Neoadjuvant Chemotherapy Followed by Concurrent Chemoradiation Versus Adjuvant Chemotherapy Following Concurrent Chemoradiation for Locally Advanced Cervical Cancer: A Network Meta-Analysis
Simple Summary
Abstract
1. Introduction
2. Materials and Methods
2.1. Search Strategy
2.2. Selection Criteria
2.3. Data Extraction and Outcomes of Interest
2.4. Statistical Analyses
3. Results
3.1. Included Studies: Search Results, Characteristics, and Assessments of Risk Bias
3.2. Network Meta-Analyses for PFS and OS
4. Discussion
5. Conclusions
Supplementary Materials
Author Contributions
Funding
Institutional Review Board Statement
Informed Consent Statement
Data Availability Statement
Conflicts of Interest
Abbreviations
References
- Singh, D.; Vignat, J.; Lorenzoni, V.; Eslahi, M.; Ginsburg, O.; Lauby-Secretan, B.; Arbyn, M.; Basu, P.; Bray, F.; Vaccarella, S. Global estimates of incidence and mortality of cervical cancer in 2020: A baseline analysis of the WHO Global Cervical Cancer Elimination Initiative. Lancet Glob. Health 2023, 11, e197–e206. [Google Scholar] [CrossRef]
- Ronsini, C.; Solazzo, M.C.; Braca, E.; Andreoli, G.; Vastarella, M.G.; Cianci, S.; Capozzi, V.A.; Torella, M.; Cobellis, L.; De Franciscis, P. Locally Advanced Cervical Cancer: Neoadjuvant Treatment Versus Standard Radio-Chemotherapy—An Updated Meta-Analysis. Cancers 2024, 16, 2542. [Google Scholar] [CrossRef] [PubMed]
- Barbera, L.; Thomas, G. Management of early and locally advanced cervical cancer. Semin. Oncol. 2009, 36, 155–169. [Google Scholar] [CrossRef] [PubMed]
- National Comprehensive Cancer Network. Cervical Cancer (Version 2024). Available online: https://www.nccn.org/guidelines/guidelines-detail?category=1&id=1426 (accessed on 25 October 2004).
- De Nunes Arruda, F.; da Costa, S.; Bonadio, R.; Dornellas, A.; Pereira, D.; de Bock, G.H.; Del Pilar Estevez Diz, M. Quality of life of locally advanced cervical cancer patients after neoadjuvant chemotherapy followed by chemoradiation versus chemoradiation alone (CIRCE trial): A randomized phase II trial. Int. J. Gynecol. Cancer 2020, 30, 749–756. [Google Scholar] [CrossRef] [PubMed]
- Lorvidhaya, V.; Chitapanarux, I.; Sangruchi, S.; Lertsanguansinchai, P.; Kongthanarat, Y.; Tangkaratt, S.; Visetsiri, E. Concurrent mitomycin C, 5-fluorouracil, and radiotherapy in the treatment of locally advanced carcinoma of the cervix: A randomized trial. Int. J. Radiat. Oncol. Biol. Phys. 2003, 55, 1226–1232. [Google Scholar] [CrossRef]
- Kim, Y.S.; Shin, S.S.; Nam, J.H.; Kim, Y.T.; Kim, Y.M.; Kim, J.H.; Choi, E.K. Prospective randomized comparison of monthly fluorouracil and cisplatin versus weekly cisplatin concurrent with pelvic radiotherapy and high-dose rate brachytherapy for locally advanced cervical cancer. Gynecol. Oncol. 2008, 108, 195–200. [Google Scholar] [CrossRef]
