Identification of Tissue miRNA Signatures for Pancreatic Ductal Adenocarcinoma
Abstract
Simple Summary
Abstract
1. Introduction
2. Materials and Methods
2.1. Clinical Samples
2.2. RNA Extraction
2.3. Comprehensive PCR-Array-Based Screening Assay
2.4. Real-Time Quantitative PCR
2.5. In Silico miRNA Target Gene Prediction
2.6. Pathway and Gene Ontology Enrichment Analysis
2.7. Correlation Study between miRNA Expression Levels and PDAC Patient’s Survival and Clinico-Pathological Features
2.8. Statistical Analysis
3. Results
3.1. Definition of Tissue miRNA Signature
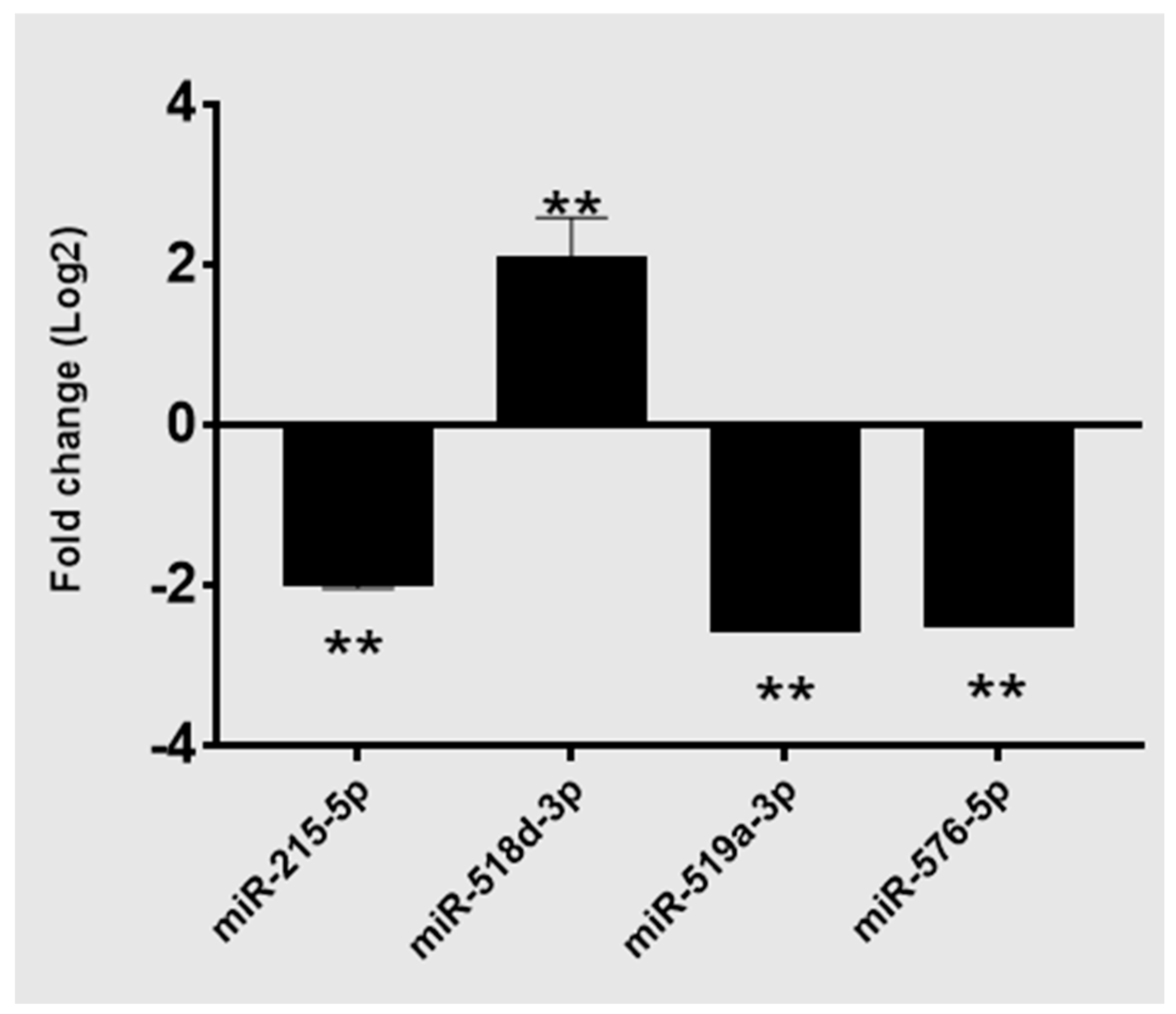
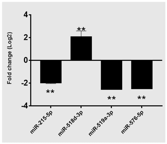
3.2. Validation Study of Candidate miRNAs in PDAC Tissues
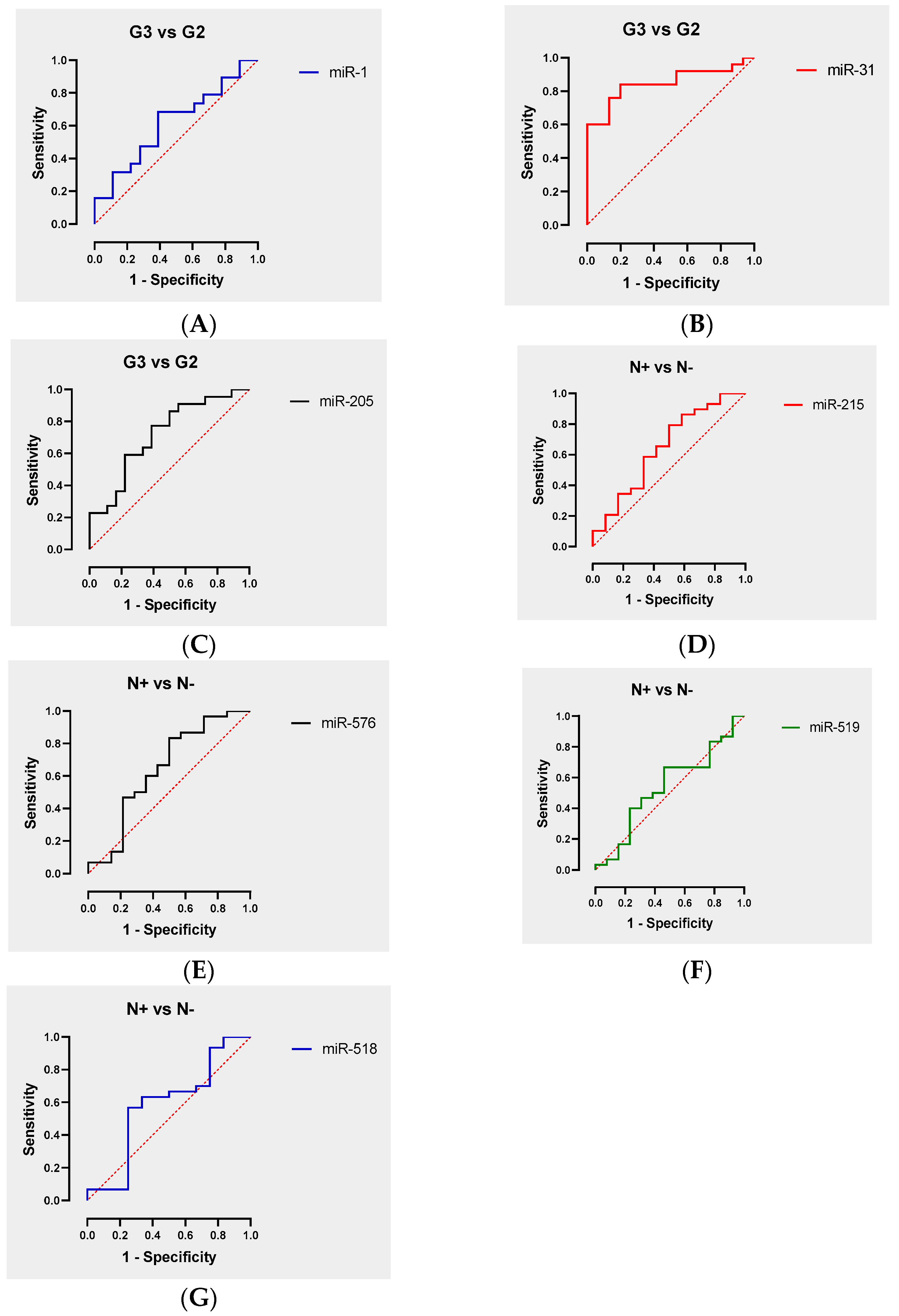
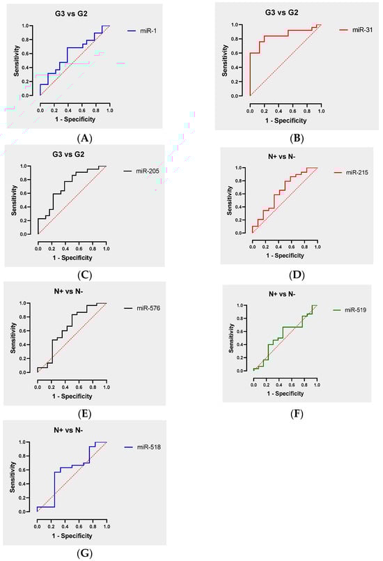
3.3. ROC Curve Analysis
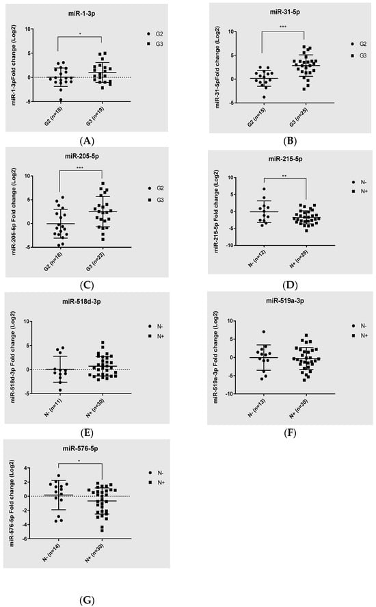
3.4. Correlation Study between miRNA Expression Levels and PDAC Patients’ Survival and Clinico-Pathological Features
3.5. Identification of Target Genes Associated with Differentially Expressed miRNA Signatures
3.6. Pathway and Gene Ontology Analysis of DEMs
4. Discussion
5. Conclusions
Supplementary Materials
Author Contributions
Funding
Institutional Review Board Statement
Informed Consent Statement
Data Availability Statement
Conflicts of Interest
References
- Keller, J.; Layer, P. Human Pancreatic Exocrine Response to Nutrients in Health and Disease. Gut 2005, 54, 1–28. [Google Scholar] [CrossRef]
- Röder, P.V.; Wu, B.; Liu, Y.; Han, W. Pancreatic Regulation of Glucose Homeostasis. Exp. Mol. Med. 2016, 48, e219. [Google Scholar] [CrossRef]
- Polonsky, K.S. The Past 200 Years in Diabetes. N. Engl. J. Med. 2012, 367, 1332–1340. [Google Scholar] [CrossRef]
- Braganza, J.M.; Lee, S.H.; McCloy, R.F.; McMahon, M.J. Chronic Pancreatitis. Lancet 2011, 377, 1184–1197. [Google Scholar] [CrossRef]
- Ferlay, J.; Colombet, M.; Soerjomataram, I.; Parkin, D.M.; Piñeros, M.; Znaor, A.; Bray, F. Cancer Statistics for the Year 2020: An Overview. Int. J. Cancer 2021, 149, 778–789. [Google Scholar] [CrossRef]
- Ilic, M.; Ilic, I. Epidemiology of Pancreatic Cancer. World J. Gastroenterol. 2016, 22, 9694. [Google Scholar] [CrossRef] [PubMed]
- Sung, H.; Ferlay, J.; Siegel, R.L.; Laversanne, M.; Soerjomataram, I.; Jemal, A.; Bray, F. Global Cancer Statistics 2020: GLOBOCAN Estimates of Incidence and Mortality Worldwide for 36 Cancers in 185 Countries. CA Cancer J. Clin. 2021, 71, 209–249. [Google Scholar] [CrossRef]
- Siegel, R.L.; Miller, K.D.; Fuchs, H.E.; Jemal, A. Cancer Statistics, 2022. CA Cancer J. Clin. 2022, 72, 7–33. [Google Scholar] [CrossRef] [PubMed]
- Hu, J.-X.; Zhao, C.-F.; Chen, W.-B.; Liu, Q.-C.; Li, Q.-W.; Lin, Y.-Y.; Gao, F. Pancreatic Cancer: A Review of Epidemiology, Trend, and Risk Factors. World J. Gastroenterol. 2021, 27, 4298–4321. [Google Scholar] [CrossRef] [PubMed]
