Next Article in Journal
Machine Learning-Based Radiomic Features on Pre-Ablation MRI as Predictors of Pathologic Response in Patients with Hepatocellular Carcinoma Who Underwent Hepatic Transplant
Next Article in Special Issue
Radiomics of Tumor Heterogeneity in 18F-FDG-PET-CT for Predicting Response to Immune Checkpoint Inhibition in Therapy-Naïve Patients with Advanced Non-Small-Cell Lung Cancer
Previous Article in Journal
The Matrix Reloaded—The Role of the Extracellular Matrix in Cancer
Previous Article in Special Issue
Quantitative MRI to Characterize Hypoxic Tumors in Comparison to FMISO PET/CT for Radiotherapy in Oropharynx Cancers
 
 
Font Type:
Arial Georgia Verdana
Font Size:
Aa Aa Aa
Line Spacing:
Column Width:
Background:
Article

Combination of FDG PET/CT Radiomics and Clinical Parameters for Outcome Prediction in Patients with Hodgkin’s Lymphoma

1
Joint Department of Medical Imaging, University Health Network-Mount Sinai Hospital, Women’s College Hospital, University Medical Imaging Toronto, University of Toronto, Toronto, ON M5T 1W7, Canada
2
Department of Diagnostic Imaging, Chaim Sheba Medical Center, Ramat Gan 5210000, Israel
3
Division of Medical Oncology and Hematology, Princess Margaret Cancer Centre, University Health Network, Toronto, ON M5G 2C4, Canada
4
Department of Medical Imaging, Belilinson Hospital, Rabin Medical Center, Tel Aviv University, Petah Tikva 4941492, Israel
5
Department of Diagnostic Imaging, William Osler Health System, 2100 Bovaird Avenue East, Brampton, ON L6R 3J7, Canada
6
Biostatistics Division, Dalla Lana School of Public Health, University of Toronto, Toronto, ON M5T 3M7, Canada
*
Authors to whom correspondence should be addressed.
Cancers 2023, 15(7), 2056; https://doi.org/10.3390/cancers15072056
Submission received: 25 January 2023 / Revised: 6 March 2023 / Accepted: 27 March 2023 / Published: 30 March 2023
(This article belongs to the Collection Imaging Biomarker in Oncology)

Abstract

Simple Summary

Hodgkin lymphoma is the most common malignancy of the lymphatic system, usually affecting young people and with favorable response to treatment. Tailored treatment is important in this patient population to achieve good therapy response while not exposing them to higher treatment related toxicity. These patients undergone PET/CT studies at baseline for staging as part of their workup. PET/CT is an hybrid modality including morphological and molecular images and most of the Hodgkin lymphomas are radiotracer avid. Radiomics is a new field analyzing features within the images itself which are not visible to the naked eye. Our hypothesis was that some radiomics features in the PET or CT modality when combined with clinical variables (laboratory, type of tumor, etc.) may help in prediction of how patients would respond to therapy, risk of relapse and if they might need to have additional therapies.

Abstract

Purpose: The aim of the study is to evaluate the prognostic value of a joint evaluation of PET and CT radiomics combined with standard clinical parameters in patients with HL. Methods: Overall, 88 patients (42 female and 46 male) with a median age of 43.3 (range 21–85 years) were included. Textural analysis of the PET/CT images was performed using freely available software (LIFE X). 65 radiomic features (RF) were evaluated. Univariate and multivariate models were used to determine the value of clinical characteristics and FDG PET/CT radiomics in outcome prediction. In addition, a binary logistic regression model was used to determine potential predictors for radiotherapy treatment and odds ratios (OR), with 95% confidence intervals (CI) reported. Features relevant to survival outcomes were assessed using Cox proportional hazards to calculate hazard ratios with 95% CI. Results: albumin (p = 0.034) + ALP (p = 0.028) + CT radiomic feature GLRLM GLNU mean (p = 0.012) (Area under the curve (AUC): 95% CI (86.9; 100.0)—Brier score: 3.9, 95% CI (0.1; 7.8) remained significant independent predictors for PFS outcome. PET-SHAPE Sphericity (p = 0.033); CT grey-level zone length matrix with high gray-level zone emphasis (GLZLM SZHGE mean (p = 0.028)); PARAMS XSpatial Resampling (p = 0.0091) as well as hemoglobin results (p = 0.016) remained as independent factors in the final model for a binary outcome as predictors of the need for radiotherapy (AUC = 0.79). Conclusion: We evaluated the value of baseline clinical parameters as well as combined PET and CT radiomics in HL patients for survival and the prediction of the need for radiotherapy treatment. We found that different combinations of all three factors/features were independently predictive of the here evaluated endpoints.

1. Introduction

Hodgkin lymphoma (HL) is one of the most common malignancies involving the lymphatic system. The 5-year survival rate for all people with Hodgkin lymphoma is high, with an overall rate of around 87% [1].
Given the bimodal peak incidence with high rates of presentation at a young age, an individualized, risk-adapted therapy is desirable to maintain high cure rates while minimizing treatment-related toxicity [2,3].
Correct identification of predictive biomarkers that correlate with poor therapy response and an overall poor prognosis is essential for a personalized therapy approach, which is crucial to select patients that would benefit from an initial more aggressive therapy while avoiding overtreatment in patients with a high likelihood of a good prognosis [4,5,6,7].
Molecular imaging with clinical standard positron emission tomography (PET)/computed tomography (CT) using the radiopharmaceutical 18F-fluoro-deoxy-glucose (FDG) is the main imaging procedure for baseline staging of lymphoma, interim response assessment, and evaluation of residual disease in many jurisdictions worldwide [8].
Standardized uptake value (SUV) obtained from FDG PET/CT scans is the most widely used parameter for lesion depiction and characterization, and it provides a reliable assessment of tumor activity, tumor aggressiveness, and response to treatment [9].
However, SUV is not reflective of the underlying spatial distribution of tracer activity within a tumor itself, which can be particularly heterogeneous in lymphoma [10]. The unequal distribution of tracer activity within a tumor on FDG PET/CT is a manifestation of this ‘intra-tumor heterogeneity’, which can be measured by analyzing the variation in the spatial arrangements of voxel intensities [11].
In recent years, there has been increasing interest in radiomics, the science of extracting and analyzing quantitative and mineable features from standard-of-care biomedical images to create texture analysis of cross-sectional images (CT, MRI, and PET), which may provide detailed information of the underlying pathophysiology. Radiomics features of a tumor may provide additional information regarding tumoral biology and behavior [12,13,14,15,16].
Numerous studies have investigated intra-tumor heterogeneity on PET/CT in patients with brain, head, neck, thyroid, lung, breast, esophagus, pancreas, colon, and cervix neoplasms, as well as in patients with sarcomas and lymphomas [17,18,19,20,21].
Current clinical lymphoma biomarkers incorporate cellular and molecular data to classify specific disease subtypes and predict clinical behavior [22].
The association between intra-tumor image-based heterogeneity and biological heterogeneity has been shown to correlate with clinical outcomes such as treatment response and survival in a variety of tumor types, including lymphoma. This suggests that radiomic biomarkers can be developed and cross-referenced with established clinical cellular and molecular biomarkers to better predict outcomes and influence evidence-based clinical decision-making in patients with lymphoma [22,23,24,25,26,27,28,29,30].
This study aims to evaluate the prognostic value of joint PET and CT radiomics combined with standard clinical parameters in patients with HL. We hypothesize that some radiomic features within the baseline PET/CT may predict survival outcomes.

2. Materials and Methods

2.1. Study Cohort

In this institutional review board-approved retrospective study, 88 patients diagnosed and treated in a tertiary referral center with HL from September 2012 to June 2016 were evaluated. Given the retrospective nature of the analysis, consent was waived.
All patients had complete clinical records, including pathology reports from either nodal or extra-nodal biopsies, descriptions of sites of involvement, presence of bulky disease, Ann Arbor Stage, and B symptoms. Furthermore, all standard of care bloodwork, systemic treatment planned and received, as well as the provision of radiotherapy treatment along with response assessment for each line of therapy, were recorded. Follow-up times and progression-free survival were also registered.
Bulky disease was defined as more than 10 cm in any diameter.
Complete metabolic response (CMR) was defined as a disease at the end of therapy PET/CT below the Deauville score criteria of 4 [31,32,33,34,35,36,37].

