Real-World Efficacy and Adherence to Palbociclib in HR-Positive, HER2-Negative Advanced Breast Cancer: Insights from a Romanian Cohort
Simple Summary
Abstract
1. Introduction
2. Materials and Methods
2.1. Study Population
2.2. Outcomes
2.3. Statistical Analysis
3. Results
3.1. Study Population
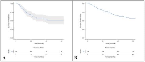
3.2. Time to Treatment Discontinuation and Overall Survival
3.3. Comparation of Time to Treatment Discontinuation and Overall Survival Between the Palbo + AI Group and Palbo + Fulvestrant Group
3.4. Comparation of Time to Treatment Discontinuation and Overall Survival Between the Two Lines of Treatment, Hormone Therapy-Naïve (HTN) and Prior Adjuvant Therapy (PAT)
3.4.1. Multivariable Analysis Assessing the Influence of Factors Such as Treatment Type, Age, Gender, and Adherence on OS or TTD
3.4.2. Comparation of Time to Treatment Discontinuation and Overall Survival Between Females and Males
3.5. Palbociclib Adherence Analysis
4. Discussion
5. Conclusions
Author Contributions
Funding
Institutional Review Board Statement
Informed Consent Statement
Data Availability Statement
Conflicts of Interest
References
- GLOBOCAN 2020. Global Cancer Observatory. Available online: https://gco.iarc.fr/ (accessed on 21 September 2024).
- Furtunescu, F.; Bohiltea, R.E.; Voinea, S.; Georgescu, T.A.; Munteanu, O.; Neacsu, A.; Pop, C.S. Breast cancer mortality gaps in Romanian women compared to the EU after 10 years of accession: Is breast cancer screening a priority for action in Romania? (Review of the Statistics). Exp. Ther. Med. 2021, 21, 268. [Google Scholar] [CrossRef] [PubMed]
- Kardas, P.; Aarnio, E.; Agh, T.; van Boven, J.F.M.; Dima, A.L.; Ghiciuc, C.M.; Kamberi, F.; Petrova, G.I.; Nabergoj Makovec, U.; Treciokiene, I. New terminology of medication adherence enabling and supporting activities: ENABLE terminology. Front. Pharmacol. 2023, 14, 1254291. [Google Scholar] [CrossRef] [PubMed]
- Finn, R.S.; Martin, M.; Rugo, H.S.; Jones, S.; Im, S.A.; Gelmon, K.; Harbeck, N.; Lipatov, O.N.; Walshe, J.M.; Moulder, S.; et al. Palbociclib and Letrozole in Advanced Breast Cancer. N. Engl. J. Med. 2016, 375, 1925–1936. [Google Scholar] [CrossRef] [PubMed]
- Cristofanilli, M.; Turner, N.C.; Bondarenko, I.; Ro, J.; Im, S.A.; Masuda, N.; Colleoni, M.; DeMichele, A.; Loi, S.; Verma, S.; et al. Fulvestrant plus palbociclib versus fulvestrant plus placebo for treatment of hormone-receptor-positive, HER2-negative metastatic breast cancer that progressed on previous endocrine therapy (PALOMA-3): Final analysis of the multicentre, double-blind, phase 3 randomised controlled trial. Lancet Oncol. 2016, 17, 425–439. [Google Scholar]
- Engel-Nitz, N.M.; Johnson, M.G.; Johnson, M.P.; Cha-Silva, A.S.; Kurosky, S.K.; Liu, X. Palbociclib adherence and persistence in patients with hormone receptor positive/human epidermal growth factor receptor 2 negative (HR+/HER2−) metastatic breast cancer. Patient Prefer. Adherence 2023, 17, 1049–1062. [Google Scholar] [CrossRef]