- Dueñas-González, A.; Zarbá, J.J.; Patel, F.; Alcedo, J.C.; Beslija, S.; Casanova, L.; Pattaranutaporn, P.; Hameed, S.; Blair, J.M.; Barraclough, H.; et al. Phase III, open-label, randomized study comparing concurrent gemcitabine plus cisplatin and radiation followed by adjuvant gemcitabine and cisplatin versus concurrent cisplatin and radiation in patients with stage IIB to IVA carcinoma of the cervix. J. Clin. Oncol. 2011, 29, 1678–1685. [Google Scholar] [CrossRef]
- Tangjitgamol, S.; Tharavichitkul, E.; Tovanabutra, C.; Rongsriyam, K.; Asakij, T.; Paengchit, K.; Sukhaboon, J.; Penpattanagul, S.; Kridakara, A.; Hanprasertpong, J.; et al. A randomized controlled trial comparing concurrent chemoradiation versus concurrent chemoradiation followed by adjuvant chemotherapy in locally advanced cervical cancer patients: ACTLACC trial. J. Gynecol. Oncol. 2019, 30, e82. [Google Scholar] [CrossRef] [PubMed]
- Tovanabutra, C.; Asakij, T.; Rongsriyam, K.; Tangjitgamol, S.; Tharavichitkul, E.; Sukhaboon, J.; Kridakara, L.C.A.; Paengchit, K.; Khunnarong, J.; Atjimakul, T.; et al. Long-Term Outcomes and Sites of Failure in Locally Advanced, Cervical Cancer Patients Treated by Concurrent Chemoradiation With or Without Adjuvant Chemotherapy: ACTLACC Trial. Asian Pac. J. Cancer Prev. 2021, 22, 2977–2985. [Google Scholar] [CrossRef] [PubMed]
- Mileshkin, L.R.; Moore, K.N.; Barnes, E.H.; Gebski, V.; Narayan, K.; King, M.T.; Bradshaw, N.; Lee, Y.C.; Diamante, K.; Fyles, A.W.; et al. Adjuvant chemotherapy following chemoradiotherapy as primary treatment for locally advanced cervical cancer versus chemoradiotherapy alone (OUTBACK): An international, open-label, randomised, phase 3 trial. Lancet Oncol. 2023, 24, 468–482. [Google Scholar] [CrossRef] [PubMed]
- da Costa, S.C.S.; Bonadio, R.C.; Gabrielli, F.C.G.; Aranha, A.S.; Dias Genta, M.L.N.; Miranda, V.C.; de Freitas, D.; Abdo Filho, E.; Ferreira, P.A.O.; Machado, K.K.; et al. Neoadjuvant Chemotherapy With Cisplatin and Gemcitabine Followed by Chemoradiation Versus Chemoradiation for Locally Advanced Cervical Cancer: A Randomized Phase II Trial. J. Clin. Oncol. 2019, 37, 3124–3131. [Google Scholar] [CrossRef]
- McCormack, M.; Gallardo Rincón, D.; Eminowicz, G.; Diez, P.; Farrelly, L.; Kent, C.; Hudson, E.; Panades, M.; Mathews, T.; Anand, A.; et al. LBA8 A randomised phase III trial of induction chemotherapy followed by chemoradiation compared with chemoradiation alone in locally advanced cervical cancer: The GCIG INTERLACE trial. Ann. Oncol. 2023, 34, S1276. [Google Scholar] [CrossRef]
- Li, F.; Mei, F.; Yin, S.; Du, Y.; Hu, L.; Hong, W.; Li, J. Improving the efficacy and safety of concurrent chemoradiotherapy by neoadjuvant chemotherapy: A randomized controlled study of locally advanced cervical cancer with a large tumor. J. Gynecol. Oncol. 2024, 35, e10. [Google Scholar] [CrossRef] [PubMed]
