Baseline IgM Amounts Can Identify Patients with Poor Outcomes: Results from a Real-Life Single-Center Study on Classical Hodgkin Lymphoma
Abstract
Simple Summary
Abstract
1. Introduction
2. Patients and Methods
2.1. Patient Selection
2.2. Staging, Risk Assessment, and Treatment
2.3. Statistical Analysis
3. Results
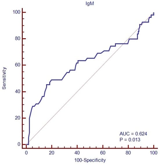
3.1. Baseline IgM Is Reduced in cHL
3.2. Low Baseline IgM Concentrations Are Associated with Clinical Outcomes
3.3. Baseline IgM Can Predict Clinical Outcomes in Advanced-Stage HL Patients
3.4. Combining Baseline IgM and the Presence of Large Nodal Mass Can Predict Clinical Outcomes in Advanced-Stage HL Patients Independently of the PET-2 Status
4. Discussion
5. Conclusions
Supplementary Materials
Author Contributions
Funding
Institutional Review Board Statement
Informed Consent Statement
Data Availability Statement
Conflicts of Interest
References
- Mathas, S.; Hartmann, S.; Küppers, R. Hodgkin Lymphoma: Pathology and Biology. Semin. Hematol. 2016, 53, 139–147. [Google Scholar] [CrossRef] [PubMed]
- Aldinucci, D.; Celegato, M.; Casagrande, N. Microenvironmental Interactions in Classical Hodgkin Lymphoma and Their Role in Promoting Tumor Growth, Immune Escape and Drug Resistance. Cancer Lett. 2016, 380, 243–252. [Google Scholar] [CrossRef] [PubMed]
- Rigacci, L.; Puccini, B.; Zinzani, P.L.; Biggi, A.; Castagnoli, A.; Merli, F.; Balzarotti, M.; Stelitano, C.; Spina, M.; Vitolo, U.; et al. The Prognostic Value of Positron Emission Tomography Performed after Two Courses (INTERIM-PET) of Standard Therapy on Treatment Outcome in Early Stage Hodgkin Lymphoma: A Multicentric Study by the Fondazione Italiana Linfomi (FIL). Am. J. Hematol. 2015, 90, 499–503. [Google Scholar] [CrossRef] [PubMed]
- Gallamini, A.; Barrington, S.F.; Biggi, A.; Chauvie, S.; Kostakoglu, L.; Gregianin, M.; Meignan, M.; Mikhaeel, G.N.; Loft, A.; Zaucha, J.M.; et al. The Predictive Role of Interim Positron Emission Tomography for Hodgkin Lymphoma Treatment Outcome Is Confirmed Using the Interpretation Criteria of the Deauville Five-Point Scale. Haematologica 2014, 99, 1107–1113. [Google Scholar] [CrossRef] [PubMed]
- Gallamini, A.; Kostakoglu, L. Interim FDG-PET in Hodgkin Lymphoma: A Compass for a Safe Navigation in Clinical Trials? Blood 2012, 120, 4913–4920. [Google Scholar] [CrossRef] [PubMed]
- Sica, A.; Strauss, L.; Consonni, F.M.; Travelli, C.; Genazzani, A.; Porta, C. Metabolic Regulation of Suppressive Myeloid Cells in Cancer. Cytokine Growth Factor. Rev. 2017, 35, 27–35. [Google Scholar] [CrossRef] [PubMed]