- Turcu-Stiolica, A.; Udristoiu, I.; Subtirelu, M.-S.; Gheorman, V.; Aldea, M.; Dumitrescu, E.A.; Volovat, S.R.; Median, D.M.; Lungulescu, C.V. Digging in real-world electronic database for assessing CDK 4/6 inhibitors adherence in breast cancer patients from Romania. Front. Pharmacol. 2024, 15, 1345482. [Google Scholar] [CrossRef]
- Degenhardt, T.; Fasching, P.A.; Lüftner, D.; Müller, V.; Thomssen, C.; Schem, C.; Witzel, I.; Decker, T.; Tesch, H.; Kümmel, S.; et al. PRECYCLE: Multicenter, randomized phase IV intergroup trial to evaluate the impact of eHealth-based patient-reported outcome (PRO) assessment on quality of life in patients with hormone receptor positive, HER2 negative locally advanced or metastatic breast cancer treated with palbociclib and an aromatase inhibitor or palbociclib and fulvestrant. Trials 2023, 24, 338. [Google Scholar] [CrossRef]
- Inotai, A.; Ágh, T.; Maris, R.; Erdősi, D.; Kovács, S.; Kaló, Z.; Senkus, E. Systematic review of real-world studies evaluating the impact of medication non-adherence to endocrine therapies on hard clinical endpoints in patients with non-metastatic breast cancer. Cancer Treat. Rev. 2021, 100, 102264. [Google Scholar] [CrossRef]
- Hortobagyi, G.N.; Stemmer, S.M.; Burris, H.A.; Yap, Y.S.; Sonke, G.S.; Paluch-Shimon, S.; Campone, M.; Blackwell, K.L.; André, F.; Winer, E.P.; et al. Ribociclib as First-Line Therapy for HR-Positive, Advanced Breast Cancer. N. Engl. J. Med. 2016, 375, 1738–1748. [Google Scholar] [CrossRef]
- Turner, N.C.; Ro, J.; André, F.; Loi, S.; Verma, S.; Iwata, H.; Harbeck, N.; Loibl, S.; Huang Bartlett, C.; Zhang, K.; et al. Palbociclib in hormone-receptor–positive advanced breast cancer. N. Engl. J. Med. 2015, 373, 209–219. [Google Scholar] [CrossRef]
- Therneau, T.M.; Grambsch, P.M. Modeling Survival Data: Extending the Cox Model; Springer: New York, NY, USA, 2020. [Google Scholar]
- Therneau, T.M. A Package for Survival Analysis in R. Available online: https://cran.r-project.org/package=survival (accessed on 11 September 2024).
- R Core Team. R: A Language and Environment for Statistical Computing. Available online: https://cran.r-project.org (accessed on 11 September 2024).
- Mîndrilă, I.; Buteică, S.A.; Mihaiescu, D.E.; Burada, F.; Mîndrilă, B.; Predoi, M.C.; Pirici, I.; Fudulu, A.; Croitoru, O. Magnetic nanoparticles-based therapy for malignant mesothelioma. Rom. J. Morphol. Embryol. 2017, 58, 457–463. [Google Scholar]
- Tătăranu, L.G.; Georgescu, A.M.; Buteică, S.A.; Siloși, I.; Mogoșanu, G.D.; Purcaru, Ș.O.; Alexandru, O.; Stovicek, O.P.; Brîndușa, C.; Doșa, M.; et al. Ligustrum vulgare hydroalcoholic extract induces apoptotic cell death in human primary brain tumour cells. Farmacia 2017, 65, 766. [Google Scholar]