2.2. Imaging Acquisition

18F FDG PET/CT was performed in these patients as a component of baseline staging. Images were obtained according to our institutional protocol, as follows: [23]. PET was performed on a Siemens mCT40 PET/CT scanner (Siemens Healthcare). Patients were positioned supine with their arms outside the region of interest. Images were obtained from the top of the skull to the upper thighs. Iodinated oral contrast material was administered for bowel opacification; no intravenous iodinated contrast material was used. Patients were asked to avoid exercise for 24 h and fast for 6 h before the examination. Patients received an IV injection of 5 MBq/kg (a range of 250–550 MBq) of FDG.
Overall, 5–9 bed positions were obtained, depending on patient height, with an acquisition time of 2–3 min per bed position. CT parameters were: 120 kV; 3.0 mm slice width; 2.0 mm collimation; 0.8 sec rotation time; 8.4 mm feed/rotation. A PET emission scan using time of flight with scatter correction was obtained, covering the identical transverse field of view. The PET parameters were as follows: image size: 2.6 pixels; slice: 3.27; and a 5-mm full width at half maximum (FWHM) Gaussian filter type.

2.3. Textural Analysis

Textural analysis of the PET/CT images was performed using the freely available software LIFE X (lifexsoft.org version 6.0 May 2020) via the quantitation of various radiomic features based on the spatial arrangement and variation of pixel intensities within a defined volume of interest [38]. The radiomic features were extracted from the segmented volumes in accordance with the image biomarker standardization initiative (IBSI) guidelines. Primary contour on FDG-avid nodal and extra-nodal lesions was performed semi-automatically by the software (with minor manual correction when needed) using a thresholding method to define each volume of interest (VOI) by two radiologists with >5 years of experience (YE and CO) and supervised by a senior radiologist with >10 years of experience (PVH).
PET volumes of interest (VOI) were defined based on (a) background thresholds, (b) peak thresholds, (c) thresholds at 40%, and (d) thresholds at 70% of the SUVmax PET VOI [26].
Individual lesions were measured, with a maximum of two per organ when multiple as per RECIST guidelines [39,40] and then labeled as nodal or extra-nodal involvement for each specific site (Figure 1). Lesions smaller than 64 voxels were excluded since they did not fulfill the minimum size criteria for feature extraction by the radiomics software.
Since a thresholding method is not available for the CT component, the contours for the CT-derived volume of interest were performed manually, slice-by-slice, to cover the entire tumor volume as previously described in the literature.
Sixty-five radiomic features (RF) were obtained by the software, including conventional metrics features reporting the mean, median, maximum, and minimum values of the voxel intensities on the image; size and shape histogram-based features such as volume, compacity, and sphericity, including their asymmetry (skewness), flatness (kurtosis), uniformity, and randomness; and textural features (such as GLCM (Gray-Level Co-occurrence Matrix), GLRLM (Grey-Level Run Length Matrix), NGLDM (Neighborhood Grey-Level Different Matrix), GLZLM (Grey-Level Zone Length Matrix).

2.4. Statistical Analysis

In this study, two main outcomes were considered. First, Progression Free Survival (PFS) is defined from the date of diagnosis to the date of first progression (or relapse) or date of death or last follow-up. Events are progression or death. A second endpoint named radiotherapy outcome is defined as the evaluation of whether radiomics at baseline PET can predict the need for radiotherapy after the completion of chemotherapy. The latter endpoint is a binary outcome, where those who received radiation are assigned a value of 1, while those who did not receive radiation are assigned a value of 0.
The characteristics of patients were presented as means and standard deviations for continuous variables and as frequencies and percentages for categorical variables. Univariate and multivariate models were used to determine the role of baseline demographics, clinical and laboratory characteristics, and FDG PET/CT radiomics in predicting the outcome of patients with lymphoma. A binary logistic regression model was used to determine potential risk factors for radiotherapy outcomes and the odds ratios (OR) and 95% confidence intervals (CI) were reported. The Cox proportional hazards regression, on the other hand, was used to determine PFS outcome factors and to calculate hazard ratios (HR) with 95% CI. The initial selection of informative variables for creating the best prediction models was accomplished through univariate analysis and repeated 10-fold cross-validation. Cross-validation was applied to all classes of baseline demographics, clinical, and FDG PET/CT radiomics variables to compensate for the lack of a validating cohort and to decrease the possibility of over-fitting the final model. In both logistic and Cox models, variables with a p-value of less than 0.10 in the univariate analysis were considered for inclusion in the multivariate analysis, and variables with a p-value of less than 0.05 were retained in the final model considering the backward elimination method. Pearson correlation is calculated to check the correlation between clinical, PET, and CT radiomic factors. In addition, predictors with high variance inflation factors are excluded from the models to avoid multicollinearity caused by correlated predictors. The average Brier score and the area under the receiver operating characteristic curve (AUC), which indicates the predictive accuracy of a model, were used to determine if the CT and PET variables would improve predictive accuracy over the demographic and clinical risk factors. All statistical analysis was performed in R (version 3.6.3, R Foundation for Statistical Computing, https://www.R-project.org/ May 2021).

3. Results

3.1. Study Population

Overall, 88 patients, 42 women (48%) and 46 men (52%), with a median age of 43.3 (range 21–85 years), were included.
Initial curative treatment was intended for all the patients. Combined doxorubicin + bleomycin + vinblastine + dacarbazine (ABVD) was the initial therapy of choice in 91% (n = 79) of patients, with 62% (n = 54/88) receiving 6 cycles and 94% of them (n = 82/88) completing therapy as initially planned at tumor boards. Of those, 84% (n = 72/88) achieved CMR.
Overall, 48% (n = 43/88) underwent additional radiotherapy for residual FDG-avid disease or due to initial bulky, disease achieving a complete metabolic response in 95% (n = 41/43).
At a median follow-up of 33.9 months (range 6–65), response to treatment was complete response (CR) in 88% of patients (n = 76), progressive disease (PD) in 8% of patients (n = 7), partial response (PR) in 2% of patients (n = 2), stable disease (SD) in 1% of patients (n = 1) and not evaluated in 2% of patients (n = 2) because of loss of follow-up. There were 10 adverse events during the follow-up period (defined as death, progression based on follow-up CT or PET/CT, or relapse), corresponding to 11.4%.
A summary of the patient population demographics, clinical information, and laboratory results is presented in Table 1 and Table 2, respectively.

3.2. Univariate Analysis

The statistically significant results of the univariable Cox regression analysis for CT, PET, and clinical parameters when considering either nodal-only involvement or all sites of disease involvement, as well as correlation with PFS and predictors of radiotherapy, are summarized in Table 3, Table 4 and Table 5, respectively. Of note, only one CT parameter (the GLZLM SZHGE mean) was found to be significant for the prediction of the need for radiotherapy in both categories (nodal vs. all sites), whereas several yet similar parameters (shape and GLRLM) were found to be significant for the prediction of the PFS endpoint. The results for PET showed similar trends: shape, GLRLM, and GLZLM features were found to be significant in all evaluation categories. Interestingly, a rather ‘standard’ feature such as TLG was found to be predictive as well. A summary of bivariate correlation coefficients is presented in Table 6.
The complete UVA results for all the clinical variables are included as Supplemental Tables S1 and S2.