- Bari, A.; Marcheselli, R.; Sacchi, S.; Re, A.; Pagani, C.; Tucci, A.; Botto, B.; Vitolo, U.; Molinari, A.L.; Puccini, B.; et al. The Classic Prognostic Factors in Advanced Hodgkin ’ s Lymphoma Patients Are Losing Their Meaning at the Time of Pet-Guided Treatments. Ann. Hematol. 2019, 99, 277–282. [Google Scholar] [CrossRef] [PubMed]
- Gallamini, A.; Hutchings, M.; Rigacci, L.; Specht, L.; Merli, F.; Hansen, M.; Patti, C.; Loft, A.; Di Raimondo, F.; D’Amore, F.; et al. Early Interim 2-[18F]Fluoro-2-Deoxy-D-Glucose Positron Emission Tomography Is Prognostically Superior to International Prognostic Score in Advanced-Stage Hodgkin’s Lymphoma: A Report from a Joint Italian-Danish Study. J. Clin. Oncol. 2007, 25, 3746–3752. [Google Scholar] [CrossRef]
- Agostinelli, C.; Gallamini, A.; Stracqualursi, L.; Agati, P.; Tripodo, C.; Fuligni, F.; Sista, M.T.; Fanti, S.; Biggi, A.; Vitolo, U.; et al. The Combined Role of Biomarkers and Interim PET Scan in Prediction of Treatment Outcome in Classical Hodgkin’s Lymphoma: A Retrospective, European, Multicentre Cohort Study. Lancet Haematol. 2016, 3, e467–e479. [Google Scholar] [CrossRef]
- Schreck, S.; Friebel, D.; Buettner, M.; Distel, L.; Grabenbauer, G.; Young, L.S.; Niedobitek, G. Prognostic Impact of Tumour-Infiltrating Th2 and Regulatory T Cells in Classical Hodgkin Lymphoma. Hematol. Oncol. 2009, 27, 31–39. [Google Scholar] [CrossRef]
- Greaves, P.; Clear, A.; Owen, A.; Iqbal, S.; Lee, A.; Matthews, J.; Wilson, A.; Calaminici, M.; Gribben, J.G. Defining Characteristics of Classical Hodgkin Lymphoma Microenvironment T-Helper Cells. Blood 2013, 122, 2856–2863. [Google Scholar] [CrossRef]
- Marshall, N.A.; Christie, L.E.; Munro, L.R.; Culligan, D.J.; Johnston, P.W.; Barker, R.N.; Vickers, M.A. Immunosuppressive Regulatory T Cells Are Abundant in the Reactive Lymphocytes of Hodgkin Lymphoma. Blood 2004, 103, 1755–1762. [Google Scholar] [CrossRef]
- Sica, A.; Porta, C.; Morlacchi, S.; Banfi, S.; Strauss, L.; Rimoldi, M.; Totaro, M.G.; Riboldi, E. Origin and Functions of Tumor-Associated Myeloid Cells (TAMCs). Cancer Microenviron. 2012, 5, 133–149. [Google Scholar] [CrossRef] [PubMed]
- Brandau, S.; Trellakis, S.; Bruderek, K.; Schmaltz, D.; Steller, G.; Elian, M.; Suttmann, H.; Schenck, M.; Welling, J.; Zabel, P.; et al. Myeloid-Derived Suppressor Cells in the Peripheral Blood of Cancer Patients Contain a Subset of Immature Neutrophils with Impaired Migratory Properties. J. Leukoc. Biol. 2011, 89, 311–317. [Google Scholar] [CrossRef] [PubMed]
- Romano, A.; Parrinello, N.L.; Vetro, C.; Forte, S.; Chiarenza, A.; Figuera, A.; Motta, G.; Palumbo, G.A.; Ippolito, M.; Consoli, U.; et al. Circulating Myeloid-Derived Suppressor Cells Correlate with Clinical Outcome in Hodgkin Lymphoma Patients Treated up-Front with a Risk-Adapted Strategy. Br. J. Haematol. 2015, 168, 689–700. [Google Scholar] [CrossRef] [PubMed]
