Machine Learning Applied to Pre-Operative Computed-Tomography-Based Radiomic Features Can Accurately Differentiate Uterine Leiomyoma from Leiomyosarcoma: A Pilot Study
Abstract
Simple Summary
Abstract
1. Introduction
2. Materials and Methods
2.1. Study Design and Study Population
2.2. Contrast-Enhanced CT Imaging Details
2.3. Image Analysis
2.4. Radiomic Feature Extraction
2.5. Machine Learning Classifier
2.6. Ablation Study
2.7. Statistical Analysis
3. Results
3.1. Study Cohort Characteristics
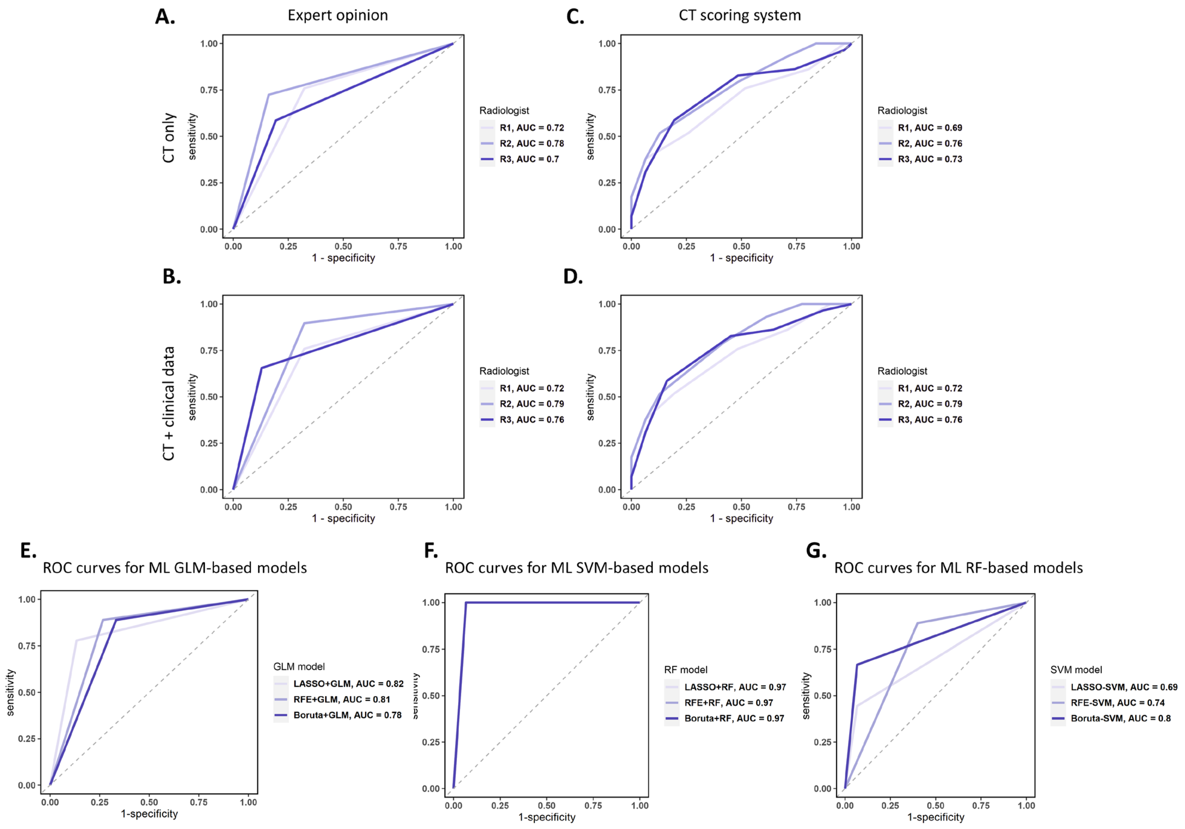
3.2. Radiologist Diagnosis Accuracy
3.3. Radiomic Analysis and Machine Learning Model
4. Discussion
5. Conclusions
6. Patents
Supplementary Materials
Author Contributions
Funding
Institutional Review Board Statement
Informed Consent Statement
Data Availability Statement
Acknowledgments
Conflicts of Interest
References
- D’Angelo, E.; Prat, J. Uterine Sarcomas: A Review. Gynecol. Oncol. 2010, 116, 131–139. [Google Scholar] [CrossRef] [PubMed]
- Astolfi, A.; Nannini, M.; Indio, V.; Schipani, A.; Rizzo, A.; Perrone, A.M.; De Iaco, P.; Pirini, M.G.; De Leo, A.; Urbini, M.; et al. Genomic Database Analysis of Uterine Leiomyosarcoma Mutational Profile. Cancers 2020, 12, 2126. [Google Scholar] [CrossRef] [PubMed]
- Roberts, M.E.; Aynardi, J.T.; Chu, C.S. Uterine Leiomyosarcoma: A Review of the Literature and Update on Management Options. Gynecol. Oncol. 2018, 151, 562–572. [Google Scholar] [CrossRef] [PubMed]
- Lacuna, K.; Bose, S.; Ingham, M.; Schwartz, G. Therapeutic Advances in Leiomyosarcoma. Front. Oncol. 2023, 13, 1149106. [Google Scholar] [CrossRef]
- Ricci, S.; Stone, R.L.; Fader, A.N. Uterine Leiomyosarcoma: Epidemiology, Contemporary Treatment Strategies and the Impact of Uterine Morcellation. Gynecol. Oncol. 2017, 145, 208–216. [Google Scholar] [CrossRef]
- Giuliani, E.; As-Sanie, S.; Marsh, E.E. Epidemiology and Management of Uterine Fibroids. Int. J. Gynaecol. Obstet. Off. Organ Int. Fed. Gynaecol. Obstet. 2020, 149, 3–9. [Google Scholar] [CrossRef] [PubMed]
- De La Cruz, M.S.D.; Buchanan, E.M. Uterine Fibroids: Diagnosis and Treatment. Am. Fam. Physician 2017, 95, 100–107. [Google Scholar]
- Stewart, E.A.; Laughlin-Tommaso, S.K.; Catherino, W.H.; Lalitkumar, S.; Gupta, D.; Vollenhoven, B. Uterine Fibroids. Nat. Rev. Dis. Primer 2016, 2, 16043. [Google Scholar] [CrossRef]