- Zhao, Z.; Liu, W. Pancreatic Cancer: A Review of Risk Factors, Diagnosis, and Treatment. Technol. Cancer Res. Treat. 2020, 19, 153303382096211. [Google Scholar] [CrossRef] [PubMed]
- Aier, I.; Semwal, R.; Sharma, A.; Varadwaj, P.K. A Systematic Assessment of Statistics, Risk Factors, and Underlying Features Involved in Pancreatic Cancer. Cancer Epidemiol. 2019, 58, 104–110. [Google Scholar] [CrossRef]
- Stoita, A. Review of Screening for Pancreatic Cancer in High Risk Individuals. World J. Gastroenterol. 2011, 17, 2365. [Google Scholar] [CrossRef]
- Klein, A.P. Pancreatic Cancer Epidemiology: Understanding the Role of Lifestyle and Inherited Risk Factors. Nat. Rev. Gastroenterol. Hepatol. 2021, 18, 493–502. [Google Scholar] [CrossRef]
- Grant, T.J.; Hua, K.; Singh, A. Molecular Pathogenesis of Pancreatic Cancer. In Progress in Molecular Biology and Translational Science; Elsevier: Amsterdam, The Netherlands, 2016; Volume 144, pp. 241–275. ISBN 978-0-12-809328-3. [Google Scholar]
- Ottenhof, N.A.; De Wilde, R.F.; Maitra, A.; Hruban, R.H.; Offerhaus, G.J.A. Molecular Characteristics of Pancreatic Ductal Adenocarcinoma. Pathol. Res. Int. 2011, 2011, 620601. [Google Scholar] [CrossRef][Green Version]
- Jones, S.; Zhang, X.; Parsons, D.W.; Lin, J.C.-H.; Leary, R.J.; Angenendt, P.; Mankoo, P.; Carter, H.; Kamiyama, H.; Jimeno, A.; et al. Core Signaling Pathways in Human Pancreatic Cancers Revealed by Global Genomic Analyses. Science 2008, 321, 1801–1806. [Google Scholar] [CrossRef]
- Biankin, A.V. Aberrant p16INK4A and DPC4/Smad4 Expression in Intraductal Papillary Mucinous Tumours of the Pancreas Is Associated with Invasive Ductal Adenocarcinoma. Gut 2002, 50, 861–868. [Google Scholar] [CrossRef]
- McGuigan, A.; Kelly, P.; Turkington, R.C.; Jones, C.; Coleman, H.G.; McCain, R.S. Pancreatic Cancer: A Review of Clinical Diagnosis, Epidemiology, Treatment and Outcomes. World J. Gastroenterol. 2018, 24, 4846–4861. [Google Scholar] [CrossRef]
- Hezel, A.F.; Kimmelman, A.C.; Stanger, B.Z.; Bardeesy, N.; DePinho, R.A. Genetics and Biology of Pancreatic Ductal Adenocarcinoma. Genes Dev. 2006, 20, 1218–1249. [Google Scholar] [CrossRef]
- Zavoral, M. Molecular Biology of Pancreatic Cancer. World J. Gastroenterol. 2011, 17, 2897. [Google Scholar] [CrossRef]
- Sasaki, S.; Yamamoto, H.; Kaneto, H.; Ozeki, I.; Adachi, Y.; Takagi, H.; Matsumoto, T.; Itoh, H.; Nagakawa, T.; Miyakawa, H.; et al. Differential Roles of Alterations of P53, P16, and SMAD4 Expression in the Progression of Intraductal Papillary-Mucinous Tumors of the Pancreas. Oncol. Rep. 2003, 10, 21–25. [Google Scholar] [CrossRef]
- Ducreux, M.; Cuhna, A.S.; Caramella, C.; Hollebecque, A.; Burtin, P.; Goéré, D.; Seufferlein, T.; Haustermans, K.; Van Laethem, J.L.; Conroy, T.; et al. Cancer of the Pancreas: ESMO Clinical Practice Guidelines for Diagnosis, Treatment and Follow-Up. Ann. Oncol. 2015, 26, v56–v68. [Google Scholar] [CrossRef]
