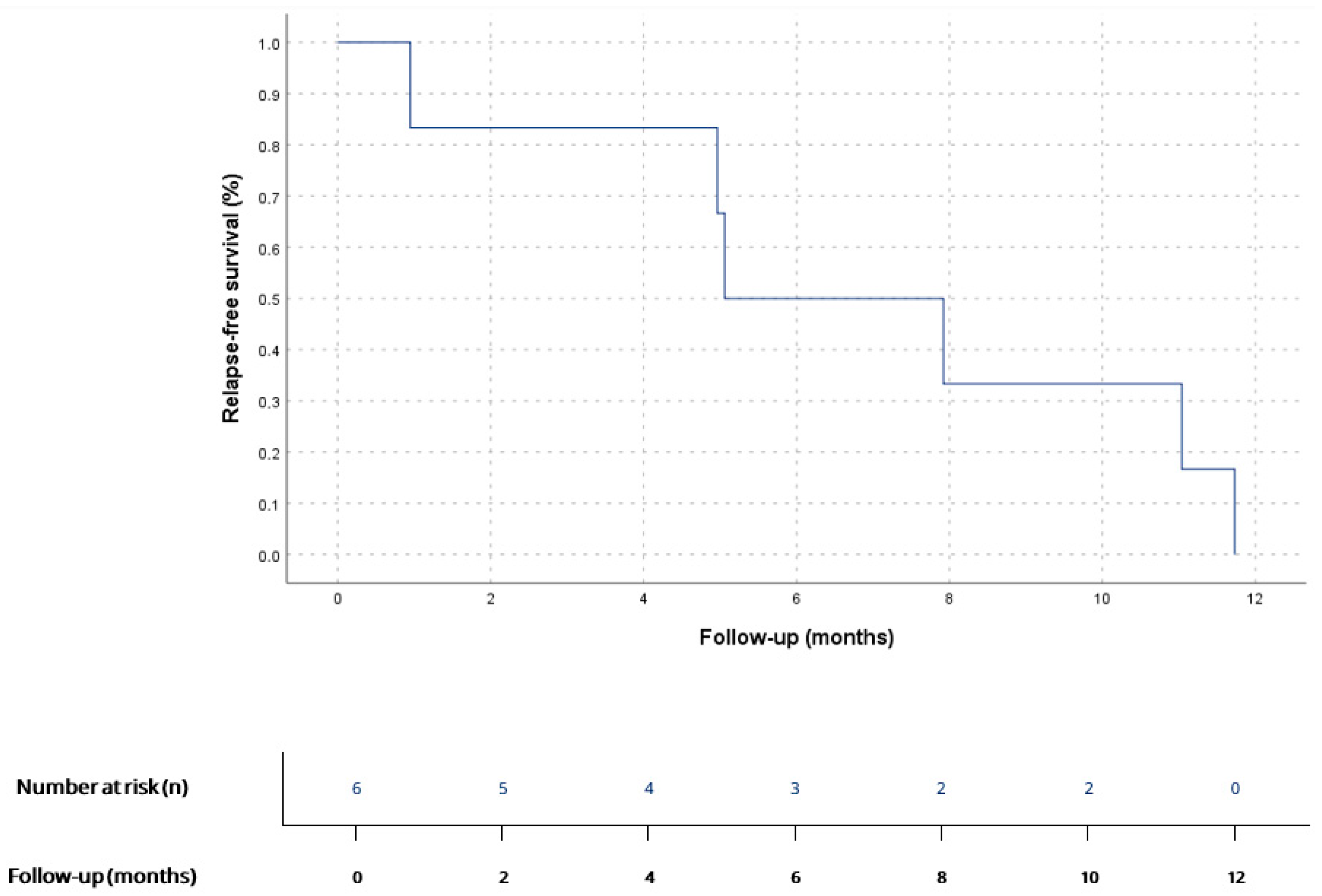
3.2. Management and Outcomes
4. Discussion
5. Conclusions
Supplementary Materials
Author Contributions
Funding
Institutional Review Board Statement
Informed Consent Statement
Data Availability Statement
Conflicts of Interest
References
- Bear, P.A.; Moodie, D.S. Malignant primary cardiac tumors: The Cleveland Clinic experience, 1956 to 1986. Chest 1987, 92, 860–862. [Google Scholar] [CrossRef]
- Reynen, K. Frequency of primary tumors of the heart. Am. J. Cardiol. 1996, 77, 107. [Google Scholar] [CrossRef]
- Oliveira, G.H.; Al-Kindi, S.G.; Hoimes, C.; Park, S.J. Characteristics and survival of malignant cardiac tumors: A 40-year analysis of >500 patients. Circulation 2015, 132, 2395–2402. [Google Scholar] [CrossRef]
- Yin, K.; Luo, R.; Wei, Y.; Wang, F.; Zhang, Y.; Karlson, K.J.; Zhang, Z.; Reardon, M.J.; Dobrilovic, N. Survival outcomes in patients with primary cardiac sarcoma in the United States. J. Thorac. Cardiovasc. Surg. 2021, 162, 107–115.e2. [Google Scholar] [CrossRef]
- Kim, M.P.; Correa, A.M.; Blackmon, S.; Quiroga-Garza, G.; Weilbaecher, D.; Bruckner, B.; Ramlawi, B.; Rice, D.C.; Vaporciyan, A.A.; Reardon, M.J. Outcomes after right-side heart sarcoma resection. Ann. Thorac. Surg. 2011, 91, 770–776. [Google Scholar] [CrossRef]
- Ramlawi, B.; Leja, M.J.; Abu Saleh, W.K.; Al Jabbari, O.; Benjamin, R.; Ravi, V.; Shapira, O.M.; Blackmon, S.H.; Bruckner, B.A.; Reardon, M.J. Surgical treatment of primary cardiac sarcomas: Review of a single-institution experience. Ann. Thorac. Surg. 2016, 101, 698–702. [Google Scholar] [CrossRef]
- Abu Saleh, W.K.; Ramlawi, B.; Shapira, O.M.; Al Jabbari, O.; Ravi, V.; Benjamin, R.; Durand, J.-B.; Leja, M.J.; Blackmon, S.H.; Bruckner, B.A. Improved outcomes with the evolution of a neoadjuvant chemotherapy approach to right heart sarcoma. Ann. Thorac. Surg. 2017, 104, 90–96. [Google Scholar] [CrossRef] [PubMed]
- Cho, H.; Song, I.; Jo, U.; Jeong, J.; Koo, H.J.; Yang, D.H.; Jung, S.-H.; Song, J.S.; Cho, K.-J. Primary cardiac sarcomas: A clinicopathologic study with 25 years of experience with emphasis on MDM2 expression and adjuvant therapy. Cancer Med. 2023, 12, 16815–16828. [Google Scholar] [CrossRef] [PubMed]
- Chambergo-Michilot, D.; De La Cruz-Ku, G.; Sterner, R.M.; Brañez-Condorena, A.; Guerra-Canchari, P.; Stulak, J. Clinical characteristics, management, and outcomes of patients with primary cardiac angiosarcoma: A systematic review. J. Cardiovasc. Thorac. Res. 2023, 15, 1–8. [Google Scholar] [CrossRef]