- Dondi, G.; Porcu, E.; De Palma, A.; Damiano, G.; De Crescenzo, E.; Cipriani, L.; Dirodi, M.; Ravegnini, G.; De Leo, A.; Nannini, M.; et al. Uterine Preservation Treatments in Sarcomas: Oncological Problems and Reproductive Results: A Systematic Review. Cancers 2021, 13, 5808. [Google Scholar] [CrossRef] [PubMed]
- Rizzo, A.; Nannini, M.; Astolfi, A.; Indio, V.; De Iaco, P.; Perrone, A.M.; De Leo, A.; Incorvaia, L.; Di Scioscio, V.; Pantaleo, M.A. Impact of Chemotherapy in the Adjuvant Setting of Early Stage Uterine Leiomyosarcoma: A Systematic Review and Updated Meta-Analysis. Cancers 2020, 12, 1899. [Google Scholar] [CrossRef]
- Owen, C.; Armstrong, A.Y. Clinical Management of Leiomyoma. Obstet. Gynecol. Clin. N. Am. 2015, 42, 67–85. [Google Scholar] [CrossRef] [PubMed]
- Park, J.-Y.; Park, S.-K.; Kim, D.-Y.; Kim, J.-H.; Kim, Y.-M.; Kim, Y.-T.; Nam, J.-H. The Impact of Tumor Morcellation during Surgery on the Prognosis of Patients with Apparently Early Uterine Leiomyosarcoma. Gynecol. Oncol. 2011, 122, 255–259. [Google Scholar] [CrossRef] [PubMed]
- Bretthauer, M.; Goderstad, J.M.; Løberg, M.; Emilsson, L.; Ye, W.; Adami, H.-O.; Kalager, M. Uterine Morcellation and Survival in Uterine Sarcomas. Eur. J. Cancer 2018, 101, 62–68. [Google Scholar] [CrossRef] [PubMed]
- Valzacchi, G.M.R.; Rosas, P.; Uzal, M.; Gil, S.J.; Viglierchio, V.T. Incidence of Leiomyosarcoma at Surgery for Presumed Uterine Myomas in Different Age Groups. J. Minim. Invasive Gynecol. 2020, 27, 926–929. [Google Scholar] [CrossRef] [PubMed]
- Pedra Nobre, S.; Hensley, M.L.; So, M.; Zhou, Q.C.; Iasonos, A.; Leitao, M.M.; Ducie, J.; Chiang, S.; Mueller, J.J.; Abu-Rustum, N.R.; et al. The Impact of Tumor Fragmentation in Patients with Stage I Uterine Leiomyosarcoma on Patterns of Recurrence and Oncologic Outcome. Gynecol. Oncol. 2021, 160, 99–105. [Google Scholar] [CrossRef] [PubMed]
- The U.S. Food and Drug Administration. UPDATE: Perform Only Contained Morcellation When Laparoscopic Power Morcellation Is Appropriate: FDA Safety Communication; FDA: Silver Spring, MD, USA, 2020.
- Uterine Morcellation for Presumed Leiomyomas: ACOG Committee Opinion Summary, Number 822. Obstet. Gynecol. 2021, 137, 552. [CrossRef] [PubMed]