- Musicco, F.; Lasala, R.; Santoleri, F.; Costantini, A.; Abrate, P.; Carretta, M.T.; Proli, E.M.; Romagnoli, A.; Petragnani, N.; Vita, F.; et al. A multicentre study with real-world data of the use of palbociclib in the treatment of breast cancer: Treatment duration correlates with dose reductions. J. Oncol. Pharm. Pract. 2023, 29, 1806–1815. [Google Scholar] [CrossRef] [PubMed]
- DeMichele, A.; Cristofanilli, M.; Brufsky, A.; Liu, X.; Mardekian, J.; McRoy, L.; Layman, R.M.; Emir, B.; Torres, M.A.; Rugo, H.S.; et al. Comparative effectiveness of first-line palbociclib plus letrozole versus letrozole alone for HR+/HER2− metastatic breast cancer in US real-world clinical practice. Breast Cancer Res. 2021, 23, 37–46. [Google Scholar] [CrossRef]
- Mycock, K.; Zhan, L.; Hart, K.; Taylor-Stokes, G.; Milligan, G.; Atkinson, C.; Mitra, D. Real-world treatment of patients with palbociclib for HR+/HER2− advanced/metastatic breast cancer: The Europe IRIS study. Future Oncol. 2022, 18, 349–362. [Google Scholar] [CrossRef]
- Tripathy, D.; Rocque, G.; Blum, J.L.; Karuturi, M.S.; McCune, S.; Kurian, S.; Moezi, M.; Anderson, D.; Gauthier, E.; Zhang, Z.; et al. 251P Real-world clinical outcomes of palbociclib plus endocrine therapy (ET) in hormone receptor–positive advanced breast cancer: Results from the POLARIS trial. Ann. Oncol. 2022, 33, S651–S652. [Google Scholar] [CrossRef]
- Finn, R.S.; Rugo, H.S.; Dieras, V.C.; Harbeck, N.; Im, S.A.; Gelmon, K.A.; Walshe, M.J.; Martin, M.; Mac Gregor, M.C.; Bananis, E.; et al. Overall survival (OS) with first-line palbociclib plus letrozole (PAL+LET) versus placebo plus letrozole (PBO+LET) in women with estrogen receptor–positive/human epidermal growth factor receptor 2–negative advanced breast cancer (ER+/HER2−ABC): Analyses from PALOMA-2. J. Clin. Oncol. 2022, 40, LBA1003. [Google Scholar]
- Xi, J.; Oza, A.; Thomas, S.; Ademuyiwa, F.; Weilbaecher, K.; Suresh, R.; Bose, R.; Cherian, M.; Hernandez-Aya, L.; Frith, A.; et al. Retrospective analysis of treatment patterns and effectiveness of palbociclib and subsequent regimens in metastatic breast cancer. J. Natl. Compr. Canc. Netw. 2019, 17, 141–147. [Google Scholar] [CrossRef]
- Porte, B.; Carton, M.; Lerebours, F.; Brain, E.; Loirat, D.; Haroun, L.; Bellesoeur, A.; Bach Hamba, S.; Kirova, Y.; Cottu, P. Real life efficacy of palbociclib and endocrine therapy in HR positive, HER2 negative advanced breast cancer. Breast 2020, 54, 303–310. [Google Scholar] [CrossRef]
- Palumbo, R.; Torrisi, R.; Sottotetti, F.; Presti, D.; Rita Gambaro, A.; Collovà, E.; Ferzi, A.; Agostinetto, E.; Maria Teragni, C.; Saltalamacchia, G.; et al. Patterns of treatment and outcome of palbociclib plus endocrine therapy in hormone receptor-positive/HER2 receptor-negative metastatic breast cancer: A real-world multicentre Italian study. Ther. Adv. Med. Oncol. 2021, 13, 1758835920987651. [Google Scholar] [CrossRef]