- Rosen, R.D.; Sapra, A. TNM Classification; StatPearls Publishing: Treasure Island, FL, USA, 2024. [Google Scholar]
- National Cancer Institute. Available online: https://www.cancer.gov/ (accessed on 2 February 2024).
- Goess, R.; Friess, H. A Look at the Progress of Treating Pancreatic Cancer over the Past 20 Years. Expert Rev. Anticancer Ther. 2018, 18, 295–304. [Google Scholar] [CrossRef]
- Michalski, C.W.; Weitz, J.; Büchler, M.W. Surgery Insight: Surgical Management of Pancreatic Cancer. Nat. Rev. Clin. Oncol. 2007, 4, 526–535. [Google Scholar] [CrossRef]
- Kim, S.C.; Kim, Y.H.; Park, K.M.; Lee, Y.J. Pancreatic Cancer Surgery: The State of the Art. Curr. Drug Targets 2012, 13, 764–771. [Google Scholar] [CrossRef]
- Maggino, L.; Vollmer, C.M. Recent Advances in Pancreatic Cancer Surgery. Curr. Treat. Options Gastroenterol. 2017, 15, 520–537. [Google Scholar] [CrossRef]
- Karakas, Y.; Lacin, S.; Yalcin, S. Recent Advances in the Management of Pancreatic Adenocarcinoma. Expert Rev. Anticancer Ther. 2018, 18, 51–62. [Google Scholar] [CrossRef]
- Vincent, A.; Herman, J.; Schulick, R.; Hruban, R.H.; Goggins, M. Pancreatic Cancer. Lancet 2011, 378, 607–620. [Google Scholar] [CrossRef]
- Australian Pancreatic Cancer Genome Initiative; Bailey, P.; Chang, D.K.; Nones, K.; Johns, A.L.; Patch, A.-M.; Gingras, M.-C.; Miller, D.K.; Christ, A.N.; Bruxner, T.J.C.; et al. Genomic Analyses Identify Molecular Subtypes of Pancreatic Cancer. Nature 2016, 531, 47–52. [Google Scholar] [CrossRef]
- Australian Pancreatic Cancer Genome Initiative; Waddell, N.; Pajic, M.; Patch, A.-M.; Chang, D.K.; Kassahn, K.S.; Bailey, P.; Johns, A.L.; Miller, D.; Nones, K.; et al. Whole Genomes Redefine the Mutational Landscape of Pancreatic Cancer. Nature 2015, 518, 495–501. [Google Scholar] [CrossRef]
- Collisson, E.A.; Sadanandam, A.; Olson, P.; Gibb, W.J.; Truitt, M.; Gu, S.; Cooc, J.; Weinkle, J.; Kim, G.E.; Jakkula, L.; et al. Subtypes of Pancreatic Ductal Adenocarcinoma and Their Differing Responses to Therapy. Nat. Med. 2011, 17, 500–503. [Google Scholar] [CrossRef]
- Stratford, J.K.; Bentrem, D.J.; Anderson, J.M.; Fan, C.; Volmar, K.A.; Marron, J.S.; Routh, E.D.; Caskey, L.S.; Samuel, J.C.; Der, C.J.; et al. A Six-Gene Signature Predicts Survival of Patients with Localized Pancreatic Ductal Adenocarcinoma. PLoS Med. 2010, 7, e1000307. [Google Scholar] [CrossRef]
- Fathi, M.; Ghafouri-Fard, S.; Abak, A.; Taheri, M. Emerging Roles of miRNAs in the Development of Pancreatic Cancer. Biomed. Pharmacother. 2021, 141, 111914. [Google Scholar] [CrossRef]
- Cai, X.; Hagedorn, C.H.; Cullen, B.R. Human microRNAs Are Processed from Capped, Polyadenylated Transcripts That Can Also Function as mRNAs. RNA 2004, 10, 1957–1966. [Google Scholar] [CrossRef]
