SBRT in the Very Elderly: A Viable Option for Pulmonary Oligometastases?
Simple Summary
Abstract
1. Introduction
2. Materials and Methods
2.1. Study Population
2.2. Techniques of Radiotherapy
2.3. Follow-Up
2.4. Statistical Analysis
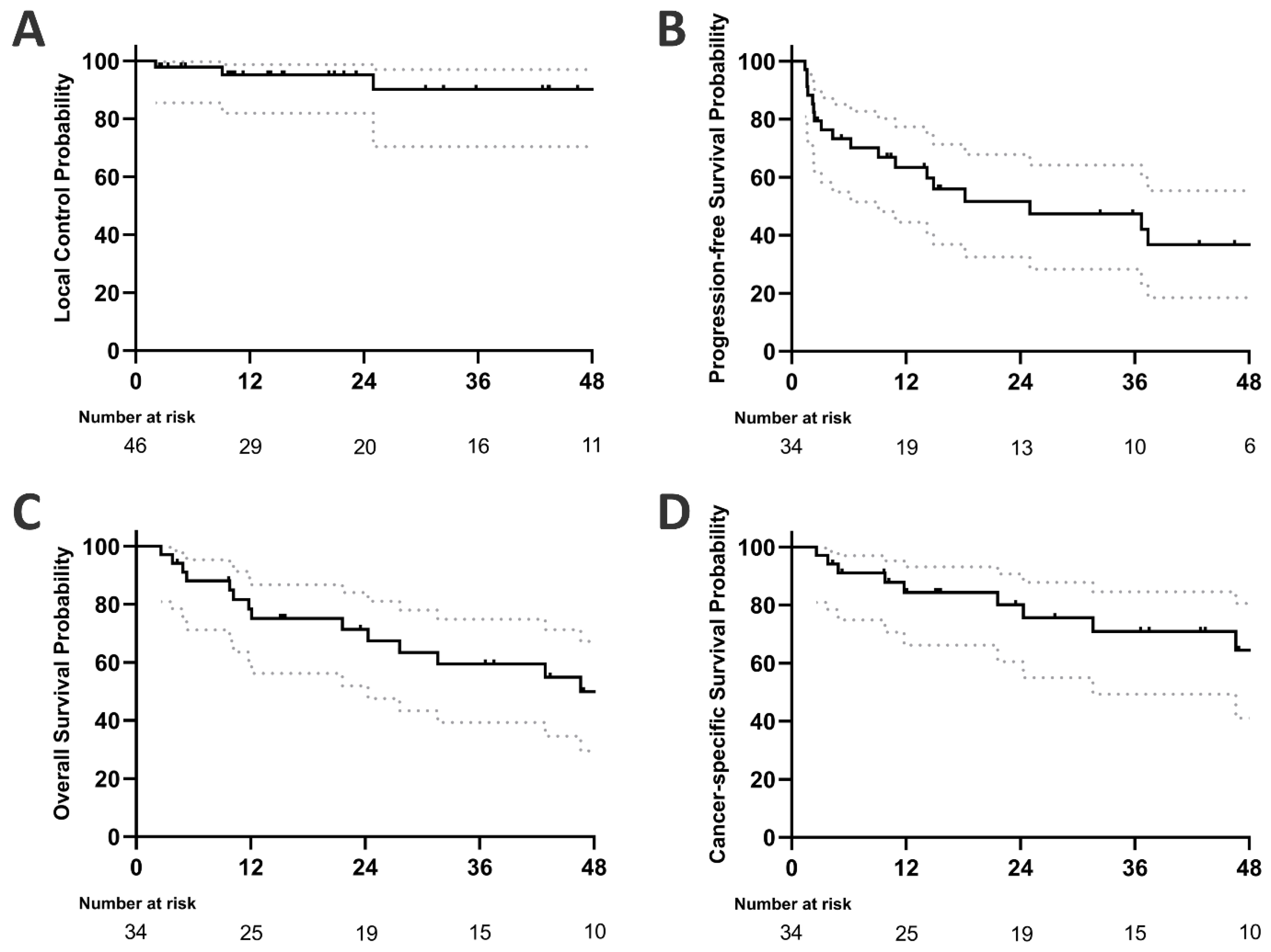
3. Results
3.1. Patient Population
3.2. Outcomes
3.3. Toxicities
4. Discussion
5. Conclusions
Author Contributions
Funding
Institutional Review Board Statement
Informed Consent Statement
Data Availability Statement
Conflicts of Interest
References
- Vollset, S.E.; Goren, E.; Yuan, C.-W.; Cao, J.; Smith, A.E.; Hsiao, T.; Bisignano, C.; Azhar, G.S.; Castro, E.; Chalek, J.; et al. Fertility, mortality, migration, and population scenarios for 195 countries and territories from 2017 to 2100: A forecasting analysis for the global burden of disease study. Lancet 2020, 396, 1285–1306. [Google Scholar] [CrossRef]
- Shah, R.; Battisti, N.M.L.; Brain, E.; Gnangnon, F.H.; Kanesvaran, R.; Mohile, S.; Noronha, V.; Puts, M.; Soto-Perez-De-Celis, E.; Pilleron, S. Updated cancer burden in oldest old: A population-based study using 2022 Globocan estimates. Cancer Epidemiol. 2025, 95, 102716. [Google Scholar] [CrossRef]
- Soerjomataram, I.; Bray, F. Planning for tomorrow: Global cancer incidence and the role of prevention 2020–2070. Nat. Rev. Clin. Oncol. 2021, 18, 663–672. [Google Scholar] [CrossRef]
- Laconi, E.; Marongiu, F.; DeGregori, J. Cancer as a disease of old age: Changing mutational and microenvironmental landscapes. Br. J. Cancer 2020, 122, 943–952. [Google Scholar] [CrossRef]
- Pilleron, S.; Soto-Perez-de-Celis, E.; Vignat, J.; Ferlay, J.; Soerjomataram, I.; Bray, F.; Sarfati, D. Estimated global cancer incidence in the oldest adults in 2018 and projections to 2050. Int. J. Cancer 2021, 148, 601–608. [Google Scholar] [CrossRef]
- Sedrak, M.S.; Freedman, R.A.; Cohen, H.J.; Muss, H.B.; Jatoi, A.; Klepin, H.D.; Wildes, T.M.; Le-Rademacher, J.G.; Kimmick, G.G.; Tew, W.P.; et al. Older adult participation in cancer clinical trials: A systematic review of barriers and interventions. CA A Cancer J. Clin. 2021, 71, 78–92. [Google Scholar] [CrossRef] [PubMed]
- Ludmir, E.B.; Mainwaring, W.; Lin, T.A.; Miller, A.B.; Jethanandani, A.; Espinoza, A.F.; Mandel, J.J.; Lin, S.H.; Smith, B.D.; Smith, G.L.; et al. Factors associated with age disparities among cancer clinical trial participants. JAMA Oncol. 2019, 5, 1769–1773. [Google Scholar] [CrossRef] [PubMed]
- Sedrak, M.S.; Mohile, S.G.; Sun, V.; Sun, C.-L.; Chen, B.T.; Li, D.; Wong, A.R.; George, K.; Padam, S.; Liu, J.; et al. Barriers to clinical trial enrollment of older adults with cancer: A qualitative study of the perceptions of community and academic oncologists. J. Geriatr. Oncol. 2020, 11, 327–334. [Google Scholar] [CrossRef] [PubMed]