- Lin, J.; McRoy, L.; Fisher, M.D.; Hu, N.; Davis, C.; Mitra, D.; Walker, M.S. Treatment patterns and clinical outcomes of palbociclib-based therapy received in US community oncology practices. Future Oncol. 2021, 17, 1001–1011. [Google Scholar] [CrossRef] [PubMed]
- Schneeweiss, A.; Ettl, J.; Lüftner, D.; Beckmann, M.W.; Belleville, E.; Fasching, P.A.; Fehm, T.N.; Geberth, M.; Häberle, L.; Hadji, P.; et al. Initial experience with CDK4/6 inhibitor-based therapies compared to antihormone monotherapies in routine clinical use in patients with hormone receptor positive, HER2 negative breast cancer: Data from the PRAEGNANT research network for the first 2 years of drug availability in Germany. Breast 2020, 54, 88–95. [Google Scholar] [CrossRef] [PubMed]
- Brain, E.; Chen, C.; Simon, S.; Sofia, S.; Vinay, P.; Kathleen, V.P.; Karen, A. Palbociclib in Older Patients with Advanced/Metastatic Breast Cancer: A Systematic Review. Targ. Oncol. 2024, 19, 303–320. [Google Scholar] [CrossRef] [PubMed]
- Ruddy, K.J.; Winer, E.P. Male breast cancer: Risk factors, biology, diagnosis, treatment, and survivorship. Ann. Oncol. 2013, 24, 1434–1443. [Google Scholar] [CrossRef]
- Cardoso, F.; Bartlett, J.M.S.; Slaets, L.; van Deurzen, C.H.M.; van Leeuwen-Stok, E.; Porter, P.; Linderholm, B.; Hedenfalk, I.; Schröder, C.; Martens, J.; et al. Characterization of male breast cancer: Results of the EORTC 10085/TBCRC/BIG/NABCG International Male Breast Cancer Program. Ann. Oncol. 2018, 29, 405–417. [Google Scholar] [CrossRef]
- Yadav, S.; Karam, D.; Bin Riaz, I.; Xie, H.; Durani, U.; Duma, N.; Giridhar, K.V.; Hieken, T.J.; Boughey, J.C.; Mutter, R.W.; et al. Male breast cancer in the United States: Treatment patterns and prognostic factors in the 21st century. Cancer 2020, 126, 26–36. [Google Scholar] [CrossRef]
- Blum, J.L.; DiCristo, C.; Gordon, D.; Karuturi, M.S.; Oubre, D.; Jepsen, E.; Cuevas, J.; Lakhanpal, S.; Montelongo, M.Z.; Zhang, Z.; et al. Outcomes of male patients with HR+/HER2− advanced breast cancer receiving palbociclib in the real-world POLARIS study. Breast Cancer Res. Treat. 2024, 203, 463–475. [Google Scholar] [CrossRef]
- Rocque, G.B.; Blum, J.L.; Ji, Y.; Pluard, T.; Migas, J.; Lakhanpal, S.; Jepsen, E.; Gauthier, E.; Wang, Y.; Montelongo, M.Z.; et al. Real-world quality-of-life of patients with HR+/HER2− advanced breast cancer treated with palbociclib plus endocrine therapy: EORTC QLQ-C30 results from POLARIS. Breast Cancer Res. Treat. 2024. [Google Scholar] [CrossRef]
- Harbeck, N.; Iyer, S.; Turner, N.; Cristofanilli, M.; Ro, J.; André, F.; Loi, S.; Verma, S.; Iwata, H.; Bhattacharyya, H.; et al. Quality of life with palbociclib plus fulvestrant in previously treated hormone receptor-positive, HER2-negative metastatic breast cancer: Patient-reported outcomes from the PALOMA-3 trial. Ann. Oncol. 2016, 27, 1047–1054. [Google Scholar] [CrossRef]