- Hartmann, K.E.; Fonnesbeck, C.; Surawicz, T.; Krishnaswami, S.; Andrews, J.C.; Wilson, J.E.; Velez-Edwards, D.; Kugley, S.; Sathe, N.A. Management of Uterine Fibroids; AHRQ Comparative Effectiveness Reviews; Agency for Healthcare Research and Quality (US): Rockville, MD, USA, 2017. [Google Scholar]
- Ludovisi, M.; Moro, F.; Pasciuto, T.; Di Noi, S.; Giunchi, S.; Savelli, L.; Pascual, M.A.; Sladkevicius, P.; Alcazar, J.L.; Franchi, D.; et al. Imaging in Gynecological Disease (15): Clinical and Ultrasound Characteristics of Uterine Sarcoma. Ultrasound Obstet. Gynecol. 2019, 54, 676–687. [Google Scholar] [CrossRef] [PubMed]
- Borella, F.; Mancarella, M.; Preti, M.; Mariani, L.; Stura, I.; Sciarrone, A.; Bertschy, G.; Leuzzi, B.; Piovano, E.; Valabrega, G.; et al. Uterine Smooth Muscle Tumors: A Multicenter, Retrospective, Comparative Study of Clinical and Ultrasound Features. Int. J. Gynecol. Cancer 2023, 34, 244–250. [Google Scholar] [CrossRef] [PubMed]
- Żak, K.; Zaremba, B.; Rajtak, A.; Kotarski, J.; Amant, F.; Bobiński, M. Preoperative Differentiation of Uterine Leiomyomas and Leiomyosarcomas: Current Possibilities and Future Directions. Cancers 2022, 14, 1966. [Google Scholar] [CrossRef]
- Lawlor, H.; Ward, A.; Maclean, A.; Lane, S.; Adishesh, M.; Taylor, S.; DeCruze, S.B.; Hapangama, D.K. Developing a Preoperative Algorithm for the Diagnosis of Uterine Leiomyosarcoma. Diagnostics 2020, 10, 735. [Google Scholar] [CrossRef]
- Gaetke-Udager, K.; McLean, K.; Sciallis, A.P.; Alves, T.; Maturen, K.E.; Mervak, B.M.; Moore, A.G.; Wasnik, A.P.; Erba, J.; Davenport, M.S. Diagnostic Accuracy of Ultrasound, Contrast-Enhanced CT, and Conventional MRI for Differentiating Leiomyoma from Leiomyosarcoma. Acad. Radiol. 2016, 23, 1290–1297. [Google Scholar] [CrossRef] [PubMed]
- Skorstad, M.; Kent, A.; Lieng, M. Preoperative Evaluation in Women with Uterine Leiomyosarcoma. A Nationwide Cohort Study. Acta Obstet. Gynecol. Scand. 2016, 95, 1228–1234. [Google Scholar] [CrossRef] [PubMed]
- Yeh, A.C.; Li, H.; Zhu, Y.; Zhang, J.; Khramtsova, G.; Drukker, K.; Edwards, A.; McGregor, S.; Yoshimatsu, T.; Zheng, Y.; et al. Radiogenomics of Breast Cancer Using Dynamic Contrast Enhanced MRI and Gene Expression Profiling. Cancer Imaging 2019, 19, 48. Available online: https://cancerimagingjournal.biomedcentral.com/articles/10.1186/s40644-019-0233-5 (accessed on 31 August 2022). [CrossRef] [PubMed]