- Winter, J.; Jung, S.; Keller, S.; Gregory, R.I.; Diederichs, S. Many Roads to Maturity: microRNA Biogenesis Pathways and Their Regulation. Nat. Cell Biol. 2009, 11, 228–234. [Google Scholar] [CrossRef]
- Ha, M.; Kim, V.N. Regulation of microRNA Biogenesis. Nat. Rev. Mol. Cell Biol. 2014, 15, 509–524. [Google Scholar] [CrossRef]
- Iorio, M.V.; Croce, C.M. MicroRNA Dysregulation in Cancer: Diagnostics, Monitoring and Therapeutics. A Comprehensive Review. EMBO Mol. Med. 2012, 4, 143–159. [Google Scholar] [CrossRef]
- Zhang, B.; Pan, X.; Cobb, G.P.; Anderson, T.A. microRNAs as Oncogenes and Tumor Suppressors. Dev. Biol. 2007, 302, 1–12. [Google Scholar] [CrossRef]
- Szafranska, A.E.; Davison, T.S.; John, J.; Cannon, T.; Sipos, B.; Maghnouj, A.; Labourier, E.; Hahn, S.A. MicroRNA Expression Alterations Are Linked to Tumorigenesis and Non-Neoplastic Processes in Pancreatic Ductal Adenocarcinoma. Oncogene 2007, 26, 4442–4452. [Google Scholar] [CrossRef]
- Daoud, A.Z.; Mulholland, E.J.; Cole, G.; McCarthy, H.O. MicroRNAs in Pancreatic Cancer: Biomarkers, Prognostic, and Therapeutic Modulators. BMC Cancer 2019, 19, 1130. [Google Scholar] [CrossRef]
- Humeau, M.; Torrisani, J.; Cordelier, P. miRNA in Clinical Practice: Pancreatic Cancer. Clin. Biochem. 2013, 46, 933–936. [Google Scholar] [CrossRef]
- Seux, M.; Lovanna, J.; Dagorn, J.-C.; Dusetti, N.J. MicroRNAs in Pancreatic Ductal Adenocarcinoma: New Diagnostic and Therapeutic Clues. Pancreatology 2009, 9, 66–72. [Google Scholar] [CrossRef]
- Tarasiuk, A.; Mackiewicz, T.; Małecka-Panas, E.; Fichna, J. Biomarkers for Early Detection of Pancreatic Cancer–miRNAs as a Potential Diagnostic and Therapeutic Tool? Cancer Biol. Ther. 2021, 22, 347–356. [Google Scholar] [CrossRef]
- Słotwiński, R.; Lech, G.; Słotwińska, S.M. MicroRNAs in Pancreatic Cancer Diagnosis and Therapy. Cent. Eur. J. Immunol. 2018, 43, 314–324. [Google Scholar] [CrossRef]
- Qadir, M.I.; Faheem, A. miRNA: A Diagnostic and Therapeutic Tool for Pancreatic Cancer. Crit. Rev. Eukaryot. Gene Expr. 2017, 27, 197–204. [Google Scholar] [CrossRef]
- Garzon, R.; Fabbri, M.; Cimmino, A.; Calin, G.A.; Croce, C.M. MicroRNA Expression and Function in Cancer. Trends Mol. Med. 2006, 12, 580–587. [Google Scholar] [CrossRef]
- Di Leva, G.; Croce, C.M. miRNA Profiling of Cancer. Curr. Opin. Genet. Dev. 2013, 23, 3–11. [Google Scholar] [CrossRef]
- Bimonte, S.; Barbieri, A.; Leongito, M.; Palma, G.; Del Vecchio, V.; Falco, M.; Palaia, R.; Albino, V.; Piccirillo, M.; Amore, A.; et al. The Role of miRNAs in the Regulation of Pancreatic Cancer Stem Cells. Stem Cells Int. 2016, 2016, 8352684. [Google Scholar] [CrossRef]
- Namkung, J.; Kwon, W.; Choi, Y.; Yi, S.G.; Han, S.; Kang, M.J.; Kim, S.-W.; Park, T.; Jang, J.-Y. Molecular Subtypes of Pancreatic Cancer Based on miRNA Expression Profiles Have Independent Prognostic Value. J. Gastroenterol. Hepatol. 2016, 31, 1160–1167. [Google Scholar] [CrossRef]