3.3. Multivariate Analysis (MVA) Parameters as Predictors of PFS

Multivariable Cox regression analysis was performed based on significant parameters (p < 0.1) from univariate analysis (UVA). MVA was performed in a backward manner with a stay criterion of p < 0.05. The parameters with the lowest p-value (clinical as well as imaging parameters) were used for model building for the PFS model, including Albumin (p = 0.034); ALP (p = 0.028), and CT grayscale parameter grey level run length matrix non-uniformity for a run (GLRLM GLNU mean (HR = 2.52, 95% CI (1.22, 5.18) p = 0.012)). Significant parameters and Forrest plots are presented in Table 7 and Table 8 and Figure 2 and Figure 3, respectively. Graph plot are presented in Figure 4 and Figure 5.

3.4. MVA Parameters Predictors of Need for Radiotherapy

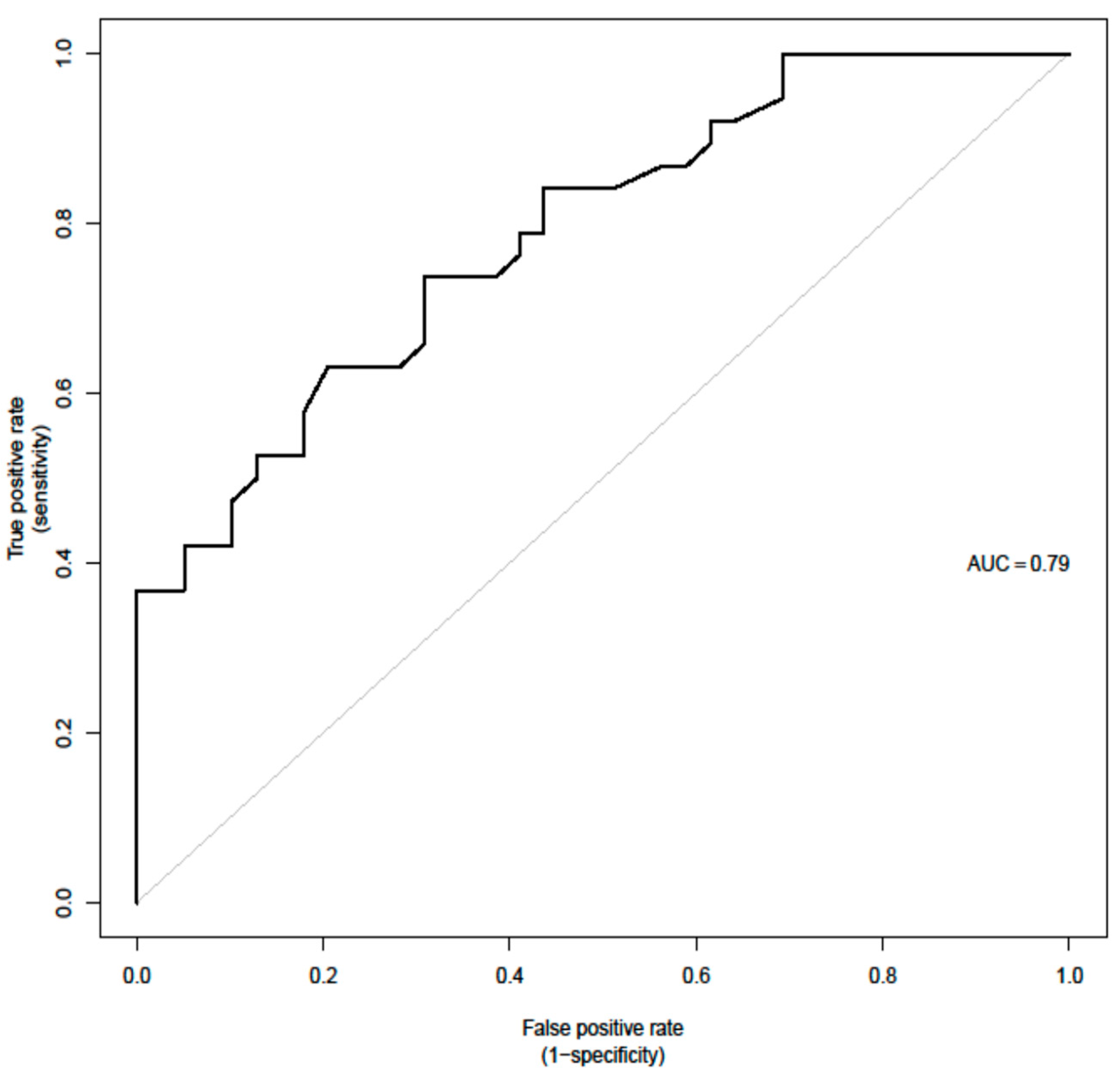
For the prediction of the need for radiotherapy, a few parameters were significant in the UVA, including advanced stages (Stages III and IV combined). This parameter was however excluded from the MVA given that it was already predefined by the images and could potentially introduce bias. Therefore, first-order PET parameter SHAPE Sphericity (OR = 1.9, 95% CI (1.05, 3.42) p = 0.033); CT parameter grey level zone length matrix high gray-level zone emphasis (GLZLM SZHGE mean (OR = 2, 95% CI (1.08, 3.73), p = 0.028)); PARAMS XSpatial Resampling (OR = 2.1, 95% CI (1.2, 3.68), p = 0.0091); as well as abnormal hemoglobin results (OR + 0.26 (0.09, 0.78), p = 0.016) remain as independent features in the final model for the binary outcome as predictors of radiotherapy (AUC = 0.79).

