Radiation Safety Assessment in Prostate Cancer Treatment: A Predictive Approach for I-125 Brachytherapy
Abstract
Simple Summary
Abstract
1. Introduction
2. Materials and Methods
2.1. Experimental Measurement
2.2. Monte Carlo Simulation
2.3. Patient Information and IRB
2.4. Clinical Patient External Data Validation
2.5. Statistical Analysis
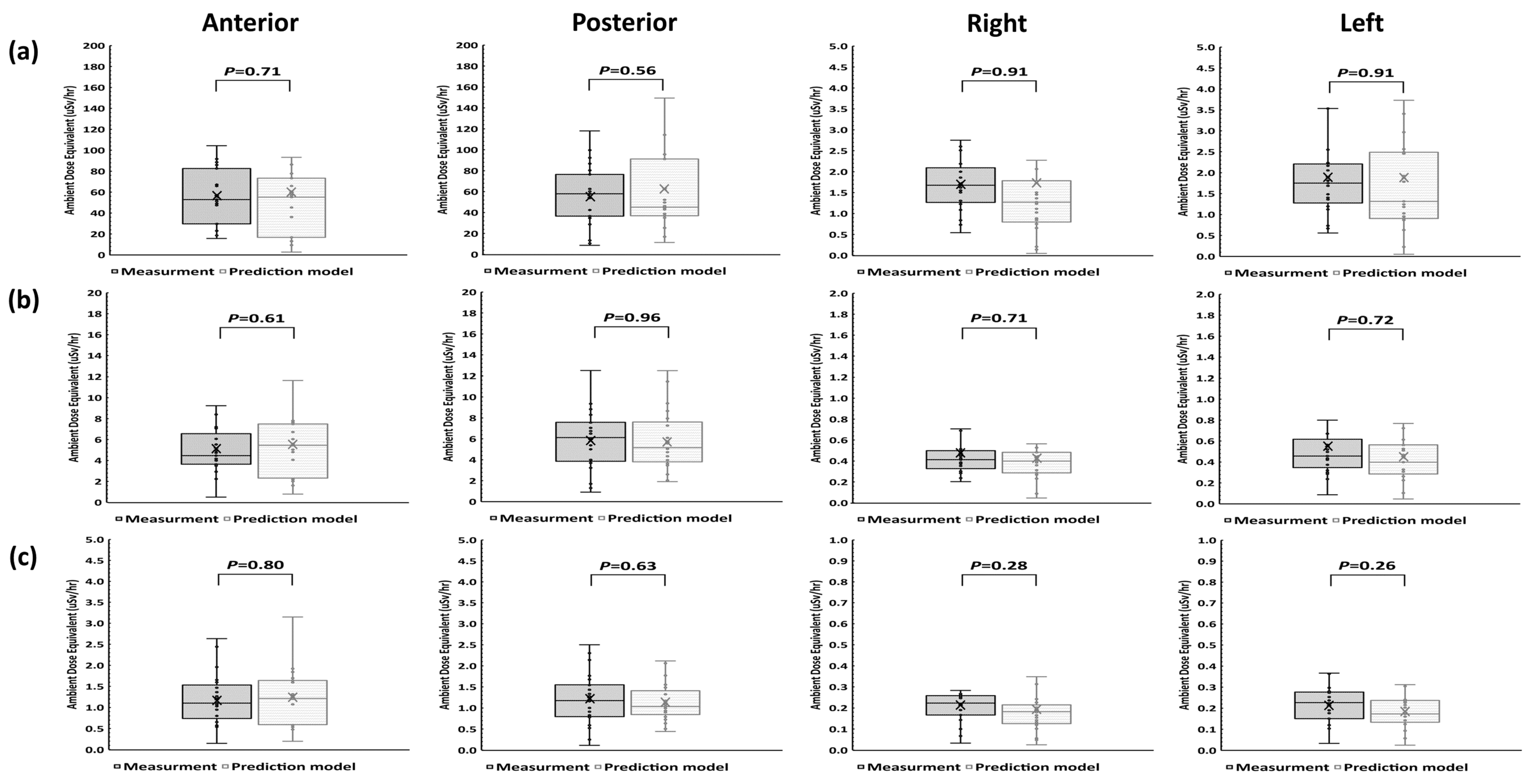
3. Results
4. Discussion
Limitations
5. Conclusions
Author Contributions
Funding
Institutional Review Board Statement
Informed Consent Statement
Data Availability Statement
Conflicts of Interest
References
- Rawla, P. Epidemiology of Prostate Cancer. World J. Oncol. 2019, 10, 63–89. [Google Scholar] [CrossRef] [PubMed]
- Schaeffer, E.M.; Srinivas, S.; Adra, N.; An, Y.; Barocas, D.; Bitting, R.; Bryce, A.; Chapin, B.; Cheng, H.H.; D’Amico, A.V.; et al. Prostate cancer, version 4.2023, NCCN clinical practice guidelines in oncology. J. Natl. Compr. Cancer Netw. 2023, 21, 1067–1096. [Google Scholar] [CrossRef] [PubMed]
- Stone, N.N.; Stock, R.G. Permanent seed implantation for localized adenocarcinoma of the prostate. Curr. Urol. Rep. 2002, 3, 201–206. [Google Scholar] [CrossRef] [PubMed]
- Grimm, P.; Sylvester, J. Advances in brachytherapy. Rev. Urol. 2004, 6 (Suppl. S4), S37. [Google Scholar] [PubMed]
- Henry, A.; Pieters, B.R.; Siebert, F.A.; Hoskin, P. GEC-ESTRO ACROP prostate brachytherapy guidelines. Radiother. Oncol. 2022, 167, 244–251. [Google Scholar] [CrossRef] [PubMed]
- Skowronek, J. Current status of brachytherapy in cancer treatment–short overview. J. Contemp. Brachytherapy 2017, 9, 581–589. [Google Scholar] [CrossRef] [PubMed]
- International Commission on Radiological Protection. Radiation safety aspects of brachytherapy for prostate cancer using permanently implanted sources. A report of ICRP Publication 98. Ann. ICRP 2005, 35, 3–50. [Google Scholar] [CrossRef] [PubMed]
- National Council on Radiation Protection and Measurements. Scientific Committee 91-1 on Precautions in the Management of Patients Who Have Received Therapeutic Amounts of Radioactivity; Management of radionuclide therapy patients (No. 155); NCRP: Bethesda, MD, USA, 2007.
- USNRC. Program Specific Guidance about Medical Use Licenses; Consolidated guidance about materials licenses. Final report. Nureg-1556, rev 1; Division of Industrial and Medical Nuclear Safety, Office of Nuclear Material Safety and Safeguards, United States Nuclear Regulatory Commission: Washington, DC, USA, 2005; Volume 9.