- Romano, A.; Parrinello, N.L.; Vetro, C.; Tibullo, D.; Giallongo, C.; La Cava, P.; Chiarenza, A.; Motta, G.; Caruso, A.L.; Villari, L.; et al. The Prognostic Value of the Myeloid-Mediated Immunosuppression Marker Arginase-1 in Classic Hodgkin Lymphoma. Oncotarget 2016, 7, 67333–67346. [Google Scholar] [CrossRef] [PubMed]
- Hasenclever, D.; Diehl, V. A Prognostic Score for Advanced Hodgkin’s Disease. International Prognostic Factors Project on Advanced Hodgkin’s Disease. N. Engl. J. Med. 1998, 339, 1506–1514. [Google Scholar] [CrossRef]
- Porrata, L.F.; Ristow, K.; Colgan, J.P.; Habermann, T.M.; Witzig, T.E.; Inwards, D.J.; Ansell, S.M.; Micallef, I.N.; Johnston, P.B.; Nowakowski, G.S.; et al. Peripheral Blood Lymphocyte/Monocyte Ratio at Diagnosis and Survival in Classical Hodgkin’s Lymphoma. Haematologica 2012, 97, 262–269. [Google Scholar] [CrossRef] [PubMed]
- Marcheselli, R.; Bari, A.; Tadmor, T.; Marcheselli, L.; Cox, M.C.; Pozzi, S.; Ferrari, A.; Baldini, L.; Gobbi, P.; Aviv, A.; et al. Neutrophil-Lymphocyte Ratio at Diagnosis Is an Independent Prognostic Factor in Patients with Nodular Sclerosis Hodgkin Lymphoma: Results of a Large Multicenter Study Involving 990 Patients. Hematol. Oncol. 2017, 35, 561–566. [Google Scholar] [CrossRef] [PubMed]
- Romano, A.; Pavoni, C.; Di Raimondo, F.; Tarella, C.; Viviani, S.; Rossi, A.; Patti, C.; Picardi, M.; Cantonetti, M.; La Nasa, G.; et al. The Neutrophil to Lymphocyte Ratio (NLR) and the Presence of Large Nodal Mass Are Independent Predictors of Early Response: A Subanalysis of the Prospective Phase II PET-2-adapted HD0607 Trial. Cancer Med. 2020, 9, 8735. [Google Scholar] [CrossRef]
- Kuppers, R.; Rajewsky, K.; Zhao, M.; Simons, G.; Laumann, R.; Fischer, R.; Hansmann, M.L. Hodgkin Disease: Hodgkin and Reed-Sternberg Cells Picked from Histological Sections Show Clonal Immunoglobulin Gene Rearrangements and Appear to Be Derived from B Cells at Various Stages of Development. Proc. Natl. Acad. Sci. USA 1994, 91, 10962–10966. [Google Scholar] [CrossRef] [PubMed]
- Gallamini, A. Positron Emission Tomography Scanning: A New Paradigm for the Management of Hodgkin’s Lymphoma. Haematologica 2010, 95, 1046–1048. [Google Scholar] [CrossRef] [PubMed]
- Hutchings, M.; Loft, A.; Hansen, M.; Pedersen, L.M.; Buhl, T.; Jurlander, J.; Buus, S.; Keiding, S.; D’Amore, F.; Boesen, A.M.; et al. FDG-PET after Two Cycles of Chemotherapy Predicts Treatment Failure and Progression-Free Survival in Hodgkin Lymphoma. Blood 2006, 107, 52–59. [Google Scholar] [CrossRef]