- Ludmir, E.B.; Subbiah, I.M.; Mainwaring, W.; Miller, A.B.; Lin, T.A.; Jethanandani, A.; Espinoza, A.F.; Mandel, J.J.; Fang, P.; Smith, B.D.; et al. Decreasing incidence of upper age restriction enrollment criteria among cancer clinical trials. J. Geriatr. Oncol. 2020, 11, 451–454. [Google Scholar] [CrossRef] [PubMed]
- Tang, M.; Pearson, S.-A.; Schaffer, A.L.; Lewis, C.R.; John, T.; Simes, R.J.; Lee, C.K. Are clinical trial eligibility criteria representative of older patients with lung cancer? A population-based data linkage study. J. Geriatr. Oncol. 2021, 12, 930–936. [Google Scholar] [CrossRef]
- Patel, R.R.; Parisi, R.; Verma, V.; Kouzy, R.; Jaoude, J.A.; Lin, T.A.; Fuller, C.D.; VanderWalde, N.A.; Jagsi, R.; Smith, B.D.; et al. Association between prior malignancy exclusion criteria and age disparities in cancer clinical trials. Cancers 2022, 14, 1048. [Google Scholar] [CrossRef]
- Bastiaannet, E.; Pilleron, S. Epidemiology of cancer in older adults: A systematic review of age-related differences in solid malignancies treatment. Curr. Oncol. Rep. 2025, 27, 290–311. [Google Scholar] [CrossRef] [PubMed]
- Prisciandaro, E.; Ceulemans, L.J.; Van Raemdonck, D.E.; Decaluwé, H.; De Leyn, P.; Bertolaccini, L. Impact of the extent of lung resection on postoperative outcomes of pulmonary metastasectomy for colorectal cancer metastases: An exploratory systematic review. J. Thorac. Dis. 2022, 14, 2677–2688. [Google Scholar] [CrossRef] [PubMed]
- Gerull, W.D.; Puri, V.; Kozower, B.D. The epidemiology and biology of pulmonary metastases. J. Thorac. Dis. 2021, 13, 2585–2589. [Google Scholar] [CrossRef] [PubMed]
- Chen, H.; Stoltzfus, K.C.; Lehrer, E.J.; Horn, S.R.; Siva, S.; Trifiletti, D.M.; Meng, M.-B.; Verma, V.; Louie, A.V.; Zaorsky, N.G. The epidemiology of lung metastases. Front. Med. 2021, 8, 723396. [Google Scholar] [CrossRef]
- Reyes, D.K.; Pienta, K.J. The biology and treatment of oligometastatic cancer. Oncotarget 2015, 6, 8491–8524. [Google Scholar] [CrossRef]
- Hellman, S.; Weichselbaum, R.R. Oligometastases. J. Clin. Oncol. 1995, 13, 8–10. [Google Scholar] [CrossRef]
- Hafez, N.; Gettinger, S. Oligometastatic disease and local therapies: A medical oncology perspective. Cancer J. 2020, 26, 144–148. [Google Scholar] [CrossRef]
- Lo, S.S.; Fakiris, A.J.; Chang, E.L.; Mayr, N.A.; Wang, J.Z.; Papiez, L.; Teh, B.S.; McGarry, R.C.; Cardenes, H.R.; Timmerman, R.D. Stereotactic body radiation therapy: A novel treatment modality. Nat. Rev. Clin. Oncol. 2010, 7, 44–54. [Google Scholar] [CrossRef]
- Vorbach, S.M.; Mangesius, J.; Dejaco, D.; Seppi, T.; Santer, M.; Nedden, S.Z.; Sarcletti, M.P.; Pointner, M.J.; Hart, T.J.; Riechelmann, H.; et al. Survival, treatment outcome, and safety of multiple and repeated courses of stereotactic body radiotherapy for pulmonary oligometastases of head and neck squamous cell carcinoma. Cancers 2023, 15, 5253. [Google Scholar] [CrossRef] [PubMed]