- Rugo, H.S.; Diéras, V.; Gelmon, K.A.; Finn, R.S.; Slamon, D.J.; Martin, M.; Neven, P.; Shparyk, Y.; Mori, A.; Lu, D.R.; et al. Impact of palbociclib plus letrozole on patient-reported health-related quality of life: Results from the PALOMA-2 trial. Ann. Oncol. 2018, 29, 888–894. [Google Scholar] [CrossRef]
- Turcu-Stiolica, A.; Subtirelu, M.S.; Bogdan, M.; Dinescu, V.C.; Gheorman, V.; Aldea, M.; Turcu-Stiolica, M.; Lungulescu, C.V. Impact of COVID-19 pandemic on the Romanian breast cancer burden: A county population-based study. Value Health 2022, 25, S598. [Google Scholar] [CrossRef]
- Navarro-Sabate, A.; Font, R.; Martínez-Soler, F.; Solà, J.; Tortosa, A.; Ribes, J.; Benito-Aracil, L.; Espinas, J.A.; Borras, J.M. The Impact of the COVID-19 Pandemic on Adherence to Endocrine Therapy for Breast Cancer in Catalonia (Spain). Cancers 2024, 16, 426. [Google Scholar] [CrossRef] [PubMed]
- Tinterri, C.; Sagona, A.; Barbieri, E.; Di Maria Grimaldi, S.; Jacobs, F.; Zambelli, A.; Trimboli, R.M.; Bernardi, D.; Vinci, V.; Gentile, D. Loco-Regional Treatment of the Primary Tumor in De Novo Metastatic Breast Cancer Patients Undergoing Front-Line Chemotherapy. Cancers 2022, 14, 6237. [Google Scholar] [CrossRef] [PubMed]





| Treatment | 12-Month TTD Rate | 24-Month TTD Rate | 36-Month TTD Rate | 60-Month TTD Rate |
|---|---|---|---|---|
| Palbo + AI | 77.8% [95%CI, 69.7–86.7%] | 62.3% [95%CI, 52.7–73.16%] | 56.3% [95%CI, 45.9–69.0%] | 53.3% [95%CI, 42.4–67.1%] |
| Palbo + Fulvestrant | 71.8% [95%CI, 53.6–96.2%] | 58.0% [95%CI, 38.2–88.0%] | 49.7% [95%CI, 29.7–83.2%] | - |
| Treatment | 12-Month OS Rate | 24-Month OS Rate | 36-Month OS Rate | 60-Month OS Rate |
|---|---|---|---|---|
| Palbo + AI | 86.5% [95%CI, 80.2–93.4%] | 76.9% [95%CI, 69.2–85.5%] | 67.9% [95%CI, 59.2–77.8%] | 59.6% [95%CI, 49.6–71.5%] |
| Palbo + Fulvestrant | 95.2% [95%CI, 86.6–100.0%] | 81.0% [95%CI, 65.8–99.6%] | 65.3% [95%CI, 47.4–90.0%] | 29.7% [95%CI, 7.1–100%] |
| Treatment | 12-Month TTD Rate | 24-Month TTD Rate | 36-Month TTD Rate | 60-Month TTD Rate |
|---|---|---|---|---|
| HTN | 82.6% [95%CI, 75.1–90.7%] | 68% [95%CI, 58.6–78.9%] | 62.1% [95%CI, 51.7–74.5%] | 56.1% [95%CI, 44.6–70.6%] |
| PAT | 56.7% [95%CI, 38–84.7%] | 36% [95%CI, 18.6–69.6%] | 27% [95%CI, 11.3–64.4%] | - |
| Treatment | 12-Month OS Rate | 24-Month OS Rate | 36-Month OS Rate | 60-Month OS Rate |
|---|---|---|---|---|
| HTN | 88.9% [95%CI, 82.9–95.3%] | 81.8% [95%CI, 74.6–89.8%] | 72.4% [95%CI, 63.8–82.1%] | 61.3% [95%CI, 50.7–74.1%] |
| PAT | 90% [95%CI, 77.8–100%] | 60% [95%CI, 42–85.8%] | 42.8% [95%CI, 25.2–72.6%] | 34.2% [95%CI, 17.2–68%] |
| Factors | HR (Univariable) 95%CI, p-Value | HR (Multivariable) 95%CI, p-Value |
|---|---|---|
| Gender (female vs. male) | 0.80 (0.11–5.82), p = 0.824 | 0.73 (0.1–5.38), p = 0.760 |