- Cattaruzza, L.; Gloghini, A.; Olivo, K.; Di Francia, R.; Lorenzon, D.; De Filippi, R.; Carbone, A.; Colombatti, A.; Pinto, A.; Aldinucci, D. Functional Coexpression of Interleukin (IL)-7 and Its Receptor (IL-7R) on Hodgkin and Reed-Sternberg Cells: Involvement of IL-7 in Tumor Cell Growth and Microenvironmental Interactions of Hodgkin’s Lymphoma. Int. J. Cancer 2009, 125, 1092–1101. [Google Scholar] [CrossRef]
- Greaves, P.; Clear, A.; Coutinho, R.; Wilson, A.; Matthews, J.; Owen, A.; Shanyinde, M.; Lister, T.A.; Calaminici, M.; Gribben, J.G. Expression of FOXP3, CD68, and CD20 at Diagnosis in the Microenvironment of Classical Hodgkin Lymphoma Is Predictive of Outcome. J. Clin. Oncol. 2013, 31, 256–262. [Google Scholar] [CrossRef]
- Alig, S.K.; Esfahani, M.S.; Garofalo, A.; Li, M.Y.; Rossi, C.; Flerlage, T.; Flerlage, J.E.; Adams, R.; Binkley, M.S.; Shukla, N.; et al. Distinct Hodgkin Lymphoma Subtypes Defined by Noninvasive Genomic Profiling. Nature 2024, 625, 778–787. [Google Scholar] [CrossRef]
- Van Den Berg, A.; Visser, L.; Poppema, S. High Expression of the CC Chemokine TARC in Reed-Sternberg Cells. A Possible Explanation for the Characteristic T-Cell Infiltratein Hodgkin’s Lymphoma. Am. J. Pathol. 1999, 154, 1685–1691. [Google Scholar] [CrossRef]
- Niens, M.; Visser, L.; Nolte, I.M.; Van Der Steege, G.; Diepstra, A.; Cordano, P.; Jarrett, R.F.; Te Meerman, G.J.; Poppema, S.; Van Den Berg, A. Serum Chemokine Levels in Hodgkin Lymphoma Patients: Highly Increased Levels of CCL17 and CCL22. Br. J. Haematol. 2008, 140, 527–536. [Google Scholar] [CrossRef]
- Di Stasi, A.; De Angelis, B.; Rooney, C.M.; Zhang, L.; Mahendravada, A.; Foster, A.E.; Heslop, H.E.; Brenner, M.K.; Dotti, G.; Savoldo, B. T Lymphocytes Coexpressing CCR4 and a Chimeric Antigen Receptor Targeting CD30 Have Improved Homing and Antitumor Activity in a Hodgkin Tumor Model. Blood 2009, 113, 6392–6402. [Google Scholar] [CrossRef] [PubMed]
- Farina, L.; Rezzonico, F.; Spina, F.; Dodero, A.; Mazzocchi, A.; Crippa, F.; Alessi, A.; Dalto, S.; Viviani, S.; Corradini, P. Serum Thymus and Activation-Regulated Chemokine Level Monitoring May Predict Disease Relapse Detected by PET Scan after Reduced-Intensity Allogeneic Stem Cell Transplantation in Patients with Hodgkin Lymphoma. Biol. Blood Marrow Transplant. 2014, 20, 1982–1988. [Google Scholar] [CrossRef] [PubMed][Green Version]
- Duminuco, A.; Nardo, A.; Orofino, A.; Giunta, G.; Conticello, C.; Del Fabro, V.; Chiarenza, A.; Parisi, M.S.; Figuera, A.; Leotta, S.; et al. Efficacy and Safety of Tixagevimab-Cilgavimab versus SARS-CoV-2 Breakthrough Infection in the Hematological Conditions. Cancer 2024, 130, 41–50. [Google Scholar] [CrossRef] [PubMed]