- Hammami, M.B. Incidence, prognostic significance and survival outcomes of primary cardiac sarcoma: An updated population-based retrospective study. Anatol. J. Cardiol. 2021, 25, 104–110. [Google Scholar] [CrossRef] [PubMed]
- Siontis, B.L.; Zhao, L.; Leja, M.; McHugh, J.B.; Shango, M.M.; Baker, L.H.; Schuetze, S.M.; Chugh, R. Primary cardiac sarcoma: A rare, aggressive malignancy with a high propensity for brain metastases. Sarcoma 2019, 2019, 960593. [Google Scholar] [CrossRef]
- Putnam, J.B.; Sweeney, M.S.; Colon, R.; Lanza, L.A.; Frazier, O.H.; Cooley, D.A. Primary cardiac sarcomas. Ann. Thorac. Surg. 1991, 51, 906–910. [Google Scholar] [CrossRef]
- Jiang, X.; Yan, M. Surgical treatment for improved 1-year survival in patients with primary cardiac sarcoma. Anatol. J. Cardiol. 2021, 25, 796–802. [Google Scholar] [CrossRef] [PubMed]
- Chan, E.Y.; Ali, A.; Zubair, M.M.; Nguyen, D.T.; Ibarra-Cortez, S.H.; Graviss, E.A.; Shapira, O.M.; Ravi, V.; MacGillivray, T.E.; Reardon, M.J. Primary cardiac sarcomas: Treatment strategies. J. Thorac. Cardiovasc. Surg. 2023, 166, 828–838.e2. [Google Scholar] [CrossRef] [PubMed]
- Hasan, S.M.; Witten, J.; Collier, P.; Tong, M.Z.; Pettersson, G.B.; Smedira, N.G.; Toth, A.; Shepard, D.; Blackstone, E.H.; Roselli, E.E. Outcomes after resection of primary cardiac sarcoma. JTCVS Open 2021, 8, 384–390. [Google Scholar] [CrossRef]
- Bakaeen, F.G.; Jaroszewski, D.E.; Rice, D.C.; Walsh, G.L.; Vaporciyan, A.A.; Swisher, S.S.; Benjamin, R.; Blackmon, S.; Reardon, M.J. Outcomes after surgical resection of cardiac sarcoma in the multimodality treatment era. J. Thorac. Cardiovasc. Surg. 2009, 137, 1454–1460. [Google Scholar] [CrossRef]
- Shapira, O.M.; Korach, A.; Izhar, U.; Koler, T.; Wald, O.; Ayman, M.; Erez, E.; Blackmon, S.H.; Reardon, M.J. Radical multidisciplinary approach to primary cardiac sarcomas. Eur. J. Cardiothorac. Surg. 2013, 44, 330–336. [Google Scholar] [CrossRef] [PubMed]
- Wu, Y.; Million, L.; Moding, E.J.; Scott, G.; Berry, M.; Ganjoo, K.N. The impact of postoperative therapy on primary cardiac sarcoma. J. Thorac. Cardiovasc. Surg. 2018, 156, 2194–2203. [Google Scholar] [CrossRef]
- Burkhard-Meier, A.; Di Gioia, D.; Jurinovic, V.; Hoberger, M.; Güler, S.E.; Völkl, M.; Corradini, S.; Gaasch, A.V.; Alig, A.H.S.; Knösel, T.; et al. Primary cardiac sarcoma: Insights from two decades of multimodal management at LMU Munich. Cardiooncology 2025, 11, 58. [Google Scholar] [CrossRef]