- ICRP. The 2007 Recommendations of the International Commission on Radiological Protection. ICRP publication 103. Ann. ICRP 2007, 37, 1–332. [Google Scholar]
- Sneha, C. ICRU report 95–Operational quantities for external radiation exposure. Radiat. Prot. Environ. 2021, 44, 116–119. [Google Scholar] [CrossRef]
- Otto, T.; E Hertel, N.; Bartlett, D.T.; Behrens, R.; Bordy, J.-M.; Dietze, G.; Endo, A.; Gualdrini, G.; Pelliccioni, M. The ICRU proposal for new operational quantities for external radiation. Radiat. Prot. Dosim. 2018, 180, 10–16. [Google Scholar] [CrossRef] [PubMed]
- Sato, T.; Niita, K.; Matsuda, N.; Hashimoto, S.; Iwamoto, Y.; Noda, S.; Iwase, H.; Nakashima, H.; Fukahori, T.; Chiba, S.; et al. Overview of the PHITS code and its application to medical physics. Prog. Nucl. Sci. Technol. 2014, 4, 879–882. [Google Scholar] [CrossRef]
- ICRP. Conversion coefficients for use in radiological protection against external radiation exposures. ICRP Publication 74. Ann. ICRP 1994, 26, 3–4. [Google Scholar]
- Horwitz, E.M.; Mitra, R.K.; Uzzo, R.G.; Das, I.J.; Pinover, W.H.; Hanlon, A.L.; McNeeley, S.W.; Hanks, G.E. Impact of target volume coverage with Radiation Therapy Oncology Group (RTOG) 98-05 guidelines for transrectal ultrasound guided permanent Iodine-125 prostate implants. Radiother. Oncol. 2003, 66, 173–179. [Google Scholar] [CrossRef] [PubMed]
- Dauer, L.T.; Kollmeier, M.A.; Williamson, M.J.; Germain, J.S.; Altamirano, J.; Yamada, Y.; Zelefsky, M.J. Less-restrictive, patient-specific radiation safety precautions can be safely prescribed after permanent seed implantation. Brachytherapy 2010, 9, 101–111. [Google Scholar] [CrossRef] [PubMed]
- Sang, T.T.; Chuong, H.D.; Tam, H.D. An artificial neural network based approach for estimating the density of liquid applied in gamma transmission and gamma scattering techniques. Appl. Radiat. Isot. 2021, 169, 109570. [Google Scholar] [CrossRef] [PubMed]
- Dietze, G. Dosimetric concepts and calibration of instruments. IRPA 2001, 10, 1–23. [Google Scholar]
- Rivard, M.J.; Coursey, B.M.; DeWerd, L.A.; Hanson, W.F.; Huq, M.S.; Ibbott, G.S.; Mitch, M.G.; Nath, R.; Williamson, J.F. Update of AAPM Task Group No. 43 Report: A revised AAPM protocol for brachytherapy dose calculations. Med. Phys. 2004, 31, 633–674. [Google Scholar] [CrossRef] [PubMed]