4. Discussion

In our study, we evaluated the utility of combined PET/CT radiomic features as well as clinical parameters for outcome prediction in patients with Hodgkin’s lymphoma.
So far, only a few radiomics studies have been performed in HL populations addressing outcome prediction, and even fewer have considered clinical parameters as well as combined PET and CT features for outcome prediction. We found that CT as well as PET radiomics combined with clinical parameters might be able to help predict outcome endpoints such as PFS as well as the need for additional radiotherapy.
We found several radiomics parameters from baseline FDG PET/CT to be predictors of survival rate and predictors of the need for radiotherapy in the univariable analysis. However, when multivariable models were designed, considering the parameter with the lowest p-value for the model building, no PET-related parameter was found to be an independent predictor for PFS. This is concordant with a few earlier studies that evaluated a similar question, including first-order parameters such as SUVmax. For example, Frood et al. [27] recently published a meta-analysis of baseline PET/CT imaging parameters as a predictor of treatment outcome in Hodgkin and diffuse large B-cell lymphomas (DLBCL). In the meta-analysis, 10 studies assessing SUVmax as a predictor of response are included, however, none of the studies evaluated radiomics features. The largest study, by Akharti et al. [35], demonstrated that SUVmax could not be applied to predict either PFS or OS in 267 patients. Interestingly, in our study, a CT second-order parameter was a predictor of survival when combined with clinical parameters such as an abnormal albumin level and an elevated ALP.
Driessen, J. et al. [25] recently presented a radiomics analysis in a larger cohort of patients with relapsed HL. They found that a combination of radiomics and clinical features results in a strong prediction model for 3-year time to progression. The model uses robust PET features that address inter-lesional heterogeneity in the distance, metabolic volume, and SUV but did not include any second or higher-order radiomic features, as compared to our study. In addition, this investigation did not include a radiomics evaluation of the CT component of the PET/CT.
A recent study by Zhou and co-workers evaluated if the radiomic features of baseline FDG PET could predict the prognosis of Hodgkin lymphoma [36]. They found that long-zone high gray-level emphasis and Dmax were independently correlated with 2-year progression-free survival, although this study did not evaluate complementary CT-radiomics and did not integrate any clinical information into their AUC analysis. Furthermore, they evaluated a smaller number of patients, which were further divided into a training and validation data set, which likely decreased statistical robustness.
Another study has taken a somewhat different approach, evaluating 45 patients receiving R-CHOP (Rituximab+ Cyclophosphamide + Doxorubicin + Vincristine + Prednisone) chemotherapy for DLBCL evaluating the ability to predict therapy response [37]. Here, the authors concluded that SUVmax and gray-level co-occurrence matrix dissimilarity were independent predictors of lesions with an incomplete response.
Milgrom, S.A. et al. [29] analyzed a cohort of 251 mediastinal HL patents using another freely available software (IBEX). They found that the first-order parameters MTV and TLG are associated with disease progression in HL. None of the second-order parameters were predictors of progression in their cohort either.
Lue et al. [24] investigated 11 first-order and, 39 higher-order features in 42 patients with HL to predict PFS and OS. With 21 events in the cohort (12 relapses, 9 deaths), it was demonstrated that SUV, kurtosis, stage, and intensity non-uniformity (INU) derived from the grey-level run length matrix (GLRLM) were independent predictors of PFS, and only disease stage and INU derived from the GLRLM were independent predictors of OS.
Overall, compared to the relatively sparse, directly comparable literature, in our study, none of the PET-derived radiomic features were found to be independent features in the MVA for the PFS outcome. Since several PET-radiomic features were found to be significant in the UVA if we had evaluated only PET radiomic features, it might be that those parameters would have been significant in the MVA, and therefore, we would have more comparable results to other studies. However, in our investigation, PET radiomics parameters were ‘outperformed’ by the CT-radiomic features (which consequently ended up in the MVA) and were therefore not directly compared to the available studies. We feel that, since PET/CT is a hybrid imaging modality in clinical routine, both components (the PET and the CT) should be evaluated in a complementary fashion, and as demonstrated, there appears to be value in CT-derived textural features as well.
However, in our cohort, a PET first-order parameter, SHAPE Sphericity, and the CT second-order features, GLZLM SZHGE mean and PARAMS XSpatial Resampling, were independent predictors for the need for radiotherapy when combined with lower hemoglobin result at baseline lab work (AUC = 0.79) which again underlines the values for combined radiomic evaluation of PET and CT. It has to be pointed out that the clinical decision to apply additional radiotherapy is often multifactorial and that not only one clinical scenario indicates the need for radiotherapy in HL patients. In our institution, this decision is made mostly following the H10 trial [41], considering whether radiotherapy or a combined modality will be more beneficial for the early stages of disease in a personalized approach that is decided in most of the cases at multidisciplinary rounds by consensus. Individual factors such as the size of the radiation field and the organs included or in the vicinity, gender, age, and the risk of toxicity are all weighted factors in that decision.
Based on our analysis, the integration of combined CT and PET radiomics features might be of further guidance/help in deciding which patients might benefit from additional radiotherapy for the improvement of their disease outcome. Further studies have been addressing the same dilemma, including that of Picardi et al., who evaluated the correlation of histologically proven residual disease at the end of chemotherapy using PET/CT, showing a Deauville score of 4 foci after completion of the first line of chemotherapy [42].
Similar to other studies cited above, only first-order and morphologic PET radiomic features were found to be significant and, thus, not necessarily intrinsically related to voxel characteristics. For CT, however, two second-order features were found to be of value (i.e., GLZLM SZHGE). As for the comparative literature, no other studies evaluated predictors for the need for radiotherapy besides the bulkiness of the tumor, and therefore this finding may open a window for further analysis in larger cohorts.
Several other new studies have evaluated different aspects of radiomics, i.e., in MRI or PET, but those studies concentrated on the technical aspects of the analysis itself rather than the ability of radiomics for prediction. In addition, PET/CT radiomics has been thoroughly evaluated in non-Hodgkin lymphoma and in the context of prediction for bone marrow involvement, but as this was done for follicular lymphoma, these studies are not specifically relevant for HL patients [43,44,45,46].
Concerning the integration of clinical parameters, it has been shown in the literature that ALP is not necessarily a predictive clinical parameter on its own. While that is certainly valid from a dedicated clinical perspective, in our cohort it has been found to have predictive value in conjunction with the here evaluated imaging features. Thus, the integration of combined PET and CT radiomic features may elevate the value of specific clinical parameters when evaluated in conjunction.

5. Limitations

This study has several limitations. First, this is a retrospective analysis of data acquired in a single tertiary oncology center, so transferability to secondary centers might be limited. Second, the patient population is relatively small. Third, the cohort includes different types of HL; this non-uniformity may limit the translation of the results to patient’s clinical outcomes. Fourth, few adverse events were observed, as expected for this type of malignancy and population.
No cross-validation cohort analysis was performed, and although validation analysis cannot overcome the absence of a validation cohort, it can describe the variability in the findings and indicate the expected performance of the model in a distinct dataset.
Further prospective analysis to confirm our concepts and findings would be valuable.

6. Conclusions

We evaluated the value of baseline clinical parameters as well as combined PET and CT radiomics in HL patients for survival and prediction of the need for radiotherapy. We found that different combinations of all three factors/features were independently predictive of PFS outcome and radiotherapy outcome, as outlined above.

Supplementary Materials

The following supporting information can be downloaded at: https://www.mdpi.com/article/10.3390/cancers15072056/s1, Table S1. Effect on PFS; Table S2. Effect on Radiotherapy outcome.

Author Contributions

Conceptualization, P.V.-H., D.C., C.O. and Y.E.; methodology, C.O.; software, C.O. and R.A.; validation, C.O., P.V.-H., R.A. and Y.E.; formal analysis, S.K.; data curation, C.O., A.P. and P.V.-H.; Writing—original draft preparation, C.O.; writing—review and editing, C.O., P.V.-H., A.P., R.K., U.M., R.A. and S.J.; supervision, P.V.-H. All authors have read and agreed to the published version of the manuscript.

Funding

This research received no external funding.

Institutional Review Board Statement

The study was conducted in accordance with the Declaration of Helsinki and Ontario Personal Health Information Protection Act (PHIPA, 2004), and approved by the Institutional Review Board (or Ethics Committee) of University Heath Network Research Ethics Board CAPCR # 18-5223, May 2018, for studies involving humans.

Informed Consent Statement

Patient consent was waived due to retrospective nature of the study.

Data Availability Statement

Research data is available upon request to corresponding authors.

Acknowledgments

Acknowledge to Lisa Avery for helping with revision of statistical queries raised by reviewers.

Conflicts of Interest

The authors declare no conflict of interest.