- Liu, H.; Ma, X.; Sun, C.; Wu, M.; Xu, Z.; Zhou, S.; Yao, N.; Liu, S.; Qin, X.; Han, Z. Concurrent chemoradiotherapy followed by adjuvant chemotherapy versus concurrent chemoradiotherapy alone in locally advanced cervical cancer: A systematic review and meta-analysis. Front. Oncol. 2022, 12, 997030. [Google Scholar] [CrossRef]
- Horeweg, N.; Mittal, P.; Gradowska, P.L.; Boere, I.; Nout, R.A.; Chopra, S. A systematic review and meta-analysis of adjuvant chemotherapy after chemoradiation for locally advanced cervical cancer. Crit. Rev. Oncol. Hematol. 2022, 172, 103638. [Google Scholar] [CrossRef]
- Zhong, L.; Li, K.; Song, L.; Yin, R. The effect of consolidation chemotherapy after concurrent chemoradiation on the prognosis of locally advanced cervical cancer: A systematic review and meta-analysis. J. Obstet. Gynaecol. 2022, 42, 830–837. [Google Scholar] [CrossRef] [PubMed]
- Ma, X.; Fang, J.; Zhang, L.; Huang, Y.; Shen, H.; Ma, X.; Zhang, S.; Zhang, B. Efficacy and safety of adjuvant chemotherapy for locally advanced cervical cancer: A systematic review and meta-analysis. Crit. Rev. Oncol. Hematol. 2023, 184, 103953. [Google Scholar] [CrossRef] [PubMed]
- Page, M.J.; McKenzie, J.E.; Bossuyt, P.M.; Boutron, I.; Hoffmann, T.C.; Mulrow, C.D.; Shamseer, L.; Tetzlaff, J.M.; Akl, E.A.; Brennan, S.E.; et al. The PRISMA 2020 statement: An updated guideline for reporting systematic reviews. Bmj 2021, 372, n71. [Google Scholar] [CrossRef] [PubMed]
- White, I.R. Network Meta-analysis. Stata. J. 2015, 15, 951–985. [Google Scholar] [CrossRef]
- Salanti, G.; Ades, A.E.; Ioannidis, J.P. Graphical methods and numerical summaries for presenting results from multiple-treatment meta-analysis: An overview and tutorial. J. Clin. Epidemiol. 2011, 64, 163–171. [Google Scholar] [CrossRef] [PubMed]
- Shim, S.; Yoon, B.H.; Shin, I.S.; Bae, J.M. Network meta-analysis: Application and practice using Stata. Epidemiol Health. 2017, 39, e2017047. [Google Scholar] [CrossRef]
- Burmeister, C.A.; Khan, S.F.; Schäfer, G.; Mbatani, N.; Adams, T.; Moodley, J.; Prince, S. Cervical cancer therapies: Current challenges and future perspectives. Tumour. Virus Res. 2022, 13, 200238. [Google Scholar] [CrossRef]
- Gupta, S.; Maheshwari, A.; Parab, P.; Mahantshetty, U.; Hawaldar, R.; Sastri Chopra, S.; Kerkar, R.; Engineer, R.; Tongaonkar, H.; Ghosh, J.; et al. Neoadjuvant Chemotherapy Followed by Radical Surgery Versus Concomitant Chemotherapy and Radiotherapy in Patients with Stage IB2, IIA, or IIB Squamous Cervical Cancer: A Randomized Controlled Trial. J. Clin. Oncol. 2018, 36, 1548–1555. [Google Scholar] [CrossRef]