- Mazurowski, M.A. Radiogenomics: What It Is and Why It Is Important. J. Am. Coll. Radiol. 2015, 12, 862–866. Available online: https://www.sciencedirect.com/science/article/abs/pii/S1546144015003233 (accessed on 31 August 2022). [CrossRef]
- Beer, L.; Sahin, H.; Bateman, N.W.; Blazic, I.; Vargas, H.A.; Veeraraghavan, H.; Kirby, J.; Fevrier-Sullivan, B.; Freymann, J.B.; Jaffe, C.C.; et al. Integration of Proteomics with CT-Based Qualitative and Radiomic Features in High-Grade Serous Ovarian Cancer Patients: An Exploratory Analysis. Eur. Radiol. 2020, 30, 4306–4316. [Google Scholar] [CrossRef] [PubMed]
- Manganaro, L.; Nicolino, G.M.; Dolciami, M.; Martorana, F.; Stathis, A.; Colombo, I.; Rizzo, S. Radiomics in Cervical and Endometrial Cancer. Br. J. Radiol. 2021, 94, 20201314. [Google Scholar] [CrossRef]
- Ravegnini, G.; Ferioli, M.; Morganti, A.G.; Strigari, L.; Pantaleo, M.A.; Nannini, M.; De Leo, A.; De Crescenzo, E.; Coe, M.; De Palma, A.; et al. Radiomics and Artificial Intelligence in Uterine Sarcomas: A Systematic Review. J. Pers. Med. 2021, 11, 1179. [Google Scholar] [CrossRef]
- Ravegnini, G.; Ferioli, M.; Pantaleo, M.A.; Morganti, A.G.; Leo, A.D.; Iaco, P.D.; Rizzo, S.; Perrone, A.M. Radiomics and Artificial Intelligence in Malignant Uterine Body Cancers: Protocol for a Systematic Review. PLoS ONE 2022, 17, e0267727. [Google Scholar] [CrossRef]
- Höhn, A.K.; Brambs, C.E.; Hiller, G.G.R.; May, D.; Schmoeckel, E.; Horn, L.-C. 2020 WHO Classification of Female Genital Tumors. Geburtshilfe Frauenheilkd. 2021, 81, 1145–1153. [Google Scholar] [CrossRef]
- van Rossum, G. Python Reference Manual. 1995. Available online: https://ir.cwi.nl/pub/5008 (accessed on 10 January 2022).
- van Griethuysen, J.J.M.; Fedorov, A.; Parmar, C.; Hosny, A.; Aucoin, N.; Narayan, V.; Beets-Tan, R.G.H.; Fillion-Robin, J.-C.; Pieper, S.; Aerts, H.J.W.L. Computational Radiomics System to Decode the Radiographic Phenotype. Cancer Res. 2017, 77, e104–e107. [Google Scholar] [CrossRef]
- R Core Team. European Environment Agency. 2020. Available online: https://www.eea.europa.eu/data-and-maps/indicators/oxygen-consuming-substances-in-rivers/r-development-core-team-2006 (accessed on 31 August 2022).