References

  1. Siegel, R.L.; Miller, K.D.; Fuchs, H.E.; Jemal, A. Cancer Statistics, 2021. CA A Cancer J. Clin. 2021, 71, 7–33. [Google Scholar] [CrossRef] [PubMed]
  2. Engert, A.; Plütschow, A.; Eich, H.T.; Lohri, A.; Dörken, B.; Borchmann, P.; Berger, B.; Greil, R.; Willborn, K.C.; Wilhelm, M.; et al. Reduced treatment intensity in patients with early-stage Hodgkin’s lymphoma. N. Engl. J. Med. 2010, 363, 640–652. [Google Scholar] [CrossRef] [PubMed]
  3. Eich, H.T.; Diehl, V.; Görgen, H.; Pabst, T.; Markova, J.; Debus, J.; Ho, A.; Dörken, B.; Rank, A.; Grosu, A.-L.; et al. Intensified Chemotherapy and Dose-Reduced Involved-Field Radiotherapy in Patients With Early Unfavorable Hodgkin’s Lymphoma: Final Analysis of the German Hodgkin Study Group HD11 Trial. J. Clin. Oncol. 2010, 28, 4199–4206. [Google Scholar] [CrossRef] [PubMed]
  4. Bonfante, V.; Santoro, A.; Viviani, S.; Devizzi, L.; Balzarotti, M.; Soncini, F.; Zanini, M.; Valagussa, P.; Bonadonna, G. Outcome of patients with Hodgkin’s disease failing after primary MOPP-ABVD. J. Clin. Oncol. 1997, 15, 528–534. [Google Scholar] [CrossRef] [PubMed]
  5. Moskowitz, C.H.; KewalRamani, T.; Nimer, S.D.; Gonzalez, M.; Zelenetz, A.; Yahalom, J. Effectiveness of high dose chemoradiotherapy and autologous stem cell transplantation for patients with biopsy-proven primary refractory Hodgkin’s disease. Br. J. Haematol. 2004, 124, 645–652. [Google Scholar] [CrossRef]
  6. Allen, P.B.; I Gordon, L. Frontline Therapy for Classical Hodgkin Lymphoma by Stage and Prognostic Factors. Clin. Med. Insights Oncol. 2017, 11, 1179554917731072. [Google Scholar] [CrossRef]
  7. Shanbhag, S.; Ambinder, R.F. Hodgkin lymphoma: A review and update on recent progress. CA Cancer J. Clin. 2018, 68, 116–1322. [Google Scholar] [CrossRef]
  8. Wright, C.L.; Maly, J.J.; Zhang, J.; Knopp, M.V. Advancing Precision Nuclear Medicine and Molecular Imaging for Lymphoma. PET Clin. 2017, 12, 63–82. [Google Scholar] [CrossRef]
  9. Barrington, S.F.; Kluge, R. FDG PET for therapy monitoring in Hodgkin and non-Hodgkin lymphomas. Eur. J. Nucl. Med. Mol. Imaging 2017, 44 (Suppl. 1), 97–110. [Google Scholar] [CrossRef]
  10. Schürch, C.M.; Federmann, B.; Quintanilla-Martinez, L.; Fend, F. Tumor Heterogeneity in Lymphomas: A Different Breed. Pathobiology 2017, 85, 130–145. [Google Scholar] [CrossRef]
  11. Hatt, M.; Majdoub, M.; Vallières, M.; Tixier, F.; Le Rest, C.C.; Groheux, D.; Hindié, E.; Martineau, A.; Pradier, O.; Hustinx, R.; et al. 18F-FDG PET Uptake Characterization Through Texture Analysis: Investigating the Complementary Nature of Heterogeneity and Functional Tumor Volume in a Multi–Cancer Site Patient Cohort. J. Nucl. Med. 2014, 56, 38–44. [Google Scholar] [CrossRef] [PubMed]
  12. Fang, Y.-H.D.; Lin, C.-Y.; Shih, M.-J.; Wang, H.-M.; Ho, T.-Y.; Liao, C.-T.; Yen, T.-C. Development and Evaluation of an Open-Source Software Package “CGITA” for Quantifying Tumor Heterogeneity with Molecular Images. BioMed Res. Int. 2014, 2014, 248505. [Google Scholar] [CrossRef] [PubMed]
  13. Mayerhoefer, M.E.; Materka, A.; Langs, G.; Häggström, I.; Szczypiński, P.; Gibbs, P.; Cook, G. Introduction to Radiomics. J. Nucl. Med. 2020, 61, 488–495. [Google Scholar] [CrossRef]
  14. Lee, J.W.; Lee, S.M. Radiomics in Oncological PET/CT: Clinical Applications. Nucl. Med. Mol. Imaging 2017, 52, 170–189. [Google Scholar] [CrossRef] [PubMed]
  15. Gillies, R.J.; Kinahan, P.E.; Hricak, H. Radiomics: Images Are More than Pictures, They Are Data. Radiology 2016, 278, 563–577. [Google Scholar] [CrossRef]
  16. Hatt, M.; Tixier, F.; Visvikis, D.; Le Rest, C.C. Radiomics in PET/CT: More Than Meets the Eye? J. Nucl. Med. 2017, 58, 365–366. [Google Scholar] [CrossRef]
  17. Nestle, U.; Kremp, S.; Schaefer-Schuler, A.; Sebastian-Welsch, C.; Hellwig, D.; Rübe, C.; Kirsch, C.-M. Comparison of different methods for delineation of 18F-FDG PET-positive tissue for target volume definition in radiotherapy of patients with non-Small cell lung cancer. J. Nucl. Med. 2005, 46, 1342–1348. [Google Scholar]
  18. Sah, B.R.; Owczarczyk, K.; Siddique, M.; Cook, G.J.; Goh, V. Radiomics in esophageal and gastric cancer. Abdom. Radiol. 2019, 44, 2048–2058. [Google Scholar] [CrossRef]
  19. Werner, R.A.; Weich, A.; Kircher, M.; Solnes, L.B.; Javadi, M.S.; Higuchi, T.; Buck, A.K.; Pomper, M.G.; Rowe, S.P.; Lapa, C. The theranostic promise for Neuroendocrine Tumors in the late 2010s—Where do we stand, where do we go? Theranostics 2018, 8, 6088–6100. [Google Scholar] [CrossRef]
  20. Ha, S.; Park, S.; Bang, J.I.; Kim, E.K.; Lee, H.Y. Metabolic radiomics for pretreatment 18F-FDG PET/CT to characterize locally advanced breast cancer: Histopathologic characteristics, response to neoadjuvant chemotherapy, and prognosis. Sci. Rep. 2017, 7, 1556. [Google Scholar] [CrossRef]
  21. Hong, R.; Halama, J.; Bova, D.; Sethi, A.; Emami, B. Correlation of PET standard uptake value and CT window-level thresholds for target delineation in CT-based radiation treatment planning. Int. J. Radiat. Oncol. Biol. Phys. 2007, 67, 720–726. [Google Scholar] [CrossRef]
  22. Sun, R.; Medeiros, L.J.; Young, K.H. Diagnostic and predictive biomarkers for lymphoma diagnosis and treatment in the era of precision medicine. Mod. Pathol. 2016, 29, 1118–1142. [Google Scholar] [CrossRef]
  23. Parvez, A.; Tau, N.; Hussey, D.; Maganti, M.; Metser, U. 18F-FDG PET/CT metabolic tumor parameters and radiomics features in aggressive non-Hodgkin’s lymphoma as predictors of treatment outcome and survival. Ann. Nucl. Med. 2018, 32, 410–416. [Google Scholar] [CrossRef]
  24. Lue, K.-H.; Wu, Y.-F.; Liu, S.-H.; Hsieh, T.-C.; Chuang, K.-S.; Lin, H.-H.; Chen, Y.-H. Prognostic Value of Pretreatment Radiomic Features of 18F-FDG PET in Patients With Hodgkin Lymphoma. Clin. Nucl. Med. 2019, 44, e559–e565. [Google Scholar] [CrossRef]
  25. Driessen, J.; Zwezerijnen, G.J.C.; Schöder, H.; Moskowitz, A.J.; Kersten, M.J.; Moskowitz, C.H.; Eertink, J.J.; van de Brug, T.; de Vet, H.C.W.; Hoekstra, O.S.; et al. Predictive Value Of Quantitative 18 F-Fdg-Pet-Ct Radiomics Analysis in 174 Patients with Relapsed/Refractory Classical Hodgkin Lymphoma. Hematol. Oncol. 2021, 39. [Google Scholar] [CrossRef]
  26. Orlhac, F.; Soussan, M.; Maisonobe, J.A.; Garcia, C.A.; Vanderlinden, B.; Buvat, I. Tumor texture analysis in 18F-FDG PET: Relationships between texture parameters, histogram indices, standardized uptake values, metabolic volumes, and total lesion glycolysis. J. Nucl. Med. 2014, 55, 414–422. [Google Scholar] [CrossRef]
  27. Frood, R.; Burton, C.; Tsoumpas, C.; Frangi, A.F.; Gleeson, F.; Patel, C.; Scarsbrook, A. Baseline PET/CT imaging parameters for prediction of treatment outcome in Hodgkin and diffuse large B cell lymphoma: A systematic review. Eur. J. Nucl. Med. 2021, 48, 3198–3220. [Google Scholar] [CrossRef]
  28. Eertink, J.J.; van de Brug, T.; Wiegers, S.E.; Zwezerijnen, G.J.C.; Pfaehler, E.A.G.; Lugtenburg, P.J.; van der Holt, B.; de Vet, H.C.W.; Hoekstra, O.S.; Boellaard, R.; et al. 18F-FDG PET baseline radiomics features improve the prediction of treatment outcome in diffuse large B-cell lymphoma. Eur. J. Nucl. Med. Mol. Imaging 2021, 49, 932–942. [Google Scholar] [CrossRef]
  29. Milgrom, S.A.; Elhalawani, H.; Lee, J.; Wang, Q.; Mohamed, A.S.R.; Dabaja, B.S.; Pinnix, C.C.; Gunther, J.R.; Court, L.; Rao, A.; et al. A PET Radiomics Model to Predict Refractory Mediastinal Hodgkin Lymphoma. Sci. Rep. 2019, 9, 1322. [Google Scholar] [CrossRef]