- Perez-Calatayud, J.; Ballester, F.; Das, R.K.; DeWerd, L.A.; Ibbott, G.S.; Meigooni, A.S.; Ouhib, Z.; Rivard, M.J.; Sloboda, R.S.; Williamson, J.F. Dose calculation for photon-emitting brachytherapy sources with average energy higher than 50 keV: Report of the AAPM and ESTRO. Med. Phys. 2012, 39, 2904–2929. [Google Scholar] [CrossRef] [PubMed]
- Eckerman, K.; Harrison, J.; Menzel, H.G.; Clement, C.H. ICRP publication 119: Compendium of dose coefficients based on ICRP publication 60. Ann. ICRP 2012, 41, 1–130. [Google Scholar] [CrossRef] [PubMed]
- Al Kanti, H.; El Hajjaji, O.; El Bardouni, T.; Boukhal, H.; Mohammed, M. Conversion coefficients calculation of mono-energetic photons from air-kerma using Monte Carlo and analytical methods. J. King Saud. Univ. Sci. 2020, 32, 288–293. [Google Scholar] [CrossRef]
- Lima MA, F.; Silva, A.X.; Crispim, V.R. Calculation of conversion coefficients for clinical photon spectra using the MCNP code. Radiat. Prot. Dosim. 2004, 111, 9–12. [Google Scholar] [CrossRef] [PubMed]
- Otto, T. Conversion coefficients from kerma to ambient dose and personal dose for X-ray spectra. J. Instrum. 2019, 14, P11011. [Google Scholar] [CrossRef]
- Al Kanti, H.; El Hajjaji, O.; El Bardouni, T. Conversion coefficients from fluence and air kerma to personal dose equivalent for monoenergetic photons using analytical fit and Monte Carlo simulation. Pol. J. Med. Phys. Eng. 2020, 26, 31–44. [Google Scholar] [CrossRef]
- Miyaji, N.; Miwa, K.; Iimori, T.; Wagatsuma, K.; Tsushima, H.; Yokotsuka, N.; Murata, T.; Kasahara, T.; Terauchi, T. Determination of a reliable assessment for occupational eye lens dose in nuclear medicine. J. Appl. Clin. Med. Phys. 2020, 23, e13713. [Google Scholar] [CrossRef] [PubMed]
- Rivard, M.J.; Evans, D.A.R.; Kay, I. A technical evaluation of the Nucletron FIRST system: Conformance of a remote afterloading brachytherapy seed implantation system to manufacturer specifications and AAPM Task Group report recommendations. J. Appl. Clin. Med. Phys. 2005, 6, 22–50. [Google Scholar] [CrossRef] [PubMed]
- Karaiskos, P.; Papagiannis, P.; Sakelliou, L.; Anagnostopoulos, G.; Baltas, D. Monte Carlo dosimetry of the selectSeed interstitial brachytherapy seed. Med. Phys. 2001, 28, 1753–1760. [Google Scholar] [CrossRef] [PubMed]
- Anagnostopoulos, G.; Baltas, D.; Karaiskos, P.; Sandilos, P.; Papagiannis, P.; Sakelliou, L. Thermoluminescent dosimetry of the selectSeed interstitial brachytherapy seed. Med. Phys. 2002, 29, 709–716. [Google Scholar] [CrossRef] [PubMed]