- Kursa, M.B.; Rudnicki, W.R. Feature Selection with the Boruta Package. J. Stat. Softw. 2010, 36, 1–13. [Google Scholar] [CrossRef]
- Kuhn, M. Building Predictive Models in R Using the Caret Package. J. Stat. Softw. 2008, 28, 1–26. [Google Scholar] [CrossRef]
- Friedman, J.H.; Hastie, T.; Tibshirani, R. Regularization Paths for Generalized Linear Models via Coordinate Descent. J. Stat. Softw. 2010, 33, 1–22. [Google Scholar] [CrossRef] [PubMed]
- van Timmeren, J.E.; Cester, D.; Tanadini-Lang, S.; Alkadhi, H.; Baessler, B. Radiomics in Medical Imaging—“How-to” Guide and Critical Reflection. Insights Imaging 2020, 11, 91. [Google Scholar] [CrossRef] [PubMed]
- Baessler, B.; Nestler, T.; Pinto dos Santos, D.; Paffenholz, P.; Zeuch, V.; Pfister, D.; Maintz, D.; Heidenreich, A. Radiomics Allows for Detection of Benign and Malignant Histopathology in Patients with Metastatic Testicular Germ Cell Tumors Prior to Post-Chemotherapy Retroperitoneal Lymph Node Dissection. Eur. Radiol. 2020, 30, 2334–2345. [Google Scholar] [CrossRef] [PubMed]
- Marschner, I.C. Glm2: Fitting Generalized Linear Models with Convergence Problems. R J. 2011, 3, 12. [Google Scholar] [CrossRef]
- Svm Function—RDocumentation. Available online: https://www.rdocumentation.org/packages/e1071/versions/1.7-14/topics/svm (accessed on 3 April 2024).
- Breiman, L. Random Forests. Mach. Learn. 2001, 45, 5–32. [Google Scholar] [CrossRef]
- Robin, X.; Turck, N.; Hainard, A.; Tiberti, N.; Lisacek, F.; Sanchez, J.-C.; Müller, M. pROC: An Open-Source Package for R and S+ to Analyze and Compare ROC Curves. BMC Bioinform. 2011, 12, 77. [Google Scholar] [CrossRef]
- Tropé, C.G.; Abeler, V.M.; Kristensen, G.B. Diagnosis and Treatment of Sarcoma of the Uterus. A Review. Acta Oncol. 2012, 51, 694–705. [Google Scholar] [CrossRef]
- Smith, J.; Zawaideh, J.P.; Sahin, H.; Freeman, S.; Bolton, H.; Addley, H.C. Differentiating Uterine Sarcoma from Leiomyoma: BET1T2ER Check! Br. J. Radiol. 2021, 94, 20201332. [Google Scholar] [CrossRef]
- Malek, M.; Rahmani, M.; Seyyed Ebrahimi, S.M.; Tabibian, E.; Alidoosti, A.; Rahimifar, P.; Akhavan, S.; Gandomkar, Z. Investigating the Diagnostic Value of Quantitative Parameters Based on T2-Weighted and Contrast-Enhanced MRI with Psoas Muscle and Outer Myometrium as Internal References for Differentiating Uterine Sarcomas from Leiomyomas at 3T MRI. Cancer Imaging 2019, 19, 20. [Google Scholar] [CrossRef]
- Sun, S.; Bonaffini, P.A.; Nougaret, S.; Fournier, L.; Dohan, A.; Chong, J.; Smith, J.; Addley, H.; Reinhold, C. How to Differentiate Uterine Leiomyosarcoma from Leiomyoma with Imaging. Diagn. Interv. Imaging 2019, 100, 619–634. [Google Scholar] [CrossRef] [PubMed]
- Xie, H.; Hu, J.; Zhang, X.; Ma, S.; Liu, Y.; Wang, X. Preliminary Utilization of Radiomics in Differentiating Uterine Sarcoma from Atypical Leiomyoma: Comparison on Diagnostic Efficacy of MRI Features and Radiomic Features. Eur. J. Radiol. 2019, 115, 39–45. [Google Scholar] [CrossRef] [PubMed]