- Cetina, L.; González-Enciso, A.; Cantú, D.; Coronel, J.; Pérez-Montiel, D.; Hinojosa, J.; Serrano, A.; Rivera, L.; Poitevin, A.; Mota, A.; et al. Brachytherapy versus radical hysterectomy after external beam chemoradiation with gemcitabine plus cisplatin: A randomized, phase III study in IB2-IIB cervical cancer patients. Ann. Oncol. 2013, 24, 2043–2047. [Google Scholar] [CrossRef]
- Keys, H.M.; Bundy, B.N.; Stehman, F.B.; Okagaki, T.; Gallup, D.G.; Burnett, A.F.; Rotman, M.Z.; Fowler, W.C., Jr. Radiation therapy with and without extrafascial hysterectomy for bulky stage IB cervical carcinoma: A randomized trial of the Gynecologic Oncology Group. Gynecol. Oncol. 2003, 89, 343–353. [Google Scholar] [CrossRef] [PubMed]
- Landoni, F.; Maneo, A.; Colombo, A.; Placa, F.; Milani, R.; Perego, P.; Favini, G.; Ferri, L.; Mangioni, C. Randomised study of radical surgery versus radiotherapy for stage Ib-IIa cervical cancer. Lancet 1997, 350, 535–540. [Google Scholar] [CrossRef]
- Eddy, G.L.; Bundy, B.N.; Creasman, W.T.; Spirtos, N.M.; Mannel, R.S.; Hannigan, E.; O’Connor, D. Treatment of (“bulky”) stage IB cervical cancer with or without neoadjuvant vincristine and cisplatin prior to radical hysterectomy and pelvic/para-aortic lymphadenectomy: A phase III trial of the gynecologic oncology group. Gynecol. Oncol. 2007, 106, 362–369. [Google Scholar] [CrossRef]
- Qiao, Y.; Li, H.; Peng, B. Neoadjuvant and Adjuvant Treatments Compared to Concurrent Chemoradiotherapy for Patients with Locally Advanced Cervical Cancer: A Bayesian Network Meta-Analysis. Front. Oncol. 2022, 12, 745522. [Google Scholar] [CrossRef] [PubMed]
- Čerina, D.; Boraska Jelavić, T.; Buljubašić Franić, M.; Tomić, K.; Bajić, Ž.; Vrdoljak, E. Is There a Place for Adjuvant Chemotherapy in the Treatment of Locally Advanced Cervical Cancer? Curr. Oncol. 2022, 29, 5223–5237. [Google Scholar] [CrossRef] [PubMed]
- Lindegaard, J.C.; Petric, P.; Tan, L.T.; Hoskin, P.; Schmid, M.P.; Jürgenliemk-Schulz, I.; Mahantshetty, U.; Kirisits, C.; Pötter, R. Are we making progress in curing advanced cervical cancer-again? Int. J. Gynecol. Cancer 2024, 34, 1940–1945. [Google Scholar] [CrossRef] [PubMed]





| Authors | Design | Population | Number of Participants | Treatment Arms | PFS | OS | ||||||
|---|---|---|---|---|---|---|---|---|---|---|---|---|
| Event (n) | HR | 95% CI | p Value | Event (n) | HR | 95% CI | p Value | |||||
| da Costa SCS et al. (2019) [12] CIRCE | RCT, Phase 2 | Stage IIB—IVA, median follow-up time: >48.7 months | NACT + CCRT: 55 CCRT: 52 | NACT + CCRT: cisplatin 50 mg/m2 IV on day 1 plus gemcitabine 1000 mg/m2 IV on day 1 and day 8 every 3 weeks for 3 cycles, and then cisplatin 40 mg/m2 weekly for 6 weeks with concurrent EBRT 45–50.4 Gy, followed by brachytherapy. CCRT: cisplatin and concurrent EBRT followed by brachytherapy (dosing same as for neoadjuvant chemotherapy + CCRT). | NACT + CCRT: 33 CCRT: 21 | 1.84 | 1.04–3.26 | 0.03 | NACT + CCRT: 22 CCRT: 7 | 2.79 | 1.29–6.01 | 0.01 |