- Duminuco, A.; Romano, A.; Leotta, D.; La Spina, E.; Cambria, D.; Bulla, A.; Del Fabro, V.; Tibullo, D.; Giallongo, C.; Palumbo, G.A.; et al. Clinical Outcome of SARS-CoV-2 Infections Occurring in Multiple Myeloma Patients after Vaccination and Prophylaxis with Tixagevimab/Cilgavimab. Front. Oncol. 2023, 13, 1157610. [Google Scholar] [CrossRef]
- Chetaille, B.; Bertucci, F.; Finetti, P.; Esterni, B.; Stamatoullas, A.; Picquenot, J.M.; Copin, M.C.; Morschhauser, F.; Casasnovas, O.; Petrella, T.; et al. Molecular Profiling of Classical Hodgkin Lymphoma Tissues Uncovers Variations in the Tumor Microenvironment and Correlations with EBV Infection and Outcome. Blood 2009, 113, 2765–2775. [Google Scholar] [CrossRef]
- Tudor, C.S.; Distel, L.V.; Eckhardt, J.; Hartmann, A.; Niedobitek, G.; Buettner, M. B Cells in Classical Hodgkin Lymphoma Are Important Actors Rather than Bystanders in the Local Immune Reaction. Hum. Pathol. 2013, 44, 2475–2486. [Google Scholar] [CrossRef]
- Clodi, K.; Asgari, Z.; Younes, M.; Palmer, J.L.; Cabanillas, F.; Carbone, A.; Andreeff, M.; Younes, A. Expression of CD40 Ligand (CD154) in B and T Lymphocytes of Hodgkin Disease: Potential Therapeutic Significance. Cancer 2002, 94, 1–5. [Google Scholar] [CrossRef] [PubMed]
- Manjarrez-Orduño, N.; Moreno-García, M.E.; Fink, K.; Santos-Argumendo, L. CD38 Cross-Linking Enhances TLR-Induced B Cell Proliferation but Decreases IgM Plasma Cell Differentiation. Eur. J. Immunol. 2007, 37, 358–367. [Google Scholar] [CrossRef] [PubMed]







| All Patients (n = 212) | All Patients (n = 212) | Advanced-Stage Patients | |||||
|---|---|---|---|---|---|---|---|
| IgM ≤ 50, n = 49 | IgM > 50, n = 163 | p | IgM ≤ 50, n = 35 | IgM > 50, n = 97 | p | ||
| Age (years) | |||||||
| Median (range) | 31.8 (14.8–76.9) | 31.8 (15.6–76.1) | 31.9 (14.9–76.9) | 0.89 | 31.8 (16.0–76.1) | 32.7 (14.8–76.9) | 0.92 |
| <45, n (%) | 148 (69.8%) | 34 (69.4%) | 114 (69.9%) | 0.98 | 24 (68.6%) | 66 (68.0%) | 0.98 |
| ≥45, n (%) | 64 (30.1%) | 15 (30.6%) | 49 (30.1%) | 11 (31.4%) | 31 (32%) | ||
| Sex, n (%) | |||||||
| Female | 103 (48.6%) | 22 (44.5%) | 81 (49.7%) | 0.62 | 16 (45.7%) | 44 (45.4%) | 0.98 |
| Male | 109 (51.4%) | 27 (55.1%) | 82 (50.3%) | 19 (54.3%) | 53 (54.6%) | ||
| Ann Arbor Stage, n (%) | |||||||
| IA-IB-IIA | 80 (37.7%) | 14 (28.6%) | 66 (40.5%) | 0.66 | NA | NA | |
| IIB | 57 (26.9%) | 16 (32.7%) | 41 (25.2%) | 16 (45.7%) | 41 (42.3%) | 0.65 | |
| III | 43 (20.3%) | 10 (20.4%) | 33 (20.2%) | 10 (28.6%) | 33 (34.0%) | ||
| IV | 32 (15.1%) | 9 (18.4%) | 23 (14.1%) | 9 (25.7%) | 23 (23.7%) | ||
| B-symptoms, n (%) | |||||||
| No | 96 (45.3%) | 18 (36.7%) | 78 (47.9%) | 0.19 | 4 (11.4%) | 12 (12.4%) | 0.98 |
| Yes | 116 (54.7%) | 31 (63.3%) | 85 (52.1%) | 31 (88.6%) | 85 (87.6%) | ||