  30. Hanaoka, K.; Hosono, M.; Tatsumi, Y.; Ishii, K.; Im, S.-W.; Tsuchiya, N.; Sakaguchi, K.; Matsumura, I. Heterogeneity of intratumoral 111In-ibritumomab tiuxetan and 18F-FDG distribution in association with therapeutic response in radioimmunotherapy for B-cell non-Hodgkin’s lymphoma. EJNMMI Res. 2015, 5, 10. [Google Scholar] [CrossRef]
  31. Barrington, S.F.; Mikhaeel, N.G.; Kostakoglu, L.; Meignan, M.; Hutchings, M.; Müeller, S.P.; Schwartz, L.H.; Zucca, E.; Fisher, R.I.; Trotman, J.; et al. Role of Imaging in the Staging and Response Assessment of Lymphoma: Consensus of the International Conference on Malignant Lymphomas Imaging Working Group. J. Clin. Oncol. 2014, 32, 3048–3058. [Google Scholar] [CrossRef] [PubMed]
  32. Cheson, B.D.; Fisher, R.I.; Barrington, S.F.; Cavalli, F.; Schwartz, L.H.; Zucca, E.; Lister, T.A. Recommendations for initial evaluation, staging, and response assessment of Hodgkin and non-Hodgkin lymphoma: The Lugano classification. J. Clin. Oncol. 2014, 32, 3059–3068. [Google Scholar] [CrossRef] [PubMed]
  33. Gallamini, A.; Barrington, S.; Biggi, A.; Chauvie, S.; Kostakoglu, L.; Gregianin, M.; Meignan, M.; Mikhaeel, G.N.; Loft, A.; Zaucha, J.M.; et al. The predictive role of interim positron emission tomography for Hodgkin lymphoma treatment outcome is confirmed using the interpretation criteria of the Deauville five-point scale. Haematologica 2014, 99, 1107–1113. [Google Scholar] [CrossRef]
  34. Biggi, A.; Gallamini, A.; Chauvie, S.; Hutchings, M.; Kostakoglu, L.; Gregianin, M.; Meignan, M.; Malkowski, B.; Hofman, M.S.; Barrington, S.F. International Validation Study for Interim PET in ABVD-Treated, Advanced-Stage Hodgkin Lymphoma: Interpretation Criteria and Concordance Rate Among Reviewers. J. Nucl. Med. 2013, 54, 683–690. [Google Scholar] [CrossRef] [PubMed]
  35. Akhtari, M.; Milgrom, S.A.; Pinnix, C.C.; Reddy, J.P.; Dong, W.; Smith, G.L.; Mawlawi, O.; Yehia, Z.A.; Gunther, J.; Osborne, E.M.; et al. Reclassifying patients with early-stage Hodgkin lymphoma based on functional radiographic markers at presentation. Blood 2018, 131, 84–94. [Google Scholar] [CrossRef]
  36. Zhou, Y.; Zhu, Y.; Chen, Z.; Li, J.; Sang, S.; Deng, S. Radiomic Features of 18F-FDG PET in Hodgkin Lymphoma Are Predictive of Outcomes. Contrast Media Mol. Imaging 2021, 2021, 6347404. [Google Scholar] [CrossRef]
  37. Coskun, N.; Okudan, B.; Uncu, D.; Kitapci, M.T. Baseline 18F-FDG PET textural features as predictors of response to chemotherapy in diffuse large B-cell lymphoma. Nucl. Med. Commun. 2021, 42, 1227–1232. [Google Scholar] [CrossRef]
  38. Nioche, C.; Orlhac, F.; Boughdad, S.; Reuzé, S.; Goya-Outi, J.; Robert, C.; Pellot-Barakat, C.; Soussan, M.; Frouin, F.; Buvat, I. LIFEx: A Freeware for Radiomic Feature Calculation in Multimodality Imaging to Accelerate Advances in the Characterization of Tumor Heterogeneity. Cancer Res. 2018, 78, 4786–4789. [Google Scholar] [CrossRef]
  39. Nishino, M.; Jagannathan, J.P.; Ramaiya, N.H.; Van den Abbeele, A.D. Revised RECIST Guideline Version 1.1: What Oncologists Want to Know and What Radiologists Need to Know. Am. J. Roentgenol. 2010, 195, 281–289. [Google Scholar] [CrossRef]
  40. Hassani, C.; Varghese, B.A.; Nieva, J.; Duddalwar, V. Radiomics in pulmonary lesion imaging. Am. J. Roentgenol. 2019, 212, 497–504. [Google Scholar] [CrossRef]
  41. André, M.P.E.; Girinsky, T.; Federico, M.; Reman, O.; Fortpied, C.; Gotti, M.; Casasnovas, O.; Brice, P.; Van Der Maazen, R.; Re, A.; et al. Early Positron Emission Tomography Response–Adapted Treatment in Stage I and II Hodgkin Lymphoma: Final Results of the Randomized EORTC/LYSA/FIL H10 Trial. J. Clin. Oncol. 2017, 35, 1786–1794. [Google Scholar] [CrossRef]
  42. Picardi, M.; Fonti, R.; Della Pepa, R.; Giordano, C.; Pugliese, N.; Nicolai, E.; Salvatore, M.; Mainolfi, C.; Venetucci, P.; Rascato, M.; et al. 2-deoxy-2[F-18] fluoro-D-glucose positron emission tomography Deauville scale and core-needle biopsy to determine successful management after six doxorubicin, bleomycin, vinblastine and dacarbazine cycles in advanced-stage Hodgkin lymphoma. Eur. J. Cancer 2020, 132, 85–97. [Google Scholar] [CrossRef]
  43. Driessen, J.; Zwezerijnen, G.J.; Schöder, H.; Drees, E.E.; Kersten, M.J.; Moskowitz, A.J.; Moskowitz, C.H.; Eertink, J.J.; de Vet, H.C.; Hoekstra, O.S.; et al. The Impact of Semiautomatic Segmentation Methods on Metabolic Tumor Volume, Intensity, and Dissemination Radiomics in 18F-FDG PET Scans of Patients with Classical Hodgkin Lymphoma. J. Nucl. Med. 2022, 63, 1424–1430. [Google Scholar] [CrossRef]
  44. Faudemer, J.; Aide, N.; Gac, A.-C.; Damaj, G.; Vilque, J.-P.; Lasnon, C. Diagnostic value of baseline 18FDG PET/CT skeletal textural features in follicular lymphoma. Sci. Rep. 2021, 11, 23812. [Google Scholar] [CrossRef]
  45. Angelopoulou, M.K.; Mosa, E.; Pangalis, G.A.; Rondogianni, P.; Chatziioannou, S.; Prassopoulos, V.; Moschogianni, M.; Tsirkinidis, P.; Asimakopoulos, J.V.; Konstantinou, I.; et al. The Significance of PET/CT in the Initial Staging of Hodgkin Lymphoma: Experience Outside Clinical Trials. Anticancer. Res. 2017, 37, 5727–5736. [Google Scholar] [CrossRef]
  46. Song, M.-K.; Chung, J.-S.; Lee, J.-J.; Jeong, S.Y.; Lee, S.-M.; Hong, J.-S.; Chong, A.; Moon, J.-H.; Kim, J.-H.; Lee, S.-M.; et al. Metabolic tumor volume by positron emission tomography/computed tomography as a clinical parameter to determine therapeutic modality for early stage Hodgkin’s lymphoma. Cancer Sci. 2013, 104, 1656–1661. [Google Scholar] [CrossRef]
Figure 1. PET contouring using LifeX software of an 18-year-old male patient with Stage I Hodgkin Lymphoma.
Figure 1. PET contouring using LifeX software of an 18-year-old male patient with Stage I Hodgkin Lymphoma.
Cancers 15 02056 g001
Figure 2. Calibration plots and AUC considering different variables in the model.
Figure 2. Calibration plots and AUC considering different variables in the model.
Cancers 15 02056 g002
Figure 3. AUC for the final Radiotherapy model provided below.
Figure 3. AUC for the final Radiotherapy model provided below.
Cancers 15 02056 g003
Figure 4. Forrest plot for MVA model correlating with PFS.
Figure 4. Forrest plot for MVA model correlating with PFS.
Cancers 15 02056 g004
Figure 5. Forrest plot for MVA model when correlating with radiotherapy outcome.
Figure 5. Forrest plot for MVA model when correlating with radiotherapy outcome.
Cancers 15 02056 g005
Table 1. Summary of patient population characteristics.
Table 1. Summary of patient population characteristics.
PopulationAge Years (Range)
88 patients43.3 (21–85)
Distributionn (%)
Female42 (48)
Male46 (52)
Pathologyn (%)
Classical Hodgkin’s lymphoma16 (18)
Mixed cellularity classical Hodgkin lymphoma5 (6)
Nodular lymphocyte predominant Hodgkin lymphoma11 (12)
Nodular sclerosis classical Hodgkin lymphoma56 (64)
Disease locationn (%)
Nodal disease87 (98)
Extranodal disease56 (63)
Bulky presentation5 (5)
Overall stagen (%)
Stage IA5 (6)
Stage IIA34 (39)
Stage IIB8 (9)
Stage IIIA14 (16)
Stage IIIB4 (5)
Stage IVA10 (11)
Stage IVB13 (15)
Presence of B-symptoms25 (28)
Chemotherapy regimenn (%)
ABVE-PC2 (2)
CT−A−AVD1(1)
CT−A+AVD4 (5)
LY−ABVD79 (91)
OEPA/COPDAC1 (1)
Missing info1
Number of chemotherapy cycles n (%)
11 (1)
28 (9)
31 (1)
419 (22)
51 (1)
654 (62)
73 (3)
Missing1
Completed chemotherapy as plannedn (%)
No4 (5)
Yes83 (95)
Missing1
Response to chemotherapyn (%)
Complete response (CR)72 (84)
Not evaluated (NE)1 (1)
Progressive disease (PD)5 (6)
Partial Response (PR)7 (8)
Stable disease (SD)1 (1)
Missing2
Radiotherapy treatmentn (%)
Yes42 (47)
No46 (53)
Radiotherapy doseGy (range)
Mean2869.6 (482.5)
Median3000 (2000, 4000)
Response assessment after radiotherapyn (%)
CR41 (95)
PD1 (2)
PR0
ST0
Table 2. Summary of Laboratory Parameters.