- Aminzadeh, P.; Alibrahim, E.; Dobrotwir, A.; Paul, E.; Goergen, S. Multiparametric MR Evaluation of Uterine Leiomyosarcoma and STUMP versus Leiomyoma in Symptomatic Women Planned for High Frequency Focussed Ultrasound: Accuracy of Imaging Parameters and Interobserver Agreement for Identification of Malignancy. Br. J. Radiol. 2021, 94, 20200483. [Google Scholar] [CrossRef] [PubMed]
- Chiappa, V.; Interlenghi, M.; Salvatore, C.; Bertolina, F.; Bogani, G.; Ditto, A.; Martinelli, F.; Castiglioni, I.; Raspagliesi, F. Using rADioMIcs and Machine Learning with Ultrasonography for the Differential Diagnosis of myometRiAL Tumors (the ADMIRAL Pilot Study). Radiomics and Differential Diagnosis of Myometrial Tumors. Gynecol. Oncol. 2021, 161, 838–844. [Google Scholar] [CrossRef] [PubMed]
- Navia-Vázquez, A.; Parrado-Hernández, E. Support Vector Machine Interpretation. Neurocomputing 2006, 69, 1754–1759. [Google Scholar] [CrossRef]
- Wang, H.; Zhang, J.; Bao, S.; Liu, J.; Hou, F.; Huang, Y.; Chen, H.; Duan, S.; Hao, D.; Liu, J. Preoperative MRI-Based Radiomic Machine-Learning Nomogram May Accurately Distinguish between Benign and Malignant Soft-Tissue Lesions: A Two-Center Study. J. Magn. Reson. Imaging 2020, 52, 873–882. [Google Scholar] [CrossRef]
- Cristianini, N.; Shawe-Taylor, J. An Introduction to Support Vector Machines and Other Kernel-Based Learning Methods; Cambridge University Press: Cambridge, UK, 2000; ISBN 978-0-521-78019-3. [Google Scholar]
- Boateng, E.Y.; Otoo, J.; Abaye, D.A. Basic Tenets of Classification Algorithms K-Nearest-Neighbor, Support Vector Machine, Random Forest and Neural Network: A Review. J. Data Anal. Inf. Process. 2020, 8, 341–357. [Google Scholar] [CrossRef]
- Parra-Herran, C.; Howitt, B.E. Uterine Mesenchymal Tumors: Update on Classification, Staging, and Molecular Features. Surg. Pathol. Clin. 2019, 12, 363–396. [Google Scholar] [CrossRef]



| Lesion Features | Points | ||
|---|---|---|---|
| 1 | Maximal diameter: <10 cm/>10 cm | 0 | 1 |
| 2 | Number of lesions: Single/Multiple | 1 | 0 |
| 3 | Mass outline: Regular/Irregular | 0 | 1 |
| 4 | Margins: Well circumscribed/Ill defined | 0 | 1 |
| 5 | Hypodense basal or cystic areas: Absent/Present | 0 | 1 |
| 6 | Hyperdense basal areas: Absent/Present | 0 | 1 |
| 7 | Inhomogeneous contrast enhancement: Absent/Present | 0 | 1 |
| 8 | Adjacent organ infiltration: Absent/Present | 0 | 1 |
| 9 | Calcifications: Absent/Present | 1 | 0 |
| 10 | Clinical suspicion: Absent/Present | 0 | 1 |
| Total score | |||
| Se | Sp | Accuracy | PPV | NPV | FPR | FNR | |||
|---|---|---|---|---|---|---|---|---|---|
| Presurgical diagnosis | 0.87 | 0.71 | 0.78 | 0.72 | 0.86 | 0.29 | 0.13 | ||
