Clinical Relevance of Resection Margins in Patients with Total Laryngectomy or Laryngopharyngectomy
Abstract
Simple Summary
Abstract
1. Introduction
2. Materials and Methods
3. Results
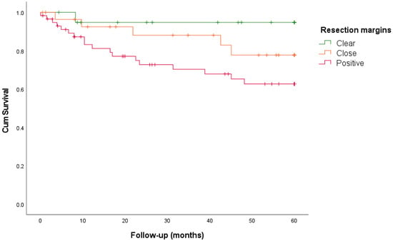
3.1. Results overall
3.2. Results Primary LSCC
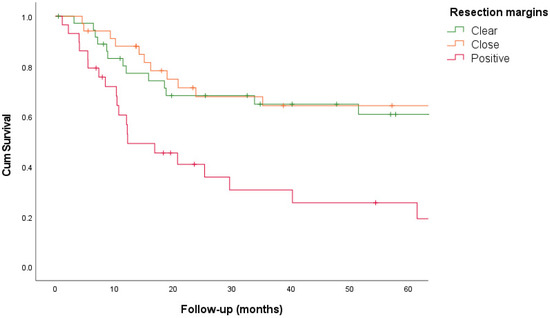
3.3. Results Recurrent LSCC
3.4. Results Primary HSCC
3.5. Results Recurrent HSCC
4. Discussion
5. Conclusions
Author Contributions
Funding
Institutional Review Board Statement
Informed Consent Statement
Data Availability Statement
Acknowledgments
Conflicts of Interest
References
- Hamoir, M.; Holvoet, E.; Ambroise, J.; Lengelé, B.; Schmitz, S. Salvage surgery in recurrent head and neck squamous cell carcinoma: Oncologic outcome and predictors of disease free survival. Oral Oncol. 2017, 67, 1–9. [Google Scholar] [CrossRef] [PubMed]
- Elbers, J.B.W.; Veldhuis, L.I.; Bhairosing, P.A.; Smeele, L.E.; Jóźwiak, K.; van den Brekel, M.W.M.; Verheij, M.; Al-Mamgani, A.; Zuur, C.L. Salvage surgery for advanced stage head and neck squamous cell carcinoma following radiotherapy or chemoradiation. Eur. Arch. Otorhinolaryngol. 2019, 276, 647–655. [Google Scholar] [CrossRef] [PubMed]
- Helliwell, T.; Woolgar, J.; The Royal College of Pathology. Standards and Datasets for Reporting Cancers. Dataset for Histopathology Reporting of Mucosal Malignancies of the Larynx. November 2013. Available online: https://www.rcpath.org/static/0d6c0512-e285-40fd-b8a9ee31b13887de/Dataset-for-histopathology-reporting-of-mucosal-malignancies-of-the-larynx.pdf (accessed on 1 February 2023).
- Bradford, C.R.; Wolf, G.T.; Fisher, S.G.; McClatchey, K.D. Prognostic importance of surgical margins in advanced laryngeal squamous carcinoma. Head Neck. 1996, 18, 11–16. [Google Scholar] [CrossRef]
- Fowler, B.Z.; Muller, S.; Chen, A.Y.; Johnstone, P.A. Factors influencing long-term survival following salvage total laryngectomy after initial radiotherapy or conservative surgery. Head Neck. 2006, 28, 99–106. [Google Scholar] [CrossRef] [PubMed]
- Saraniti, C.; Speciale, R.; Gallina, S.; Salvago, P. Prognostic role of resection margin in open oncologic laryngeal surgery: Survival analysis of a cohort of 139 patients affected by squamous cell carcinoma. Braz. J. Otorhinolaryngol. 2019, 85, 603–610. [Google Scholar] [CrossRef] [PubMed]
- Gallo, A.; Manciocco, V.; Simonelli, M.; Pagliuca, G.; D’Arcangelo, E.; de Vincentiis, M. Supracricoid partial laryngectomy in the treatment of laryngeal cancer: Univariate and multivariate analysis of prognostic factors. Arch. Otolaryngol. Head Neck Surg. 2005, 131, 620–625. [Google Scholar] [CrossRef] [PubMed]