| WBC median (range) | 9.86 (1.12–26.00) | 11.78 (3.10–26.00) | 9.60 (1.12–24.34) | 0.24 | 11.00 (3.10–26.00) | 10.50 (1.67–24.34) | 0.17 |
| ANC median (range) | 7.24 (0.79–22.20) | 8.37 (1.60–2.22) | 6.92 (0.79–20.56) | 0.19 | 8.87 (1.60–22.20) | 7.89 (0.81–20.56) | 0.13 |
| ALC median (range) | 1.46 (0.19–3.95) | 1.60 (0.19–3.30) | 1.45 (0.19–3.95) | 0.92 | 1.60 (0.19–3.23) | 1.39 (0.24–3.95) | 0.92 |
| AMC median (range) | 0.62 (0.17–1.86) | 0.68 (0.17–1.80) | 0.59 (0.26–1.86) | 0.89 | 0.74 (0.17–1.81) | 0.66 (0.25–1.85) | 0.88 |
| NLR median (range) | 4.79 (0.60–64.7) | 7.69 (1.50–64.7) | 6.16 (0.60–53.4) | 0.09 | 6.20 (1.51–64.7) | 5.50 (0.61–48.8) | 0.11 |
| Large nodal mass, n (%) | |||||||
| ≤7 cm | 148 (69.8%) | 34 (69.4%) | 114 (69.9%) | 0.98 | 25 (71.4%) | 63 (64.9%) | 0.53 |
| >7 cm | 64 (30.2%) | 15 (30.6%) | 49 (30.1%) | 10 (28.6%) | 34 (35.1%) | ||
| Extranodal sites, n (%) | |||||||
| Absent | 159 (75.0%) | 34 (69.4%) | 125 (76.7%) | 0.35 | 20 (57.1%) | 66 (68.0%) | 0.31 |
| Present | 53 (25.0%) | 15 (30.6%) | 38 (23.3%) | 15 (42.9%) | 31 (32.0%) | ||
| IPS score, n (%) | |||||||
| <3 | 158 (74.5%) | 35 (71.4%) | 123 (75.5%) | 0.59 | 24 (68.6%) | 63 (64.9%) | 0.83 |
| ≥3 | 54 (25.5%) | 14 (28.6%) | 40 (24.5%) | 11 (31.4%) | 34 (35.1%) | ||
| PET-2 status, n (%) | |||||||
| Negative | 179 (84.4%) | 40 (81.6%) | 139 (85.3%) | 0.51 | 26 (74.3%) | 78 (80.4%) | 0.98 |
| Positive | 33 (15.6%) | 9 (18.4%) | 24 (14.7%) | 9 (25.7%) | 19 (19.6%) | ||
| Response, n (%) | |||||||
| cCR | 188 (88.7%) | 36 (73.5%) | 152 (93.3%) | 0.0004 | 24 (68.6%) | 89 (91.8%) | 0.002 |
| relapse/refractoriness | 24 (11.3%) | 13 (26.5%) | 11 (6.7%) | 11 (31.4%) | 8 (8.2%) | ||
| Clinical Variable | Low IgM | Low IgG | Low IgA | |||
|---|---|---|---|---|---|---|
| Chi-Squared | p | Chi-Squared | p | Chi-Squared | p | |
| Age ≥ 45-years-old | 0.005 | 0.94 | 0.15 | 0.69 | 1.28 | 0.52 |
| Male gender | 0.34 | 0.56 | 0.34 | 0.55 | 2.31 | 0.31 |
| Albumin < 4.0 g/dL | 3.66 | 0.06 | 0.19 | 0.65 | 0.55 | 0.75 |
| ALC < 600 cells/μL | 0.11 | 0.73 | 0.38 | 0.53 | 1.99 | 0.36 |
| NLR ≥ 6 | 0.33 | 0.59 | 0.21 | 0.66 | 0.94 | 0.60 |
| WBC ≥ 15,000 cells/μL | 0.16 | 0.69 | 0.18 | 0.66 | 3.26 | 0.19 |
| Large nodal mass > 7 cm | 0.005 | 0.94 | 0.007 | 0.93 | 0.38 | 0.83 |
| Presence of extranodal sites | 1.07 | 0.31 | 0.44 | 0.50 | 2.07 | 0.35 |
| Hemoglobin < 10.5 g/dL | 1.19 | 0.27 | 0.25 | 0.61 | 1.46 | 0.48 |
| LDH > 2 UNL | 0.05 | 0.82 | 0.18 | 0.67 | 0.38 | 0.82 |
| IPS ≥ 3 | 0.32 | 0.57 | 0.19 | 0.65 | 4.44 | 0.10 |
| Positive PET-2 status | 0.38 | 0.53 | 0.007 | 0.93 | 0.96 | 0.62 |
| Clinical Variable | N | 5-Year PFS | p-Value | HR | 95% CI |
|---|---|---|---|---|---|