| Expert opinion | CT characteristics only | R1 | 0.72 | 0.84 | 0.78 | 0.81 | 0.76 | 0.16 | 0.28 |
| R2 | 0.59 | 0.81 | 0.70 | 0.74 | 0.68 | 0.19 | 0.41 | ||
| R3 | 0.76 | 0.68 | 0.72 | 0.69 | 0.75 | 0.32 | 0.24 | ||
| average | 0.69 | 0.77 | 0.73 | 0.74 | 0.73 | 0.23 | 0.31 | ||
| CT characteristics and clinical profile | R1 | 0.90 | 0.68 | 0.78 | 0.72 | 0.88 | 0.32 | 0.10 | |
| R2 | 0.66 | 0.87 | 0.77 | 0.83 | 0.73 | 0.13 | 0.34 | ||
| R3 | 0.76 | 0.68 | 0.72 | 0.69 | 0.75 | 0.32 | 0.24 | ||
| average | 0.77 | 0.74 | 0.76 | 0.75 | 0.78 | 0.26 | 0.23 | ||
| Diagnostic score | CT characteristics only | R1 | 0.52 | 0.87 | 0.70 | 0.79 | 0.66 | 0.13 | 0.48 |
| R2 | 0.59 | 0.81 | 0.70 | 0.74 | 0.68 | 0.19 | 0.41 | ||
| R3 | 0.38 | 0.94 | 0.67 | 0.85 | 0.62 | 0.06 | 0.62 | ||
| average | 0.49 | 0.87 | 0.69 | 0.79 | 0.65 | 0.13 | 0.51 | ||
| CT and clinical susceptibility | R1 | 0.52 | 0.87 | 0.70 | 0.79 | 0.66 | 0.13 | 0.48 | |
| R2 | 0.59 | 0.84 | 0.72 | 0.77 | 0.68 | 0.16 | 0.41 | ||
| R3 | 0.52 | 0.81 | 0.67 | 0.71 | 0.64 | 0.19 | 0.48 | ||
| average | 0.54 | 0.84 | 0.69 | 0.76 | 0.66 | 0.16 | 0.46 | ||
| Model | AIC/BIC | AUC (95%CI) Train | Se/Sp Train | AUC (95%CI) Test | Se/Sp Test | Radiomic Feature | |
|---|---|---|---|---|---|---|---|
| Name | Coef | ||||||
| LASSO + GLM | −36.39 −32.53 | 0.94 (0.88–0.99) | 0.86 0.92 | 0.82 (0.65–0.99) | 0.78 0.87 | logarithm_glcm_SumEntropy | 1.53 |
| squareroot_gldm_DependenceEntropy | 2.15 | ||||||
| Boruta + GLM | −32.32 −28.46 | 0.91 (0.82–0.99) | 0.81 0.94 | 0.78 (0.62–0.94) | 0.89 0.67 | logarithm_glcm_ClusterTendency | 19.24 |
| squareroot_glcm_Correlation | 1.43 | ||||||
| RFE + GLM | −30.70 −25.02 | 0.92 (0.84–1) | 0.86 0.89 | 0.81 (0.65–0.97) | 0.89 0.73 | logarithm_glcm_ClusterTendency | 13.17 |
| wavelet.HHH_glszm_ZonePercentage | −1.39 | ||||||
| wavelet.LLL_glcm_Correlation | 1.37 | ||||||
| LASSO + RF | NA | 1.00 (1.00–1.00) | 1.00 1.00 | 0.97 (0.90–1.00) | 1.00 0.93 | logarithm_glcm_SumEntropy, logarithm_glrlm_RunEntropy, squareroot_gldm_DependenceEntropy, wavelet.LLL_glcm_Correlation | NA |
| Boruta + RF | NA | 1.00 (1.00–1.00) | 1.00 1.00 | 0.97 (0.90–1.00) | 1.00 0.93 | logarithm_glcm_ClusterTendency, logarithm_glcm_MaximumProbability, squareroot_glcm_Correlation, wavelet.HHH_glszm_ZonePercentage, wavelet.HLL_firstorder_Energy | NA |
| RFE + RF | NA | 1.00 (1.00–1.00) | 1.00 1.00 | 0.97 (0.90–1.00) | 1.00 0.93 | logarithm_glcm_ClusterTendency, logarithm_glcm_MaximumProbability, logarithm_glszm_SmallAreaLowGrayLevelEmphasis, wavelet.HHH_glszm_ZonePercentage, wavelet.HLL_firstorder_Energy, wavelet.LLL_glcm_Correlation | NA |
| LASSO + SVM | NA | 0.93 (0.87–1.00) | 0.95 0.92 | 0.69 (0.50–0.87) | 0.44 0.93 | logarithm_glcm_SumEntropy, logarithm_glrlm_RunEntropy, squareroot_gldm_DependenceEntropy, wavelet.LLL_glcm_Correlation | NA |