| McCormack M et al. (2023) [13], INTERLACE | RCT, Phase 3 (Abstract) | Stage IB1 lymph node-positive—IVA (IB1/2: 9%; II: 77%), median follow-up time: 64 months | NACT + CCRT: 250 CCRT: 250 | NACT + CCRT: weekly carboplatin AUC 2 IV plus weekly paclitaxel 80 mg/m2 IV for 6 weeks, and then cisplatin 40 mg/m2 weekly for 5 weeks with concurrent EBRT 40–50.4 Gy, followed by brachytherapy. CCRT: cisplatin and concurrent EBRT followed by brachytherapy (dosing same as for neoadjuvant chemotherapy + CCRT). | NACT + CCRT: 183 CCRT: 160 | 0.65 | 0.46–0.91 | 0.01 | NACT + CCRT: 200 CCRT: 180 | 0.61 | 0.40–0.91 | 0.04 |
| Li F et al. (2024) [14] | RCT, Phase 2 | Stage IIB—IVA, median follow-up time: 21 months | NACT + CCRT: 73 CCRT: 73 | NACT + CCRT: cisplatin 60–80 mg/m2 IV plus paclitaxel 135–175 mg/m2 IV every 3 weeks for 2 cycles, and then cisplatin 40 mg/m2 weekly for 6 weeks with concurrent EBRT 50.4 Gy, followed by brachytherapy. CCRT: cisplatin and concurrent EBRT followed by brachytherapy (dosing same as for neoadjuvant chemotherapy + CCRT). | NACT + CCRT: 14 CCRT: 15 | 0.72 | 0.31–1.68 | 0.34 | NACT + CCRT: 8 CCRT: 14 | 0.69 | 0.11–0.92 | 0.02 |
| Dueñas-González A et al. (2011) [8] | RCT, Phase 3 | Stage IIB—IVA, median follow-up time: 46.9 months | CCRT + ACT: 259 CCRT: 256 | CCRT + ACT: cisplatin 40 mg/m2 IV and gemcitabine 125 mg/m2 IV weekly for 6 weeks with concurrent EBRT 50.4 Gy, followed by brachytherapy, and then cisplatin 50 mg/m2 IV on day 1 plus gemcitabine 1000 mg/m2 IV on days 1 and 8 every 3 weeks for 2 cycles. CCRT: cisplatin and concurrent EBRT followed by brachytherapy (dosing is the same as CCRT + adjuvant chemotherapy). | CCRT + ACT: 75 CCRT: 97 | 0.68 | 0.49–0.95 | 0.02 | CCRT + ACT: 65 CCRT: 92 | 0.68 | 0.49–0.95 | 0.02 |
| Tovanabutra C et al. (2021) [10], ACTLACC | RCT, Phase 2 | Stage IIB—IVA without para-aortic lymph node enlargement, median follow-up time: 40.9 months | CCRT + ACT: 130 CCRT: 129 | CCRT + ACT: cisplatin 40 mg/m2 IV weekly for 6 weeks with concurrent EBRT 45–50.4 Gy, followed by brachytherapy, and then carboplatin AUC 5 IV plus paclitaxel 175 mg/m2 IV every 4 weeks for 3 cycles. CCRT: cisplatin and concurrent EBRT followed by brachytherapy (dosing is the same as CCRT + adjuvant chemotherapy). | CCRT + ACT: 42 CCRT: 39 | 1.22 | 0.80–1.87 | 0.35 | CCRT + ACT: 39 CCRT: 30 | 1.27 | 0.76–2.10 | 0.34 |