- Palma, D.A.; Olson, R.; Harrow, S.; Gaede, S.; Louie, A.V.; Haasbeek, C.; Mulroy, L.; Lock, M.; Rodrigues, P.G.B.; Yaremko, B.P.; et al. Stereotactic ablative radiotherapy versus standard of care palliative treatment in patients with oligometastatic cancers (sabr-comet): A randomised, phase 2, open-label trial. Lancet 2019, 393, 2051–2058. [Google Scholar] [CrossRef]
- Harrow, S.; Palma, D.A.; Olson, R.; Gaede, S.; Louie, A.V.; Haasbeek, C.; Mulroy, L.; Lock, M.; Rodrigues, G.B.; Yaremko, B.P.; et al. Stereotactic radiation for the comprehensive treatment of oligometastases (sabr-comet): Extended long-term outcomes. Int. J. Radiat. Oncol. Biol. Phys. 2022, 114, 611–616. [Google Scholar] [CrossRef]
- Puts, M.T.; Hardt, J.; Monette, J.; Girre, V.; Springall, E.; Alibhai, S.M. Use of geriatric assessment for older adults in the oncology setting: A systematic review. JNCI J. Natl. Cancer Inst. 2012, 104, 1134–1164. [Google Scholar] [CrossRef]
- Lancia, A.; Ingrosso, G.; Carosi, A.; Bottero, M.; Cancelli, A.; Turturici, I.; Ponti, E.; Santoni, R. Oligometastatic cancer in elderly patients: The "Blitzkrieg" Radiotherapy approach: Sbrt in oligometastatic elderly patients. Aging Clin. Exp. Res. 2019, 31, 109–114. [Google Scholar] [CrossRef]
- Scorsetti, M.; Clerici, E.; Navarria, P.; D’Agostino, G.; Piergallini, L.; De Rose, F.; Ascolese, A.; Tozzi, A.; Iftode, C.; Villa, E.; et al. The role of stereotactic body radiation therapy (sbrt) in the treatment of oligometastatic disease in the elderly. Br. J. Radiol. 2015, 88, 20150111. [Google Scholar] [CrossRef] [PubMed]
- Cuccia, F.; Mazzola, R.; Pastorello, E.; Figlia, V.; Giaj-Levra, N.; Nicosia, L.; Ricchetti, F.; Rigo, M.; Attinà, G.; Vitale, C.; et al. Sbrt for elderly oligometastatic patients as a feasible, safe and effective treatment opportunity. Clin. Exp. Metastasis 2021, 38, 475–481. [Google Scholar] [CrossRef] [PubMed]
- Guckenberger, M.; Lievens, Y.; Bouma, A.B.; Collette, L.; Dekker, A.; deSouza, N.M.; Dingemans, A.-M.C.; Fournier, B.; Hurkmans, C.; Lecouvet, F.E.; et al. Characterisation and classification of oligometastatic disease: A european society for radiotherapy and oncology and european organisation for research and treatment of cancer consensus recommendation. Lancet Oncol. 2020, 21, e18–e28. [Google Scholar] [CrossRef]
- Charlson, M.E.; Pompei, P.; Ales, K.L.; MacKenzie, C.R. A new method of classifying prognostic comorbidity in longitudinal studies: Development and validation. J. Chronic Dis. 1987, 40, 373–383. [Google Scholar] [CrossRef] [PubMed]