| Boruta + SVM | NA | 1.00 (1.00–1.00) | 1.00 1.00 | 0.80 (0.62–0.98) | 0.67 0.93 | logarithm_glcm_ClusterTendency, logarithm_glcm_MaximumProbability, squareroot_glcm_Correlation, wavelet.HHH_glszm_ZonePercentage, wavelet.HLL_firstorder_Energy | NA |
| RFE + SVM | NA | 1.00 (1.00–1.00) | 1.00 1.00 | 0.74 (0.58–0.91) | 0.89 0.60 | logarithm_glcm_ClusterTendency, logarithm_glcm_MaximumProbability, logarithm_glszm_SmallAreaLowGrayLevelEmphasis, wavelet.HHH_glszm_ZonePercentage, wavelet.HLL_firstorder_Energy, wavelet.LLL_glcm_Correlation | NA |
Disclaimer/Publisher’s Note: The statements, opinions and data contained in all publications are solely those of the individual author(s) and contributor(s) and not of MDPI and/or the editor(s). MDPI and/or the editor(s) disclaim responsibility for any injury to people or property resulting from any ideas, methods, instructions or products referred to in the content. |
© 2024 by the authors. Licensee MDPI, Basel, Switzerland. This article is an open access article distributed under the terms and conditions of the Creative Commons Attribution (CC BY) license (https://creativecommons.org/licenses/by/4.0/).
Share and Cite
Santoro, M.; Zybin, V.; Coada, C.A.; Mantovani, G.; Paolani, G.; Di Stanislao, M.; Modolon, C.; Di Costanzo, S.; Lebovici, A.; Ravegnini, G.; et al. Machine Learning Applied to Pre-Operative Computed-Tomography-Based Radiomic Features Can Accurately Differentiate Uterine Leiomyoma from Leiomyosarcoma: A Pilot Study. Cancers 2024, 16, 1570. https://doi.org/10.3390/cancers16081570
Santoro M, Zybin V, Coada CA, Mantovani G, Paolani G, Di Stanislao M, Modolon C, Di Costanzo S, Lebovici A, Ravegnini G, et al. Machine Learning Applied to Pre-Operative Computed-Tomography-Based Radiomic Features Can Accurately Differentiate Uterine Leiomyoma from Leiomyosarcoma: A Pilot Study. Cancers. 2024; 16(8):1570. https://doi.org/10.3390/cancers16081570
Chicago/Turabian StyleSantoro, Miriam, Vladislav Zybin, Camelia Alexandra Coada, Giulia Mantovani, Giulia Paolani, Marco Di Stanislao, Cecilia Modolon, Stella Di Costanzo, Andrei Lebovici, Gloria Ravegnini, and et al. 2024. "Machine Learning Applied to Pre-Operative Computed-Tomography-Based Radiomic Features Can Accurately Differentiate Uterine Leiomyoma from Leiomyosarcoma: A Pilot Study" Cancers 16, no. 8: 1570. https://doi.org/10.3390/cancers16081570
APA StyleSantoro, M., Zybin, V., Coada, C. A., Mantovani, G., Paolani, G., Di Stanislao, M., Modolon, C., Di Costanzo, S., Lebovici, A., Ravegnini, G., De Leo, A., Tesei, M., Pasquini, P., Lovato, L., Morganti, A. G., Pantaleo, M. A., De Iaco, P., Strigari, L., & Perrone, A. M. (2024). Machine Learning Applied to Pre-Operative Computed-Tomography-Based Radiomic Features Can Accurately Differentiate Uterine Leiomyoma from Leiomyosarcoma: A Pilot Study. Cancers, 16(8), 1570. https://doi.org/10.3390/cancers16081570