| Treatment (Palbo + fulvestrant vs. Palbo + AI) | 1.19 (0.57–2.48), p = 0.638 | 1.16 (0.55–2.42), p = 0.697 |
| Age | 1.00 (0.98–1.03), p = 0.686 | 1.01 (0.98–1.03), p = 0.641 |
| Adherence | 0.33 (0.05–2.39), p = 0.272 | 0.32 (0.04–2.36), p = 0.265 |
| Factors | HR (Univariable) 95%CI, p-Value | HR (Multivariable) 95%CI, p-Value |
|---|---|---|
| Gender (female vs. male) | 0.77 (0.11–5.59), p = 0.795 | 0.73 (0.1–5.32), p = 0.752 |
| Treatment (Palbo + fulvestrant vs. Palbo + AI) | 1.35 (0.65–2.8), p = 420 | 1.32 (0.63–2.75), p = 0.464 |
| Age | 1.00 (0.98–1.03), p = 0.907 | 1.00 (0.98–1.02), p = 0.927 |
| Adherence | 0.38 (0.05–2.79), p = 0.344 | 0.41 (0.06–2.98), p = 0.379 |
Disclaimer/Publisher’s Note: The statements, opinions and data contained in all publications are solely those of the individual author(s) and contributor(s) and not of MDPI and/or the editor(s). MDPI and/or the editor(s) disclaim responsibility for any injury to people or property resulting from any ideas, methods, instructions or products referred to in the content. |
© 2024 by the authors. Licensee MDPI, Basel, Switzerland. This article is an open access article distributed under the terms and conditions of the Creative Commons Attribution (CC BY) license (https://creativecommons.org/licenses/by/4.0/).
Share and Cite
Lungulescu, C.V.; Camen, G.-C.; Naidin, M.-S.; Berisha, T.-C.; Bita, A.; Dinescu, V.-C.; Buteica, S.A.; Dimulescu, M.-D.; Volovat, S.R.; Turcu-Stiolica, A. Real-World Efficacy and Adherence to Palbociclib in HR-Positive, HER2-Negative Advanced Breast Cancer: Insights from a Romanian Cohort. Cancers 2024, 16, 4161. https://doi.org/10.3390/cancers16244161
Lungulescu CV, Camen G-C, Naidin M-S, Berisha T-C, Bita A, Dinescu V-C, Buteica SA, Dimulescu M-D, Volovat SR, Turcu-Stiolica A. Real-World Efficacy and Adherence to Palbociclib in HR-Positive, HER2-Negative Advanced Breast Cancer: Insights from a Romanian Cohort. Cancers. 2024; 16(24):4161. https://doi.org/10.3390/cancers16244161
Chicago/Turabian StyleLungulescu, Cristian Virgil, Georgiana-Cristiana Camen, Mihaela-Simona Naidin, Tradian-Ciprian Berisha, Andrei Bita, Venera-Cristina Dinescu, Sandra Alice Buteica, Marina-Daniela Dimulescu, Simona Ruxandra Volovat, and Adina Turcu-Stiolica. 2024. "Real-World Efficacy and Adherence to Palbociclib in HR-Positive, HER2-Negative Advanced Breast Cancer: Insights from a Romanian Cohort" Cancers 16, no. 24: 4161. https://doi.org/10.3390/cancers16244161
APA StyleLungulescu, C. V., Camen, G.-C., Naidin, M.-S., Berisha, T.-C., Bita, A., Dinescu, V.-C., Buteica, S. A., Dimulescu, M.-D., Volovat, S. R., & Turcu-Stiolica, A. (2024). Real-World Efficacy and Adherence to Palbociclib in HR-Positive, HER2-Negative Advanced Breast Cancer: Insights from a Romanian Cohort. Cancers, 16(24), 4161. https://doi.org/10.3390/cancers16244161