- Look Hong, N.J.; Pandalai, P.K.; Hornick, J.L.; Shekar, P.S.; Harmon, D.C.; Chen, Y.L.; Butrynski, J.E.; Baldin, E.H.; Raut, C.P. Cardiac angiosarcoma management and outcomes: 20-year single-institution experience. Ann. Surg. Oncol. 2012, 19, 2707–2715. [Google Scholar] [CrossRef]
- Li, H.; Yang, S.; Chen, H.; Yang, Z.; Hong, T.; Hou, Y.; Wang, C. Survival after heart transplantation for non-metastatic primary cardiac sarcoma. J. Cardiothorac. Surg. 2016, 11, 145. [Google Scholar] [CrossRef]
- Corradi, D.; Moreno, P.R.; Rahouma, M.; Abascal, V.M.; Guareschi, D.; Tafuni, A.; Grazioli, V.; Palumbo, A.; Niccoli, G.; Lorusso, R. Cardiac tumors: Updated classifications and main clinicopathologic findings. Trends Cardiovasc. Med. 2025, 35, 297–308. [Google Scholar] [CrossRef]
- Kim, C.H.; Dancer, J.Y.; Coffey, D.; Zhai, Q.J.; Reardon, M.; Ayala, A.G.; Ro, J.Y. Clinicopathologic study of 24 patients with primary cardiac sarcomas: A 10-year single-institution experience. Hum. Pathol. 2008, 39, 933–938. [Google Scholar] [CrossRef]
- Isambert, N.; Ray-Coquard, I.; Italiano, A.; Rios, M.; Kerbrat, P.; Gauthier, M.; Blouet, A.; Chaigneau, L.; Duffaud, F.; Piperno-Neumann, S.; et al. Primary cardiac sarcomas: A retrospective study of the French Sarcoma Group. Eur. J. Cancer 2014, 50, 128–136. [Google Scholar] [CrossRef]
- Sultan, I.; Bianco, V.; Habertheuer, A.; Kilic, A.; Gleason, T.G.; Aranda-Michel, E.; Harinstein, M.E.; Martinez-Meehan, D.; Arnaoutakis, G.; Okusanya, O. Long-term outcomes of primary cardiac malignancies: Multi-institutional results from the National Cancer Database. J. Am. Coll. Cardiol. 2020, 75, 2338–2347. [Google Scholar] [CrossRef]
- Hendriksen, B.S.; Stahl, K.A.; Hollenbeak, C.S.; Taylor, M.D.; Vasekar, M.K.; Drabick, J.J.; Conte, J.V.; Soleimani, B.; Reed, M.F. Postoperative chemotherapy and radiation improve survival following cardiac sarcoma resection. J. Thorac. Cardiovasc. Surg. 2021, 161, 110–119.e4. [Google Scholar] [CrossRef]
- Romanowska, A.; Lewicka, E.; Sławiński, G.; Jankowska, H.; Zaucha, R. Adjuvant radiotherapy can be an effective treatment for intimal sarcoma of the heart: Case report. Front. Oncol. 2021, 11, 621289. [Google Scholar] [CrossRef]
- Corradini, S.; Von Bestenbostel, R.; Romano, A.; Curta, A.; Di Gioia, D.; Placidi, L.; Niyazi, M.; Boldrini, L. MR-guided stereotactic body radiation therapy for primary cardiac sarcomas. Radiat. Oncol. 2021, 16, 60. [Google Scholar] [CrossRef] [PubMed]