- Guo, S.; Fesler, A.; Wang, H.; Ju, J. microRNA Based Prognostic Biomarkers in Pancreatic Cancer. Biomark. Res. 2018, 6, 18. [Google Scholar] [CrossRef]
- Greither, T.; Grochola, L.F.; Udelnow, A.; Lautenschläger, C.; Würl, P.; Taubert, H. Elevated Expression of microRNAs 155, 203, 210 and 222 in Pancreatic Tumors Is Associated with Poorer Survival. Int. J. Cancer 2010, 126, 73–80. [Google Scholar] [CrossRef]
- Bloomston, M.; Frankel, W.L.; Petrocca, F.; Volinia, S.; Alder, H.; Hagan, J.P.; Liu, C.-G.; Bhatt, D.; Taccioli, C.; Croce, C.M. MicroRNA Expression Patterns to Differentiate Pancreatic Adenocarcinoma from Normal Pancreas and Chronic Pancreatitis. JAMA 2007, 297, 1901. [Google Scholar] [CrossRef]
- Lee, E.J.; Gusev, Y.; Jiang, J.; Nuovo, G.J.; Lerner, M.R.; Frankel, W.L.; Morgan, D.L.; Postier, R.G.; Brackett, D.J.; Schmittgen, T.D. Expression Profiling Identifies microRNA Signature in Pancreatic Cancer. Int. J. Cancer 2007, 120, 1046–1054. [Google Scholar] [CrossRef]
- Ma, M.-Z.; Kong, X.; Weng, M.-Z.; Cheng, K.; Gong, W.; Quan, Z.-W.; Peng, C.-H. Candidate microRNA Biomarkers of Pancreatic Ductal Adenocarcinoma: Meta-Analysis, Experimental Validation and Clinical Significance. J. Exp. Clin. Cancer Res. 2013, 32, 71. [Google Scholar] [CrossRef]
- Frampton, A.E.; Krell, J.; Jamieson, N.B.; Gall, T.M.H.; Giovannetti, E.; Funel, N.; Mato Prado, M.; Krell, D.; Habib, N.A.; Castellano, L.; et al. microRNAs with Prognostic Significance in Pancreatic Ductal Adenocarcinoma: A Meta-Analysis. Eur. J. Cancer 2015, 51, 1389–1404. [Google Scholar] [CrossRef]
- Misso, G.; Zarone, M.R.; Lombardi, A.; Grimaldi, A.; Cossu, A.M.; Ferri, C.; Russo, M.; Vuoso, D.C.; Luce, A.; Kawasaki, H.; et al. miR-125b Upregulates miR-34a and Sequentially Activates Stress Adaption and Cell Death Mechanisms in Multiple Myeloma. Mol. Ther. Nucleic Acids 2019, 16, 391–406. [Google Scholar] [CrossRef]
- Agarwal, V.; Bell, G.W.; Nam, J.-W.; Bartel, D.P. Predicting Effective microRNA Target Sites in Mammalian mRNAs. eLife 2015, 4, e05005. [Google Scholar] [CrossRef]
- Paraskevopoulou, M.D.; Georgakilas, G.; Kostoulas, N.; Vlachos, I.S.; Vergoulis, T.; Reczko, M.; Filippidis, C.; Dalamagas, T.; Hatzigeorgiou, A.G. DIANA-microT Web Server v5.0: Service Integration into miRNA Functional Analysis Workflows. Nucleic Acids Res. 2013, 41, W169–W173. [Google Scholar] [CrossRef]
- Wang, X. miRDB: A microRNA Target Prediction and Functional Annotation Database with a Wiki Interface. RNA 2008, 14, 1012–1017. [Google Scholar] [CrossRef] [PubMed]
- Sethupathy, P.; Corda, B.; Hatzigeorgiou, A.G. TarBase: A Comprehensive Database of Experimentally Supported Animal microRNA Targets. RNA 2006, 12, 192–197. [Google Scholar] [CrossRef] [PubMed]
- Vlachos, I.S.; Zagganas, K.; Paraskevopoulou, M.D.; Georgakilas, G.; Karagkouni, D.; Vergoulis, T.; Dalamagas, T.; Hatzigeorgiou, A.G. DIANA-miRPath v3.0: Deciphering microRNA Function with Experimental Support. Nucleic Acids Res. 2015, 43, W460–W466. [Google Scholar] [CrossRef]