- Chang, J.Y.; Bezjak, A.; Mornex, F.; IASLC Advanced Radiation Technology Committee. Stereotactic ablative radiotherapy for centrally located early stage non–small-cell lung cancer: What we have learned. J. Thorac. Oncol. 2015, 10, 577–585. [Google Scholar] [CrossRef]
- Giuliani, M.E.; Filion, E.; Faria, S.; Kundapur, V.; Toni Vu, T.T.T.; Lok, B.H.; Raman, S.; Bahig, H.; Laba, J.M.; Lang, P.; et al. Stereotactic radiation for ultra-central non-small cell lung cancer: A safety and efficacy trial (sunset). Int. J. Radiat. Oncol. 2024, 120, 669–677. [Google Scholar] [CrossRef]
- Eisenhauer, E.A.; Therasse, P.; Bogaerts, J.; Schwartz, L.H.; Sargent, D.; Ford, R.; Dancey, J.; Arbuck, S.; Gwyther, S.; Mooney, M.; et al. New response evaluation criteria in solid tumours: Revised recist guideline (version 1.1). Eur. J. Cancer 2009, 45, 228–247. [Google Scholar] [CrossRef] [PubMed]
- O, J.H.; Lodge, M.A.; Wahl, R.L. Practical percist: A simplified guide to pet response criteria in solid tumors 1.0. Radiology 2016, 280, 576–584. [Google Scholar] [CrossRef] [PubMed]

| Characteristic | Value or No (%) | |
|---|---|---|
| Total no. of patients | 34 | |
| Total no. of metastases | 46 | |
| Sex | Male | 24 (70.6%) |
| Female | 10 (29.4%) | |
| Age at start of SBRT | Median | 83 |
| Range | 80–92 | |
| ECOG performance status at SBRT | 0 | 12 (31.6%) |
| 1 | 20 (52.6%) | |
| 2 | 6 (15.8%) | |
| CCI at SBRT | 0–2 | 29 (76.3%) |
| 3–5 | 9 (23.7) | |
| Primary tumour | Colorectal | 14 (41.2%) |
| Head and neck | 4 (11.8%) | |
| NSCLC | 3 (8.8%) | |
| Gynaecological | 3 (8.8%) | |
| Other | 10 (29.4%) | |
| Time between diagnosis of the primary tumour and diagnosis of PM (months) | Median | 27.5 |
| Range | 1–245 | |
| Systemic therapy prior to SBRT | Yes | 7 (19.4%) |
| No | 29 (80.6%) | |
| Oligometastatic classification at the time of PM diagnosis | Synchronous oligometastatic | 6 (15.8%) |
| Metachronous oligorecurrence | 25 (65.8%) | |
| Repeat oligorecurrence | 7 (18.4%) | |
| SBRT courses per patient | 1 course | 30 (88.2%) |
| 2 courses | 4 (11.8%) | |
| PMs treated per SBRT course | Total number of patients (PMs) | 38 (=46 PMs; 100%) |
| Patients with 1 PM per SBRT course | 31 (=31 PMs; 67.4%) | |
| Patients with 2 PMs per SBRT course | 6 (=12 PMs; 26.1%) | |
| Patients with 3 PMs per SBRT course | 1 (=3 PMs; 6.5%) | |
| Diameter PM (mm) | Median | 13 |
| Range | 6–42 | |
| PM Location | Right upper lobe | 11 (23.9%) |
| Right middle lobe | 3 (6.5%) | |
| Right lower lobe | 12 (26.1%) | |
| Left upper lobe | 9 (19.6%) | |
| Lingula | 2 (4.3%) | |
| Left lower lobe | 9 (19.6%) | |
| PM Location | Peripheral | 37 (80.4%) |
| Central | 7 (15.2%) | |
| Ultra-central | 2 (4.3%) | |
| PTV (cm3) | Median | 16.0 |
| Range | 4.5–97.8 | |
| Single dose prescribed | Median | 15 |