- Wulff, N.B.; Andersen, E.; Kristensen, C.A.; Sørensen, C.H.; Charabi, B.; Homøe, P. Prognostic factors for survival after salvage total laryngectomy following radiotherapy or chemoradiation failure: A 10-year retrospective longitudinal study in eastern Denmark. Clin. Otolaryngol. 2017, 42, 336–346. [Google Scholar] [CrossRef] [PubMed]
- Bernard, S.E.; van Lanschot, C.G.F.; Hardillo, J.A.; Monserez, D.A.; Meeuwis, C.A.; Baatenburg de Jong, R.J.; Koljenović, S.; Sewnaik, A. A new proposal for adequate resection margins in larynx and hypopharynx tumor surgery. Cancers 2024, accepted. [Google Scholar]
- Basheeth, N.; O’Leary, G.; Khan, H.; Sheahan, P. Oncologic outcomes of total laryngectomy: Impact of margins and preoperative tracheostomy. Head Neck. 2015, 37, 862–869. [Google Scholar] [CrossRef] [PubMed]
- Tassone, P.; Savard, C.; Topf, M.C.; Keane, W.; Luginbuhl, A.; Curry, J.; Cognetti, D. Association of Positive Initial Margins With Survival Among Patients With Squamous Cell Carcinoma Treated With Total Laryngectomy. JAMA Otolaryngol. Head Neck Surg. 2018, 144, 1030–1036. [Google Scholar] [CrossRef] [PubMed]
- de Vincentiis, M.; De Virgilio, A.; Bussu, F.; Gallus, R.; Gallo, A.; Bastanza, G.; Parrilla, C.; Greco, A.; Galli, J.; Turchetta, R.; et al. Oncologic results of the surgical salvage of recurrent laryngeal squamous cell carcinoma in a multicentric retrospective series: Emerging role of supracricoid partial laryngectomy. Head Neck. 2015, 37, 84–91. [Google Scholar] [CrossRef] [PubMed]
- Bova, R.; Goh, R.; Poulson, M.; Coman, W.B. Total pharyngolaryngectomy for squamous cell carcinoma of the hypopharynx: A review. Laryngoscope 2005, 115, 864–869. [Google Scholar] [CrossRef] [PubMed]
- Mochiki, M.; Sugasawa, M.; Nibu, K.; Asai, M.; Nakao, K.; Asakage, T. Prognostic factors for hypopharyngeal cancer: A univariate and multivariate study of 142 cases. Acta Otolaryngol. Suppl. 2007, 559, 136–144. [Google Scholar] [CrossRef] [PubMed]
- Spector, J.G.; Sessions, D.G.; Lenox, J.; Simpson, J. Management of T3N1 glottic carcinoma: Therapeutic outcomes. Laryngoscope 2006, 116, 106–110. [Google Scholar] [CrossRef] [PubMed]
- Zhao, H.; Ren, J.; Zhuo, X.; Ye, H.; Zou, J.; Liu, S. Stomal recurrence after total laryngectomy: A clinicopathological multivariate analysis. Am. J. Clin. Oncol. 2009, 32, 154–157. [Google Scholar] [CrossRef] [PubMed]
- Zhang, X.; Liu, Z.; Li, Q.; Liu, X.; Li, H.; Liu, W.; Li, Q.; Guo, Z.; Zeng, Z. Using a linear stapler for pharyngeal closure in total laryngectomy. Eur. Arch. Otorhinolaryngol. 2013, 270, 1467–1471. [Google Scholar] [CrossRef] [PubMed]
- Antin, F.; Breheret, R.; Goineau, A.; Capitain, O.; Laccourreye, L. Rehabilitation following total laryngectomy: Oncologic, functional, socio-occupational and psychological aspects. Eur. Ann. Otorhinolaryngol. Head Neck Dis. 2021, 138, 19–22. [Google Scholar] [CrossRef] [PubMed]