- Anaya, J. OncoLnc: Linking TCGA Survival Data to mRNAs, miRNAs, and lncRNAs. PeerJ Comput. Sci. 2016, 2, e67. [Google Scholar] [CrossRef]
- Svoronos, A.A.; Engelman, D.M.; Slack, F.J. OncomiR or Tumor Suppressor? The Duplicity of MicroRNAs in Cancer. Cancer Res. 2016, 76, 3666–3670. [Google Scholar] [CrossRef]
- Chandrashekar, D.S.; Karthikeyan, S.K.; Korla, P.K.; Patel, H.; Shovon, A.R.; Athar, M.; Netto, G.J.; Qin, Z.S.; Kumar, S.; Manne, U.; et al. UALCAN: An Update to the Integrated Cancer Data Analysis Platform. Neoplasia 2022, 25, 18–27. [Google Scholar] [CrossRef]
- Kawasaki, H.; Takeuchi, T.; Ricciardiello, F.; Lombardi, A.; Biganzoli, E.; Fornili, M.; De Bortoli, D.; Mesolella, M.; Cossu, A.M.; Scrima, M.; et al. Definition of miRNA Signatures of Nodal Metastasis in LCa: miR-449a Targets Notch Genes and Suppresses Cell Migration and Invasion. Mol. Ther. Nucleic Acids 2020, 20, 711–724. [Google Scholar] [CrossRef]
- Pham, T.T.; Angus, S.P.; Johnson, G.L. MAP3K1: Genomic Alterations in Cancer and Function in Promoting Cell Survival or Apoptosis. Genes Cancer 2013, 4, 419–426. [Google Scholar] [CrossRef]
- Wang, J.; Wang, W.; Li, J.; Wu, L.; Song, M.; Meng, Q. miR182 Activates the Ras–ndash;MEK–ERK Pathway in Human Oral Cavity Squamous Cell Carcinoma by Suppressing RASA1 and SPRED1. OncoTargets Ther. 2017, 10, 667–679. [Google Scholar] [CrossRef][Green Version]
- Chen, C.; Hui, Y.; Chen, Y.; Qian, C.; Sun, M. Loss of C-Cbl Expression Correlates with de-Differentiation Status and Lymphatic Metastasis in Gastric Cancer. Indian J. Pathol. Microbiol. 2019, 62, 549. [Google Scholar] [CrossRef]
- Benzina, S.; Beauregard, A.-P.; Guerrette, R.; Jean, S.; Faye, M.D.; Laflamme, M.; Maïcas, E.; Crapoulet, N.; Ouellette, R.J.; Robichaud, G.A. Pax-5 Is a Potent Regulator of E-Cadherin and Breast Cancer Malignant Processes. Oncotarget 2017, 8, 12052–12066. [Google Scholar] [CrossRef]
- Zhao, L.; Li, S.; Gan, L.; Li, C.; Qiu, Z.; Feng, Y.; Li, J.; Li, L.; Li, C.; Peng, W.; et al. Paired Box 5 Is a Frequently Methylated Lung Cancer Tumour Suppressor Gene Interfering Β-catenin Signalling and GADD 45G Expression. J. Cell. Mol. Med. 2016, 20, 842–854. [Google Scholar] [CrossRef]
- Gu, Z.; Churchman, M.L.; Roberts, K.G.; Moore, I.; Zhou, X.; Nakitandwe, J.; Hagiwara, K.; Pelletier, S.; Gingras, S.; Berns, H.; et al. PAX5-Driven Subtypes of B-Progenitor Acute Lymphoblastic Leukemia. Nat. Genet. 2019, 51, 296–307. [Google Scholar] [CrossRef] [PubMed]
- Park, J.M.; Peng, J.-M.; Shen, Y.-S.; Lin, C.-Y.; Hsu, T.-W.; Su, Y.-H.; Chen, H.-A.; Saengboonmee, C.; Chang, J.-S.; Chiu, C.-F.; et al. Phosphomimetic Dicer S1016E Triggers a Switch to Glutamine Metabolism in Gemcitabine-Resistant Pancreatic Cancer. Mol. Metab. 2022, 65, 101576. [Google Scholar] [CrossRef]