| (PTV encompassing, Gy) | Range | 6–15 |
| Total dose prescribed | Median | 45 |
| (PTV encompassing, Gy) | Range | 45–60 |
| BED10 at PTV periphery (Gy) | Median | 112.5 |
| Range | 86.4–112.5 |
| Factor | HR (CI 95%) | p Value |
|---|---|---|
| Primary tumour | ||
| CRC | 1 (reference) | |
| Other | 0.52 (0.05–5.94) | 0.602 |
| BED10 | ||
| <100 | 1 (reference) | |
| >100 | 0.28 (0.03–3.12) | 0.302 |
| PTV size in ml | ||
| ≤16 | 1 (reference) | |
| >16 | 0.54 (0.05–6.04) | 0.620 |
| Univariate Hazard Ratio for PFS | Univariate Hazard Ratio for OS | |||
|---|---|---|---|---|
| Factor | HR (CI 95%) | p Value | HR (CI95%) | p Value |
| Sex | ||||
| Male | 1 (reference) | 1 (reference) | ||
| Female | 1.27 (0.48–3.35) | 0.636 | 1.38 (0.55–3.46) | 0.491 |
| CCI | ||||
| 0 | 1 (reference) | 1 (reference) | ||
| ≥1 | 0.99 (0.40–2.45) | 0.987 | 0.80 (0.32–1.96) | 0.618 |
| Primary tumour | ||||
| CRC | 1 (reference) | 1 (reference) | ||
| Other | 1.24 (0.50–3.12) | 0.639 | 0.88 (0.37–2.11) | 0.771 |
| Number of PM | ||||
| 1 | 1 (reference) | 1 (reference) | ||
| >1 | 1.56 (0.58–4.23) | 0.379 | 1.19 (0.46–3.12) | 0.721 |
| Systemic therapy prior to SBRT | ||||
| No | 1 (reference) | 1 (reference) | ||
| Yes | 1.90 (0.71–5.07) | 0.198 | 0.77 (0.25–2.31) | 0.638 |
Disclaimer/Publisher’s Note: The statements, opinions and data contained in all publications are solely those of the individual author(s) and contributor(s) and not of MDPI and/or the editor(s). MDPI and/or the editor(s) disclaim responsibility for any injury to people or property resulting from any ideas, methods, instructions or products referred to in the content. |
© 2025 by the authors. Licensee MDPI, Basel, Switzerland. This article is an open access article distributed under the terms and conditions of the Creative Commons Attribution (CC BY) license (https://creativecommons.org/licenses/by/4.0/).
Share and Cite
Vorbach, S.M.; Nevinny-Stickel, M.; Ganswindt, U.; Seppi, T. SBRT in the Very Elderly: A Viable Option for Pulmonary Oligometastases? Cancers 2025, 17, 2512. https://doi.org/10.3390/cancers17152512
Vorbach SM, Nevinny-Stickel M, Ganswindt U, Seppi T. SBRT in the Very Elderly: A Viable Option for Pulmonary Oligometastases? Cancers. 2025; 17(15):2512. https://doi.org/10.3390/cancers17152512
Chicago/Turabian StyleVorbach, Samuel M., Meinhard Nevinny-Stickel, Ute Ganswindt, and Thomas Seppi. 2025. "SBRT in the Very Elderly: A Viable Option for Pulmonary Oligometastases?" Cancers 17, no. 15: 2512. https://doi.org/10.3390/cancers17152512
APA StyleVorbach, S. M., Nevinny-Stickel, M., Ganswindt, U., & Seppi, T. (2025). SBRT in the Very Elderly: A Viable Option for Pulmonary Oligometastases? Cancers, 17(15), 2512. https://doi.org/10.3390/cancers17152512