| Age | |||||
| ≤45 years | 148 | 74.7% | 0.85 | 0.95 | 0.53–1.69 |
| >45 years | 64 | 75.7% | |||
| Gender | |||||
| Male | 109 | 71.7% | 0.14 | 0.67 | 0.39–1.13 |
| Female | 103 | 78.4% | |||
| WBC | |||||
| <15.000 cells μ/L | 177 | 78.6% | 0.005 | 0.44 | 0.21–0.94 |
| ≥15.00 cells μ/L | 35 | 57.1% | |||
| ALC | |||||
| <600 cells μ/L | 15 | 58.3% | 0.15 | 0.54 | 0.18–1.62 |
| ≥600 cells μ/L | 197 | 76.2% | |||
| Bulky disease | |||||
| Absent | 148 | 79.3% | 0.02 | 0.53 | 0.29–0.97 |
| Present | 64 | 64.9% | |||
| Extranodal disease | |||||
| Absent | 159 | 78.8% | 0.03 | 0.55 | 0.29–1.03 |
| Present | 53 | 63.5% | |||
| IPS | |||||
| <3 | 158 | 78.7% | 0.01 | 0.51 | 0.27–0.96 |
| ≥3 | 54 | 63.8% | |||
| NLR | |||||
| <6 | 127 | 80.7% | 0.008 | 2.09 | 1.21–3.60 |
| ≥6 | 85 | 66.5% | |||
| IgM | |||||
| ≤50 mg/dL | 49 | 54.9% | <0.0001 | 3.33 | 1.69–6.53 |
| >50 mg/dL | 163 | 81.1% | |||
| PET2-status | |||||
| Negative | 179 | 83.4% | <0.0001 | 0.14 | 0.06–0.34 |
| Positive | 33 | 29.5% | |||
| Clinical Variable | N | 5-Year PFS | p-Value | HR | 95% CI |
|---|---|---|---|---|---|
| Age | |||||
| ≤45 years | 90 | 70.7% | 0.91 | 0.96 | 0.49–1.88 |
| >45 years | 42 | 55.2% | |||
| Gender | |||||
| Male | 72 | 77.2% | 0.06 | NA | NA |
| Female | 60 | 60.9% | |||
| WBC | |||||
| <15.000 cells μ/L | 103 | 75.0% | 0.012 | 2.16 | 0.97–4.83 |
| ≥15.00 cells μ/L | 29 | 55.2% | |||
| ALC | |||||
| <600 cells μ/L | 10 | 33.3% | 0.007 | 3.09 | 0.78–12.16 |
| ≥600 cells μ/L | 122 | 73.2% | |||
| Bulky disease | |||||
| Absent | 88 | 74.7% | 0.02 | 1.99 | 1.01–3.96 |
| Present | 44 | 56.1% | |||
| Extranodal disease | |||||
| Absent | 86 | 74.8% | 0.04 | 1.89 | 0.96–3.71 |
| Present | 46 | 57.1% | |||
| IPS | |||||
| <3 | 87 | 75.3% | 0.01 | 2.16 | 1.07–4.33 |
| ≥3 | 45 | 54.8% | |||
| NLR | |||||
| <6 | 70 | 75.8% | 0.002 | 2.09 | 1.10–3.95 |
| ≥6 | 62 | 60.1% | |||
| IgM | |||||
| ≤50 mg/dL | 35 | 49.9% | 0.0002 | 3.13 | 1.46–6.72 |
| >50 mg/dL | 97 | 75.5% | |||
| PET2-status | |||||
| Negative | 104 | 80.5% | <0.0001 | 6.42 | 2.60–15.82 |
| Positive | 28 | 25.2% | |||
| Clinical Predictor | All Patients | Advanced-Stage Patients | ||||||
|---|---|---|---|---|---|---|---|---|
| Clinical Variables Available at Baseline | All Clinical Variables (Including PET2 Status) | Clinical Variables Available at Baseline | All Clinical Variables (Including PET2 Status) | |||||
| HR (95%CI) | p | HR (95%CI) | p | HR (95% CI) | p | HR (95%CI) | p | |
| NLR ≥ 6 | 1.52 (0.86–2.69) | 0.15 | 1.43 (0.82–2.48) | 0.21 | 1.81 (0.92–3.56) | 0.08 | 1.83 (0.93–3.59) | 0.08 |
| WBC ≥15,000 cells/μL | 1.97 (1.04–3.71) | 0.04 | 1.52 (0.81–2.87) | 0.19 | NA | NA | NA | NA |