| Mileshkin LR et al. (2023) [11], OUTBACK | RCT, Phase 3 | Stage 1B1 lymph node-positive—IVA (1B1, 1B2 or IIA: 33%), median follow-up time: 60 months | CCRT + ACT: 463 CCRT: 456 | CCRT + ACT: cisplatin 40 mg/m2 IV weekly for 5 weeks with concurrent EBRT 45–50.4 Gy, followed by brachytherapy, and then carboplatin AUC 5 IV plus paclitaxel 155 mg/m2 IV every 3 weeks for 4 cycles. CCRT: cisplatin and concurrent EBRT followed by brachytherapy (dosing is the same as CCRT + adjuvant chemotherapy). | CCRT + ACT: 171 CCRT: 173 | 0.86 | 0.69–1.08 | 0.58 | CCRT + ACT: 130 CCRT: 132 | 0.90 | 0.70–1.17 | 0.81 |
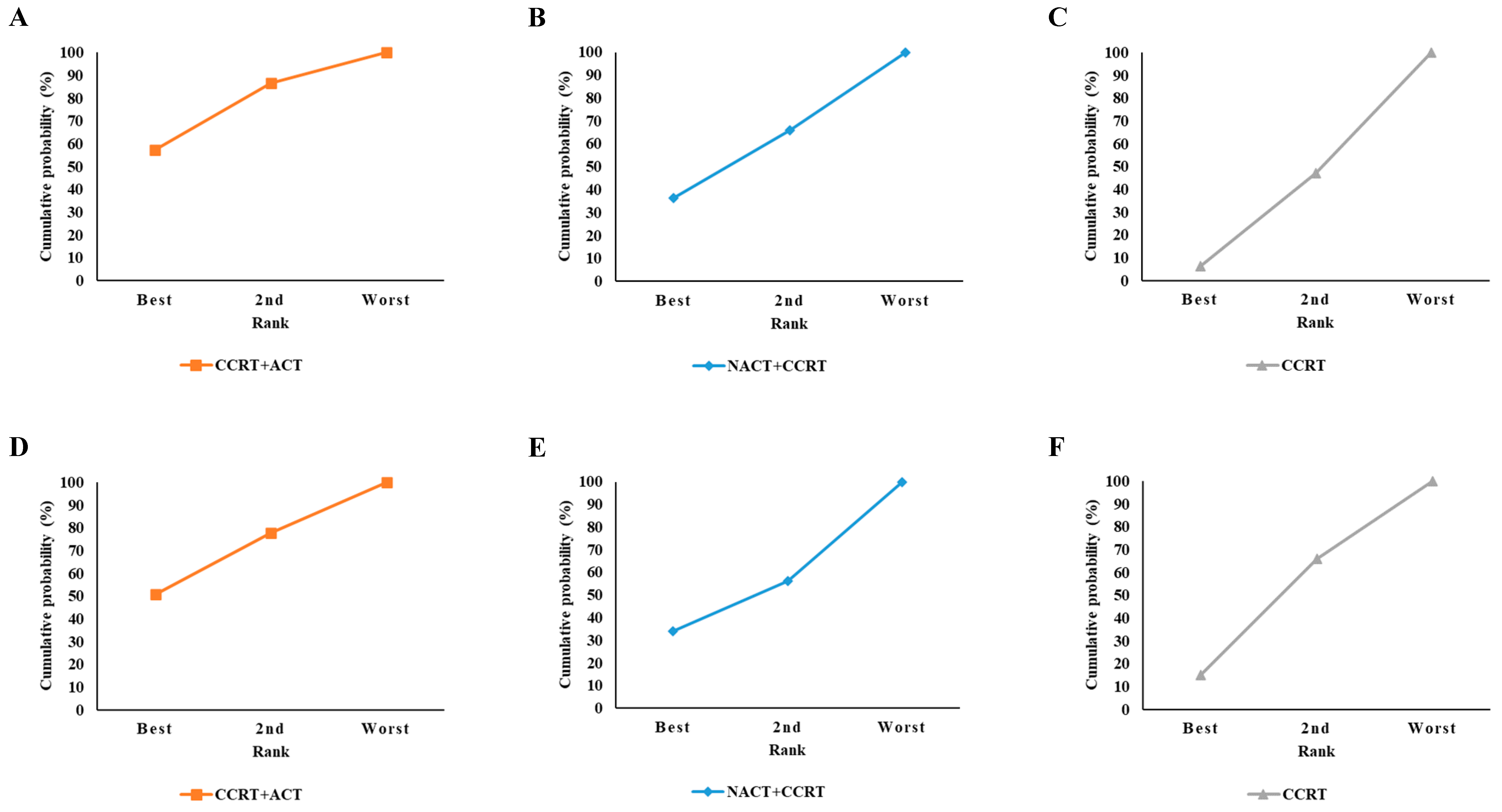
| Treatment Efficacy | ||||||
|---|---|---|---|---|---|---|
| Treatment | Best | 2nd | Worst | SUCRA | Rank | |
| PFS | ||||||
| CCRT + ACT | 57.2% | 29.6% | 13.2% | 72.0% | 1 | |
| CCRT | 6.4% | 40.8% | 52.8% | 51.2% | 2 | |
| NACT + CCRT | 36.4% | 29.6% | 34.0% | 26.8% | 3 | |
| OS | ||||||
| CCRT + ACT | 50.9% | 26.8% | 22.3% | 64.3% | 1 | |
| NACT + CCRT | 33.9% | 22.3% | 43.8% | 45.1% | 2 | |
| CCRT | 15.2% | 50.9% | 33.9% | 40.7% | 3 | |
Disclaimer/Publisher’s Note: The statements, opinions and data contained in all publications are solely those of the individual author(s) and contributor(s) and not of MDPI and/or the editor(s). MDPI and/or the editor(s) disclaim responsibility for any injury to people or property resulting from any ideas, methods, instructions or products referred to in the content. |
© 2025 by the authors. Licensee MDPI, Basel, Switzerland. This article is an open access article distributed under the terms and conditions of the Creative Commons Attribution (CC BY) license (https://creativecommons.org/licenses/by/4.0/).
Share and Cite
Suh, Y.J.; Lee, D.H.; Lee, H.J.; Lee, B. Neoadjuvant Chemotherapy Followed by Concurrent Chemoradiation Versus Adjuvant Chemotherapy Following Concurrent Chemoradiation for Locally Advanced Cervical Cancer: A Network Meta-Analysis. Cancers 2025, 17, 223. https://doi.org/10.3390/cancers17020223
Suh YJ, Lee DH, Lee HJ, Lee B. Neoadjuvant Chemotherapy Followed by Concurrent Chemoradiation Versus Adjuvant Chemotherapy Following Concurrent Chemoradiation for Locally Advanced Cervical Cancer: A Network Meta-Analysis. Cancers. 2025; 17(2):223. https://doi.org/10.3390/cancers17020223
Chicago/Turabian StyleSuh, Young Ju, Dae Hyung Lee, Hee Joong Lee, and Banghyun Lee. 2025. "Neoadjuvant Chemotherapy Followed by Concurrent Chemoradiation Versus Adjuvant Chemotherapy Following Concurrent Chemoradiation for Locally Advanced Cervical Cancer: A Network Meta-Analysis" Cancers 17, no. 2: 223. https://doi.org/10.3390/cancers17020223
APA StyleSuh, Y. J., Lee, D. H., Lee, H. J., & Lee, B. (2025). Neoadjuvant Chemotherapy Followed by Concurrent Chemoradiation Versus Adjuvant Chemotherapy Following Concurrent Chemoradiation for Locally Advanced Cervical Cancer: A Network Meta-Analysis. Cancers, 17(2), 223. https://doi.org/10.3390/cancers17020223