- Bott, A.J.; Shen, J.; Tonelli, C.; Zhan, L.; Sivaram, N.; Jiang, Y.-P.; Yu, X.; Bhatt, V.; Chiles, E.; Zhong, H.; et al. Glutamine Anabolism Plays a Critical Role in Pancreatic Cancer by Coupling Carbon and Nitrogen Metabolism. Cell Rep. 2019, 29, 1287–1298.e6. [Google Scholar] [CrossRef]
- Kang, C.M.; Babicky, M.L.; Lowy, A.M. The RON Receptor Tyrosine Kinase in Pancreatic Cancer Pathogenesis and Its Potential Implications for Future Targeted Therapies. Pancreas 2014, 43, 183–189. [Google Scholar] [CrossRef]
- Zhang, M.; He, S.; Ma, X.; Ye, Y.; Wang, G.; Zhuang, J.; Song, Y.; Xia, W. GINS2 Affects Cell Viability, Cell Apoptosis, and Cell Cycle Progression of Pancreatic Cancer Cells via MAPK/ERK Pathway. J. Cancer 2020, 11, 4662–4670. [Google Scholar] [CrossRef]
- Wei, D.; Wang, L.; Kanai, M.; Jia, Z.; Le, X.; Li, Q.; Wang, H.; Xie, K. KLF4α Up-Regulation Promotes Cell Cycle Progression and Reduces Survival Time of Patients with Pancreatic Cancer. Gastroenterology 2010, 139, 2135–2145. [Google Scholar] [CrossRef]
- Kaistha, B.P.; Lorenz, H.; Schmidt, H.; Sipos, B.; Pawlak, M.; Gierke, B.; Kreider, R.; Lankat-Buttgereit, B.; Sauer, M.; Fiedler, L.; et al. PLAC8 Localizes to the Inner Plasma Membrane of Pancreatic Cancer Cells and Regulates Cell Growth and Disease Progression through Critical Cell-Cycle Regulatory Pathways. Cancer Res. 2016, 76, 96–107. [Google Scholar] [CrossRef]












| Characteristics | n. (%) | |
|---|---|---|
| Age (year) | ≥60 | 15 (25.4) |
| ≤60 | 44 (74.6) | |
| Sex | Male | 27 (45.8) |
| Female | 32 (54.2) | |
| Tumor grading | G3 | 33 (57.9) |
| G2 | 24 (42.1) | |
| LMN | N+ | 40 (70.2) |
| N0 | 17 (29.8) |
| miRNA | Regulation | Fold Change (Log2) | S.D. | p-Value |
|---|---|---|---|---|
| miR-138-5p | Up | 2.820362 | 0.896241 | 0.004896 |
| miR-215-5p | Down | −1.94699 | 0.076042 | 0.018501 |
| miR-518d-3p | Up | 2.045313 | 0.552661 | 0.013743 |
| miR-519a-3p | Down | −2.51094 | 0.043237 | 0.010099 |
| miR-522-3p | Down | −3.23667 | 0.039017 | 0.013339 |
| miR-576-5p | Down | −2.45585 | 0.014635 | 0.026540 |
| miR-147-5p | Down | −2.0902 | 0.112546 | 0.016185 |
| miRNA | Regulation | Fold Change (Log2) | S.D. | p-Value |
|---|---|---|---|---|
| miR-1-3p | Up | 2.038468 | 0.129115 | 0.019909 |
| miR-31-5p | Up | 3.134220 | 0.335566 | 0.000190 |
| miR-133a-3p | Up | 1.890646 | 0.243735 | 0.004635 |
| miR-137-3p | Up | 2.051514 | 0.123922 | 0.000221 |
| miR-187-3p | Up | 5.908869 | 1.38753 | 0.010564 |
| miR-205-5p | Up | 3.717156 | 0.910863 | 0.001044 |
| miR-215-5p | Up | 3.113365 | 1.570617 | 0.013060 |
| miR-380-3p | Down | −3.31882 | 0.052619 | 0.066883 |
| miR-451-5p | Down | −2.64865 | 0.018094 | 0.000968 |
| miR-490-3p | Up | 2.672909 | 0.490397 | 0.022821 |
| miR-517b-5p | Down | −3.94387 | 0.029408 | 0.013197 |