| Positive PET-2 | NA | NA | 6.17 (3.42–11.12) | <0.0001 | NA | NA | 6.39 (3.21–12.73) | <0.0001 |
| Large nodal mass > 7 cm | 1.55 (0.89–2.71) | 0.12 | 1.33 (0.76–2.32) | 0.32 | 2.00 (1.04–3.84) | 0.036 | 1.69 (0.87–3.25) | 0.12 |
| Presence of extranodal sites | 1.69 (0.96–2.95) | 0.07 | 1.36 (0.77–2.42) | 0.29 | 1.59 (0.78–3.24) | 0.20 | 1.51 (0.73–3.09) | 0.26 |
| IPS ≥ 3 | NA | NA | NA | NA | 2.05 (0.99–4.22) | 0.051 | 1.80 (0.86–3.76) | 0.12 |
| IgM < 50 mg/dL | 3.45 (2.02–5.91) | <0.0001 | 4.02 (2.32–6.97) | <0.0001 | 3.43 (1.81–6.52) | 0.0002 | 4.32 (2.23–8.38) | <0.0001 |
Disclaimer/Publisher’s Note: The statements, opinions and data contained in all publications are solely those of the individual author(s) and contributor(s) and not of MDPI and/or the editor(s). MDPI and/or the editor(s) disclaim responsibility for any injury to people or property resulting from any ideas, methods, instructions or products referred to in the content. |
© 2024 by the authors. Licensee MDPI, Basel, Switzerland. This article is an open access article distributed under the terms and conditions of the Creative Commons Attribution (CC BY) license (https://creativecommons.org/licenses/by/4.0/).
Share and Cite
Duminuco, A.; Santuccio, G.; Chiarenza, A.; Figuera, A.; Motta, G.; Caruso, A.L.; Petronaci, A.; Ippolito, M.; Cerchione, C.; Di Raimondo, F.; et al. Baseline IgM Amounts Can Identify Patients with Poor Outcomes: Results from a Real-Life Single-Center Study on Classical Hodgkin Lymphoma. Cancers 2024, 16, 826. https://doi.org/10.3390/cancers16040826
Duminuco A, Santuccio G, Chiarenza A, Figuera A, Motta G, Caruso AL, Petronaci A, Ippolito M, Cerchione C, Di Raimondo F, et al. Baseline IgM Amounts Can Identify Patients with Poor Outcomes: Results from a Real-Life Single-Center Study on Classical Hodgkin Lymphoma. Cancers. 2024; 16(4):826. https://doi.org/10.3390/cancers16040826
Chicago/Turabian StyleDuminuco, Andrea, Gabriella Santuccio, Annalisa Chiarenza, Amalia Figuera, Giovanna Motta, Anastasia Laura Caruso, Alessandro Petronaci, Massimo Ippolito, Claudio Cerchione, Francesco Di Raimondo, and et al. 2024. "Baseline IgM Amounts Can Identify Patients with Poor Outcomes: Results from a Real-Life Single-Center Study on Classical Hodgkin Lymphoma" Cancers 16, no. 4: 826. https://doi.org/10.3390/cancers16040826
APA StyleDuminuco, A., Santuccio, G., Chiarenza, A., Figuera, A., Motta, G., Caruso, A. L., Petronaci, A., Ippolito, M., Cerchione, C., Di Raimondo, F., & Romano, A. (2024). Baseline IgM Amounts Can Identify Patients with Poor Outcomes: Results from a Real-Life Single-Center Study on Classical Hodgkin Lymphoma. Cancers, 16(4), 826. https://doi.org/10.3390/cancers16040826