- Frankart, A.J.; Nagarajan, R.; Pater, L. The impact of proton therapy on cardiotoxicity following radiation treatment. J. Thromb. Thrombolysis 2021, 51, 877–883. [Google Scholar] [CrossRef] [PubMed]
- Judson, I.; Verweij, J.; Gelderblom, H.; Hartmann, J.T.; Schöffski, P.; Blay, J.Y.; Kerst, J.M.; Sufliarsky, J.; Whelan, J.; Hohenberger, P.; et al. Doxorubicin alone versus intensified doxorubicin plus ifosfamide for first-line treatment of advanced or metastatic soft-tissue sarcoma: A randomized controlled phase 3 trial. Lancet Oncol. 2014, 15, 415–423. [Google Scholar] [CrossRef] [PubMed]
- Gronchi, A.; Miah, A.B.; Dei Tos, A.P.; Abecassis, N.; Bajpai, J.; Bauer, S.; Biagini, R.; Bielack, S.; Blay, J.Y.; Bolle, S.; et al. Soft tissue and visceral sarcomas: ESMO–EURACAN–GENTURIS clinical practice guidelines for diagnosis, treatment and follow-up. Ann. Oncol. 2021, 32, 1348–1365. [Google Scholar] [CrossRef] [PubMed]
- Penel, N.; Bui, B.N.; Bay, J.O.; Cupissol, D.; Ray-Coquard, I.; Piperno-Neumann, S.; Kerbrat, P.; Fournier, C.; Taieb, S.; Jimenez, M.; et al. Phase II trial of weekly paclitaxel for unresectable angiosarcoma: The ANGIOTAX study. J. Clin. Oncol. 2008, 26, 5269–5274. [Google Scholar] [CrossRef] [PubMed]





| n (%) | |
|---|---|
| Gender | |
| Male | 5 (41.7) |
| Female | 7 (58.3) |
| Clinical presentation | |
| Dyspnea | 8 (66.7) |
| Pericardial effusion | 6 (50.0) |
| Cardiac tamponade | 4 (33.3) |
| Thoracic pain | 4 (33.3) |
| Arrhythmia | 3 (25.0) |
| Primary tumor origin | |
| Any right cardiac structure | 9 (75.0) |
| Right atrium | 6 (50.0) |
| Right ventricle | 1 (8.3) |
| Pulmonary artery | 2 (16.7) |
| Left atrium | 3 (25) |
| Involvement of >1 cardiac chamber | 5 (41.7) |
| Histotype | |
| Angiosarcoma | 6 (50.0) |
| UPS | 4 (33.3) |
| USRCS | 1 (8.3) |
| Intimal sarcoma | 1 (8.3) |
| Tumor grade | |
| G2 | 2 (16.7) |
| G3/High grade | 10 (83.3) |
| Staging at diagnosis | |
| Localized disease | 7 (58.3) |
| Metastatic disease | 5 (41.7) |
| n (%) | ||
|---|---|---|
| Localized disease (n = 7) | Surgery | 6 (85.7) |
| R0 | 2 (33.3) | |
| R1 | 4 (66.3) | |
| Adjuvant chemotherapy | 2 (33.3) | |
| Sequential chemo-radiotherapy | 1 (14.3) | |
| n (%) | ||
| Advanced disease * (n = 12) | Metastatic disease | 11 (91.6) |
| Unresectable locally advanced relapse | 1 (8.33) | |
| Surgery | 1 (8.33) | |
| Systemic treatment | 12 (100.0) | |
| >1 line of treatment | 8 (66.6) | |
| Anthracyclines | 9 (75.0) | |
| Anthracyclines (monotherapy) | 5 (55.5) | |
| Anthracyclines (combination regimen) | 4 (44.4) | |
| Taxane-based scheme | 7 (58.3) | |