| miRNA Name | Cancer Abbreviation | Clinical Parameter | ANOVA p-Value | ANOVA FDR | Multivariate Log Rank p-Value | Multivariate Log Rank FDR |
|---|---|---|---|---|---|---|
| hsa-miR-31-5p | PDAC | Histologic Grade | 0.036400 | 0.203000 | 0.036432 | 0.203282885 |
| hsa-miR-31-5p | PDAC | Pathologic N Status | 0.027600 | 0.297000 | 0.027573 | 0.297193659 |
| hsa-miR-31-5p | PDAC | Pathologic Stage | 0.037100 | 0.203000 | 0.037058 | 0.203296320 |
| hsa-miR-31-5p | PDAC | Pathologic M Status | 0.011100 | 0.089500 | 0.011058 | 0.089510893 |
| hsa-miR-205-5p | PDAC | Histologic Grade | 1.23 × 10−4 | 1.45 × 10−3 | 0.220247 | 0.502556231 |
| DE miRNA | DIANA-microT-CDS | miRDB | TargetScan_Human_v8.0 | Count of Common Predicted Gene Targets (Predicted by All 3 Tools) | Count of Experimental Gene Targets (TarBase) |
|---|---|---|---|---|---|
| hsa-miR-1-3p | 1121 | 945 | 698 | 328 | 117 |
| hsa-miR-31-5p | 603 | 594 | 474 | 128 | 19 |
| hsa-miR-205-5p | 1448 | 737 | 585 | 267 | 44 |
Disclaimer/Publisher’s Note: The statements, opinions and data contained in all publications are solely those of the individual author(s) and contributor(s) and not of MDPI and/or the editor(s). MDPI and/or the editor(s) disclaim responsibility for any injury to people or property resulting from any ideas, methods, instructions or products referred to in the content. |
© 2024 by the authors. Licensee MDPI, Basel, Switzerland. This article is an open access article distributed under the terms and conditions of the Creative Commons Attribution (CC BY) license (https://creativecommons.org/licenses/by/4.0/).
Share and Cite
Caputo, C.; Falco, M.; Grimaldi, A.; Lombardi, A.; Miceli, C.C.; Cocule, M.; Montella, M.; Pompella, L.; Tirino, G.; Campione, S.; et al. Identification of Tissue miRNA Signatures for Pancreatic Ductal Adenocarcinoma. Cancers 2024, 16, 824. https://doi.org/10.3390/cancers16040824
Caputo C, Falco M, Grimaldi A, Lombardi A, Miceli CC, Cocule M, Montella M, Pompella L, Tirino G, Campione S, et al. Identification of Tissue miRNA Signatures for Pancreatic Ductal Adenocarcinoma. Cancers. 2024; 16(4):824. https://doi.org/10.3390/cancers16040824
Chicago/Turabian StyleCaputo, Carlo, Michela Falco, Anna Grimaldi, Angela Lombardi, Chiara Carmen Miceli, Mariateresa Cocule, Marco Montella, Luca Pompella, Giuseppe Tirino, Severo Campione, and et al. 2024. "Identification of Tissue miRNA Signatures for Pancreatic Ductal Adenocarcinoma" Cancers 16, no. 4: 824. https://doi.org/10.3390/cancers16040824
APA StyleCaputo, C., Falco, M., Grimaldi, A., Lombardi, A., Miceli, C. C., Cocule, M., Montella, M., Pompella, L., Tirino, G., Campione, S., Tammaro, C., Cossu, A., Fenu Pintori, G., Maioli, M., Coradduzza, D., Savarese, G., Fico, A., Ottaiano, A., Conzo, G., ... Misso, G. (2024). Identification of Tissue miRNA Signatures for Pancreatic Ductal Adenocarcinoma. Cancers, 16(4), 824. https://doi.org/10.3390/cancers16040824