- Tsai, M.H.; Chuang, H.C.; Lin, Y.T.; Huang, T.L.; Fang, F.M.; Lu, H.; Chien, C.Y. Survival Outcomes and Predictors for Patients who Failed Chemoradiotherapy/Radiotherapy and Underwent Salvage Total Laryngectomy. Int. J. Environ. Res. Public Health 2021, 18, 371. [Google Scholar] [CrossRef] [PubMed]
- Mucha-Małecka, A.; Biesaga, B.; Janecka-Widła, A.; Przewoźnik, M.; Małecki, K. Assessment of HPV16 infection in patients with laryngeal cancer. Pol. J. Pathol. 2021, 72, 64–74. [Google Scholar] [CrossRef] [PubMed]



| Characteristics | Primary LSCC N = 107 | Recurrent LSCC N = 100 | Primary HSCC N = 45 | Recurrent HSCC N = 16 | p-Value * |
|---|---|---|---|---|---|
| Age (years), mean (SD) | 65 (10) | 65 (11) | 65 (9) | 62 (7) | 0.67 |
| Sex | 0.86 | ||||
| Male | 87 (81) | 80 (80) | 35 (78) | 14 (88) | |
| Female | 20 (19) | 20 (20) | 10 (22) | 2 (12) | |
| Tumor location | 0.29 | ||||
| Supraglottic | 50 (47) | 36 (36) | |||
| Glottic | 53 (50) | 59 (59) | |||
| Subglottic | 4 (3) | 5 (5) | |||
| Piriform sinus | 30 (67) | 11 (69) | 0.95 | ||
| Posterior pharyngeal wall | 4 (9) | 1 (6) | |||
| Postcricoid | 11 (24) | 4 (25) | |||
| pT classification | <0.001 | ||||
| pT1 and 2 | 5 (5) | 32 (32) | 5 (11) | 7 (44) | |
| pT3 and 4 | 102 (95) | 68 (68) | 40 (89) | 9 (56) | |
| pN classification | 0.002 | ||||
| pN0 | 68 (64) | 81 (81) | 25 (56) | 14 (87) | |
| pN+ (pN1 and 2) | 39 (36) | 19 (19) | 20 (44) | 2 (13) | |
| Type of surgery | <0.001 | ||||
| TL | 99 (93) | 93 (93) | 9 (20) | 2 (13) | |
| TLP | 8 (7) | 7 (7) | 36 (80) | 14 (87) | |
| Perineural invasion | 0.20 | ||||
| No | 65 (66) | 51 (53) | 24 (53) | 7 (47) | |
| Yes | 34 (34) | 46 (47) | 21 (47) | 8 (53) | |
| Unknown | 8 | 3 | - | 1 | |
| Angio-invasion | 0.55 | ||||
| No | 59 (60) | 60 (66) | 23 (54) | 9 (56) | |
| Yes | 39 (40) | 31 (34) | 20 (46) | 7 (44) | |
| Unknown | 9 | 9 | 2 | - | |
| Infiltrative growth pattern | 0.73 | ||||
| No | 13 (19) | 11 (14) | 5 (14) | 1 (8) | |
| Yes | 55 (81) | 66 (86) | 31 (86) | 11 (92) | |
| Unknown | 39 | 23 | 9 | 4 | |
| Cartilage invasion | 0.001 | ||||
| No | 28 (26) | 44 (44) | 13 (29) | 11 (69) | |
| Yes | 79 (74) | 56 (56) | 32 (71) | 5 (31) | |
| Preoperative therapy | ** | ||||
| RT | - | 77 (77) | - | 5 (31) | |
| CRT | - | 18 (18) | - | 10 (63) | |
| TLM | - | 3 (3) | - | - | |
| TLM + RT | - | 2 (2) | - | 1 (6) | |
| Postoperative therapy | <0.001 | ||||
| None | 16 (15) | 96 (96) | 16 (36) | 16 (100) | |
| Yes *** | 91 (85) | 4 (4) | 29 (64) | 0 (0) |
| All Resection Surfaces | Cranial | Ventral | Lateral | Dorsal | Caudal | ||
|---|---|---|---|---|---|---|---|
| Laryngeal SCC (n = 207) | Clear | 28% | 53% | 32% | 25% | 10% | 94% |
| Close | 30% | 12% | 29% | 7% | 7% | 4% | |
| Positive | 42% | 8% | 31% | 2% | 7% | 2% | |
| Unknown | - | 27% | 7% | 66% | 76% | 0% | |