Table 2. Summary of Laboratory Parameters.
ParameterMedian (Range)SDNormal RangeResultsn (%)
Hemoglobin (g/L)126 (79, 161)16.8120–160Normal42 (48)
140–180Abnormal45 (52)
Missing11
WBC (×109/L)8.8 (1, 35.2)54.0–11Normal54 (62)
Abnormal33 (38)
Missing11
Neutrophils (×109/L)6.8 (1.3, 31.8)4.72.0–7.5Normal50 (57)
Abnormal37 (43)
Missing1
Lymphocytes1.3 (0.2, 3.3)0.61.5–4.0Normal41 (47)
Abnormal46 (53)
Missing1
Eosinophils0.1 (0, 1.4)0.20.04–0.4Normal62 (71)
Abnormal25 (29)
Missing11
ESR 33 (1, 115)27.40–20Normal20 (27)
Abnormal55 (73)
Missing17
LDH249 (133, 1542)174100–750Normal34 (40)
Abnormal52 (60)
Missing17
ALP90 (45, 376)56.640–150Normal75 (86)
Abnormal12 (14)
Missing1
ALT17 (5, 147)20.57–40Normal74 (85)
Abnormal13 (15)
Missing1
AST18 (10, 252)27.25–34Normal77 (92)
Abnormal7(8)
Missing4
Albumin41 (26, 58)5.332–53Normal53 (73)
Abnormal20 (27)
Missing15
Bilirubin7 (1, 11)11.70–22Normal76 (100)
Abnormal0
Missing12
Creatinine69 (40, 123)12.761–105Normal83 (95)
Abnormal4 (5)
Missing1
Calcium2.4 (2.1, 2.7)0.12.20–2.62Normal76 (93)
Abnormal6 (7)
Missing6
ESR: Erythrocyte sedimentation rate. LDH: Lactate dehydrogenase. ALP: Alkaline phosphatase.
Table 3. Univariate analysis (UVA) summary of statistically significant variables for CT parameters when correlated with PFS and radiotherapy prediction.
Table 3. Univariate analysis (UVA) summary of statistically significant variables for CT parameters when correlated with PFS and radiotherapy prediction.
ParameterHR95% CIp Value
CT parameters for NODAL involvement in PFS
SHAPE Volume mL1.991.22–3.260.0061
SHAPE Volume vx mean1.971.16–3.340.012
GLRLM GLNU mean2.061.25–3.40.0045
GLRLM RLNU mean1.841.08–3.130.025
GLZLM GLNU mean1.651.0–2.730.048
CT parameters for NODAL involvement to radiotherapy outcome
GLZLM SZHGE mean1.841.07–3.150.026
CT parameters for ALL SITES involvement to PFS
SHAPE Volume mL mean1.961.19–3.220.008
SHAPE Volume vx mean1.971.17–3.330.011
GLRLM GLNU mean1.991.24–3.190.0043
GLRLM RLNU mean1.881.09–3.250.023
GLZLM GLNU mean1.771.01–3.090.046
CT parameters for ALL SITES involvement to radiotherapy outcomes
GLZLM SZHGE mean1.671.01–2.760.047
Table 4. Univariate analysis (UVA) summary of statistically significant variables for PET parameters when correlated with PFS and radiotherapy prediction.
Table 4. Univariate analysis (UVA) summary of statistically significant variables for PET parameters when correlated with PFS and radiotherapy prediction.
ParameterHR95% CIp Value
PET volume 100% threshold for NODAL and PFS
CONVENTIONAL TLG mean1.891.15–3.120.013
SHAPE Volume mL mean2.11.24–3.540.0055
GLRLM LRE mean1.771.04–3.010.035
GLZLM LZE mean1.661.15–2.40.0072
PET volume 100% threshold ALL SITES and PFS
CONVENTIONAL TLGm mean1.791.09–2.950.022
SHAPE Volume mean1.961.16–3.320.012
GLZLM LZE mean1.651.14–2.390.0085
NO predictors of radiotherapy outcome using PET volume 100% threshold were found
PET volume 70% threshold for NODAL and PFS
CONVENTIONAL TLG mean1.941.15–3.270.013
SHAPE Volume mL mean2.161.29–3.640.0037
GLRLM GLNU mean2.11.08–4.090.028
GLZLM LZE mean1.531.08–2.170.016
PET volume 70% threshold for NODAL and radiotherapy outcome
HISTO Entropy log10 mean0.60.36–0.990.047
PET volume 70% threshold ALL SITES and PFS
CONVENTIONAL TLG mean1.841.09–3.090.022
SHAPE Volume mL mean2.021.2–3.420.0086
GLRLM GLNU mean2.021.06–3.870.033
GLZLM LZE mean1.531.08–2.170.018
PET volume 70% threshold ALL SITES and radiotherapy outcomes
HISTO Entropy log10 mean0.60.36–1.00.049
PET volume 40% threshold NODAL and PFS
CONVENTIONAL TLG mean1.531.03–2.280.036
SHAPE Volume mean1.91.23–2.920.0037
GLRLM GLNU mean2.27 1.3–3.960.0039
GLRLM RLNU mean2.591.44–4.660.0015
PET volume 40% threshold ALL SITES and PFS
CONVENTIONAL TLG mean1.511.0–2.270.048
SHAPE Volume mean1.871.2–2.910.006
GLRLM GLNU mean1.791.09–2.950.022
GLRLM RLNU mean1.711.09–2.680.019
GLZLM LZE mean2.221.1–4.490.025
NO predictors of radiotherapy outcome using PET volume 40% threshold were found
Table 5. Univariate analysis (UVA) summary of statistically significant variables for Clinical parameters when correlated with PFS and radiotherapy prediction.
Table 5. Univariate analysis (UVA) summary of statistically significant variables for Clinical parameters when correlated with PFS and radiotherapy prediction.
ParameterHR95% CIp Value
Effect of clinical variables on PFS
Gender2.150.56–8.30.27
Pathology subtype7 × 10−80.000.84
Bulk disease1.25 1.08–1.460.0035
Advanced stages (III + IV)2.850.74–11.00.025
Presence of B symptoms0.240.07–0.840.002
Chemotherapy completed as planned 0.110.02–0.54<0.001
Abnormal Hemoglobin value0.960.93–0.990.01
Abnormal neutrophils 1.060.96–1.170.025
Abnormal ALP1.011–1.010.035
Abnormal Albumin0.750.66–0.850.0023
Effect of clinical variables in radiotherapy outcome
Advanced stages (III + IV)0.050.02–0.14<0.001
Presence of B symptoms4.511.58–12.830.0048
Abnormal Hemoglobin0.230.09–0.560.0012
Abnormal Lymphocytes3.251.35–7.820.0086
Abnormal ESR 3.61.15–11.290.028
Abnormal ALP0.180.04–0.850.031
Table 6. Bivariate correlation coefficients between variables. (p-value < 0.001 for all the below listed bivariate correlations).
Table 6. Bivariate correlation coefficients between variables. (p-value < 0.001 for all the below listed bivariate correlations).
Variable 1Variable 2Correlation Coefficientsp-Value
GLZLM_LZHGE_mean_pneGLZLM_LZLGE_mean_pne13.50 × 10−261
GLZLM_LZHGE_mean_pneGLZLM_LZE_mean_pne12.10 × 10−223
GLZLM_LZE_mean_pneGLZLM_LZLGE_mean_pne11.30 × 10−219
SHAPE_Volume__mL_mean_pneSHAPE_Volume_VX_mean_pne17.60 × 10−166
SHAPE_Volume_vx_mean_cneGLRLM_RLNU_mean_cne0.991.30 × 10−70
GLRLM_GLNU_mean_cneSHAPE_Volume_vx_mean_cne0.983.70 × 10−60
GLRLM_GLNU_mean_cneGLRLM_RLNU_mean_cne0.942.30 × 10−43
GLZLM_GLNU_mean_cneGLRLM_RLNU_mean_cne0.941.40 × 10−36
CONVENTIONAL_TLG_mean_pneSHAPE_Volume__mL_mean_pne0.916.10 × 10−35
CONVENTIONAL_TLG_mean_pneSHAPE_Volume_VX_mean_pne0.916.80 × 10−35
GLZLM_GLNU_mean_cneSHAPE_Volume_vx_mean_cne0.896.30 × 10−28
GLZLM_GLNU_mean_cneGLRLM_GLNU_mean_cne0.857.00 × 10−24
GLRLM_RLNU_mean_pneGLRLM_GLNU_mean_pne0.851.00 × 10−23
GLRLM_GLNU_mean_pneSHAPE_Volume_VX_mean_pne0.871.30 × 10−23
GLRLM_GLNU_mean_pneSHAPE_Volume__mL_mean_pne0.871.60 × 10−23
GLZLM_LZE_mean_pneSHAPE_Volume__mL_mean_pne0.832.30 × 10−20
GLZLM_LZE_mean_pneSHAPE_Volume_VX_mean_pne0.832.50 × 10−20
GLZLM_LZHGE_mean_pneSHAPE_Volume__mL_mean_pne0.832.60 × 10−20
GLZLM_LZLGE_mean_pneSHAPE_Volume__mL_mean_pne0.832.60 × 10−20
GLZLM_LZHGE_mean_pneSHAPE_Volume_VX_mean_pne0.832.90 × 10−20
GLZLM_LZLGE_mean_pneSHAPE_Volume_VX_mean_pne0.832.90 × 10−20
SHAPE_Volume__mL_mean_cneSHAPE_Volume_VX_mean_pne0.915.20 × 10−19
SHAPE_Volume__mL_mean_cneSHAPE_Volume__mL_mean_pne0.915.40 × 10−19
GLRLM_GLNU_mean_pneCONVENTIONAL_TLG_mean_pne0.766.40 × 10−17
Table 7. MVA model for PFS outcome.
Table 7. MVA model for PFS outcome.
ParameterHR(95% CI)p Value
Abnormal Albumin10.381.19–90.240.034
Abnormal ALP21.891.39–345.30.028
GLRLM GLNU mean CT parameter2.521.22–5.180.012
Table 8. MVA models for radiotherapy outcome.
Table 8. MVA models for radiotherapy outcome.
ParameterHR (95% CI)p Value
Abnormal Hemoglobin0.260.09–0.780.016
XS partial resampling PET parameter2.11.2–3.680.0091
SHAPE Sphericity only for 3D RO mean1.91.05–3.420.033
GLZLM SZHGE mean21.08–3.730.028
Disclaimer/Publisher’s Note: The statements, opinions and data contained in all publications are solely those of the individual author(s) and contributor(s) and not of MDPI and/or the editor(s). MDPI and/or the editor(s) disclaim responsibility for any injury to people or property resulting from any ideas, methods, instructions or products referred to in the content.