| Gemcitabine-based scheme | 5 (41.6) |
| n | Median (Months) | IC 95% | ||
|---|---|---|---|---|
| Localized disease | RFS after surgery | 6 | 5 | 1.5–8.6 |
| Time from surgery to metastatic disease | 5 | 7.6 | 0.0–15.8 | |
| PFS | 7 | 7.9 | 0.5–15.2 | |
| OS | 7 | 22.1 | 16.0–28.1 | |
| Advanced disease | PFS for first-line treatment | 12 | 5.9 | 1.8–9.9 |
| PFS for second-line treatment | 8 | 2.1 | 0.0–4.4 | |
| PFS for anthracycline-based treatment | 9 | 5.3 | 2.7–7.9 | |
| OS | 12 | 12 | 10.3–13.6 | |
| OS for angiosarcoma | 6 | 12 | 2.9–21.1 | |
| OS for non-angiosarcoma histologies | 6 | 12 | 9.6–14.3 |
Disclaimer/Publisher’s Note: The statements, opinions and data contained in all publications are solely those of the individual author(s) and contributor(s) and not of MDPI and/or the editor(s). MDPI and/or the editor(s) disclaim responsibility for any injury to people or property resulting from any ideas, methods, instructions or products referred to in the content. |
© 2025 by the authors. Licensee MDPI, Basel, Switzerland. This article is an open access article distributed under the terms and conditions of the Creative Commons Attribution (CC BY) license (https://creativecommons.org/licenses/by/4.0/).
Share and Cite
López-Jiménez, C.; Benavente de Lucas, M.; Gutiérrez-Ortiz de la Tabla, A.; Gutiérrez Alonso, N.; Arregui, M.; Álvarez, R. Primary Cardiac Sarcomas: Clinical Characteristics, Management, and Outcomes at a Spanish National Reference Center. Cancers 2025, 17, 3947. https://doi.org/10.3390/cancers17243947
López-Jiménez C, Benavente de Lucas M, Gutiérrez-Ortiz de la Tabla A, Gutiérrez Alonso N, Arregui M, Álvarez R. Primary Cardiac Sarcomas: Clinical Characteristics, Management, and Outcomes at a Spanish National Reference Center. Cancers. 2025; 17(24):3947. https://doi.org/10.3390/cancers17243947
Chicago/Turabian StyleLópez-Jiménez, Carlos, Mónica Benavente de Lucas, Ana Gutiérrez-Ortiz de la Tabla, Natalia Gutiérrez Alonso, Marta Arregui, and Rosa Álvarez. 2025. "Primary Cardiac Sarcomas: Clinical Characteristics, Management, and Outcomes at a Spanish National Reference Center" Cancers 17, no. 24: 3947. https://doi.org/10.3390/cancers17243947
APA StyleLópez-Jiménez, C., Benavente de Lucas, M., Gutiérrez-Ortiz de la Tabla, A., Gutiérrez Alonso, N., Arregui, M., & Álvarez, R. (2025). Primary Cardiac Sarcomas: Clinical Characteristics, Management, and Outcomes at a Spanish National Reference Center. Cancers, 17(24), 3947. https://doi.org/10.3390/cancers17243947