| Hypopharyngeal SCC (n = 61) | Clear | 12% | 52% | 28% | 22% | 0% | 90% |
| Close | 31% | 12% | 28% | 12% | 9% | 7% | |
| Positive | 57% | 11% | 34% | 3% | 12% | 3% | |
| Unknown | - | 24% | 10% | 68% | 75% | 0% | |
| Margins | Total | Recurrence | Local Recurrence | |
|---|---|---|---|---|
| Primary LSCC (n = 107) | Clear | 19% (20) | 5% (1) | 5% (1) |
| Close | 27% (29) | 24% (7) | 0% (0) | |
| Positive | 54% (58) | 36% (21) | 16% (9) | |
| Recurrent LSCC (n = 100) | Clear | 37% (37) | 35% (13) | 14% (5) |
| Close | 34% (34) | 38% (13) | 21% (7) | |
| Positive | 29% (29) | 69% (20) | 45% (13) | |
| Primary HSCC (n = 45) | Clear | 7% (3) | 33% (1) | 33% (1) |
| Close | 31% (14) | 29% (4) | 7% (1) | |
| Positive | 62% (28) | 54% (15) | 18% (5) | |
| Recurrent HSCC (n = 16) | Clear | 25% (4) | 50% (2) | 25% (1) |
| Close | 31% (5) | 60% (3) | 60% (3) | |
| Positive | 44% (7) | 71% (5) | 43% (3) |
Disclaimer/Publisher’s Note: The statements, opinions and data contained in all publications are solely those of the individual author(s) and contributor(s) and not of MDPI and/or the editor(s). MDPI and/or the editor(s) disclaim responsibility for any injury to people or property resulting from any ideas, methods, instructions or products referred to in the content. |
© 2024 by the authors. Licensee MDPI, Basel, Switzerland. This article is an open access article distributed under the terms and conditions of the Creative Commons Attribution (CC BY) license (https://creativecommons.org/licenses/by/4.0/).
Share and Cite
Bernard, S.E.; van Lanschot, C.G.F.; Sewnaik, A.; de Ridder, M.A.J.; Hardillo, J.A.; Monserez, D.A.; Baatenburg de Jong, R.J.; Koljenović, S. Clinical Relevance of Resection Margins in Patients with Total Laryngectomy or Laryngopharyngectomy. Cancers 2024, 16, 2038. https://doi.org/10.3390/cancers16112038
Bernard SE, van Lanschot CGF, Sewnaik A, de Ridder MAJ, Hardillo JA, Monserez DA, Baatenburg de Jong RJ, Koljenović S. Clinical Relevance of Resection Margins in Patients with Total Laryngectomy or Laryngopharyngectomy. Cancers. 2024; 16(11):2038. https://doi.org/10.3390/cancers16112038
Chicago/Turabian StyleBernard, Simone E., Cornelia G. F. van Lanschot, Aniel Sewnaik, Maria A. J. de Ridder, Jose A. Hardillo, Dominiek A. Monserez, Robert J. Baatenburg de Jong, and Senada Koljenović. 2024. "Clinical Relevance of Resection Margins in Patients with Total Laryngectomy or Laryngopharyngectomy" Cancers 16, no. 11: 2038. https://doi.org/10.3390/cancers16112038
APA StyleBernard, S. E., van Lanschot, C. G. F., Sewnaik, A., de Ridder, M. A. J., Hardillo, J. A., Monserez, D. A., Baatenburg de Jong, R. J., & Koljenović, S. (2024). Clinical Relevance of Resection Margins in Patients with Total Laryngectomy or Laryngopharyngectomy. Cancers, 16(11), 2038. https://doi.org/10.3390/cancers16112038