- Papagiannis, P.; Sakelliou, L.; Anagnostopoulos, G.; Baltas, D. On the dose rate constant of the selectSeed 125I interstitial brachytherapy seed. Med. Phys. 2006, 33, 1522–1523. [Google Scholar] [CrossRef] [PubMed]
- Chen, Z.J.; Nath, R. A systematic evaluation of the dose-rate constant determined by photon spectrometry for 21 different models of low-energy photon-emitting brachytherapy sources. Phys. Med. Biol. 2010, 55, 6089–6104. [Google Scholar] [CrossRef] [PubMed]
- Nath, R.; Anderson, L.L.; Meli, J.A.; Olch, A.J.; Stitt, J.A.; Williamson, J.F. Code of practice for brachytherapy physics: Report of the AAPM Radiation Therapy Committee Task Group No. 56. Med. Phys. 1997, 24, 1557–1598. [Google Scholar] [CrossRef] [PubMed]




Disclaimer/Publisher’s Note: The statements, opinions and data contained in all publications are solely those of the individual author(s) and contributor(s) and not of MDPI and/or the editor(s). MDPI and/or the editor(s) disclaim responsibility for any injury to people or property resulting from any ideas, methods, instructions or products referred to in the content. |
© 2024 by the authors. Licensee MDPI, Basel, Switzerland. This article is an open access article distributed under the terms and conditions of the Creative Commons Attribution (CC BY) license (https://creativecommons.org/licenses/by/4.0/).
Share and Cite
Chuang, H.-D.; Lin, Y.-H.; Lin, C.-H.; Lai, Y.-C.; Wu, C.-H.; Hsu, S.-M. Radiation Safety Assessment in Prostate Cancer Treatment: A Predictive Approach for I-125 Brachytherapy. Cancers 2024, 16, 1790. https://doi.org/10.3390/cancers16101790
Chuang H-D, Lin Y-H, Lin C-H, Lai Y-C, Wu C-H, Hsu S-M. Radiation Safety Assessment in Prostate Cancer Treatment: A Predictive Approach for I-125 Brachytherapy. Cancers. 2024; 16(10):1790. https://doi.org/10.3390/cancers16101790
Chicago/Turabian StyleChuang, Ho-Da, Yu-Hung Lin, Chin-Hsiung Lin, Yuan-Chun Lai, Chin-Hui Wu, and Shih-Ming Hsu. 2024. "Radiation Safety Assessment in Prostate Cancer Treatment: A Predictive Approach for I-125 Brachytherapy" Cancers 16, no. 10: 1790. https://doi.org/10.3390/cancers16101790
APA StyleChuang, H.-D., Lin, Y.-H., Lin, C.-H., Lai, Y.-C., Wu, C.-H., & Hsu, S.-M. (2024). Radiation Safety Assessment in Prostate Cancer Treatment: A Predictive Approach for I-125 Brachytherapy. Cancers, 16(10), 1790. https://doi.org/10.3390/cancers16101790