Share and Cite

MDPI and ACS Style

Ortega, C.; Eshet, Y.; Prica, A.; Anconina, R.; Johnson, S.; Constantini, D.; Keshavarzi, S.; Kulanthaivelu, R.; Metser, U.; Veit-Haibach, P. Combination of FDG PET/CT Radiomics and Clinical Parameters for Outcome Prediction in Patients with Hodgkin’s Lymphoma. Cancers 2023, 15, 2056. https://doi.org/10.3390/cancers15072056

AMA Style

Ortega C, Eshet Y, Prica A, Anconina R, Johnson S, Constantini D, Keshavarzi S, Kulanthaivelu R, Metser U, Veit-Haibach P. Combination of FDG PET/CT Radiomics and Clinical Parameters for Outcome Prediction in Patients with Hodgkin’s Lymphoma. Cancers. 2023; 15(7):2056. https://doi.org/10.3390/cancers15072056

Chicago/Turabian Style

Ortega, Claudia, Yael Eshet, Anca Prica, Reut Anconina, Sarah Johnson, Danny Constantini, Sareh Keshavarzi, Roshini Kulanthaivelu, Ur Metser, and Patrick Veit-Haibach. 2023. "Combination of FDG PET/CT Radiomics and Clinical Parameters for Outcome Prediction in Patients with Hodgkin’s Lymphoma" Cancers 15, no. 7: 2056. https://doi.org/10.3390/cancers15072056

APA Style

Ortega, C., Eshet, Y., Prica, A., Anconina, R., Johnson, S., Constantini, D., Keshavarzi, S., Kulanthaivelu, R., Metser, U., & Veit-Haibach, P. (2023). Combination of FDG PET/CT Radiomics and Clinical Parameters for Outcome Prediction in Patients with Hodgkin’s Lymphoma. Cancers, 15(7), 2056. https://doi.org/10.3390/cancers15072056

Note that from the first issue of 2016, this journal uses article numbers instead of page numbers. See further details here.

Article Metrics

Back to TopTop